Cross-Regional Pavement Temperature Prediction Using Transfer Learning and Random Forest
Abstract
1. Introduction
2. Methodology
2.1. Dataset Construction
2.2. Random Forest Models
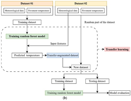
2.3. Transfer Learning Framework
2.4. Model Evaluation Metrics
3. Analysis of Meteorological Characteristics
3.1. Meteorological Characteristics
3.2. Pavement Temperature Characteristics
3.3. Correlation Analysis Between Meteorological Factors and Pavement Temperature
4. Results and Discussion
4.1. Pavement Temperature Prediction Based on Ensemble Models
4.2. Cross-Regional Prediction Using Transfer Learning Based on Random Forest
4.3. Integrated Prediction Across All Regions via Enhanced Transfer Learning
4.4. Model Validation Using Independent Regional Data
5. Conclusions
- The correlation analysis reveals both commonalities and regional differences in the relationships between pavement temperature and meteorological factors. Across all study areas, pavement temperature consistently exhibits strong correlations with air temperature and solar radiation, indicating that these two factors are the dominant drivers of pavements’ thermal behavior. However, the influence of relative humidity and wind speed varies among regions. At Site01 and Site03, the pavement temperature is significantly affected by both relative humidity and wind speed, whereas at Site02 and Site04, the correlation with relative humidity is weak. These regional variations highlight the need to consider localized climatic characteristics when developing and applying predictive models.
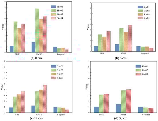
- The random forest model achieves high accuracy when predicting pavement temperatures within the same region. For example, using meteorological data from Site01 to predict temperatures at Site01 yields an R2 of 0.98, indicating excellent performance. However, when the same model is applied to Site02, Site03, and Site04, its accuracy declines significantly, with the R2 values falling to 0.72, 0.82, and 0.51, respectively. This performance gap highlights the model’s strong reliance on region-specific data and its limited ability to generalize across varying climatic conditions. As a result, it is essential to improve the model’s adaptability to ensure accurate and scalable pavement temperature predictions across multiple regions.
- By introducing feature enhancement strategies based on multi-regional data, the TL-RF model demonstrates significant improvements in predictive performance. Compared to the RF model, the TL-RF model reduces the RMSE from 6.7 to 3.86 and the MAE from 4.91 to 2.78, while the R2 increases markedly from 0.75 to 0.92. These improvements reflect the model’s enhanced generalization ability and robustness in adapting to regional variability. The findings demonstrate that the proposed approach provides a practical and scalable solution to the limitations of traditional models in cross-regional pavement temperature prediction.
- To evaluate the generalization capability and practical applicability of the proposed TL-RF model, independent validation was performed using data from a region excluded from the training process. The model maintained high prediction accuracy across various depths, with an average R2 of 0.95, indicating strong transferability and robustness under unfamiliar climatic conditions. While these results are promising, future research should explore the model’s scalability to broader climatic regions and finer temporal resolutions. Utilizing public datasets and integrating deep learning-based ensemble methods may further improve the computational efficiency and predictive performance.
Author Contributions
Funding
Institutional Review Board Statement
Informed Consent Statement
Data Availability Statement
Conflicts of Interest
References
- Assogba, O.C.; Tan, Y.; Zhou, X.; Zhang, C.; Anato, J.N. Numerical investigation of the mechanical response of semi-rigid base asphalt pavement under traffic load and nonlinear temperature gradient effect. Constr. Build. Mater. 2020, 235, 117406. [Google Scholar] [CrossRef]
- Xue, Q.; Liu, L.; Zhao, Y.; Chen, Y.-J.; Li, J.-S. Dynamic behavior of asphalt pavement structure under temperature-stress coupled loading. Appl. Therm. Eng. 2013, 53, 1–7. [Google Scholar] [CrossRef]
- Cheng, H.; Liu, J.; Sun, L.; Liu, L. Critical position of fatigue damage within asphalt pavement considering temperature and strain distribution. Int. J. Pavement Eng. 2021, 22, 1773–1784. [Google Scholar] [CrossRef]
- Zhang, Q.; Yang, S.; Chen, G. Regional variations of climate change impacts on asphalt pavement rutting distress. Transp. Res. Part D Transp. Environ. 2024, 126, 103968. [Google Scholar] [CrossRef]
- Ma, R.; Li, Y.; Cheng, P.; Chen, X.; Cheng, A. Low-temperature cracking and improvement methods for asphalt pavement in cold regions: A review. Buildings 2024, 14, 3802. [Google Scholar] [CrossRef]
- Yang, R.; Liu, L.; Sun, L.; Jin, T.; Cheng, H.; Yuan, J. Effective temperature model for rutting prediction considering temperature distribution inside the asphalt pavements. Road Mater. Pavement Des. 2025, 1–20. [Google Scholar] [CrossRef]
- Wang, T.-H.; Su, L.-J.; Zhai, J.-Y. A case study on diurnal and seasonal variation in pavement temperature. Int. J. Pavement Eng. 2014, 15, 402–408. [Google Scholar] [CrossRef]
- Cheng, H.; Wang, Y.; Chong, D.; Xia, C.; Sun, L.; Liu, J.; Gao, K.; Yang, R.; Jin, T. Truck platooning reshapes greenhouse gas emissions of the integrated vehicle-road infrastructure system. Nat. Commun. 2023, 14, 4495. [Google Scholar] [CrossRef]
- Adwan, I.; Milad, A.; Memon, Z.A.; Widyatmoko, I.; Ahmat Zanuri, N.; Memon, N.A.; Yusoff, N.I.M. Asphalt pavement temperature prediction models: A review. Appl. Sci. 2021, 11, 3794. [Google Scholar] [CrossRef]
- Sreedhar, S.; Biligiri, K.P. Development of pavement temperature predictive models using thermophysical properties to assess urban climates in the built environment. Sustain. Cities Soc. 2016, 22, 78–85. [Google Scholar] [CrossRef]
- Chandrappa, A.K.; Biligiri, K.P. Development of pavement-surface temperature predictive models: Parametric approach. J. Mater. Civ. Eng. 2016, 28, 04015143. [Google Scholar] [CrossRef]
- Athukorallage, B.; Senadheera, S.; James, D. Temporal and spatial temperature predictions for flexible pavement layers using numerical thermal analysis and verified with large datasets. Case Stud. Constr. Mater. 2023, 18, e02008. [Google Scholar] [CrossRef]
- Saliko, D.; Ahmed, A.; Erlingsson, S. Development and validation of a pavement temperature profile prediction model in a mechanistic-empirical design framework. Transp. Geotech. 2023, 40, 100976. [Google Scholar] [CrossRef]
- Ntramah, S.; Tutu, K.A.; Tuffour, Y.A.; Adams, C.A.; Adanu, E.K. Evaluation of selected empirical models for asphalt pavement temperature prediction in a tropical climate: The case of Ghana. Sustainability 2023, 15, 15846. [Google Scholar] [CrossRef]
- Walia, A.; Rastogi, R.; Kumar, P.; Jain, S. Development of a temperature prediction model for asphalt pavements considering air temperature data of preceding hours. Int. J. Pavement Eng. 2023, 24, 2132245. [Google Scholar] [CrossRef]
- Li, Y.; Liu, L.; Sun, L. Temperature predictions for asphalt pavement with thick asphalt layer. Constr. Build. Mater. 2018, 160, 802–809. [Google Scholar] [CrossRef]
- Diefenderfer, B.K.; Al-Qadi, I.L.; Diefenderfer, S.D. Model to predict pavement temperature profile: Development and validation. J. Transp. Eng. 2006, 132, 162–167. [Google Scholar] [CrossRef]
- Ghalandari, T.; Shi, L.; Sadeghi-Khanegah, F.; Vuye, C. Utilizing artificial neural networks to predict the asphalt pavement profile temperature in western Europe. Case Stud. Constr. Mater. 2023, 18, e02130. [Google Scholar] [CrossRef]
- Xu, B.; Dan, H.-C.; Li, L. Temperature prediction model of asphalt pavement in cold regions based on an improved BP neural network. Appl. Therm. Eng. 2017, 120, 568–580. [Google Scholar] [CrossRef]
- Kebede, Y.B.; Yang, M.-D.; Huang, C.-W. Real-time pavement temperature prediction through ensemble machine learning. Eng. Appl. Artif. Intell. 2024, 135, 108870. [Google Scholar] [CrossRef]
- Liu, P.; Wang, L.; Ranjan, R.; He, G.; Zhao, L. A survey on active deep learning: From model driven to data driven. ACM Comput. Surv. 2022, 54, 221. [Google Scholar] [CrossRef]
- Joo, C.; Park, H.; Lim, J.; Cho, H.; Kim, J. Development of physical property prediction models for polypropylene composites with optimizing random forest hyperparameters. Int. J. Intell. Syst. 2022, 37, 3625–3653. [Google Scholar] [CrossRef]
- Kwak, S.; Kim, J.; Ding, H.; Xu, X.; Chen, R.; Guo, J.; Fu, H. Machine learning prediction of the mechanical properties of γ-TiAl alloys produced using random forest regression model. J. Mater. Res. Technol. 2022, 18, 520–530. [Google Scholar] [CrossRef]
- Rostami, M.A.; Frontalini, F.; Giordano, P.; Francescangeli, F.; Martins, M.V.A.; Dyer, L.; Spagnoli, F. Testing the applicability of random forest modeling to examine benthic foraminiferal responses to multiple environmental parameters. Mar. Environ. Res. 2021, 172, 105502. [Google Scholar] [CrossRef]
- Fox, E.W.; Hill, R.A.; Leibowitz, S.G.; Olsen, A.R.; Thornbrugh, D.J.; Weber, M.H. Assessing the accuracy and stability of variable selection methods for random forest modeling in ecology. Environ. Monit. Assess. 2017, 189, 316. [Google Scholar] [CrossRef]
- Zheng, H.; Wang, R.; Yang, Y.; Yin, J.; Li, Y.; Li, Y.; Xu, M. Cross-domain fault diagnosis using knowledge transfer strategy: A review. IEEE Access 2019, 7, 129260–129290. [Google Scholar] [CrossRef]
- Gholizade, M.; Soltanizadeh, H.; Rahmanimanesh, M.; Sana, S.S. A review of recent advances and strategies in transfer learning. Int. J. Syst. Assur. Eng. Manag. 2025, 16, 1123–1162. [Google Scholar] [CrossRef]
- Pires de Lima, R.; Marfurt, K. Convolutional neural network for remote-sensing scene classification: Transfer learning analysis. Remote Sens. 2019, 12, 86. [Google Scholar] [CrossRef]
- Zhang, Z.; Yang, H.; Yang, X. A transfer learning–based LSTM for traffic flow prediction with missing data. J. Transp. Eng. Part A Syst. 2023, 149, 04023095. [Google Scholar] [CrossRef]
- Ma, Y.; Chen, S.; Ermon, S.; Lobell, D.B. Transfer learning in environmental remote sensing. Remote Sens. Environ. 2024, 301, 113924. [Google Scholar] [CrossRef]
- Muñoz Sabater, J. ERA5-Land Hourly Data From 1950 to Present. Copernicus Climate Change Service (C3S) Climate Data Store (CDS). 2019. Available online: https://cds.climate.copernicus.eu/datasets/reanalysis-era5-land?tab=overview (accessed on 31 October 2024).
- Parmar, A.; Katariya, R.; Patel, V. A review on random forest: An ensemble classifier. In Proceedings of the International Conference on Intelligent Data Communication Technologies and Internet of Things; Springer: Cham, Switzerland, 2018; pp. 758–763. [Google Scholar] [CrossRef]
- Weiss, K.; Khoshgoftaar, T.M.; Wang, D. A survey of transfer learning. J. Big Data 2016, 3, 9. [Google Scholar] [CrossRef]















| Site | City | Monitoring Period | Number of Meteorological Data | Temperature Sensor Depth (cm) | Number of Temperature Data |
|---|---|---|---|---|---|
| 01 | Ordos | 2021/04/25–2022/04/27 | 4 × 8424 = 33,696 | 0, 5, 12, 30 | 4 × 8424 = 33,696 |
| 02 | Korla | 2017/01/01–2017/10/10 | 4 × 6288 = 25,152 | 0, 5, 12, 30 | 4 × 6288 = 25,152 |
| 03 | Zhenjiang | 2016/10/31–2017/08/14 | 4 × 6239 = 24,956 | 0, 5, 12, 30 | 4 × 6239 = 24,956 |
| 04 | Zhangzhou | 2021/01/01–2021/12/31 | 4 × 8688 = 34,752 | 0, 5, 12 | 3 × 8688 = 26,064 |
| 05 | Kashgar | 2023/10/20–2024/10/31 | 4 × 9063 = 36,252 | 0, 5, 12, 30 | 4 × 9063 = 36,252 |
| Meteorological Characteristics | Site01 | Site02 | Site03 | Site04 | ||||||||
|---|---|---|---|---|---|---|---|---|---|---|---|---|
| RMSE | RMSE | RMSE | RMSE | |||||||||
| Air temperature | 9.45 | 12.33 | 0.037 | 16.48 | 13.66 | 0.043 | 15.35 | 9.85 | 0.045 | 21.96 | 6.09 | 0.042 |
| Solar radiation | 1.05 | 0.76 | 0.042 | 1.07 | 0.72 | 0.042 | 0.99 | 0.82 | 0.056 | 1.10 | 0.79 | 0.048 |
| Relative humidity | 45.59 | 21.65 | 0.032 | 59.23 | 22.50 | 0.033 | 73.47 | 17.17 | 0.046 | 75.25 | 14.53 | 0.043 |
| Wind speed | 2.69 | 1.94 | 0.036 | 1.52 | 1.38 | 0.059 | 1.73 | 1.15 | 0.026 | 1.69 | 1.03 | 0.026 |
| Regions | Temperature at Different Depths | AT | SR | RH | WS | Critical Correlation Coefficient |
|---|---|---|---|---|---|---|
| Site01 | T0 cm | 0.899 | 0.719 | −0.287 | 0.202 | 0.0214 |
| T5 cm | 0.973 | 0.501 | −0.201 | 0.226 | ||
| T12 cm | 0.969 | 0.284 | −0.085 | 0.222 | ||
| T30 cm | 0.915 | 0.147 | 0.063 | 0.195 | ||
| Site02 | T0c m | 0.951 | 0.521 | 0.328 | 0.147 | 0.0247 |
| T5 cm | 0.967 | 0.429 | 0.388 | 0.170 | ||
| T12 cm | 0.967 | 0.314 | 0.467 | 0.195 | ||
| T30 cm | 0.935 | 0.170 | 0.582 | 0.218 | ||
| Site03 | T0 cm | 0.949 | 0.559 | −0.296 | −0.004 | 0.0248 |
| T5 cm | 0.964 | 0.474 | −0.256 | −0.009 | ||
| T12 cm | 0.964 | 0.291 | −0.143 | −0.026 | ||
| T30 cm | 0.926 | 0.124 | 0.033 | −0.039 | ||
| Site04 | T0 cm | 0.879 | 0.500 | −0.087 | −0.029 | 0.0210 |
| T5 cm | 0.893 | 0.500 | −0.008 | −0.054 | ||
| T12 cm | 0.886 | 0.278 | 0.162 | −0.102 |
| Site | Depth | Training Datasets | Testing Datasets | ||||||
|---|---|---|---|---|---|---|---|---|---|
| MAE | MSE | RMSE | R2 | MAE | MSE | RMSE | R2 | ||
| 01 | 0 cm | 1.16 | 3.29 | 1.81 | 0.99 | 2.21 | 11.58 | 3.40 | 0.96 |
| 5 cm | 0.99 | 1.9 | 1.38 | 0.99 | 1.96 | 7.08 | 2.66 | 0.97 | |
| 12 cm | 0.95 | 1.63 | 1.28 | 0.99 | 1.76 | 5.35 | 2.31 | 0.97 | |
| 30 cm | 1.08 | 2.24 | 1.5 | 0.98 | 2.07 | 7.98 | 2.82 | 0.94 | |
| 02 | 0 cm | 1.36 | 3.76 | 1.94 | 0.98 | 2.44 | 11.21 | 3.35 | 0.95 |
| 5 cm | 1.22 | 3.10 | 1.76 | 0.98 | 2.36 | 10.79 | 3.28 | 0.95 | |
| 12 cm | 1.12 | 2.55 | 1.60 | 0.99 | 2.29 | 9.75 | 3.12 | 0.95 | |
| 30 cm | 1.20 | 2.76 | 1.66 | 0.98 | 2.18 | 8.58 | 2.93 | 0.95 | |
| 03 | 0 cm | 0.90 | 1.72 | 1.31 | 0.99 | 1.69 | 5.85 | 2.42 | 0.97 |
| 5 cm | 0.89 | 1.53 | 1.24 | 0.99 | 1.71 | 5.59 | 2.36 | 0.97 | |
| 12 cm | 0.92 | 1.58 | 1.25 | 0.99 | 1.73 | 5.39 | 2.32 | 0.96 | |
| 30 cm | 0.85 | 1.40 | 1.18 | 0.99 | 1.71 | 5.74 | 2.40 | 0.95 | |
| 04 | 0 cm | 1.14 | 2.43 | 1.56 | 0.97 | 2.21 | 8.67 | 2.94 | 0.90 |
| 5 cm | 1.11 | 2.25 | 1.50 | 0.97 | 2.19 | 8.43 | 2.90 | 0.88 | |
| 12 cm | 1.03 | 1.88 | 1.37 | 0.96 | 2.00 | 6.85 | 2.62 | 0.88 | |
| Site | Metrics | 5 cm | 12 cm | 30 cm | ||||||
|---|---|---|---|---|---|---|---|---|---|---|
| RF | TL-RF | Relative Change | RF | TL-RF | Relative Change | RF | TL-RF | Relative Change | ||
| 02 | MSE | 18.24 | 12.13 | 33.5 | 14.06 | 10.08 | 28.31 | 15.92 | 10.16 | 36.18 |
| RMSE | 4.27 | 3.48 | 18.5 | 3.75 | 3.18 | 15.2 | 3.99 | 3.19 | 20.05 | |
| MAE | 3.11 | 2.48 | 20.26 | 2.87 | 2.29 | 20.21 | 3.22 | 2.38 | 26.09 | |
| R2 | 0.90 | 0.94 | −4.44 | 0.93 | 0.95 | −2.15 | 0.90 | 0.94 | −4.44 | |
| 03 | MSE | 12.50 | 5.65 | 54.8 | 16.17 | 5.68 | 64.87 | 16.64 | 5.06 | 69.59 |
| RMSE | 3.54 | 2.37 | 33.05 | 4.02 | 2.38 | 40.8 | 4.08 | 2.24 | 45.1 | |
| MAE | 2.71 | 1.71 | 36.9 | 3.22 | 1.75 | 45.65 | 3.25 | 1.64 | 49.54 | |
| R2 | 0.93 | 0.97 | −4.3 | 0.89 | 0.96 | −7.87 | 0.85 | 0.95 | −11.76 | |
| 04 | MSE | 24.69 | 8.28 | 66.46 | 24.44 | 6.96 | 71.52 | / | / | / |
| RMSE | 4.97 | 2.88 | 42.05 | 4.94 | 2.64 | 46.56 | / | / | / | |
| MAE | 3.91 | 2.20 | 43.73 | 3.88 | 2.04 | 47.42 | / | / | / | |
| R2 | 0.65 | 0.88 | −35.38 | 0.53 | 0.87 | −64.15 | / | / | / | |
| Site | RMSE | MAE | R2 |
|---|---|---|---|
| 01 | 3.375 ± 0.108 | 2.250 ± 0.040 | 0.961 ± 0.002 |
| 02 | 3.674 ± 0.110 | 2.637 ± 0.053 | 0.938 ± 0.005 |
| 03 | 2.575 ± 0.033 | 1.799 ± 0.014 | 0.966 ± 0.001 |
| 04 | 2.980 ± 0.047 | 2.241 ± 0.041 | 0.894 ± 0.003 |
| 05 | 2.846 ± 0.047 | 2.082 ± 0.030 | 0.961 ± 0.001 |
Disclaimer/Publisher’s Note: The statements, opinions and data contained in all publications are solely those of the individual author(s) and contributor(s) and not of MDPI and/or the editor(s). MDPI and/or the editor(s) disclaim responsibility for any injury to people or property resulting from any ideas, methods, instructions or products referred to in the content. |
© 2025 by the authors. Licensee MDPI, Basel, Switzerland. This article is an open access article distributed under the terms and conditions of the Creative Commons Attribution (CC BY) license (https://creativecommons.org/licenses/by/4.0/).
Share and Cite
Yuan, J.; Cheng, H.; Sun, L.; Cao, Y.; Yang, R.; Jin, T.; Li, M. Cross-Regional Pavement Temperature Prediction Using Transfer Learning and Random Forest. Appl. Sci. 2025, 15, 7436. https://doi.org/10.3390/app15137436
Yuan J, Cheng H, Sun L, Cao Y, Yang R, Jin T, Li M. Cross-Regional Pavement Temperature Prediction Using Transfer Learning and Random Forest. Applied Sciences. 2025; 15(13):7436. https://doi.org/10.3390/app15137436
Chicago/Turabian StyleYuan, Jiang, Huailei Cheng, Lijun Sun, Yadong Cao, Ruikang Yang, Tian Jin, and Mingchen Li. 2025. "Cross-Regional Pavement Temperature Prediction Using Transfer Learning and Random Forest" Applied Sciences 15, no. 13: 7436. https://doi.org/10.3390/app15137436
APA StyleYuan, J., Cheng, H., Sun, L., Cao, Y., Yang, R., Jin, T., & Li, M. (2025). Cross-Regional Pavement Temperature Prediction Using Transfer Learning and Random Forest. Applied Sciences, 15(13), 7436. https://doi.org/10.3390/app15137436

