Model Predictive Control for Gliding Descent on Mars
Abstract
Featured Application
Abstract
1. Introduction
2. Materials and Methods
2.1. Equations of Motion
2.2. Aerodynamic Model of the Spaceplane

2.3. Constraints
2.4. Objective Function
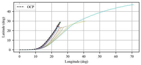
3. Results








4. Discussion
Author Contributions
Funding
Institutional Review Board Statement
Informed Consent Statement
Data Availability Statement
Acknowledgments
Conflicts of Interest
Abbreviations
| AGAM | Aerogravity-Assisted Maneuver. |
| AOA | Angle of Attack. |
| FPA | Flight Path Angle. |
| LEO | Low Earth Orbit. |
| MPC | Model Predictive Control. |
| NMPC | Nonlinear Model Predictive Control. |
| OPC | Optimal Control Problem. |
References
- Viviani, A.; Pezzella, G. Aerodynamic and Aerothermodynamics Analysis of Space Mission Vehicles; Springer International Publishing: Cham, Switzerland, 2015. [Google Scholar] [CrossRef]
- Weiland, C. Aerodynamic Data of Space Vehicles; Springer: Berlin/Heidelberg, Germany, 2014. [Google Scholar] [CrossRef]
- Liu, X.; Shen, Z. Rapid Smooth Entry Trajectory Planning for High Lift/Drag Hypersonic Glide Vehicles. J. Optim. Theory Appl. 2016, 168, 917–943. [Google Scholar] [CrossRef]
- Guo, J.; Wu, X.; Tang, S. Autonomous gliding entry guidance with geographic constraints. Chin. J. Aeronaut. 2015, 28, 1343–1354. [Google Scholar] [CrossRef]
- Yu, W.; Yang, J.; Chen, W. Entry Guidance Based on Analytical Trajectory Solutions. IEEE Trans. Aerosp. Electron. Syst. 2022, 58, 2438–2466. [Google Scholar] [CrossRef]
- Wang, R.; Tang, S.; Zhang, D. Short-Range Reentry Guidance with Impact Angle and Impact Velocity Constraints for Hypersonic Gliding Reentry Vehicle. IEEE Access 2019, 7, 47437–47450. [Google Scholar] [CrossRef]
- Beiner, L. Optimal re-entry maneuver with bounded lift control. J. Guid. Control. Dyn. 1986, 10, 321–329. [Google Scholar] [CrossRef]
- Cassell, A.; Brivkalns, C.; Bowles, J.; Garcia, J.; Kinney, D.; Wercinski, P.; Cianciolo, A.; Polsgrove, T. Human Mars Mission Design Study Utilizing the Adaptive Deployable Entry and Placement Technology. In Proceedings of the 2017 IEEE Aerospace Conference, Big Sky, MT, USA, 4–11 March 2017. [Google Scholar] [CrossRef]
- O’Driscoll, D.; Bruce, P.J.; Santer, M.J. Origami-based TPS Folding Concept for Deployable Mars Entry Vehicles. In AIAA Scitech 2020 Forum; AIAA: Orlando, FL, USA, 2020; p. 1897. [Google Scholar] [CrossRef]
- Dimino, I.; Vendittozzi, C.; Reis Silva, W.; Ameduri, S.; Concilio, A. A Morphing Deployable Mechanism for Re-Entry Capsule Aeroshell. Appl. Sci. 2023, 13, 2783. [Google Scholar] [CrossRef]
- Brauckmann, G. X-34 Vehicle Aerodynamic Characteristics. J. Spacecr. Rocket. 1999, 36, 229–239. [Google Scholar] [CrossRef][Green Version]
- Armellin, R.; Lavagna, M.; Ercoli-Finzi, A. Aero-gravity assist maneuvers: Controlled dynamics modeling and optimization. Celest. Mech. Dyn. Astron. 2006, 95, 391–405. [Google Scholar] [CrossRef]
- London, H. Change of satellite orbit plane by aerodynamic maneuvering. J. Aerosp. Sci. 1962, 29, 323–332. [Google Scholar] [CrossRef]
- Anderson, J.D.; Ferguson, F., Jr.; Kothari, A.P. Hypersonic waveriders for planetary atmospheres. J. Spacecr. Rocket. 1991, 28, 401–410. [Google Scholar] [CrossRef]
- Lohar, F.; Mateescu, D.; Misra, K. Optimal atmospheric trajectory for aero-gravity assist. Acta Astronaut. 1994, 32, 89–96. [Google Scholar] [CrossRef]
- Lohar, F.; Misra, K.; Mateescu, D. Optimal Atmospheric Trajectory for Aerogravity Assist with Heat Constraint. J. Guid. Control Dyn. 1995, 18, 723–730. [Google Scholar] [CrossRef]
- Lohar, F.; Misra, K.; Mateescu, D. Optimal aero-gravity assist with heliocentric plane change. Acta Astronaut. 1996, 38, 445–456. [Google Scholar] [CrossRef]
- Johnson, W.R. Optimization of Atmospheric Fly Through Aero-Gravity Assist Trajectories; AAE508 Report; Purdue University: West Lafayette, Indiana, 2002. [Google Scholar]
- Lavagna, M.; Povoleri, A.; Finzi, A.E. Interplanetary mission design with aero-assisted manoeuvres multi-objective evolutive optimization. Acta Astronaut. 2005, 57, 498–509. [Google Scholar] [CrossRef]
- Lyons, D.; Sklyanskiy, E.; Casoliva, J.; Wolf, A. Parametric optimization and guidance for an aerogravity assisted atmospheric sample return from Mars and Venus. In Proceedings of the AIAA/AAS Astrodynamics Specialist Conference and Exhibit, Honolulu, HI, USA, 21 August 2008; AIAA 08-7353. pp. 18–21. [Google Scholar]
- Henning, G.; Edelman, P.; Longuski, J. Design and Optimization of interplanetary aerogravity-assist tours. J. Spacecr. Rocket. 2014, 51, 1849–1856. [Google Scholar] [CrossRef]
- Edelman, P.J.; Longuski, M.J. Optimal aerogravity-assist trajectories minimizing total heat load. J. Guid. Control Dyn. 2017, 40, 2699–2703. [Google Scholar] [CrossRef]
- Qi, Y.; Ruiter, A. Optimal Powered Aerogravity-Assist Trajectories. J. Guid. Control Dyn. 2021, 44, 151–162. [Google Scholar] [CrossRef]
- Piñeros, J.O.M.; de Moraes, R.V.; de Almeida Prado, A.F.B. Using low Lift-to-Drag spacecraft to perform upper atmospheric Aero-Gravity Assisted Maneuvers. Adv. Space Res. 2022, 70, 1032–1047. [Google Scholar] [CrossRef]
- Murcia-Piñeros, J.O.; Bevilacqua, R.; Prado, A.F.B.A.; de Moraes, V. Optimizing aerogravity-assisted maneuvers at high atmospheric altitude above Venus, Earth, and Mars to control heliocentric orbits. Acta Astronaut. 2024, 215, 333–347. [Google Scholar] [CrossRef]
- Gaglio, E.; Bevilacqua, R. Time optimal drag-based targeted de-orbiting for low Earth orbit. Acta Astronaut. 2023, 207, 316–330. [Google Scholar] [CrossRef]
- Murcia-Piñeros, J.O.; Prado, A.F.B.A.; Dimino, I.; de Moraes, V. Optimal Gliding Trajectories for Descent on Mars. Appl. Sci. 2024, 14, 7786. [Google Scholar] [CrossRef]
- Chai, R.; Tsourdos, A.; Savvaris, A.; Chai, S.; Xia, Y.; Chen, C. Review of advanced guidance and control algorithms for space/aerospace vehicles. Prog. Aerosp. Sci. 2021, 122, 100696. [Google Scholar] [CrossRef]
- Malyuta, D.; Yu, Y.; Elango, P.; Açıkmeşe, B. Advances in trajectory optimization for space vehicle control. Annu. Rev. Control 2021, 52, 282–315. [Google Scholar] [CrossRef]
- Schwenzer, M.; Ay, M.; Bergs, T.; Abel, D. Review on model predictive control: An engineering perspective. Int. J. Adv. Manuf. Technol. 2021, 117, 1327–1349. [Google Scholar] [CrossRef]
- Chai, R.; Savvaris, A.; Tsourdos, A.; Chai, S.; Xia, Y. A review of optimization techniques in spacecraft flight trajectory design. Prog. Aerosp. Sci. 2019, 109, 100543. [Google Scholar] [CrossRef]
- Eren, U.; Prach, A.; Koçer, B.B.; Raković, S.V.; Kayacan, E.; Açıkmeşe, B. Model predictive control in aerospace systems: Current state and opportunities. J. Guid. Control Dyn. 2017, 40, 1541–1566. [Google Scholar] [CrossRef]
- Hayes, A.D.; Caverly, R.J. Model predictive tracking of spacecraft deorbit trajectories using drag modulation. Acta Astronaut. 2023, 202, 670–685. [Google Scholar] [CrossRef]
- Chai, J.; Kayacan, E. Nonlinear Simulation and Performance Characterization of an Adaptive Model Predictive Control Method for Booster Separation and Re-Entry. Electronics 2023, 12, 1488. [Google Scholar] [CrossRef]
- Li, W.; Song, Y.; Cheng, L.; Gong, S. Closed-loop deep neural network optimal control algorithm and error analysis for powered landing under uncertainties. Astrodynamics 2023, 7, 211–228. [Google Scholar] [CrossRef]
- Chai, J.; Medagoda, E.; Kayacan, E. Adaptive and efficient model predictive control for booster reentry. J. Guid. Control Dyn. 2020, 43, 2372–2382. [Google Scholar] [CrossRef]
- Fear, A.; Lightsey, E.G. Autonomous Rendezvous and Docking Implementation for Small Satellites Using Model Predictive Control. J. Guid. Control Dyn. 2024, 47, 539–547. [Google Scholar] [CrossRef]
- Margolis, B.W.; Ayoubi, M.A.; Joshi, S.S. Nonlinear model predictive control of reentry vehicles based on Takagi-Sugeno fuzzy models. J. Astronaut. Sci. 2020, 67, 113–136. [Google Scholar] [CrossRef]
- Allgöwer, F.; Zheng, A. Nonlinear Model Predictive; Birkhauser Springer: Berlin/Heidelberg, Germany, 2000. [Google Scholar]
- Rakovic, S.V.; Levine, W.S. Handbook of Model Predictive Control; Birkhauser Springer Nature: Cham, Switzerland, 2018. [Google Scholar]
- Rawlings, J.B.; Mayne, D.Q.; Diehl, M. Model Predictive Control: Theory, Computation, and Design, 2nd ed.; Nob Hill Publishing: Madison, WI, USA, 2017. [Google Scholar]
- Camacho, E.F.; Bordons, C. Model Predictive Control, 2nd ed.; Springer: London, UK, 2007. [Google Scholar]
- Reble, M. Model Predictive Control for Nonlinear Continuous-Time Systems with and Without Time-Delays; Logos Verlag: Berlin, Germany, 2013. [Google Scholar]
- Sun, Q.; Xu, J.; Zhang, H. Guidance for Hypersonic Reentry Using Nonlinear Model Predictive Control and Radau Pseudospectral Method. Optim. Control Appl. Methods 2025. [Google Scholar] [CrossRef]
- Engel, D.; Putnam, Z.; Dutta, S. Assessment of Model Predictive Control for Mars Entry Vehicles with Flaps. J. Spacecr. Rocket. 2025. [Google Scholar] [CrossRef]
- Patel, J.; Subbarao, K. Reachable-Set Constrained Model Predictive Control for Safe Hypersonic Reentry. J. Guid. Control Dyn. 2025, 48, 1253–1265. [Google Scholar] [CrossRef]
- Ding, H.; Xu, B.; Yang, W.; Zhou, Y.; Wu, X. A Robust Control Method for the Trajectory Tracking of Hypersonic Unmanned Flight Vehicles Based on Model Predictive Control. Drones 2025, 9, 223. [Google Scholar] [CrossRef]
- Willians, D. Planetary Fact Sheets. 2016. Available online: https://www.scribd.com/doc/7089255/Planetary-Fact-Sheet-Ratio-to-Earth-Values-NASA (accessed on 6 April 2025).
- Murcia-Piñeros, J.O.; Bevilacqua, R.; Gaglio, E.; Prado, A.F.; de Moraes, R.V. Spaceplane Model Predictive Control and guidance for aerogravity assisted maneuvers above Earth. Acta Astronaut. 2025. [Google Scholar] [CrossRef]
- Hedengren, J.D.; Asgharzadeh Shishavan, R.; Powell, K.M.; Edgar, T.F. Nonlinear Modeling, Estimation and Predictive Control in APMonitor. Comput. Chem. Eng. 2014, 70, 133–148. [Google Scholar] [CrossRef]
- Hunter, J.D. Matplotlib: A 2D graphics environment. Comput. Sci. Eng. 2007, 9, 90–95. [Google Scholar] [CrossRef]

Disclaimer/Publisher’s Note: The statements, opinions and data contained in all publications are solely those of the individual author(s) and contributor(s) and not of MDPI and/or the editor(s). MDPI and/or the editor(s) disclaim responsibility for any injury to people or property resulting from any ideas, methods, instructions or products referred to in the content. |
© 2025 by the authors. Licensee MDPI, Basel, Switzerland. This article is an open access article distributed under the terms and conditions of the Creative Commons Attribution (CC BY) license (https://creativecommons.org/licenses/by/4.0/).
Share and Cite
Murcia-Piñeros, J.; Prado, A.F.B.A.; Dimino, I. Model Predictive Control for Gliding Descent on Mars. Appl. Sci. 2025, 15, 10400. https://doi.org/10.3390/app151910400
Murcia-Piñeros J, Prado AFBA, Dimino I. Model Predictive Control for Gliding Descent on Mars. Applied Sciences. 2025; 15(19):10400. https://doi.org/10.3390/app151910400
Chicago/Turabian StyleMurcia-Piñeros, Jhonathan, Antônio F. B. A. Prado, and Ignazio Dimino. 2025. "Model Predictive Control for Gliding Descent on Mars" Applied Sciences 15, no. 19: 10400. https://doi.org/10.3390/app151910400
APA StyleMurcia-Piñeros, J., Prado, A. F. B. A., & Dimino, I. (2025). Model Predictive Control for Gliding Descent on Mars. Applied Sciences, 15(19), 10400. https://doi.org/10.3390/app151910400

