Freeze–Thaw-Induced Degradation Mechanisms and Slope Stability of Filled Fractured Rock Masses in Cold Region Open-Pit Mines
Abstract
1. Introduction
2. Sample Preparation and Experimental Program
2.1. Sample Preparation
2.2. Experimental Program
2.2.1. Relationship Between Rock Mass Temperature and Burial Depth
2.2.2. Freeze–Thaw Cycle Test
2.2.3. Direct Shear Tests on Infill Specimens
3. Shear Strength Evolution of Structural Plane Infill Specimens
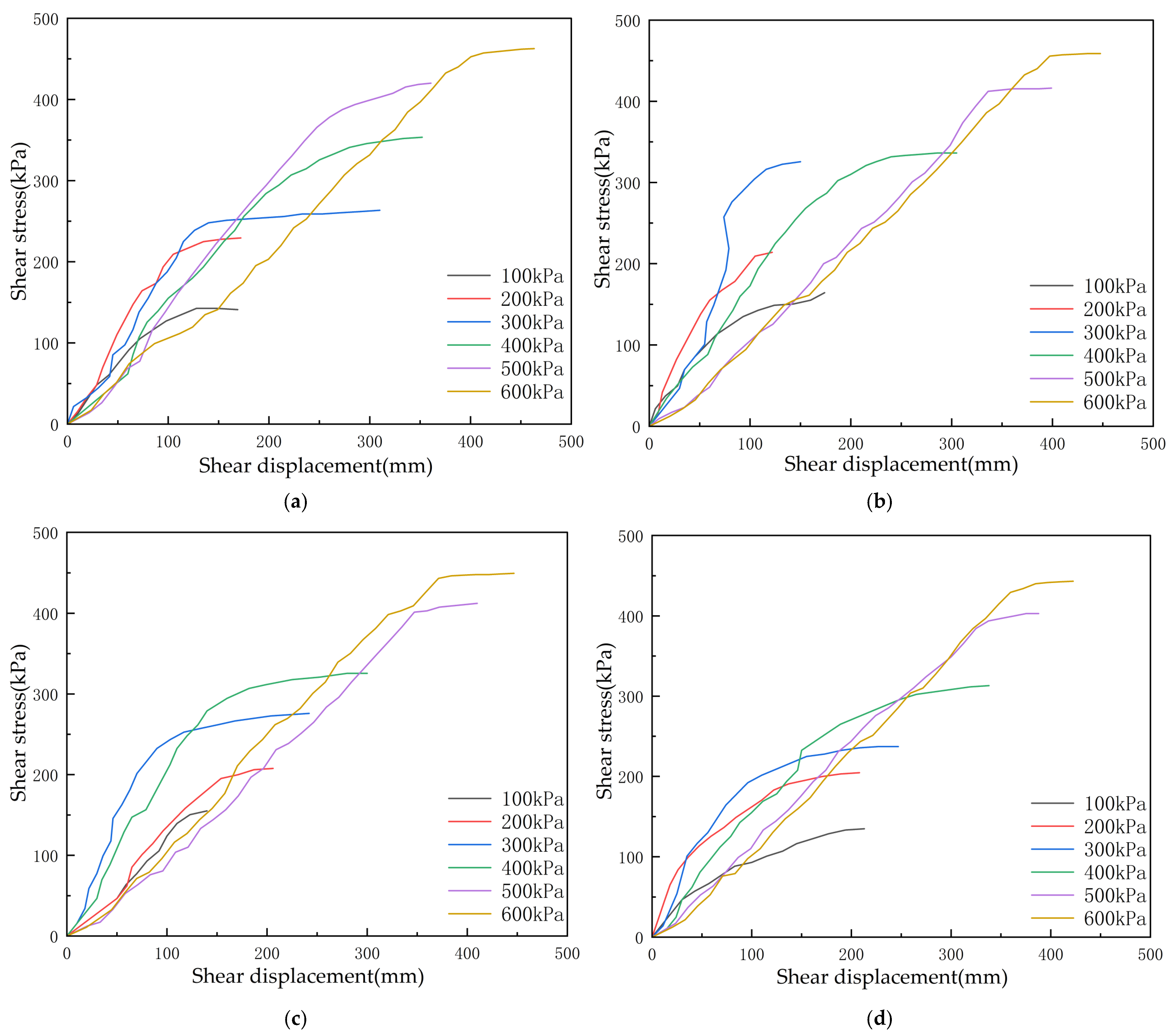
3.1. Shear Response Under Varying Freeze–Thaw Cycles and Vertical Pressures
3.2. Effects of Freeze–Thaw Cycles and Burial Depth on Strength Parameters
4. Mechanical Parameter Evolution and Slope Stability Analysis of Infilled Fractured Rock Masses Under Freeze–Thaw Cycles
4.1. Evolution of Mechanical Parameters of Infilled Fractured Rock Masses Under Freeze–Thaw Action
4.1.1. Construction of Triaxial Compression Numerical Model for Infilled Fractured Rock Mass
4.1.2. Determination of Representative Elementary Volume (REV) Under Triaxial Compression Conditions
4.1.3. Evolution of Rock Mass Mechanical Parameters Under Freeze–Thaw Cycles
4.2. Freeze–Thaw Induced Stability Analysis of Fractured Rock Slopes with Filled Joints
4.2.1. Spatial Distribution of Mechanical Parameters Considering Freeze–Thaw Degradation
4.2.2. Influence of Freeze–Thaw Cycles on Slope Safety Factor
5. Discussion
6. Conclusions
- (1)
- The slope rock temperature field in the Wushan open-pit mine shows significant variation with depth. Shallow rock masses are strongly influenced by atmospheric temperature, exhibiting frequent and large fluctuations, while deep rock masses show milder temperature changes. Based on the relationship between temperature extremes and depth, the maximum freezing depth was determined to be approximately 7.5 m. This indicates that the primary freeze–thaw affected zone is concentrated in the shallow layer, which should be considered a key zone for slope protection and instability control.
- (2)
- The shear strength of infilled structural planes decreases significantly during F–T cycles, with infill thickness playing a decisive role in degradation severity. Direct shear tests indicate that a 10 mm thick infill layer can result in a nearly 30% reduction in cohesion after 20 F–T cycles. This confirms that infill materials are the dominant factor in early-stage strength degradation, and mechanical parameters should be adjusted using correction coefficients accordingly.
- (3)
- Both the internal friction angle and cohesion exhibit exponential degradation trends under the combined influence of F–T cycles and burial depth. A dual-exponential fitting model was established to describe the evolution of shear strength, with fitting coefficients of determination (R2) of 0.67 and 0.75, respectively. These results reveal that shallow-buried rock masses are more susceptible to strength degradation due to temperature gradients and structural weakening, providing theoretical support for parameter field construction and predictive analysis.
- (4)
- Numerical modeling based on the fracture network indicates that a 9 × 9 m domain can be considered a representative elementary volume (REV), exhibiting stable mechanical responses and representative plastic strain distribution. Based on this REV, slope strength spatial assignment and stability calculations were conducted. Results show that the slope safety factor decreases exponentially with increasing F–T cycles, dropping from an initial value of 2.25 to 1.53 after 20 cycles. Regression model prediction suggests that once F–T cycles exceed 42, the safety factor drops below 1.0, entering a critical instability state. This highlights the cumulative effect of freeze–thaw as a key factor in controlling the service life of cold-region slopes.
Author Contributions
Funding
Data Availability Statement
Conflicts of Interest
Appendix A
| Mesh Division | Maximum Element Size | Minimum Element Size | Curvature Factor | Domain Element (Boundary Element) | Degrees of Freedom (Internal DOF) | Peak Compressive Strength (MPa) |
|---|---|---|---|---|---|---|
| Regular Mesh | 0.606 | 0.0027 | 0.3 | 385,901 (35,247) | 434,735 (1,929,506) | 9.6604 |
| Refined Mesh | 0.333 | 0.00113 | 0.25 | 489,880 (39,307) | 552,767 (2,449,401) | 9.9067 |
| Ultra-Fine Mesh | 0.18 | 6.75E-4 | 0.25 | 618,184 (42,532) | 667,852 (3,090,921) | 10.3400 |
| Angle (°) | Maximum Element Size | Minimum Element Size | Curvature Factor | Domain Element (Boundary Element) | Degrees of Freedom (Internal DOF) | Peak Compressive Strength (MPa) |
|---|---|---|---|---|---|---|
| 32.44 | 0.333 | 0.00113 | 0.25 | 492,986 (39,625) | 556,953 (2,464,931) | 9.8629 |
| 34.44 | 0.333 | 0.00113 | 0.25 | 489,880 (39,307) | 552,767 (2,449,401) | 9.9067 |
| 36.44 | 0.333 | 0.00113 | 0.25 | 506,803 (39,949) | 575,112 (2,534,016) | 10.0755 |
Appendix B

| Number | Phase | Chemical Formula | PDF Card | Content (wt.%) |
|---|---|---|---|---|
| 1 | Quartz | SiO2 | 00-046-1045 | 41.3 |
| Albite | NaAlSi3O8 | 00-009-0466 | 21.0 | |
| Microcline | KAlSi3O8 | 00-019-0932 | 9.2 | |
| Muscovite-1M | KAl2Si3AlO10(OH)2 | 00-007-0025 | 17.9 | |
| Calcite | CaCO3 | 00-005-0586 | 1.3 | |
| Kaolinite | Al2Si2O5(OH)4 | 00-014-0164 | 4.7 | |
| Gypsum | CaSO4·2H2O | 00-033-0311 | 3.2 | |
| Diopside | CaMg(SiO3)2 | 00-011-0654 | 1.4 | |
| 2 | Quartz | SiO2 | 00-046-1045 | 43.5 |
| Albite | NaAlSi3O8 | 00-009-0466 | 20.0 | |
| Microcline | KAlSi3O8 | 00-019-0932 | 8.7 | |
| Muscovite-1M | KAl2Si3AlO10(OH)2 | 00-007-0025 | 17.1 | |
| Calcite | CaCO3 | 00-005-0586 | 1.5 | |
| Kaolinite | Al2Si2O5(OH)4 | 00-014-0164 | 4.9 | |
| Gypsum | CaSO4·2H2O | 00-033-0311 | 2.9 | |
| Diopside | CaMg(SiO3)2 | 00-011-0654 | 1.4 | |
| 3 | Quartz | SiO2 | 00-046-1045 | 41.3 |
| Albite | NaAlSi3O8 | 00-009-0466 | 21.8 | |
| Microcline | KAlSi3O8 | 00-019-0932 | 8.4 | |
| Muscovite-1M | KAl2Si3AlO10(OH)2 | 00-007-0025 | 17.4 | |
| Calcite | CaCO3 | 00-005-0586 | 1.1 | |
| Kaolinite | Al2Si2O5(OH)4 | 00-014-0164 | 5.1 | |
| Gypsum | CaSO4·2H2O | 00-033-0311 | 3.1 | |
| Diopside | CaMg(SiO3)2 | 00-011-0654 | 1.8 | |
| 4 | Quartz | SiO2 | 00-046-1045 | 40.2 |
| Albite | NaAlSi3O8 | 00-009-0466 | 19.7 | |
| Microcline | KAlSi3O8 | 00-019-0932 | 9.4 | |
| Muscovite-1M | KAl2Si3AlO10(OH)2 | 00-007-0025 | 18.7 | |
| Calcite | CaCO3 | 00-005-0586 | 2.5 | |
| Kaolinite | Al2Si2O5(OH)4 | 00-014-0164 | 4.7 | |
| Gypsum | CaSO4·2H2O | 00-033-0311 | 3.3 | |
| Diopside | CaMg(SiO3)2 | 00-011-0654 | 1.5 |

References
- Matsuoka, N.; Sakai, H. Rockfall activity from an alpine cliff during thawing periods. Geomorphology 1999, 28, 309–328. [Google Scholar] [CrossRef]
- Luo, Z.; Zhang, Y.; Du, S.; Huang, M.; Lyu, Y. Experimental study on shear performance of saw-tooth rock joint with weak interlayer under different moisture contents and filling degrees. Front. Earth Sci. 2023, 10, 982937. [Google Scholar] [CrossRef]
- Wu, D.; Chen, F.; Tang, L.; Wei, H. Influence of Weak Interlayer Filling State on the Failure Patterns of Natural Rock Joints. Int. J. Geomech. 2022, 22, 04022086. [Google Scholar] [CrossRef]
- Naghadehi, M.Z. Laboratory study of the shear behaviour of natural rough rock joints infilled by different soils. Period. Polytech. Civ. Eng. 2015, 59, 413–421. [Google Scholar] [CrossRef]
- Jahanian, H.; Sadaghiani, M.H. Experimental study on the shear strength of sandy clay infilled regular rough rock joints. Rock Mech. Rock Eng. 2015, 48, 907–922. [Google Scholar] [CrossRef]
- Hu, Y.; Wang, X.; Zhong, Z. Investigations on the jointed influences of saturation and roughness on the shear properties of artificial rock joints. Geomech. Geophys. Geo-Energy Geo-Resour. 2022, 8, 115. [Google Scholar] [CrossRef]
- Gong, L.; Nemcik, J.; Ren, T. Numerical simulation of the shear behavior of rock joints filled with unsaturated soil. Int. J. Geomech. 2018, 18, 04018112. [Google Scholar] [CrossRef]
- Ju, M.; Li, X.; Li, X.; Zhang, G. A review of the effects of weak interfaces on crack propagation in rock: From phenomenon to mechanism. Eng. Fract. Mech. 2022, 263, 108297. [Google Scholar] [CrossRef]
- Anonymous. Shear strength and deformability of filled indented joints: Ladanyi, B; Archambault, G Proc International Symposium on the Geotechnics of Structurally Complex Formations, Capri, 1977, Vol 1, P317–326. Int. J. Rock Mech. Min. Sci. Geomech. Abstr. 1980, 17, A3. [Google Scholar] [CrossRef]
- Indraratna, B.; Haque, A.; Aziz, N. Shear behaviour of idealized infilled joints under constant normal stiffness. Geotechnique 1999, 49, 331–355. [Google Scholar] [CrossRef]
- Fu, X.D.; Lu, J.Z.; Huang, B.; Zhang, Y. Experimental study on strength and failure mode of strongly weathered mudstone with weak interlayer. J. Southeast Univ. 2021, 51, 242–248. [Google Scholar]
- Huang, M.; Wang, H.; Sheng, D.; Liu, Y. Rotational–translational mechanism for the upper bound stability analysis of slopes with weak interlayer. Comput. Geotech. 2013, 53, 133–141. [Google Scholar] [CrossRef]
- Li, A.; Deng, H.; Zhang, H.; Liu, H.; Jiang, M. The shear-creep behavior of the weak interlayer mudstone in a red-bed soft rock in acidic environments and its modeling with an improved Burgers model. Mech. Time-Depend. Mater. 2023, 27, 1–18. [Google Scholar] [CrossRef]
- Tan, X.; Ren, Y.-K.; Li, T.-L.; Zhou, S.-H.; Zhang, J.-C.; Zhou, S.-K. In-situ direct shear test and numerical simulation of slate structural planes with thick muddy interlayer along bedding slope. Int. J. Rock Mech. Min. Sci. 2021, 143, 104791. [Google Scholar] [CrossRef]
- Li, J.; Zhou, K.; Liu, W.; Zhang, Y. Analysis of the effect of freeze-thaw cycles on the degradation of mechanical parameters and slope stability. Bull. Eng. Geol. Environ. 2018, 77, 573–580. [Google Scholar] [CrossRef]
- Luo, X.; Jiang, N.; Fan, X.; Mei, N.; Luo, H. Effects of freeze-thaw on the determination and application of parameters of slope rock mass in cold regions. Cold Reg. Sci. Technol. 2015, 110, 32–37. [Google Scholar] [CrossRef]
- Chen, Y.; Lin, H. Deterioration laws of Hoek-Brown parameters in freeze–thaw multi-fractured rock mass. Theor. Appl. Fract. Mech. 2023, 123, 103716. [Google Scholar] [CrossRef]
- Cao, S.; Xia, C.; Zhou, S.; Duan, J.; Peng, W. Elasto-plastic solution for frost heave force considering Hoek-Brown criterion and freezing temperature gradient in cold region tunnels. Tunn. Undergr. Space Technol. 2024, 147, 105691. [Google Scholar] [CrossRef]
- Rezaei, M.; Mousavi, S.Z.S. Slope stability analysis of an open pit mine with considering the weathering agent: Field, laboratory and numerical studies. Eng. Geol. 2024, 333, 107503. [Google Scholar] [CrossRef]
- Park, D.-S.; Shin, M.-B.; Park, W.-J.; Seo, Y.-K. Slope stability analysis model for the frost-susceptible soil based on thermal-hydro-mechanical coupling. Comput. Geotech. 2023, 163, 105715. [Google Scholar] [CrossRef]
- Tan, W.; Li, Z.; Li, Z.; Sothy, E.; Wu, S.; Guo, Q. Analysis of the Variation Characteristics of Rock Mechanical Parameters and Slope Stability Under Freeze-Thaw Cycles. Appl. Sci. 2025, 15, 5898. [Google Scholar] [CrossRef]
- Yang, Z.; Lv, J.; Shi, W.; Zhang, Q.; Lu, Z.; Zhang, Y.; Ling, X. Model Test Study on Stability Factors of Expansive Soil Slopes with Different Initial Slope Ratios under Freeze-Thaw Conditions. Appl. Sci. 2021, 11, 8480. [Google Scholar] [CrossRef]
- Anand, D.; Dey, A.; Karangat, R. Thermo-hydro-mechanical characterization and deformation behavior of reconstituted multi-couplets of varved laminae under freeze-thaw cycle. Geomech. Geoengin. 2025, 1–34. [Google Scholar] [CrossRef]
- Chen, P.; Yin, F.; Wang, M. Analysis of thermo-hydro-mechanical coupling characteristics of artificial freezing process under seepage effects. Front. Mater. 2025, 12, 1600337. [Google Scholar] [CrossRef]
- Zerradi, Y.; Souissi, M.; Larabi, A. Application of the deterministic block theory to the slope stability design of an open−pit mine in Morocco. Min. Miner. Depos. 2023, 17, 53–60. [Google Scholar] [CrossRef]
- Sdvyzhkova, O.; Moldabayev, S.; Babets, D.; Bascetin, A.; Asylkhanova, G.; Nurmanova, A.; Prykhodko, V. Numerical modelling of the pit wall stability while optimizing its boundaries to ensure the ore mining completeness. Min. Miner. Depos. 2024, 18, 1–10. [Google Scholar] [CrossRef]
- Li, Q.; Feng, P.; Wang, R.; An, N.; Bai, R.; Yang, G.; He, X.; Lin, P.; Hu, Z. Numerical Simulation of Frost Heave and Thaw Settlement Characteristics in a Complex Pipe–Soil System in the Seasonally Frozen Ground. Appl. Sci. 2025, 15, 4628. [Google Scholar] [CrossRef]
- Zhang, X.; Chen, L.; Sheng, Y.; Huang, L.; Ming, F.; Peng, C. Modeling mechanical behavior of buried pipe suffering from frost-heaving force based on the Winkler Elastic Foundation Beam Theory. Transp. Geotech. 2024, 49, 101425. [Google Scholar] [CrossRef]
- Ma, Q.; Zeng, G.; Xiao, H.; Zhou, X. Model Test Investigation of Pipe-Soil Interaction under Frost Heave Conditions of Roadbed. KSCE J. Civ. Eng. 2024, 28, 2647–2660. [Google Scholar] [CrossRef]
- Zhang, P.; Gao, N.; Yan, W.; Hou, J.; Liu, H. Strength Deterioration Pattern and Stability Evaluation of Open−Pit Mine Slopes in Cold Regions Under Freeze–Thaw Cycles. Appl. Sci. 2025, 15, 4853. [Google Scholar] [CrossRef]













| No. | Freeze–Thaw Cycle Boundary Temperature (°C) | Corresponding Burial Depth (m) | Freeze–Thaw Cycles | Infill Material | No. of Specimens |
|---|---|---|---|---|---|
| 1 | −20~22 | 0.10 | 0, 2, 5, 10, 20 | a thickness of 10 mm and a moisture content of 9% | 5 × 4 |
| 2 | −10~14 | 1.88 | 5 × 4 | ||
| 3 | −5~10 | 3.50 | 5 × 4 | ||
| 4 | −2~7 | 5.27 | 5 × 4 |
| Freeze–Thaw Cycles (n) | Corresponding Depth (m) | Compressive Strength (MPa) | Tensile Strength (MPa) | Rock Elastic Modulus (GPa) | Rock Mass Elastic Modulus (MPa) | Internal Friction Angle (°) | Cohesion (kPa) |
|---|---|---|---|---|---|---|---|
| 0 | \ | 98.44 | 7.06 | 17.84 | 2.96 | 40.73 | 223.88 |
| 2 | −5.27 | 96.98 | 6.92 | 17.76 | 2.93 | 40.67 | 222.53 |
| −3.50 | 88.85 | 6.78 | 17.29 | 2.81 | 39.33 | 209.52 | |
| −1.88 | 84.54 | 6.72 | 17.12 | 2.74 | 38.53 | 202.25 | |
| −0.10 | 75.50 | 6.23 | 12.01 | 2.74 | 39.32 | 184.45 | |
| 5 | −5.27 | 73.88 | 5.89 | 14.77 | 2.56 | 37.49 | 189.29 |
| −3.50 | 71.16 | 5.50 | 14.66 | 2.51 | 37.55 | 187.73 | |
| −1.88 | 70.88 | 5.38 | 14.49 | 2.51 | 37.72 | 188.43 | |
| −0.10 | 68.26 | 5.25 | 13.80 | 2.46 | 37.28 | 184.28 | |
| 10 | −5.27 | 68.17 | 5.19 | 13.99 | 2.46 | 37.38 | 184.77 |
| −3.50 | 67.19 | 4.64 | 14.27 | 2.44 | 38.27 | 189.13 | |
| −1.88 | 55.91 | 4.46 | 13.87 | 2.23 | 35.43 | 166.00 | |
| −0.10 | 50.60 | 3.97 | 12.75 | 2.12 | 34.85 | 159.37 | |
| 20 | −5.27 | 45.87 | 3.91 | 11.23 | 2.02 | 33.25 | 147.95 |
| −3.50 | 41.31 | 3.79 | 8.09 | 1.91 | 31.69 | 137.10 | |
| −1.88 | 40.93 | 3.48 | 6.98 | 1.91 | 32.43 | 140.44 | |
| −0.10 | 30.72 | 3.30 | 6.44 | 1.65 | 27.77 | 111.64 |
Disclaimer/Publisher’s Note: The statements, opinions and data contained in all publications are solely those of the individual author(s) and contributor(s) and not of MDPI and/or the editor(s). MDPI and/or the editor(s) disclaim responsibility for any injury to people or property resulting from any ideas, methods, instructions or products referred to in the content. |
© 2025 by the authors. Licensee MDPI, Basel, Switzerland. This article is an open access article distributed under the terms and conditions of the Creative Commons Attribution (CC BY) license (https://creativecommons.org/licenses/by/4.0/).
Share and Cite
Hou, J.; Zhang, P.; Gao, N.; Yan, W.; Yu, Q. Freeze–Thaw-Induced Degradation Mechanisms and Slope Stability of Filled Fractured Rock Masses in Cold Region Open-Pit Mines. Appl. Sci. 2025, 15, 7429. https://doi.org/10.3390/app15137429
Hou J, Zhang P, Gao N, Yan W, Yu Q. Freeze–Thaw-Induced Degradation Mechanisms and Slope Stability of Filled Fractured Rock Masses in Cold Region Open-Pit Mines. Applied Sciences. 2025; 15(13):7429. https://doi.org/10.3390/app15137429
Chicago/Turabian StyleHou, Jun, Penghai Zhang, Ning Gao, Wanni Yan, and Qinglei Yu. 2025. "Freeze–Thaw-Induced Degradation Mechanisms and Slope Stability of Filled Fractured Rock Masses in Cold Region Open-Pit Mines" Applied Sciences 15, no. 13: 7429. https://doi.org/10.3390/app15137429
APA StyleHou, J., Zhang, P., Gao, N., Yan, W., & Yu, Q. (2025). Freeze–Thaw-Induced Degradation Mechanisms and Slope Stability of Filled Fractured Rock Masses in Cold Region Open-Pit Mines. Applied Sciences, 15(13), 7429. https://doi.org/10.3390/app15137429
