Enhancing Drought Tolerance in Barley (Hordeum vulgare L.) Through the Application of Olive Pomace Compost
Abstract
Featured Application
Abstract
1. Introduction
2. Materials and Methods
2.1. Growth Conditions and Treatments
2.2. Plant Sampling, Measurements, and Analyses
2.2.1. Growth Parameter Determination
2.2.2. Pigment Content
2.2.3. Water Level Status
2.2.4. Malondialdehyde (MDA) Content
2.2.5. Antioxidant Activity, Total Polyphenol Content, and Total Flavonoid Content
2.3. Statistical Analysis
3. Results
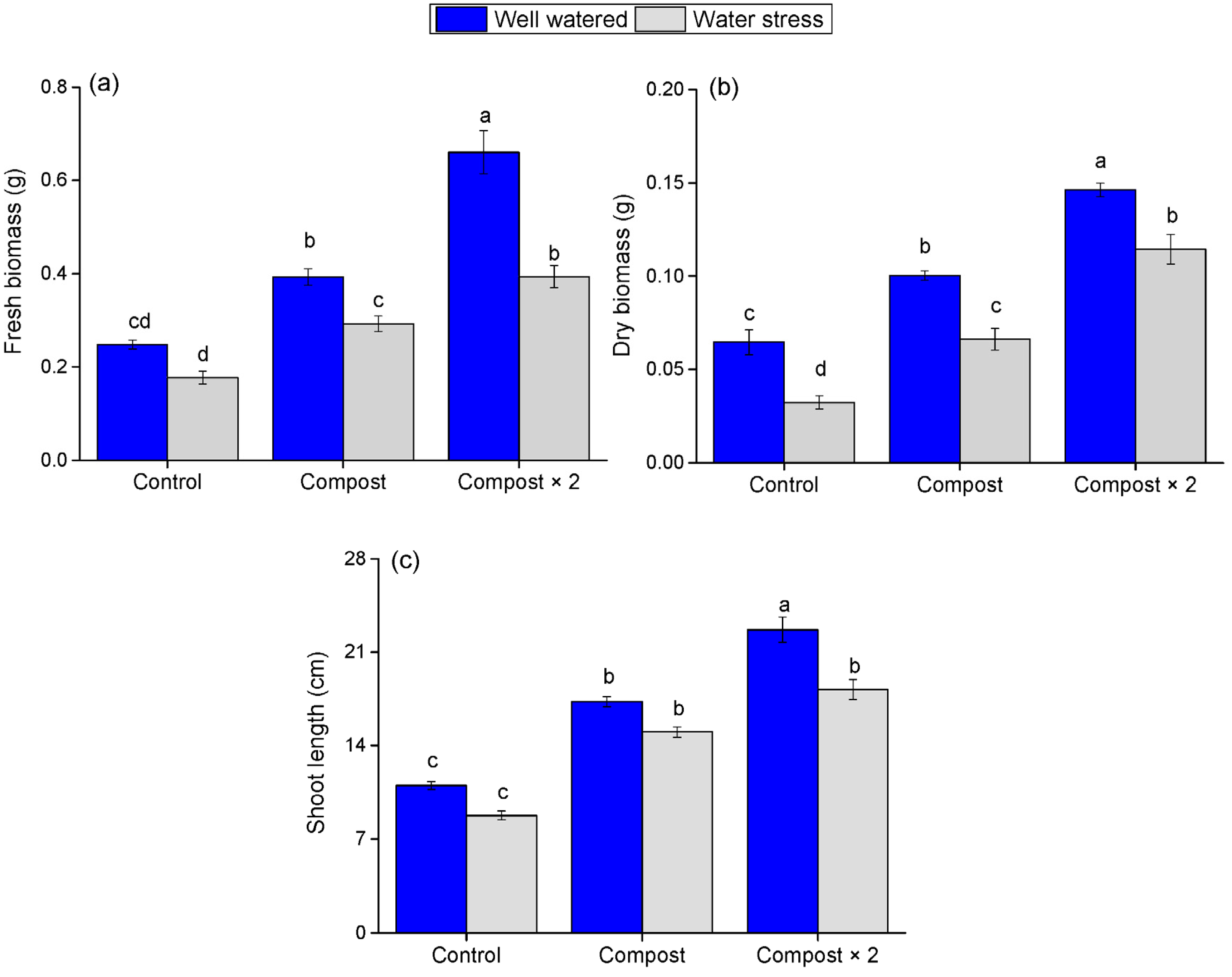
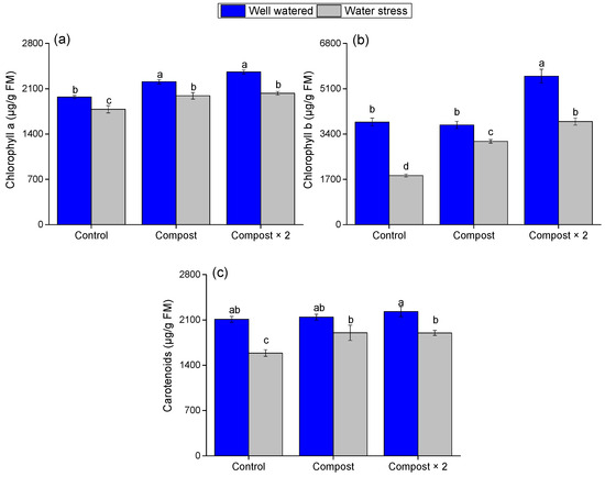
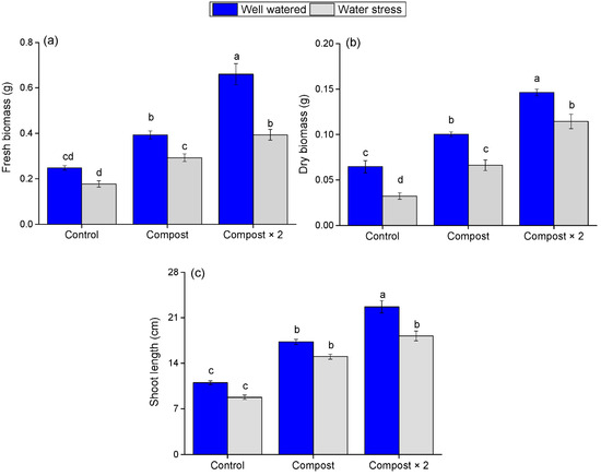
3.1. Growth Parameters and Pigment Content
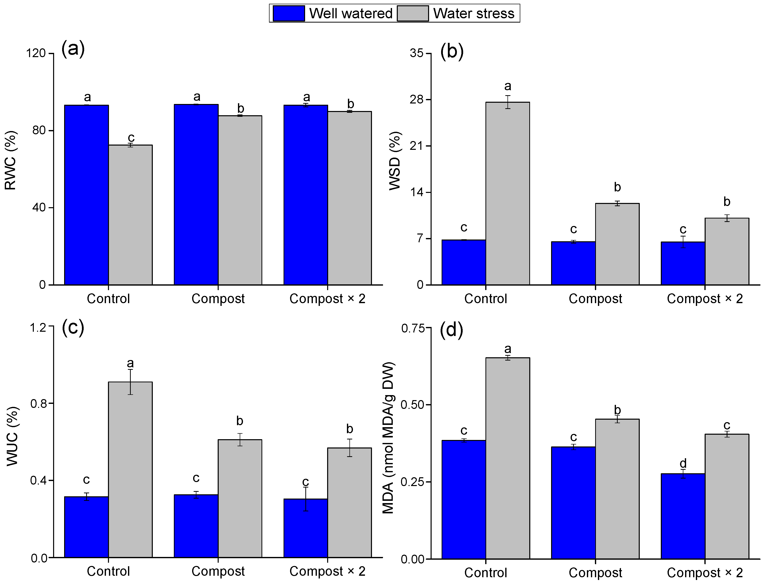
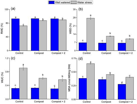
3.2. Water Status and MDA Content
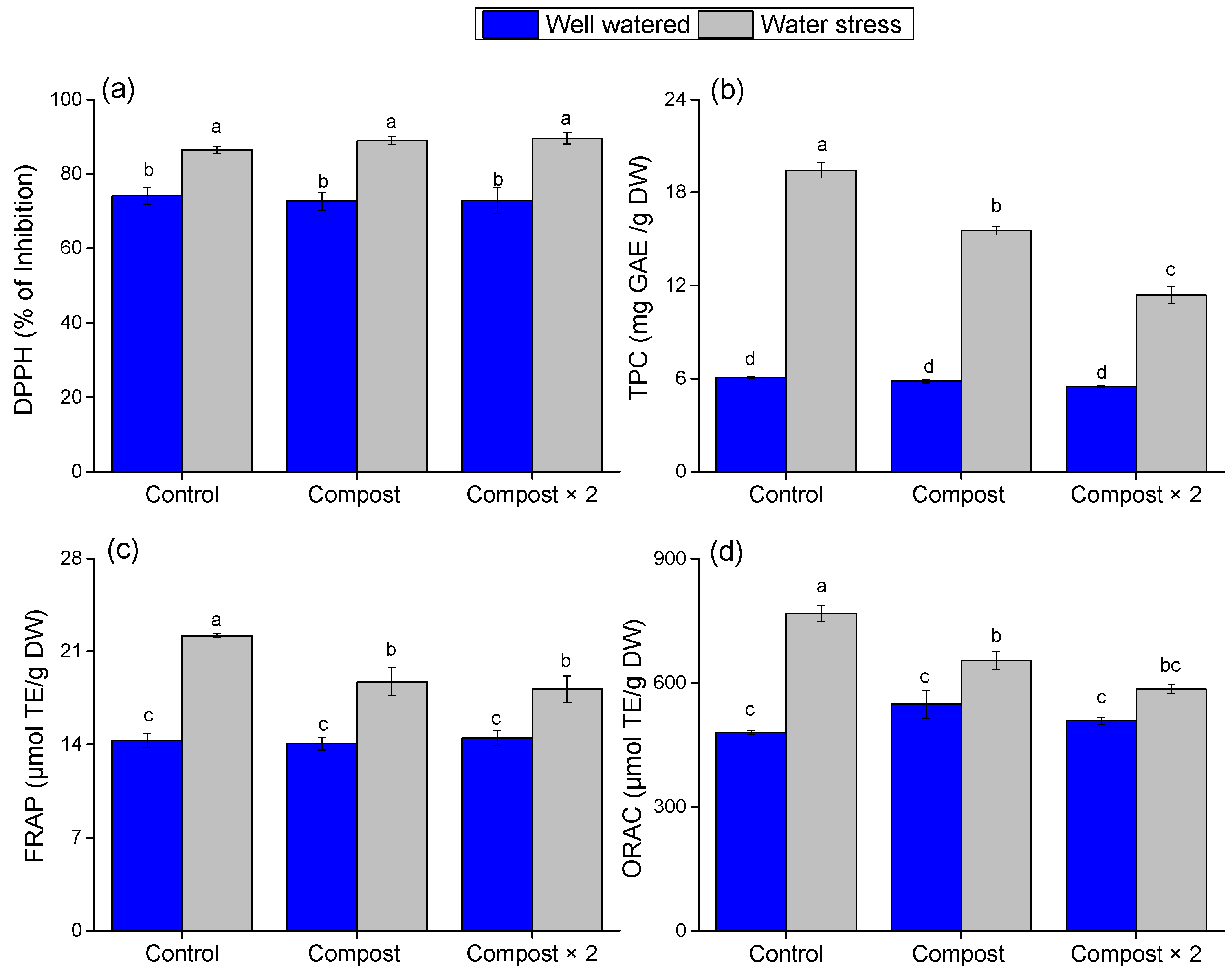
3.3. Antioxidant Activities
4. Discussion
5. Conclusions
Author Contributions
Funding
Data Availability Statement
Acknowledgments
Conflicts of Interest
Abbreviations
| TPC | Total Phenolic Content |
| DPPH | 2,2-diphenyl-1-picrylhydrazyl |
| FRAP | Ferric Reducing Antioxidant Power |
| ORAC | Oxygen Radical Absorbance Capacity |
| MDA | Malondialdehyde |
| RWC | Relative Water Content |
| WSD | Water Saturation Deficit |
| WUC | Water Uptake Capacity |
| ROS | Reactive Oxygen Species |
| FC | Field Capacity |
References
- Purugganan, M.D.; Fuller, D.Q. The nature of selection during plant domestication. Nature 2009, 457, 843–848. [Google Scholar] [CrossRef]
- Giraldo, P.; Benavente, E.; Gimenez, E. Worldwide Research Trends on Wheat and Barley: A Bibliometric Comparative Analysis. Agronomy 2019, 9, 352. [Google Scholar] [CrossRef]
- Gous, P.W.; Warren, F.; Mo, O.W.; Gilbert, R.G.; Fox, G.P. The effects of variable nitrogen application on barley starch structure under drought stress. J. Inst. Brew. 2015, 121, 502–509. [Google Scholar] [CrossRef]
- Högy, P.; Poll, C.; Marhan, S.; Kandeler, E.; Fangmeier, A. Impacts of temperature increase and change in precipitation pattern on crop yield and yield quality of barley. Food Chem. 2013, 136, 1470–1477. [Google Scholar] [CrossRef]
- Tricase, C.; Amicarelli, V.; Lamonaca, E.; Rana, R.L. Economic analysis of the barley market and related uses. Grasses Food Feed 2018, 10, 25–46. [Google Scholar]
- Bashir, S.S.; Hussain, A.; Hussain, S.J.; Wani, O.A.; Zahid Nabi, S.; Dar, N.A.; Baloch, F.S.; Mansoor, S. Plant drought stress tolerance: Understanding its physiological, biochemical and molecular mechanisms. Biotechnol. Biotechnol. Equip. 2021, 35, 1912–1925. [Google Scholar] [CrossRef]
- Li, F.; Chen, X.; Yu, X.; Chen, M.; Lu, W.; Wu, Y.; Xiong, F. Novel insights into the effect of drought stress on the development of root and caryopsis in barley. PeerJ 2020, 8, e8469. [Google Scholar] [CrossRef] [PubMed]
- Al-Ajlouni, Z.I.; Al-Abdallat, A.M.; Al-Ghzawi, A.L.A.; Ayad, J.Y.; Abu Elenein, J.M.; Al-Quraan, N.A.; Baenziger, P.S. Impact of pre-anthesis water deficit on yield and yield components in barley (Hordeum vulgare L.) plants grown under controlled conditions. Agronomy 2016, 6, 33. [Google Scholar] [CrossRef]
- Grašič, M.; Dobravc, M.; Golob, A.; Vogel-Mikuš, K.; Gaberščik, A. Water shortage reduces silicon uptake in barley leaves. Agric. Water Manag. 2019, 217, 47–56. [Google Scholar] [CrossRef]
- Robertson, B.C.; He, T.; Li, C. The Genetic Control of Stomatal Development in Barley: New Solutions for Enhanced Water-Use Efficiency in Drought-Prone Environments. Agronomy 2021, 11, 1670. [Google Scholar] [CrossRef]
- Gous, P.W.; Gilbert, R.G.; Fox, G.P. Drought-proofing barley (Hordeum vulgare) and its impact on grain quality: A review. J. Inst. Brew. 2015, 121, 19–27. [Google Scholar] [CrossRef]
- Wu, X.; Cai, K.; Zhang, G.; Zeng, F. Metabolite Profiling of Barley Grains Subjected to Water Stress: To Explain the Genotypic Difference in Drought-Induced Impacts on Malting Quality. Front. Plant Sci. 2017, 8, 1547. [Google Scholar] [CrossRef]
- Qian, S.; Zhou, X.; Fu, Y.; Song, B.; Yan, H.; Chen, Z.; Sun, Q.; Ye, H.; Qin, L.; Lai, C. Biochar-compost as a new option for soil improvement: Application in various problem soils. Sci. Total Environ. 2023, 870, 162024. [Google Scholar] [CrossRef]
- Ghorbani, M.; Neugschwandtner, R.W.; Konvalina, P.; Asadi, H.; Kopecký, M.; Amirahmadi, E. Comparative effects of biochar and compost applications on water holding capacity and crop yield of rice under evaporation stress: A two-years field study. Paddy Water Environ. 2023, 21, 47–58. [Google Scholar] [CrossRef]
- Głąb, T.; Gondek, K. Enhancing Soil Physical Quality with Compost Amendments: Effects of Particle Size and Additives. Agronomy 2025, 15, 458. [Google Scholar] [CrossRef]
- Goldan, E.; Nedeff, V.; Barsan, N.; Culea, M.; Mosnegutu, E.; Tomozei, C.; Chitimus, D.; Irimia, O. Assessment of Manure Compost Used as Soil Amendment—A Review. Processes 2023, 11, 1167. [Google Scholar] [CrossRef]
- Ahmed, T.; Noman, M.; Qi, Y.; Shahid, M.; Hussain, S.; Masood, H.A.; Xu, L.; Ali, H.M.; Negm, S.F.A.; Yao, Y.; et al. Fertilization of Microbial Composts: A Technology for Improving Stress Resilience in Plants. Plants 2023, 12, 3550. [Google Scholar] [CrossRef] [PubMed]
- Bouhadi, M.; Cherifi, O.; Bahammou, N.; Cherifi, K.; Talbi, M.; Elkouali, M.H.; Fougrach, H. The effect of Enteromorpha intestinalis and Corallina elongata on physiological parameters of Zea mays L. Arab Gulf J. Sci. Res. 2021, 39, 303–313. [Google Scholar] [CrossRef]
- Sirousmehr, A.; Arbabi, J.; Asgharipour, M.R. Effect of drought stress levels and organic manures on yield, essential oil content and some morphological characteristics of sweet basil (Ocimum basilicum). Adv. Environ. Biol. 2014, 8, 880–885. [Google Scholar]
- Bouhadi, M.; El Kouali, M.H.; Samir, K.; Elbouhmadi, K.; Talbi, M.; Fougrach, H. Exogenous Application of Thiamine and Nicotinic Acid Improves Tolerance and Morpho-physiological Parameters of Lens culinaris Under Lead (Pb) Exposure. J. Plant Growth Regul. 2024, 43, 4185–4198. [Google Scholar] [CrossRef]
- Heath, R.L.; Packer, L. Photoperoxidation in isolated chloroplasts: I. Kinetics and stoichiometry of fatty acid peroxidation. Arch. Biochem. Biophys. 1968, 125, 189–198. [Google Scholar] [CrossRef]
- Major, N.; Perković, J.; Palčić, I.; Bažon, I.; Horvat, I.; Ban, D.; Goreta Ban, S. The Phytochemical and Nutritional Composition of Shallot Species (Allium × cornutum, Allium × proliferum and A. cepa Aggregatum) Is Genetically and Environmentally Dependent. Antioxidants 2022, 11, 1547. [Google Scholar] [CrossRef] [PubMed]
- Brand-Williams, W.; Cuvelier, M.E.; Berset, C. Use of a free radical method to evaluate antioxidant activity. LWT-Food Sci. Technol. 1995, 28, 25–30. [Google Scholar] [CrossRef]
- Benzie, I.F.F.; Strain, J.J. The ferric reducing ability of plasma (FRAP) as a measure of “antioxidant power”: The FRAP assay. Anal. Biochem. 1996, 239, 70–76. [Google Scholar] [CrossRef]
- Ou, B.; Huang, D.; Hampsch-Woodill, M.; Flanagan, J.A.; Deemer, E.K. Analysis of Antioxidant Activities of Common Vegetables Employing Oxygen Radical Absorbance Capacity (ORAC) and Ferric Reducing Antioxidant Power (FRAP) Assays: A Comparative Study. J. Agric. Food Chem. 2002, 50, 3122–3128. [Google Scholar] [CrossRef] [PubMed]
- Kapoor, D.; Bhardwaj, S.; Landi, M.; Sharma, A.; Ramakrishnan, M.; Sharma, A. The Impact of Drought in Plant Metabolism: How to Exploit Tolerance Mechanisms to Increase Crop Production. Appl. Sci. 2020, 10, 5692. [Google Scholar] [CrossRef]
- Ullah, N.; Ditta, A.; Imtiaz, M.; Li, X.; Jan, A.U.; Mehmood, S.; Rizwan, M.S.; Rizwan, M. Appraisal for organic amendments and plant growth-promoting rhizobacteria to enhance crop productivity under drought stress: A review. J. Agron. Crop Sci. 2021, 207, 783–802. [Google Scholar] [CrossRef]
- Noor, R.S.; Hussain, F.; Abbas, I.; Umair, M.; Sun, Y. Effect of compost and chemical fertilizer application on soil physical properties and productivity of sesame (Sesamum Indicum L.). Biomass Conv. Bioref. 2023, 13, 905–915. [Google Scholar] [CrossRef]
- Shaji, H.; Chandran, V.; Mathew, L. Organic fertilizers as a route to controlled release of nutrients. Control. Release Fertil. Sustain. Agric. 2020, 13, 231–245. [Google Scholar] [CrossRef]
- Sandhu, N.; Sethi, M.; Kumar, A.; Dang, D.; Singh, J.; Chhuneja, P. Biochemical and Genetic Approaches Improving Nitrogen Use Efficiency in Cereal Crops: A Review. Front. Plant Sci. 2021, 12, 657629. [Google Scholar] [CrossRef]
- Ikan, C.; Soussani, F.-E.; Ouhaddou, R.; Ech-Chatir, L.; Errouh, F.; Boutasknit, A.; Assouguem, A.; Ali, E.A.; Ullah, R.; Ait Barka, E.; et al. Use of Biofertilizers as an Effective Management Strategy to Improve the Photosynthetic Apparatus, Yield, and Tolerance to Drought Stress of Drip-Irrigated Wheat in Semi-Arid Environments. Agronomy 2024, 14, 1316. [Google Scholar] [CrossRef]
- Kaur, H.; Kohli, S.K.; Khanna, K.; Bhardwaj, R. Scrutinizing the impact of water deficit in plants: Transcriptional regulation, signaling, photosynthetic efficacy, and management. Physiol. Plant. 2021, 172, 935–962. [Google Scholar] [CrossRef]
- El Moukhtari, A.; Lamsaadi, N.; Bouhadi, M.; Abchir, O.; Chtita, S.; Samir, K.; El Rasafi, T.; Ghoulam, C.; Farissi, M. Uptake and competition between cadmium nanoparticles and essential nutrients (Fe, Mg and Mn) in Phaseolus vulgaris L. using a molecular docking approach. Euro-Mediterr. J. Environ. Integr. 2025, 1–11. [Google Scholar] [CrossRef]
- Falcioni, R.; de Oliveira, C.A.; Vedana, N.G.; Mendonça, W.A.; Gonçalves, J.V.F.; da Silva Haubert, D.d.F.; de Matos, D.H.S.; Reis, A.S.; Antunes, W.C.; Crusiol, L.G.T.; et al. Progressive Water Deficit Impairs Soybean Growth, Alters Metabolic Profiles, and Decreases Photosynthetic Efficiency. Plants 2025, 14, 2615. [Google Scholar] [CrossRef]
- Wasaya, A.; Manzoor, S.; Yasir, T.A.; Sarwar, N.; Mubeen, K.; Ismail, I.A.; Raza, A.; Rehman, A.; Hossain, A.; EL Sabagh, A. Evaluation of Fourteen Bread Wheat (Triticum aestivum L.) Genotypes by Observing Gas Exchange Parameters, Relative Water and Chlorophyll Content, and Yield Attributes under Drought Stress. Sustainability 2021, 13, 4799. [Google Scholar] [CrossRef]
- Wang, X.; Wu, Z.; Zhou, Q.; Wang, X.; Song, S.; Dong, S. Physiological Response of Soybean Plants to Water Deficit. Front. Plant Sci. 2022, 12, 809692. [Google Scholar] [CrossRef] [PubMed]
- Chen, L.; Xu, M.; Cheng, Z.; Yang, L. Effects of Nitrogen Deficiency on the Photosynthesis, Chlorophyll a Fluorescence, Antioxidant System, and Sulfur Compounds in Oryza sativa. Int. J. Mol. Sci. 2024, 25, 10409. [Google Scholar] [CrossRef] [PubMed]
- Ali, O.; Cheddadi, I.; Landrein, B.; Long, Y. Revisiting the relationship between turgor pressure and plant cell growth. New Phytol. 2023, 238, 62–69. [Google Scholar] [CrossRef]
- Qiao, M.; Hong, C.; Jiao, Y.; Hou, S.; Gao, H. Impacts of Drought on Photosynthesis in Major Food Crops and the Related Mechanisms of Plant Responses to Drought. Plants 2023, 13, 1808. [Google Scholar] [CrossRef]
- Franco-Navarro, J.D.; Padilla, Y.G.; Álvarez, S.; Calatayud, Á.; Colmenero-Flores, J.M.; Gómez-Bellot, M.J.; Hernández, J.A.; Martínez-Alcalá, I.; Penella, C.; Pérez-Pérez, J.G.; et al. Advancements in Water-Saving Strategies and Crop Adaptation to Drought: A Comprehensive Review. Physiol. Plant. 2025, 177, e70332. [Google Scholar] [CrossRef]
- El Amerany, F.; Rhazi, M.; Wahbi, S.; Taourirte, M.; Meddich, A. The effect of chitosan, arbuscular mycorrhizal fungi, and compost applied individually or in combination on growth, nutrient uptake, and stem anatomy of tomato. Sci. Hortic. 2019, 261, 109015. [Google Scholar] [CrossRef]
- Mohideen, K.; Sudhakar, U.; Balakrishnan, T.; Almasri, M.A.; Al-Ahmari, M.M.; Al Dira, H.S.; Suhluli, M.; Dubey, A.; Mujoo, S.; Khurshid, Z.; et al. Malondialdehyde, an Oxidative Stress Marker in Oral Squamous Cell Carcinoma—A Systematic Review and Meta-Analysis. Curr. Issues Mol. Biol. 2021, 43, 1019–1035. [Google Scholar] [CrossRef]
- Wang, D.; Lin, J.Y.; Sayre, J.M.; Schmidt, R.; Fonte, S.J.; Rodrigues, J.L.; Scow, K.M. Compost amendment maintains soil structure and carbon storage by increasing available carbon and microbial biomass in agricultural soil—A six-year field study. Geoderma 2022, 427, 116117. [Google Scholar] [CrossRef]
- Lerma-Moliz, R.; López-González, J.; Suárez-Estrella, F.; Martínez-Gallardo, M.; Jurado, M.; Estrella-González, M.; Toribio, A.; Jiménez, R.; López, M. Antioxidant and biofertilizing effect of compost extracts on horticultural crops to minimize the use of agrochemicals. Environ. Technol. Innov. 2024, 36, 103776. [Google Scholar] [CrossRef]
- Filippou, P.; Antoniou, C.; Fotopoulos, V. Effect of drought and rewatering on the cellular status and antioxidant response of Medicago truncatula plants. Plant Signal. Behav. 2011, 6, 270–277. [Google Scholar] [CrossRef]
- Wang, Y.; Long, S.; Zhang, J.; Wang, P.; Zhao, L. Evaluation of Growth, Physiological, and Biochemical Responses of Different Medicago sativa L. Varieties Under Drought Stress. Plants 2024, 14, 639. [Google Scholar] [CrossRef] [PubMed]
- Abdou, N.M.; Roby, M.H.; Abdulkreem, A.; Elkelish, A.; Sayed, A.A.; Alharbi, B.M.; Mahdy, H.A.; Badawy, A.I. Compost Improving Morphophysiological and Biochemical Traits, Seed Yield, and Oil Quality of Nigella sativa under Drought Stress. Agronomy 2023, 13, 1147. [Google Scholar] [CrossRef]
- Angon, P.B.; Tahjib-Ul-Arif, M.; Samin, S.I.; Habiba, U.; Hossain, M.A.; Brestic, M. How Do Plants Respond to Combined Drought and Salinity Stress?—A Systematic Review. Plants 2022, 11, 2884. [Google Scholar] [CrossRef]
- Wang, P.; Liu, C.; Han, C.; Wang, S.; Bai, Y.; Song, P. Reactive oxygen species: Multidimensional regulators of plant adaptation to abiotic stress and development. J. Integr. Plant Biol. 2024, 66, 330–367. [Google Scholar] [CrossRef]
- Bouhadi, M.; El Abbassi, A.; El Hajjouji, H.; El Kouali, M.H.; Talbi, M.; Fougrach, H. The effect of chromium (VI) on stress related genes expression in the roots of Vicia faba L. Biologia 2025, 80, 1967–1976. [Google Scholar] [CrossRef]
- Bouhadi, M.; Abchir, O.; Yamari, I.; El Hamsas El Youbi, A.; Azgaoui, A.; Chtita, S.; El Hajjouji, H.; El Kouali, M.; Talbi, M.; Fougrach, H. Genotoxic effects and mitosis aberrations of chromium (VI) on root cells of Vicia faba and its molecular docking analysis. Plant Physiol. Biochem. 2024, 207, 108361. [Google Scholar] [CrossRef]
- Luo, X.; Zhang, Y.; Zeng, Y.; Yang, D.; Zhou, Z.; Zheng, Z.; Xiao, P.; Ding, X.; Li, Q.; Chen, J.; et al. Nanotherapies Based on ROS Regulation in Oral Diseases. Adv. Sci. 2025, 12, 2409087. [Google Scholar] [CrossRef] [PubMed]
- Khorobrykh, S.; Havurinne, V.; Mattila, H.; Tyystjärvi, E. Oxygen and ROS in Photosynthesis. Plants 2019, 9, 91. [Google Scholar] [CrossRef] [PubMed]




| Treatment No | Treatment Code | Water Regime | Compost Application |
|---|---|---|---|
| 1 | Control | Well-watered (80% FC) | Control (no compost) |
| 2 | Compost | Well-watered (80% FC) | Standard dose (Compost) |
| 3 | Compost × 2 | Well-watered (80% FC) | Double dose (Compost × 2) |
| 4 | Control | Water-stress (40% FC) | Control (no compost) |
| 5 | Compost | Water-stress (40% FC) | Standard dose (Compost) |
| 6 | Compost × 2 | Water-stress (40% FC) | Double dose (Compost × 2) |
| Treatments | Compost | Water Stress | Compost × Water Stress | |||
|---|---|---|---|---|---|---|
| F | p | F | p | F | p | |
| Fresh biomass | 82.831 | <0.01 | 53.048 | <0.01 | 9.226 | 0.002 |
| Dry biomass | 116.475 | <0.01 | 55.364 | <0.01 | 0.029 | 0.971 |
| Shoot length | 175.829 | <0.01 | 42.153 | <0.01 | 2.6 | 0.102 |
| Chl a | 35.072 | <0.01 | 62.12 | <0.01 | 1.769 | 0.199 |
| Chl b | 56.951 | <0.01 | 19.696 | <0.01 | 3.848 | 0.041 |
| Carotenoids | 7.682 | 0.004 | 34.403 | <0.01 | 0.478 | 0.628 |
| RWC | 5.164 | 0.024 | 5.137 | 0.043 | 5.165 | 0.024 |
| WSD | 115.941 | <0.01 | 374.134 | <0.01 | 108.056 | <0.01 |
| WUC | 12.044 | 0.002 | 148.566 | <0.01 | 11.539 | 0.01 |
| MDA | 153.316 | <0.01 | 374.689 | <0.01 | 41.837 | <0.01 |
| DPPH | 0.1 | 0.906 | 73.633 | <0.01 | 0.62 | 0.554 |
| TPC | 91.8 | <0.01 | 1387.146 | <0.01 | 69.129 | <0.01 |
| FRAP | 4.875 | 0.028 | 89.81 | <0.01 | 5.019 | 0.026 |
| ORAC | 9.079 | 0.004 | 103.493 | <0.01 | 18.794 | <0.01 |
Disclaimer/Publisher’s Note: The statements, opinions and data contained in all publications are solely those of the individual author(s) and contributor(s) and not of MDPI and/or the editor(s). MDPI and/or the editor(s) disclaim responsibility for any injury to people or property resulting from any ideas, methods, instructions or products referred to in the content. |
© 2025 by the authors. Licensee MDPI, Basel, Switzerland. This article is an open access article distributed under the terms and conditions of the Creative Commons Attribution (CC BY) license (https://creativecommons.org/licenses/by/4.0/).
Share and Cite
Bouhadi, M.; Javed, Q.; Kovačević, T.K.; Major, N.; Goreta Ban, S.; Ban, D.; Heath, D.; Černe, M. Enhancing Drought Tolerance in Barley (Hordeum vulgare L.) Through the Application of Olive Pomace Compost. Appl. Sci. 2025, 15, 10309. https://doi.org/10.3390/app151910309
Bouhadi M, Javed Q, Kovačević TK, Major N, Goreta Ban S, Ban D, Heath D, Černe M. Enhancing Drought Tolerance in Barley (Hordeum vulgare L.) Through the Application of Olive Pomace Compost. Applied Sciences. 2025; 15(19):10309. https://doi.org/10.3390/app151910309
Chicago/Turabian StyleBouhadi, Mohammed, Qaiser Javed, Tvrtko Karlo Kovačević, Nikola Major, Smiljana Goreta Ban, Dean Ban, David Heath, and Marko Černe. 2025. "Enhancing Drought Tolerance in Barley (Hordeum vulgare L.) Through the Application of Olive Pomace Compost" Applied Sciences 15, no. 19: 10309. https://doi.org/10.3390/app151910309
APA StyleBouhadi, M., Javed, Q., Kovačević, T. K., Major, N., Goreta Ban, S., Ban, D., Heath, D., & Černe, M. (2025). Enhancing Drought Tolerance in Barley (Hordeum vulgare L.) Through the Application of Olive Pomace Compost. Applied Sciences, 15(19), 10309. https://doi.org/10.3390/app151910309

