Thermal Conductivity and Thermal Behavior of Mortar Containing Wood Shavings and Sawdust
Abstract
1. Introduction
2. Materials and Methods
3. Results
3.1. Density of Fresh Mortar
3.2. Thermal Conductivity Coefficient
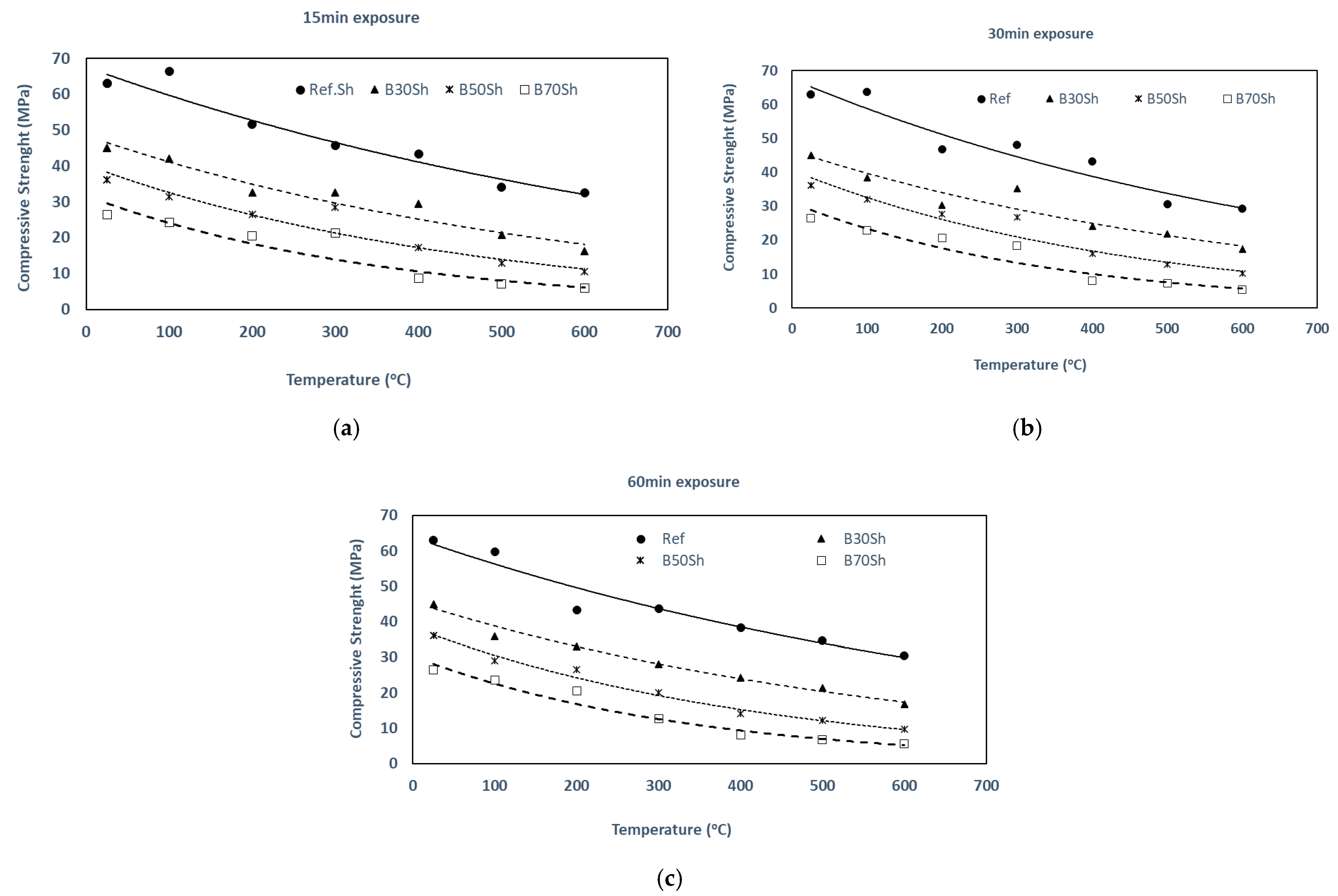
3.3. Thermal Behavior
4. Conclusions
- The density of fresh mortar containing wood shavings or sawdust decreases as the wood shavings content increases.
- The thermal conductivity coefficient decreases as the replacement increases, both for wood shavings and wood sawdust. The utilization of construction materials having lower thermal conductivity in buildings may help in improving the energy efficiency of the building.
- Compressive and flexural strength decreases as the replacement percentage of conventional aggregates increases, but the mix design and the use of not high percentages of replacement of conventional aggregates could compensate for this reduction in strength. The use of 30% replacement of conventional aggregates by wood shavings and 20% replacement of conventional aggregates by wood sawdust would give acceptable mixes of mortar, depending on their use and the use’s requirements.
- Flexural and compressive strength exponentially decrease as exposure temperature increases. This behavior aligns with the progressive thermal degradation of wood components (hemicellulose, cellulose and lignin) beginning around 200–250 °C, leading to loss of cohesion and increased porosity in the composite matrix.
- In addition to the specific findings of this study, the results related to density, ultrasonic pulse velocity and mechanical properties contribute valuable data that can be combined with existing literature to enable future meta-analyses comparing different types of wood aggregates, binder compositions and mortar mix designs.
Author Contributions
Funding
Data Availability Statement
Conflicts of Interest
References
- Bendixen, M.; Iversen, L.L.; Best, J.; Franks, D.M.; Hackney, C.R.; Latrubesses, E.M.; Tusting, L.S. Sand, gravel, and UN Sustainable Development Goals: Conflicts, synergies, and pathways forward. One Earth 2021, 4, 1095–1111. [Google Scholar] [CrossRef]
- Bendixen, M.; Best, J.; Hackney, C.; Iversen, L.L. Time is running out for sand. Nature 2019, 571, 29–31. [Google Scholar] [CrossRef] [PubMed]
- Cheng, D.; Reiner, D.M.; Yang, F.; Cui, C.; Meng, J.; Shan, Y.; Liu, Y.; Tao, S.; Guan, D. Projecting future carbon emissions from cement production in developing countries. Nat. Commun. 2023, 14, 8213. [Google Scholar] [CrossRef]
- Issa, C.A.; Izadifard, R.A. Numerical simulation of the experimental behavior of RC beams at elevated temperatures. Adv. Model. Simul. Eng. Sci. 2021, 8, 12. [Google Scholar] [CrossRef]
- Lucio-Martin, T.; Roig-Flores, M.; Izquierdo, M.; Alonso, M.C. Thermal conductivity of concrete at high temperatures for thermal energy storage applications: Experimental analysis. Sol. Energy 2021, 214, 430–442. [Google Scholar] [CrossRef]
- Statistics Explained. Available online: https://ec.europa.eu/eurostat/statistics-explained/index.php?title=Wood_products_-_production_and_trade#Roundwood_production (accessed on 3 April 2025).
- Ahmed, W.; Khushnood, R.A.; Memon, S.A.; Ahmad, S.; Baloch, W.L.; Usman, M. Effective use of sawdust for the production of eco-friendly and thermal-energy efficient normal weight and lightweight concretes with tailored fracture properties. J. Clean. Prod. 2018, 184, 1016–1027. [Google Scholar] [CrossRef]
- Olaiya, B.C.; Lawan, M.M.; Olonade, K.A. Utilization of sawdust composites in construction—A review. SN Appl. Sci. 2023, 5, 140. [Google Scholar] [CrossRef]
- Sotiropoulou, A.; Gavela, S.; Nikoloutsopoulos, N.; Passa, D.; Papadakos, G. Experimental study of wood shaving addition in mortar and statistical modeling on selected effects. J. Mech. Behav. Mater. 2017, 26, 55–63. [Google Scholar] [CrossRef]
- Corinaldesi, V.; Mazzoli, A.; Siddique, R. Characterization of lightweight mortars containing wood processing by-products waste. Constr. Build. Mater. 2016, 123, 281–289. [Google Scholar] [CrossRef]
- Mohammed, B.S.; Abdullahi, M.; Hoong, C.K. Statistical models for concrete containing wood chipping as partial replacement to fine aggregate. Constr. Build. Mater. 2014, 55, 13–19. [Google Scholar] [CrossRef]
- Memon, R.P.; Achekzai, L.; Mohd Sam, A.R.; Awal, A.S.M.A.; Memon, U. Performance of sawdust concrete at elevated temperature. J. Teknol. 2017, 80, 167–171. [Google Scholar] [CrossRef]
- Hafed, S.A. Study of thermal insulation and some mechanical properties for hybrid composites (cement–wood sawdust). Int. J. Comput. Appl. Sci. IJOCAAS 2017, 3, 212–216. [Google Scholar]
- Hafidh, S.A.; Abdullah, T.A.; Hashim, F.G.; Mohmoud, B.K. Effect of Adding Sawdust to Cement on its Thermal Conductivity and Compressive Strength. IOP Conf. Ser. Mater. Sci. Eng. 2021, 1094, 012047. [Google Scholar] [CrossRef]
- Belhadj, B.; Bederina, M.; Montrelay, N.; Houessou, J.; Quéneudec, M. Effect of substitution of wood shavings by barley straws on the physico-mechanical properties of lightweight sand concrete. Constr. Build. Mater. 2014, 66, 247–258. [Google Scholar] [CrossRef]
- Bederina, M.; Laidoudi, B.; Goullieux, A.; Khenfer, M.; Bali, A.; Quéneudec, M. Effect of the treatment of wood shavings on the physico-mechanical characteristics of wood sand concretes. Constr. Build. Mater. 2009, 23, 1311–1315. [Google Scholar] [CrossRef]
- Coatanlem, P.; Jauberthie, R.; Rendell, F. Lightweight wood chipping concrete durability. Constr. Build. Mater. 2006, 20, 776–781. [Google Scholar] [CrossRef]
- Ganiron, T. Effect of sawdust as fine aggregate in concrete mixture for building construction. Int. J. Adv. Sci. Technol. 2014, 63, 73–82. [Google Scholar] [CrossRef]
- Taoukil, D.; El-Bouardi, A.; Ezbakhe, H.; Ajzoul, T. Thermal proprieties of concrete lightened by wood aggregates. Res. J. Appl. Sci. Eng. Technol. 2011, 3, 113–116. [Google Scholar]
- Benchouaf, A.; Debieb, F.E.; Kadri, H.; Bentchikou, M. Time-dependent behavior of eco-friendly sand concrete using treated wood shavings. Mech. Time-Depend. Mater. 2023, 27, 543–558. [Google Scholar] [CrossRef]
- Dias, S.; Tadeu, A.; Almeida, J.; Humbert, P.; Antonio, J.; de Brito, J.; Pinhao, P. Physical, mechanical, and durability properties of concrete containing wood chips and sawdust: An experimental approach. Buildings 2022, 12, 1277. [Google Scholar] [CrossRef]
- Asadi, I.; Shafigh, P.; Hassan, Z.F.B.A.; Mahyuddin, B. Thermal conductivity of concrete—A review. J. Build. Eng. 2018, 20, 81–93. [Google Scholar] [CrossRef]
- EN 12667:2001; Thermal Performance of Building Materials and Products—Determination of Thermal Resistance by Means of Guarded Hot Plate and Heat Flow Meter Methods—Products of High and Medium Thermal Resistance. European Committee for Standardization: Brussels, Belgium, 2001.
- Yüksel, N. The Review of Some Commonly Used Methods and Techniques to Measure the Thermal Conductivity of Insulation Materials. In Insulation Materials in Context of Sustainability; Almusaed, A., Almssad, A., Eds.; IntechOpen: Rijeka, Croatia, 2016; pp. 113–140. [Google Scholar]
- ASTM C138/C138M; Standard Test Method for Density (Unit Weight), Yield, and Air Content (Gravimetric) of Concrete. ASTM International: West Conshohocken, PA, USA, 2024.
- ASTM C597; Standard Test Method for Pulse Velocity Through Concrete. ASTM International: West Conshohocken, PA, USA, 2023.
- ASTM C293/C293M; Standard Test Method for Flexural Strength of Concrete (Using Simple Beam with Center-Point Loading). ASTM International: West Conshohocken, PA, USA, 2016.
- Prusty, J.K.; Patro, S.K. Properties of fresh and hardened concrete using agro-waste as partial replacement of coarse aggregate—A review. Constr. Build. Mater. 2015, 82, 101–113. [Google Scholar] [CrossRef]
- Gavela, S.; Nikoloutsopoulos, N.; Papadakos, G.; Sotiropoulou, A. Combination of compressive strength test and ultrasonic pulse velocity test with acceptable uncertainty. Mater. Des. Process. Commun. 2021, 3, e171. [Google Scholar] [CrossRef][Green Version]
- Mehrez, I.; Hachem, H.; Gheith, R.; Jemni, A. Effect of the incorporation of NaOH-treated wood aggregates on thermal and mechanical properties of plaster mortar. Eur. J. Wood Wood Prod. 2023, 81, 411–420. [Google Scholar] [CrossRef]










| Replacement of Aggregates (%) | Wood (kg) | Cement (kg) | Fine Aggregates (kg) | Water (kg) | Superplasticizer (kg) | |
|---|---|---|---|---|---|---|
| Ref-Sh | 0 | 0 | 300 | 1500 | 180 | 4.5 |
| B30Sh | 30 | 17.6 | 300 | 1050 | 180 | 4.5 |
| B50Sh | 50 | 29.3 | 300 | 750 | 180 | 4.5 |
| B70Sh | 70 | 41 | 300 | 450 | 180 | 4.5 |
| Ref-Sd | 0 | 0 | 500 | 1500 | 300 | 5 |
| B10Sd | 10 | 25.7 | 500 | 1350 | 300 | 5 |
| B20Sd | 20 | 51.4 | 500 | 1200 | 300 | 5 |
| Ref-Sh | B30Sh | B50Sh | B70Sh | Ref-Sd | B10Sd | B20Sd | ||
|---|---|---|---|---|---|---|---|---|
| Average | kg/m3 | 2252 | 2104 | 1935 | 1714 | 2204 | 2033 | 1996 |
| Standard deviation | kg/m3 | 16 | 8 | 55 | 103 | 14 | 30 | 34 |
| Wood (kg/m3) | Cement (kg/m3) | Fine Aggregates (kg/m3) | Water (kg/m3) | Superplasticizer (kg/m3) | |
|---|---|---|---|---|---|
| Ref-Sh | 0 | 340 | 1702 | 204 | 5 |
| B30Sh | 24 | 407 | 1423 | 244 | 6 |
| B50Sh | 45 | 459 | 1148 | 276 | 7 |
| B70Sh | 72 | 527 | 791 | 316 | 8 |
| Ref-Sd | 0 | 478 | 1434 | 287 | 5 |
| B10Sd | 24 | 466 | 1259 | 280 | 5 |
| B20Sd | 50 | 485 | 1165 | 291 | 5 |
Disclaimer/Publisher’s Note: The statements, opinions and data contained in all publications are solely those of the individual author(s) and contributor(s) and not of MDPI and/or the editor(s). MDPI and/or the editor(s) disclaim responsibility for any injury to people or property resulting from any ideas, methods, instructions or products referred to in the content. |
© 2025 by the authors. Licensee MDPI, Basel, Switzerland. This article is an open access article distributed under the terms and conditions of the Creative Commons Attribution (CC BY) license (https://creativecommons.org/licenses/by/4.0/).
Share and Cite
Gavela, S.; Nikoloutsopoulos, N.; Galati, T.K.; Sotiropoulou, A. Thermal Conductivity and Thermal Behavior of Mortar Containing Wood Shavings and Sawdust. Appl. Sci. 2025, 15, 5911. https://doi.org/10.3390/app15115911
Gavela S, Nikoloutsopoulos N, Galati TK, Sotiropoulou A. Thermal Conductivity and Thermal Behavior of Mortar Containing Wood Shavings and Sawdust. Applied Sciences. 2025; 15(11):5911. https://doi.org/10.3390/app15115911
Chicago/Turabian StyleGavela, Stamatia, Nikolaos Nikoloutsopoulos, Theodora Kassandra Galati, and Anastasia Sotiropoulou. 2025. "Thermal Conductivity and Thermal Behavior of Mortar Containing Wood Shavings and Sawdust" Applied Sciences 15, no. 11: 5911. https://doi.org/10.3390/app15115911
APA StyleGavela, S., Nikoloutsopoulos, N., Galati, T. K., & Sotiropoulou, A. (2025). Thermal Conductivity and Thermal Behavior of Mortar Containing Wood Shavings and Sawdust. Applied Sciences, 15(11), 5911. https://doi.org/10.3390/app15115911

