Effects of Diet on Mercury Bioaccumulation in Farmed Gilthead Seabream (Sparus aurata)
Abstract
1. Introduction
Gilthead Seabream Aquaculture
2. Materials and Methods
2.1. Experimental Design
- -
 - Diet 1 (D1), with chestnut wood (Castanea sativa) extract (CW, 1 g kg−1);
 - -
 - Diet 2 (D2), with quebracho Colorado wood (Schinopsis balansae) extract (QW, 1 g kg−1).
 
- -
 - Additive 1, 45% short-chain fatty acids complex (monoglycerides, diglycerides and triglycerides of propionic, butyric, caproic, heptanoic, caprylic, nonanoic, capric and lauric acids); 20% free glycerol; 35% silicon dioxide;
 - -
 - Additive 2, 20% caprylic acid; 14% capric acid; 20,000 ppm organic iron; 5000 ppm organic zinc; vitamin B complex (B1, B2, B3, B5, B6, B8, B9); Saccharomyces cerevisiae (dry and autolyzed yeast).
 
2.2. Chemical Analyses
2.3. Statistical Analysis
3. Results
4. Discussion
4.1. Mercury Bioaccumulation Pattern
4.2. Effects of the Yeast S. cerevisiae, Tannin from Plant Extract and SCFA on Hg Bioaccumulation
5. Conclusions
Author Contributions
Funding
Institutional Review Board Statement
Informed Consent Statement
Data Availability Statement
Acknowledgments
Conflicts of Interest
References
- FAO. The State of World Fisheries and Aquaculture 2022, Towards Blue Transformation; Food and Agriculture Organization of the United Nations: Rome, Italy, 2022. [Google Scholar]
 - Mohanty, B.P. Fish in human health and nutrition. Adv. Fish Res. 2019, 7, 189–218. [Google Scholar]
 - Turchini, G.M.; Trushenski, J.T.; Glencross, B.D. Thoughts for the future of aquaculture nutrition: Realigning perspectives to reflect contemporary issues related to judicious use of marine resources in aquafeeds. N. Am. J. Aquac. 2019, 81, 13–39. [Google Scholar] [CrossRef]
 - Kobayashi, M.; Msangi, S.; Batka, M.; Vannuccini, S.; Dey, M.M.; Anderson, J.L. Fish to 2030: The role and opportunity for aquaculture. Aquac. Econ. Manag. 2015, 19, 282–300. [Google Scholar] [CrossRef]
 - Justino, C.I.L.; Kátia, R.; Duarte, K.R.; Freitas, A.C.; Panteleitchouk, T.S.L.; Duarte, A.C.; Rocha-Santos, T.A.P. Contaminants in aquaculture: Overview of analytical techniques for their determination. Trends Anal. Chem. 2016, 80, 293–310. [Google Scholar] [CrossRef]
 - Fitzgerald, W.F.; Mason, R.P.; Vandal, G.M. Atmospheric cycling of mercury over mid-continental lacustrine regions. In Proceedings of the International Conference on Mercury as an Environmental Pollutant, Gavle, Sweden, 11–13 June 1990. [Google Scholar]
 - Mania, M.; Wojciechowska-Mazurek, M.; Starska, K.; Rebeniak, M.; Postupolski, J. Fish and seafood as a source of human exposure to methylmercury. Rocz. Panstw. Zakl. Hig. 2012, 63, 257–264. [Google Scholar]
 - Castaño, A.; Cutanda, F.; Esteban, M.; Pärt, P.; Navarro, C.; Gómez, S.; Rosado, M.; López, A.; López, E.; Exley, K.; et al. Fish consumption patterns and hair mercury levels in children and their mothers in 17 EU countries. Environ. Res. 2015, 141, 58–68. [Google Scholar] [CrossRef] [PubMed]
 - Dragan, F.; Lestyan, M.; Lupu, V.V.; Marcu, F.M.; Cozma, A.; Fodor, K.; Ciubara, A.; Moisa, C.F.; Teaha, D.; Lupu, A.; et al. The Threat of Mercury Poisoning by Fish Consumption. Appl. Sci. 2023, 13, 369. [Google Scholar] [CrossRef]
 - De Almeida Rodrigues, P.; Ferrari, G.R.; Neves dos Santos, L.; Conte, C.A. Mercury in aquatic fauna contamination: A systematic review on its dynamics and potential health risks. J. Environ. Sci. 2019, 84, 205–218. [Google Scholar] [CrossRef]
 - Oliveira Ribeiro, C.A.; Guimarães, J.R.D.; Pfeiffer, W.C. Accumulation and distribution of inorganic mercury in a tropical fish (Trichomycterus zonatus). Ecotoxicol. Environ. Saf. 1996, 34, 190–195. [Google Scholar] [CrossRef]
 - Streets, D.G.; Horowitz, H.M.; Lu, Z.; Levin, L.; Thackray, C.P.; Sunderland, E.M. Five hundred years of anthropogenic mercury: Spatial and temporal release profiles. Environ. Res. Lett. 2019, 14, 084004. [Google Scholar] [CrossRef]
 - Aschner, M.; Onishchenko, N.; Ceccatelli, S. Toxicology of alkylmercury compounds. In Organometallics in Environment and Toxicology; Sigel, A., Sigel, H., Sigel, R., Eds.; RSC Publishing: Cambridge, UK, 2010; pp. 403–434. [Google Scholar]
 - Polak-Juszczak, L. Distribution of organic and inorganic mercury in the tissues and organs of fish from the southern Baltic Sea. Environ. Sci. Pollut. Res. 2018, 25, 34181–34189. [Google Scholar] [CrossRef]
 - Monteiro, D.A.; Rantin, F.T.; Kalinin, A.L. Dietary intake of inorganic mercury: Bioaccumulation and oxidative stress parameters in the neotropical fish Hoplias malabaricus. Ecotoxicology 2013, 22, 446–456. [Google Scholar] [CrossRef] [PubMed]
 - Pereira, P.; Puga, S.; Cardoso, V.; Pinto-Ribeiro, F.; Raimundo, J.; Barata, M.; Pousão-Ferreira, P.; Pacheco, M.; Almeida, A. Inorganic mercury accumulation in brain following waterborne exposure elicits a deficit on the number of brain cells and impairs swimming behavior in fish (white seabream-Diplodus sargus). Aquat. Toxicol. 2016, 170, 400–412. [Google Scholar] [CrossRef] [PubMed]
 - Bonsignore, M.; Messina, C.M.; Bellante, A.; Manuguerra, S.; Arena, R.; Santulli, A.; Maricchiolo, G.; Del Core, M.; Sprovieri, M. Chemical and biochemical responses to sub-lethal doses of mercury and cadmium in gilthead seabream (Sparus aurata). Chemosphere 2022, 307, 135822. [Google Scholar]
 - Crespo-López, M.E.; Lima de Sá, A.; Herculano, A.M.; Rodríguez Burbano, R.; Martins do Nascimento, J.L. Methylmercury genotoxicity: A novel effect in human cell lines of the central nervous system. Environ. Int. 2007, 33, 141–146. [Google Scholar] [CrossRef]
 - Drevnick, P.E.; Sandheinrich, M.B.; Oris, J.T. Increased ovarian follicular apoptosis in fathead minnows (Pimephales promelas) exposed to dietary methylmercury. Aquat. Toxicol. 2006, 79, 49–54. [Google Scholar] [CrossRef]
 - Klaper, R.; Rees, C.B.; Drevnick, P.; Weber, D.; Sandheinrich, M.; Carvan, M.J. Gene expression changes related to endocrine function and decline in reproduction in fathead minnow (Pimephales promelas) after dietary methylmercury exposure. Environ. Health Perspect. 2006, 114, 1337–1343. [Google Scholar] [CrossRef]
 - Fachri, M.; Amoah, K.; Huang, Y.; Cai, J.; Alfatat, A.; Ndandala, C.B.; Shija, V.M.; Jin, X.; Bissih, F.; Chen, H. Probiotics and paraprobiotics in aquaculture: A sustainable strategy for enhancing fish growth, health and disease prevention-a review. Front. Mar. Sci. 2024, 11, 1499228. [Google Scholar] [CrossRef]
 - Liu, C.H.; Chiu, C.H.; Wang, S.W.; Cheng, W. Dietary administration of the probiotic, Bacillus subtilis E20, enhances the growth, innate immune responses, and disease resistance of the grouper, Epinephelus coioides. Fish. Shellfish. Immunol. 2012, 33, 699–706. [Google Scholar] [CrossRef]
 - Zhai, Q.; Yu, L.; Li, T.; Zhu, J.; Zhang, C.; Zhao, J.; Zhang, H.; Chen, W. Effect of dietary probiotic supplementation on intestinal microbiota and physiological conditions of Nile tilapia (Oreochromis niloticus) under waterborne cadmium exposure. J. Microbiol. 2017, 110, 501–513. [Google Scholar] [CrossRef]
 - Yin, Y.; Zhang, P.; Yue, X.; Du, X.; Li, W.; Yin, Y.; Yi, C.; Li, Y. Effect of subchronic exposure to lead (Pb) and Bacillus subtilis on Carassius auratus gibelio: Bioaccumulation, antioxidant responses and immune responses. Ecotoxicol. Environ. Saf. 2018, 161, 755–762. [Google Scholar] [CrossRef] [PubMed]
 - Machado, M.D.; Janssens, S.; Soares, H.; Soares, E.V. Removal of heavy metals using a brewer’s yeast strain of Saccharomyces cerevisiae: Advantages of using dead biomass. J. Appl. Microbiol. 2009, 106, 1792–1804. [Google Scholar] [CrossRef] [PubMed]
 - Goksungur, Y.; Uren, S.; Guvenc, U. Biosorption of cadmium and lead ions by ethanol treated waste baker’s yeast biomass. Bioresour. Technol. 2005, 96, 103–109. [Google Scholar] [CrossRef]
 - Vasudevan, P.; Padmavathy, V.; Dhingra, S.C. Kinetics of biosorption of cadmium on Baker’s yeast. Bioresour. Technol. 2003, 89, 281–287. [Google Scholar] [CrossRef]
 - Zhu, Y.M.; Zhou, D.Q.; Wei, D.Z. Biosorption of Hg2+ by Saccharomyces cerevisiae. J. Northeast. Univ. (Nat. Sci.) 2004, 25, 89–91. [Google Scholar]
 - Özer, A.; Özer, D. Comparative study of the biosorption of Pb (II), Ni (II) and Cr (VI) ions onto S. cerevisiae: Determination of biosorption heats. J. Hazard. Mater. 2003, 100, 219–229. [Google Scholar] [CrossRef]
 - Roy, D.; Gaur, P.; Verma, N.; Pathireddy, M.; Singh, K.P. Bioremediation of arsenic (III) from water using baker yeast Saccharomyces cerevisiae. Int. J. Environ. Bioremediat. Biodegrad. 2013, 1, 14–19. [Google Scholar]
 - Ferraz, A.I.; Tavares, T.; Teixeira, J.A. Cr (III) removal and recovery from Saccharomyces cerevisiae. Chem. Eng. J. 2004, 105, 11–20. [Google Scholar] [CrossRef]
 - Lin, Z.Y.; Wu, J.M.; Xue, R.; Yang, Y. Spectroscopic characterization of Au3+ biosorption by waste biomass of Saccharomyces cerevisiae. Spectrochim. Acta Biomol. Spectrosc. 2005, 61, 761–765. [Google Scholar] [CrossRef]
 - Xie, D.D.; Liu, Y.Y.; Wu, C.L.; Fu, J.K.; Xue, R. Studies on biosorption of Pd2+ by the immobilized Saccharomyces cerevisiae waste biomass. Microbiology 2003, 30, 29–34. [Google Scholar]
 - Wang, J.; Chen, C. Biosorption of heavy metals by Saccharomyces cerevisiae: A review. Biotechnol. Adv. 2006, 24, 427–451. [Google Scholar] [CrossRef] [PubMed]
 - Peng, K.; Zhao, H.; Wang, G.; Chen, B.; Mo, W.; Huang, Y. Effect of condensed tannins on growth performance, intestinal immune capacity and bacterial microbiomes of Lateolabrax japonicas. Aquac. Res. 2021, 52, 5321–5331. [Google Scholar] [CrossRef]
 - Torres, J.; Olivares, S.; De La Rosa, D.; Lima, L.; Martinez, F.; Munita, C.; Favaro, D. Removal of mercury (II) and methylmercury from solution by tannin adsorbents. J. Radioanal. Nucl. Chem. 1999, 240, 361–365. [Google Scholar] [CrossRef]
 - Lugo, L.; Martín, A.; Diaz, J.; Pérez-Flórez, A.; Celis, C. Implementation of modified acacia tannin by Mannich reaction for removal of heavy metals (Cu, Cr and Hg). Water 2020, 12, 352. [Google Scholar] [CrossRef]
 - Mhalhel, K.; Levanti, M.; Abbate, F.; Laurà, R.; Guerrera, M.C.; Aragona, M.; Porcino, C.; Briglia, M.; Germanà, A.; Montalbano, G. Review on Gilthead Seabream (Sparus aurata) Aquaculture: Life Cycle, Growth, Aquaculture Practices and Challenges. J. Mar. Sci. Eng. 2023, 11, 2008. [Google Scholar] [CrossRef]
 - FAO. Sparus aurata. In Cultured Aquatic Species Fact Sheets; Food and Agriculture Organization of the United Nations: Rome, Italy, 2009. [Google Scholar]
 - Pavlidis, M.A.; Mylonas, C.C. Sparidae: Biology and Aquaculture of Gilthead Sea Bream and Other Species, 1st ed.; Wiley-Blackwell: Hoboken, NJ, USA, 2011; ISBN 1-4051-9772-2. [Google Scholar]
 - FAO. Fishery and Aquaculture Statistics. 1976–2019. 2021. Available online: www.fao.org/fishery/statistics/software/fishstatj (accessed on 1 June 2021).
 - Abdel-Shafy, H.I.; El Saharty, A.A. Short-term toxicity of mercury and cadmium to Sparus Aurata fry, South Mediterranean Sea, Egypt. Egypt. J. Chem. 2015, 58, 537–553. [Google Scholar]
 - Hamed, H.A.; Mohamedein, L.I.; El-Sawy, M.A.; El-Moselhy, K.M. Mercury and tin contents in water and sediments along the Mediterranean shoreline of Egypt. Egypt. J. Aquat. Res. 2013, 39, 75–81. [Google Scholar] [CrossRef][Green Version]
 - US EPA 2007 (Environmental Protection Agency). Method 7473. “Mercury in Solids and Solutions by Thermal 420 Decomposition, amalgamation and Atomic Absorption spectrophotometry”. Available online: https://www.epa.gov/sites/default/files/2015-12/documents/7473.pdf (accessed on 23 June 2025).
 - Huang, Z.Y.; Zhang, Q.; Chen, J.; Zhuang, Z.X.; Wang, X.R. Bioaccumulation of metals and induction of metallothioneins in selected tissues of common carp (Cyprinus carpio L.) co-exposed to cadmium, mercury and lead. Appl. Organomet. Chem. 2007, 21, 101–107. [Google Scholar] [CrossRef]
 - Elia, A.C.; Galarini, R.; Taticchi, M.I.; Dörr, A.J.M.; Mantilacci, L. Antioxidant responses and bioaccumulation in Ictalurus melas under mercury exposure. Ecotoxicol. Environ. Saf. 2003, 55, 162–167. [Google Scholar] [CrossRef]
 - Zhang, Z.; He, L.; Li, J.; Wu, Z. Analysis of heavy metals of muscle and intestine tissue in fish—In Banan section of Chongqing from Three Gorges Reservoir, China. Pol. J. Environ. Stud. 2007, 16, 949–958. [Google Scholar]
 - Ingersoll, C.G.; Sanchez, D.A.; Meyer, J.S.; Gulley, D.D.; Tietge, J.E. Epidermal Response to pH, Aluminum, and Calcium Exposure in Brook Trout (Salvelinus fontinalis) Fry. Can. J. Fish. Aquat. Sci. 1990, 47, 1616–1622. [Google Scholar] [CrossRef]
 - Dallinger, R.; Lagg, B.; Egg, M.; Schipflinger, R.; Chabicovsky, M. Cd Accumulation and Cd–Metallothionein as a Biomarker in Cepaea hortensis (Helicidae, Pulmonata) from Laboratory Exposure and Metal-polluted Habitats. Ecotoxicology 2005, 13, 757–772. [Google Scholar] [CrossRef] [PubMed]
 - Allen, P. Distribution of mercury in the soft tissues of the blue tilapia Oreochromis aureus (Steindachner) after acute exposure to mercury (II) chloride. Bull. Environ. Contam. Toxicol. 1994, 53, 675–683. [Google Scholar] [CrossRef] [PubMed]
 - Cuvin-Aralar, M.L.A.; Furness, R.W. Tissue distribution of mercury and selenium in minnows, Phoxinus phoxinus. Bull. Environ. Contam. Toxicol. 1990, 45, 775–782. [Google Scholar] [CrossRef] [PubMed]
 - Massoud, R.; Hadiani, M.R.; Hamzehlou, P.; Khosravi-Darani, K. Bioremediation of heavy metals in food industry: Application of Saccharomyces cerevisiae. Electron. J. Biotechnol. 2019, 37, 56–60. [Google Scholar] [CrossRef]
 - Ajsuvakova, O.P.; Tinkov, A.A.; Aschner, M.; Rocha, J.B.T.; Michalke, B.; Skalnaya, M.G.; Skalny, A.V.; Butnariu, M.; Dadar, M.; Sarac, I.; et al. Sulfhydryl groups as targets of mercury toxicity. Coord. Chem. Rev. 2020, 15, 417–213343. [Google Scholar] [CrossRef]
 - Zoghi, A.; Khosravi-Darani, K.; Sohrabvandi, S. Surface binding of toxins and heavy metals by probiotics. Mini Rev. Med. Chem. 2014, 14, 84–98. [Google Scholar] [CrossRef]
 - Fadel, M.; Hassanein, N.M.; Elshafei, M.M.; Mostafa, A.H.; Ahmed, M.A.; Khater, H.M. Biosorption of manganese from groundwater by biomass of Saccharomyces cerevisiae. HBRC J. 2017, 13, 106–113. [Google Scholar] [CrossRef]
 - Hadiani, M.R.; Khosravi-Darani, K.; Rahimifard, N. Optimization of as (III) and as (V) removal by Saccharomyces cerevisiae biomass for biosorption of critical levels in the food and water resources. J. Environ. Chem. Eng. 2019, 7, 102949. [Google Scholar] [CrossRef]
 - Mirmahdi, R.S.; Mofid, V.; Zoghi, A.; Darani, K.K.; Mortazavian, A.M. Risk of low stability Saccharomyces cerevisiae ATCC 9763-heavy metals complex in gastrointestinal simulated conditions. Heliyon 2022, 8, e09452. [Google Scholar] [CrossRef]
 - Jadán-Piedra, C.; Baquedano, M.; Puig, S.; Vélez, D.; Devesa, V. Use of Saccharomyces cerevisiae to reduce the bioaccessibility of Mercury from food. J. Agric. Food Chem. 2017, 65, 2876–2882. [Google Scholar] [CrossRef] [PubMed]
 - Oladoja, N.A.; Alliu, Y.B.; Ofomaja, A.E.; Unuabonah, I.E. Synchronous attenuation of metal ions and color in aqua stream using tannin–alum synergy. Desalination 2011, 271, 34–40. [Google Scholar] [CrossRef]
 - Vázquez, G.; González-Álvarez, J.; Freire, S.; López-Moreno, M.; Antorrena, G. Removal of cadmium and mercury ions from aqueous solutions by sorption on treated Pinus pinaster bark: Kinetics and isotherms. Biores Technol. 2002, 82, 247–251. [Google Scholar] [CrossRef]
 - Zou, L.; Shao, P.; Zhang, K.; Yang, L.; You, D.; Shi, H.; Luo, X. Tannic acid-based adsorbent with superior selectivity for lead (II) capture: Adsorption site and selective mechanism. Chem. Eng. J. 2019, 364, 160–166. [Google Scholar] [CrossRef]
 - Solovyev, M.M.; Kashinskaya, E.N.; Izvekova, G.I.; Glupov, V.V. pH values and activity of digestive enzymes in the gastrointestinal tract of fish in Lake Chany (West Siberia). J. Ichthyol. 2015, 55, 251–258. [Google Scholar] [CrossRef]
 - Wassef, E.A.; Saleh, N.E.; Abdel-Meguid, N.E.; Barakat, K.M.; Abdel-Mohsen, H.H.; El-bermawy, N.M. Sodium propionate as a dietary acidifier for European seabass (Dicentrarchus labrax) fry: Immune competence, gut microbiome, and intestinal histology benefits. Aquac. Int. 2019, 28, 95–111. [Google Scholar] [CrossRef]
 - Zhang, H.; Ding, Q.; Wang, A.; Liu, Y.; Teame, T.; Ran, C.; Yang, Y.; He, S.; Zhou, W.; Olsen, R.E. Effects of dietary sodium acetate on food intake, weight gain, intestinal digestive enzyme activities, energy metabolism and gut microbiota in cultured fish: Zebrafish as a model. Aquaculture 2020, 523, 735188. [Google Scholar] [CrossRef]
 - Dawood, M.A.O.; Eweedah, N.M.; Elbialy, Z.I.; Abdelhamid, A.I. Dietary sodium butyrate ameliorated the blood stress biomarkers, heat shock proteins, and immune response of Nile tilapia (Oreochromis niloticus) exposed to heat stress. J. Therm. Biol. 2020, 88, 102500. [Google Scholar] [CrossRef]
 - Park, J.D.; Zheng, W. Human exposure and health effects of inorganic and elemental mercury. J. Prev. Med. Public Health 2012, 45, 344–352. [Google Scholar] [CrossRef]
 



| Main ingredients | Fish meal | Sorted in descending order based on their amount | ||
| Dehulled soybean meal | ||||
| Corn gluten | ||||
| Fish oil | ||||
| Sunflower seeds meal | ||||
| Wheat flour | ||||
| Soy oil | ||||
| Vitamins (kg−1)  | Vitamin A (U.I.) | 12,000 | ||
| Vitamin D3 (U.I.) | 2000 | |||
| Vitamin C (mg) | 160.00 | |||
| Vitamin E (mg) | 160.00 | |||
| Minerals (kg−1)  | Zn (mg) | 60.00 | ||
| Mn (mg) | 45.00 | |||
| Fe2 (mg) | 20.00 | |||
| Cu2 (mg) | 9.00 | |||
| I (mg) | 2.00 | |||
| Se (µg) | 160.00 | |||
| Additives (kg−1)  | CTRL | Diet 1 | Diet 2 | |
| 1 Additive 1 (g) | - | 10 | - | |
| 2 Additive 2 (g) | - | - | 5 | |
| 3 CW (g) | - | 1 | - | |
| 4 QW (g) | - | - | 1 | |
| Proximate composition (kg−1)  | Crude protein % | 43.00 | ||
| Oils and crude fats % | 21.00 | |||
| Crude cellulose % | 2.50 | |||
| Crude ash % | 5.60 | |||
| Total carbohydrates % | 18.90 | |||
| Phosphorus % | 0.90 | |||
| Digestible energy (mJ/kg) | 19.76 | |||
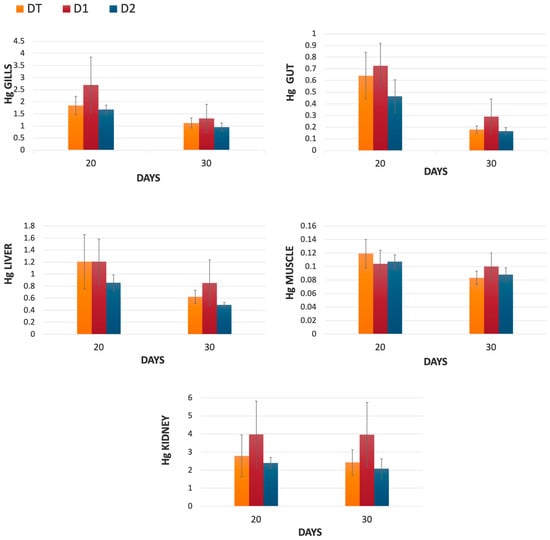
| T0 | GILLS | GUT | KIDNEY | MUSCLE | LIVER | |||||
| CD | 0.04 ± 0.01 | 0.13 ± 0.04 | 0.16 ± 0.02 | 0.07 ± 0.01 | 0.05 ± 0.01 | |||||
| D1 | 0.117 ± 0.08 | 0.11 ± 0.04 | 0.09 ± 0.06 | 0.07 ± 0.01 | 0.03 ± 0.01 | |||||
| D2 | 0.1 ± 0.08 | 0.13 ± 0.06 | 0.1 ± 0.02 | 0.07 ± 0.01 | 0.02 ± 0.01 | |||||
| T4 | GILLS | GUT | KIDNEY | MUSCLE | LIVER | |||||
| unexposed | exposed | unexposed | exposed | unexposed | exposed | unexposed | exposed | unexposed | exposed | |
| CD | 0.04 ± 0.01 | 1.1 ± 0.25 | 0.03 ± 0.01 | 0.11 ± 0.05 | 0.04 ± 0.02 | 0.36 ± 0.14 | 0.1 ± 0.01 | 0.1 ± 0.03 | 0.05 ± 0.01 | 0.15 ± 0.07 | 
| D1 | 0.04 ± 0.01 | 1.05 ± 0.62 | 0.03 ± 0.01 | 0.09 ± 0.01 | 0.07 ± 0.01 | 0.37 ± 0.2 | 0.1 ± 0.02 | 0.1 ± 0.02 | 0.06 ± 0.02 | 0.13 ± 0.05 | 
| D2 | 0.03 ± 0.01 | 0.85 ± 0.24 | 0.03 ± 0.01 | 0.08 ± 0.02 | 0.09 ± 0.02 | 0.33 ± 0.08 | 0.1 ± 0.02 | 0.07 ± 0.02 | 0.05 ± 0.01 | 0.14 ± 0.02 | 
| T10 | GILLS | GUT | KIDNEY | MUSCLE | LIVER | |||||
| unexposed | exposed | unexposed | exposed | unexposed | exposed | unexposed | exposed | unexposed | exposed | |
| CD | 0.05 ± 0.01 | 1.41 ± 0.44 | 0.05 ± 0.01 | 0.28 ± 0.13 | 0.07 ± 0.01 | 1.47 ± 0.69 | 0.09 ± 0.01 | 0.09 ± 0.01 | 0.06 ± 0.01 | 0.52 ± 0.3 | 
| D1 | 0.07 ± 0.01 | 1.89 ± 0.78 | 0.04 ± 0.01 | 0.32 ± 0.08 | 0.07 ± 0.02 | 1.48 ± 0.26 | 0.09 ± 0.01 | 0.09 ± 0.01 | 0.05 ± 0.01 | 0.61 ± 0.27 | 
| D2 | 0.06 ± 0.01 | 1.25 ± 0.28 | 0.05 ± 0.01 | 0.21 ± 0.03 | 0.06 ± 0.01 | 1.25 ± 0.25 | 0.07 ± 0.01 | 0.08 ± 0.01 | 0.05 ± 0.01 | 0.42 ± 0.09 | 
| T20 | GILLS | GUT | KIDNEY | MUSCLE | LIVER | |||||
| unexposed | exposed | unexposed | exposed | unexposed | exposed | unexposed | exposed | unexposed | exposed | |
| CD | 0.02 ± 0.01 | 1.84 ± 0.38 | 0.03 ± 0.01 | 0.64 ± 0.2 | 0.07 ± 0.01 | 2.79 ± 1.14 | 0.08 ± 0.01 | 0.12 ± 0.02 | 0.07 ± 0.01 | 1.2 ± 0.44 | 
| D1 | 0.03 ± 0.01 | 2.69 ± 1.15 | 0.03 ± 0.01 | 0.72 ± 0.12 | 0.08 ± 0.02 | 3.96 ± 1.84 | 0.08 ± 0.01 | 0.1 ± 0.02 | 0.05 ± 0.01 | 1.2 ± 0.37 | 
| D2 | 0.03 ± 0.01 | 1.67 ± 0.18 | 0.03 ± 0.01 | 0.46 ± 0.13 | 0.08 ± 0.01 | 2.39 ± 0.3 | 0.08 ± 0.01 | 0.1 ± 0.01 | 0.05 ± 0.01 | 0.85 ± 0.12 | 
| T30 | GILLS | GUT | END OF EXPOSURE KIDNEY  | MUSCLE | LIVER | |||||
| unexposed | exposed | unexposed | exposed | unexposed | exposed | unexposed | exposed | unexposed | Exposed | |
| CD | 0.02 ± 0.01 | 1.12 ± 0.21 | 0.03 ± 0.01 | 0.17 ± 0.02 | 0.05 ± 0.01 | 2.43 ± 0.69 | 0.07 ± 0.01 | 0.08 ± 0.01 | 0.03 ± 0.01 | 0.62 ± 0.11 | 
| D1 | 0.02 ± 0.01 | 1.31 ± 0.57 | 0.03 ± 0.01 | 0.29 ± 0.14 | 0.05 ± 0.01 | 3.95 ± 1.78 | 0.07 ± 0.01 | 0.1 ± 0.01 | 0.02 ± 0.01 | 0.85 ± 0.37 | 
| D2 | 0.02 ± 0.01 | 0.95 ± 0.16 | 0.02 ± 0.01 | 0.16 ± 0.02 | 0.05 ± 0.01 | 2.09 ± 0.54 | 0.07 ± 0.01 | 0.08 ± 0.01 | 0.02 ± 0.01 | 0.48 ± 0.03 | 
Disclaimer/Publisher’s Note: The statements, opinions and data contained in all publications are solely those of the individual author(s) and contributor(s) and not of MDPI and/or the editor(s). MDPI and/or the editor(s) disclaim responsibility for any injury to people or property resulting from any ideas, methods, instructions or products referred to in the content.  | 
© 2025 by the authors. Licensee MDPI, Basel, Switzerland. This article is an open access article distributed under the terms and conditions of the Creative Commons Attribution (CC BY) license (https://creativecommons.org/licenses/by/4.0/).
Share and Cite
Bellante, A.; Bonsignore, M.; Maricchiolo, G.; Meola, M.; Mirto, S.; Quero, G.M.; Quinci, E.M.; Tancredi, V.; Sprovieri, M. Effects of Diet on Mercury Bioaccumulation in Farmed Gilthead Seabream (Sparus aurata). Appl. Sci. 2025, 15, 7151. https://doi.org/10.3390/app15137151
Bellante A, Bonsignore M, Maricchiolo G, Meola M, Mirto S, Quero GM, Quinci EM, Tancredi V, Sprovieri M. Effects of Diet on Mercury Bioaccumulation in Farmed Gilthead Seabream (Sparus aurata). Applied Sciences. 2025; 15(13):7151. https://doi.org/10.3390/app15137151
Chicago/Turabian StyleBellante, Antonio, Maria Bonsignore, Giulia Maricchiolo, Martina Meola, Simone Mirto, Grazia Marina Quero, Enza Maria Quinci, Vincenzo Tancredi, and Mario Sprovieri. 2025. "Effects of Diet on Mercury Bioaccumulation in Farmed Gilthead Seabream (Sparus aurata)" Applied Sciences 15, no. 13: 7151. https://doi.org/10.3390/app15137151
APA StyleBellante, A., Bonsignore, M., Maricchiolo, G., Meola, M., Mirto, S., Quero, G. M., Quinci, E. M., Tancredi, V., & Sprovieri, M. (2025). Effects of Diet on Mercury Bioaccumulation in Farmed Gilthead Seabream (Sparus aurata). Applied Sciences, 15(13), 7151. https://doi.org/10.3390/app15137151
        
                                                
