Next Article in Journal
Predictive Current Control of a Five-Phase Drive Using a Lead-Pursuit Strategy and Virtual Voltage Vectors
Next Article in Special Issue
An Efficient Parallelization of Microscopic Traffic Simulation
Previous Article in Journal
Polysaccharide Hydrogels Based on Cellulose and Chitosan for Drug Sustained-Release Applications
Previous Article in Special Issue
MCIDN: Deblurring Network for Metal Corrosion Images
 
 
Font Type:
Arial Georgia Verdana
Font Size:
Aa Aa Aa
Line Spacing:
Column Width:
Background:
Article

Doctrina: Blockchain 5.0 for Artificial Intelligence

by
Khikmatullo Tulkinbekov
and
Deok-Hwan Kim
*
Department of Electrical and Computer Engineering, Inha University, Incheon 22210, Republic of Korea
*
Author to whom correspondence should be addressed.
Appl. Sci. 2025, 15(10), 5602; https://doi.org/10.3390/app15105602
Submission received: 4 April 2025 / Revised: 13 May 2025 / Accepted: 14 May 2025 / Published: 16 May 2025
(This article belongs to the Special Issue Recent Advances in Parallel Computing and Big Data)

Abstract

The convergence of blockchain technology with artificial intelligence presents a promising paradigm shift in data management and trust within AI ecosystems. Starting from the initial cryptocurrency-oriented versions, the blockchain potential is improved up to the highly scalable and programmable versions available currently. Even though the integration of real-world applications offers a promising future for distributed computing, there are limitations on executing AI models on blockchain due to high external library dependencies, storage, and cost constraints. Addressing this issue, this study explores the transformative potential of integrating blockchain with AI within the paradigm of blockchain 5.0. We propose the next-generation novel blockchain architecture named Doctrina that allows executing AI models directly on blockchain. Compared to the existing approaches, Doctrina allows sharing and using AI services in a fully distributed and privacy-preserved manner.

1. Introduction

The convergence of blockchain technology and artificial intelligence (AI) marks a significant juncture in the evolution of digital innovation. Blockchain, originally conceived as the underlying architecture for cryptocurrencies, has transcended its initial confines to become a transformative force with wide-reaching applications. On the other hand, AI, characterized by its capacity to harness data-driven insights for problem-solving, is reshaping industries and societies. Blockchain, at its core, is a decentralized, distributed ledger technology known for its immutability, transparency, and robust security features. AI, conversely, encompasses a wide spectrum of machine learning and deep learning techniques that enable computers to learn and make decisions autonomously. When united, these technologies have the potential to revolutionize the way data are managed, shared, and utilized in AI applications.
Blockchain technology emerged as a radical innovation underpinning the first decentralized cryptocurrency, Bitcoin [1]. It has since expanded beyond its initial financial confines, morphing into a foundational technology for a multitude of sectors. Several studies trace the blockchain evolution into five different stages [2,3,4,5]. The general overview of the five pivotal stages is shown in Figure 1. The five pivotal stages are as follows:
-
Blockchain 1.0—Introduction of cryptocurrencies. This step symbolizes the genesis of digital currencies, which goes back to 2008, with Bitcoin paving the way for a decentralized financial paradigm. The primary utility of this era was to facilitate peer-to-peer transactions without the oversight of central authorities, a concept that expanded to other cryptocurrencies such as Litecoin [6] and Dogecoin [7].
-
Blockchain 2.0—Use of smart contracts. The release of a new form of blockchain with the capabilities of storing and executing programs and instances of source codes, Ethereum [8], marked the transition to the new era. With the possibilities of saving and executing programs directly on immutable and public blockchains, new opportunities for business, research, and applications opened. For addressing all possibilities, the alternatives for Ethereum were also introduced, such as Hyperledger [9] and Solana [10].
-
Blockchain 3.0—Decentralized applications. Having the possibility of executing programs on distributed ledgers, the decentralized applications (dApps) have been rising that interact with blockchain while performing real-world services. Within the scope of this revolution, decentralized finance [11,12], gaming [13,14], social media [15], supply chain [16], identity verification and authorization services [17,18], healthcare [19,20], real estate [21], and several other fields [22,23,24,25] benefited from the decentralized services.
-
Blockchain 4.0—Integration of off-chain computing with on-chain transactions. Alongside the dApps, the new questions related to blockchain’s data-handling capabilities have risen, leading to the fourth revolution of blockchain. The introduction of Oracle services [26,27] played a pivotal role in revolutionizing blockchain technology with the possibilities of interacting with the real world. With this possibility, Fetch.ai [28], SingularityNET [29], and similar solutions have been introduced that perform the heavy, dependency-oriented computing part of—chain and saving transactions on blockchain and managing the flow using smart contracts. In this step, almost all real-life applications, including machine learning and AI services, could be integrated with blockchain, but with certain limitations. In addition to these, blockchain and big data integration [30,31,32,33] have also emerged as part of the fourth step revolution.
-
Blockchain 5.0—Convergence with artificial intelligence. It represents the next evolution of distributed ledger technology, characterized by its native integration with artificial intelligence. Unlike earlier generations, Blockchain 5.0 focuses on enabling intelligent, autonomous, and adaptive decentralized systems. This generation introduces on-chain AI model execution, decentralized AI training, and real-time AI-driven decision-making within the blockchain network itself. The COVID-19 pandemic accelerated global demand for AI-driven services [34,35], prompting the need for blockchain architectures that can not only manage and verify AI transactions but also perform AI computations directly on-chain. This convergence is expected to create intelligent decentralized ecosystems where blockchain serves as a trusted, tamper-proof environment for deploying and running AI workloads, further enhancing transparency, automation, and resilience in data-driven systems.
Recent studies [36,37] showed the growing importance of stable and decentralized solutions for AI. These advancements position blockchain-enabled AI solutions more precisely in the current trends in technology. The integration of blockchain into AI ecosystems introduces a myriad of possibilities. Blockchain’s inherent features, such as data provenance tracking and cryptographic security, can address critical concerns associated with AI, including data privacy, model accountability, and bias mitigation. Furthermore, it enables the creation of decentralized AI platforms where individuals retain ownership and control over their data and can participate in AI model training and data marketplaces.
Up to this date, researchers have been working on the integration of blockchain with AI [38,39,40,41]. However, almost all solutions are limited to smart contracts, and there is still a big gap in enabling a complete blockchain architecture capable of storing and executing AI models. Addressing this issue, this paper proposes a complete and novel blockchain architecture named Doctrina with features of executing AI models in a distributed manner while maintaining the owner privileges. With the possibilities of storing variable-size AI models on blockchain and reducing the transaction cost for executing models, Doctrina serves as the transformation point for blockchain 5.0, opening the possibilities of distributed AI.
The remainder of this paper is constructed as follows: Section 2 discusses the related work. Section 3 gives a detailed introduction about how Ethereum works as it serves as the base project for building Doctrina. Section 4 discusses the Doctrina architecture and all of its features in detail. Finally, in Section 5, we will prove the efficiency of Doctrina with the evaluations.

2. Related Work

The integration of blockchain technology with artificial intelligence (AI) has given rise to the concept of Blockchain 5.0, a cutting-edge field where the decentralized and immutable nature of blockchain synergizes with the data-driven and predictive capabilities of AI. This convergence aims to enhance security, transparency, and efficiency in various applications, including big data management and analytics.
Prior research in this domain has identified numerous applications where blockchain can significantly impact AI’s effectiveness. A seminal paper by Swan [42] posited that blockchain could serve as a secure substrate for AI operations, providing a robust framework for the decentralized execution of complex algorithms and the management of AI-driven contracts. In the sphere of big data, the work of Shae and Tsai [43] demonstrated how blockchain’s distributed ledger technology could provide a transparent and immutable record of data transactions, thereby enhancing the trustworthiness and verifiability of big data sources utilized by AI systems. Further advancing this intersection, the study by Zheng et al. [44] explored the potential of blockchain-based smart contracts in automating AI operations, especially in the context of machine learning models that require frequent updates and data exchanges. The authors highlighted the potential of smart contracts to streamline the model training process by automatically triggering data transactions and updates upon the satisfaction of predefined conditions.
The application of Blockchain 5.0 in AI has also been explored through various blockchain projects. One notable example is SingularityNET [29], a decentralized marketplace for AI services, which leverages blockchain to provide a transparent and democratic platform for AI algorithms and datasets exchange. This initiative aims to create a collaborative environment where AI developers and users can interact without intermediaries, fostering innovation and accessibility in the AI field. Another project, Ocean Protocol [45], focuses on unlocking the value of data by providing a tokenized service layer that facilitates the sharing and monetization of data and AI services. This project aims to democratize data access and stimulate AI development by providing a secure and scalable environment for data providers, consumers, and AI practitioners to collaborate. In terms of integrating blockchain with big data and AI, DeepBrain Chain [46] presents a decentralized neural network that utilizes blockchain technology to distribute computational resources across nodes efficiently. By doing so, it addresses the high-cost barrier associated with AI computational needs, thereby accelerating the development and deployment of AI applications. The confluence of AI and blockchain in a big data context further materializes in the work of Weng et al. [47], who proposed a framework for a decentralized AI system with an integrated blockchain to ensure data privacy and integrity in AI models. This framework is particularly pertinent in industries where data sensitivity is paramount, such as healthcare and finance. The potential of Blockchain 5.0 for AI is vast and continues to evolve. As noted by Kapoor et al. [48], future research directions may include the development of new consensus mechanisms tailored for AI operations, the establishment of AI governance models on the blockchain, and the exploration of blockchain’s role in ethical AI implementation.
While previous studies have explored the conceptual integration of blockchain and AI, there remains a noticeable gap in empirical validation, particularly in the context of post-pandemic resilience and technological scalability. Recent works, such as Qrunfleh et al. [49] and Sreenivasan et al. [50], underscore the growing importance of system adaptability and performance efficiency in volatile environments. These studies highlight the critical role of digital infrastructure in ensuring continuity and resilience, which aligns with the core motivation behind Doctrina. However, unlike prior models that often focus on static or monolithic architectures, Doctrina introduces a dynamic, hybrid blockchain framework tailored for distributed AI execution. By separating model execution into a permissioned layer while maintaining public transparency for transactions, Doctrina addresses the following two underexplored gaps in the current literature: performance optimization and deployment cost efficiency. Specifically, it avoids the overhead of full public-chain execution by isolating compute-heavy AI tasks in a more controlled environment. This modular architecture reduces resource redundancy, lowers operational costs, and supports scalable deployment across heterogeneous infrastructure. By explicitly targeting these performance and cost constraints, this work positions itself at the intersection of empirical relevance and architectural innovation.

3. Blockchain and Smart Contracts

Figure 2 illustrates the workflow and components involved in the Ethereum blockchain, focusing on block creation, validation, and the execution of smart contracts through the Ethereum Virtual Machine (EVM).
On the left side, we see the Ethereum validators, which are responsible for the creation of new blocks. Each block consists of a header and data. The header includes various fields such as the hash of the previous block, difficulty level, a nonce (an arbitrary number used only once to ensure security), a timestamp, block number, gas limit, and an address. The data section contains a list of transactions, which can be normal transfers, contract deployments, or state changes.
This figure also depicts the Merkle Tree, a data structure used in blockchains for efficiently summarizing and verifying the integrity of large sets of data, such as transactions. The Merkle Tree ensures that each block is securely linked to its transactions. The bottom part of the tree represents individual transactions, which are combined pairwise to form the next layer of hashes, culminating in the Merkle root hash that is stored in the block’s header.
The process continues with light nodes in the network that do not store the full blockchain but can verify transactions using the block headers, thus maintaining the network’s integrity without requiring significant computational resources.
Moving to the right side of this figure, we encounter EVM, which is a crucial component of the Ethereum network. It acts as a runtime environment for smart contracts, allowing them to be executed in a secure and isolated manner. EVM handles various types of transactions, such as normal transfers, deployment of new contracts (which is the creation of the contract on the blockchain), state-changing transactions (which alter the state of an existing contract), and smart contract bytecode (which is the compiled code of a contract that the EVM can execute).
The interaction with smart contracts is illustrated through the representation of users who can create, transfer, and interact with smart contracts. When a user initiates a smart contract interaction, it generates a transaction that can be a state change or a contract creation.
Finally, this figure demonstrates the validation and proposal of new blocks. After transactions are executed and their results are computed by the EVM, these results must be validated. If they are valid, a new block proposal is created. This proposal includes the new state of the blockchain after the transactions have been executed. Validators or miners then work to validate this new block, and once consensus is reached, the block is added to the blockchain. This process repeats with the creation of each new block, allowing the Ethereum blockchain to function and grow securely.
Ethereum was selected as the prototyping platform for Doctrina due to its advanced smart contract capabilities, established runtime environment, and alignment with public, decentralized execution models. As a Turing-complete blockchain platform, Ethereum enables the implementation and testing of complex logic required for on-chain AI workflows. Its standardized execution model, deterministic transaction processing, and support for verifiable computation provide a rigorous and reliable environment for evaluating the feasibility of decentralized AI integration. Moreover, Ethereum’s public infrastructure allows for realistic assessment of system performance, scalability constraints, and economic mechanisms such as gas fees, which are essential for maintaining network integrity in open blockchain environments. These characteristics make Ethereum a technically appropriate and representative platform for validating the foundational principles of the Doctrina architecture.

4. Doctrina

The proposed blockchain architecture, Doctrina, is an innovative amalgamation of blockchain technology with artificial intelligence (AI). Doctrina is designed as a decentralized platform, aiming to provide a secure and efficient medium for executing AI models while ensuring the integrity and transparency typical of blockchain systems. This architecture distinguishes itself through a dual-network approach that blends the features of public and permissioned blockchain networks.
Central to Doctrina’s design is the adoption of Ethereum’s smart contract framework, leveraging its established security and reliability features. These smart contracts are instrumental in managing interactions and transactions within the network, including the logistical aspects of AI model execution. The integration with Ethereum’s proven system offers a robust foundation for the Doctrina architecture.
The public network facet of Doctrina underpins the general transactional operations. It utilizes the Ethereum blockchain’s immutable ledger for a transparent and tamper-proof record-keeping system. This transparency is key to the integrity of Doctrina, ensuring that all activities, data exchanges, and transactions are publicly verifiable and permanently recorded on the blockchain. On the other hand, the permissioned network in Doctrina is specifically engineered for the storage and execution of AI models. This network caters to the heightened need for privacy and controlled access, particularly pertinent to handling sensitive or proprietary AI algorithms and data. The permissioned network is restricted to authorized entities, providing a secure environment for AI model deployment and interaction. This design choice is pivotal in safeguarding the intellectual property rights of AI developers and in protecting the confidential data utilized by AI models.
Doctrina’s architectural integration of public and permissioned networks strategically balances security, transparency, and operational efficiency. The public network ensures the blockchain’s core promises of security and transparency for general transactions, while the permissioned network provides a secure environment for AI model execution, isolating sensitive computations from the risks associated with public platforms. By logging only the high-level execution results on-chain, Doctrina guarantees privacy while maintaining transparency. The actual model execution occurs in the permissioned layer, safeguarding data and model integrity. This hybrid structure enhances both security and trust, offering a specialized, secure, and efficient infrastructure that supports the secure execution of AI models without compromising privacy or transparency.
In contrast to other private blockchain solutions such as Hyperledger [9], which is not inherently designed for decentralized AI computation, Doctrina introduces a computation-centric protocol specifically tailored for on-chain AI execution. Private blockchains often rely on centralized or semi-centralized orchestration of computation, lacking the mechanisms to transparently validate and verify AI model performance across distributed nodes. Doctrina addresses this limitation by incorporating native consensus mechanisms for AI model verification, decentralized scheduling, and cryptographic proof of execution to ensure trustless model evaluation. Its design goes beyond simple transaction processing to facilitate the life cycle of AI models—including registration, execution, monetization, and governance—within a decentralized and interoperable framework. This makes Doctrina a purpose-built infrastructure for AI execution, rather than adapting general-purpose private ledgers for tasks they were not originally intended to handle.

4.1. Permissioned Network

The permissioned network within the Doctrina blockchain architecture is a critical component designed to cater to the specific demands and challenges associated with the execution of AI models. This network distinguishes itself from the public network by offering a more controlled, secure, and efficient environment for AI-related activities.
-
Secure Execution Environment for AI Models: At the core of the permissioned network’s functionality is the provision of a secure execution space for AI models. This is particularly important for handling sensitive or proprietary algorithms, ensuring that they are shielded from external threats and unauthorized access. The elevated privacy and confidentiality offered by the permissioned network are essential for running AI applications that demand a high level of security.
-
Data Privacy and Integrity: In the realm of AI, data privacy and integrity are of utmost importance. The permissioned network is structured to protect the data used and produced by AI models, safeguarding it against unauthorized access and tampering. This aspect is vital for models dealing with sensitive personal data or confidential business information.
-
Regulated Access and Authorization: The network’s access is stringently regulated, permitting only verified and authorized individuals to deploy or interact with the AI models. This regulated access is crucial for maintaining the integrity of the AI models, protecting intellectual property rights, and shielding them from malicious interference.
-
Customized Governance and Compliance: Another significant role of the permissioned network is enabling the enforcement of tailored governance policies and compliance protocols. This allows organizations to set specific rules and standards for AI model deployment and operation, aligning activities with regulatory and ethical guidelines.
-
Efficient Resource Management: The permissioned network is optimized for the effective management of computational and storage resources, a necessity for resource-intensive AI model executions. This efficiency is key to ensuring high performance and scalability of AI applications within the network.
-
Quality Control and Model Validation: Prior to deployment, AI models undergo thorough testing and validation within the permissioned environment. This process ensures adherence to quality standards, maintaining a high caliber of AI services provided through the network.
-
Collaborative Development and Innovation: Despite its restricted access, the permissioned network fosters a collaborative atmosphere for authorized developers and organizations. This secure space encourages joint efforts in AI development, sharing of insights, and innovation, while protecting the contributions of all parties involved.
-
Customized Consensus Mechanisms: The network can implement bespoke consensus mechanisms that are specifically tailored to the requirements of AI model execution. These mechanisms can be optimized for various factors, such as speed and efficiency, catering to the nuanced needs of AI applications.
In essence, the permissioned network within Doctrina is foundational in ensuring the secure, efficient, and compliant execution of AI models. Its multi-faceted roles effectively address the unique challenges of integrating AI with blockchain technology, positioning Doctrina as a forefront solution in this rapidly advancing field.

4.2. Block Indexing

Doctrina’s blockchain architecture introduces a groundbreaking block indexing technique that integrates the execution of AI models with blockchain’s distributed ledger technology. This technique capitalizes on the synergy between public and permissioned networks to forge a robust and secure platform for AI applications.
At the heart of the public network are the traditional round blocks, similar to Ethereum’s structure, which ensure transparency and immutability of the transactional data. Each of these blocks, sequentially linked from the genesis block (G) to the current block (N), is anchored in the public ledger, providing a trustworthy and verifiable chain of transactions.
Coupled with these blocks are the triangular figures, or “tails”, each representing an AI model housed within the permissioned network. These tails are bound to their corresponding blocks, encapsulating the AI models and services ranging from the deployment of new services (T1_B1) to updates of existing ones (T1_B3). The permissioned network, with its restricted access, validates and authenticates these AI models before they are attached to the public blockchain, ensuring a secure environment for sensitive AI operations.
The permissioned network’s verification and signing off on the tails is a crucial step that precedes the dissemination of new blocks to the public network. This process maintains the integrity of the AI models by providing a secure, verified link between the AI services and the public ledger. It creates a seamless interplay between the open transactional data and the protected AI models, enabling a transparent yet secure AI execution framework.
This block indexing technique provides a balanced approach, upholding the decentralized and transparent nature of blockchain while simultaneously securing the proprietary aspects of AI models. It allows for the controlled execution of AI models, where only authorized entities have the requisite access, while the broader network activities remain openly verifiable.
By facilitating efficient AI model executions, Doctrina’s architecture ensures optimal use of computational resources and establishes a reliable record of AI transactions on the blockchain. This sophisticated integration of blockchain and AI through Doctrina’s block indexing technique offers a scalable, flexible, and secure platform, propelling the adoption of blockchain in AI across various sectors.
Doctrina’s methodology exemplifies a strategic melding of immutable record-keeping with the dynamic execution of AI, ensuring that the strengths of each domain are harnessed to their full potential. This positions the architecture as a frontrunner in the converging fields of blockchain and AI, paving the way for innovative applications and services.

4.3. Block Tails

As shown in Figure 3, each block may have zero or more tails attached to it. Each tail stands for the AI service being deployed to the Doctrina network. The tail contains the metadata and service components. The service may be in a containerized form as a self-contained solution or the trained model output files with clear instructions. In both cases, the metadata file is attached to each tail as shown in Figure 4. The metadata includes important information about the AI service and is translated by the permissioned network nodes before approving it. The following is some of the important information extracted from the metadata:
-
Version. AI services are usually updated regularly, thereby improving accuracy and quality.
-
Previous version hash. In case the service owner wishes to replace the previous version, the hash is included in the metadata. Even for the new versions, the previous version hash is not mandatory to include, and the owner may keep both services independent from each other. However, updating the previous version may reduce the deployment cost significantly since the previous version will be deleted and replaced. The cost is calculated only for the additional space used by the new version.
-
Framework. The framework dependency of the AI service. Only the nodes designed for that framework will approve the service.
-
Dependencies. To avoid various attacks on command-line injections, Doctrina provides the table of dependencies. The owners select the codes (did_001, did_002, …) of each dependency needed for deploying the AI service.
-
Scripts. For the same security purposes as the dependencies, the deployment script is also listed as a table by Doctrina.
-
Size and Space. This information is needed to calculate the deployment cost by the permissioned nodes.
When the tail is received by the permissioned network, the metadata is checked carefully for dependencies and deployment requirements. When all constraints are satisfied, the node calculates the deployment cost and approves the AI service.

4.4. Roles of Public Network

The public network within Doctrina’s blockchain framework plays a crucial role in maintaining transparency, security, and trust among its users. It serves the following several key functions:
-
Transaction confirmation: Every transaction on Doctrina, whether it is related to the deployment of an AI service, model updates, or other operations, requires validation. The public network is responsible for confirming these transactions through a consensus mechanism. This process ensures that once transactions are verified and added to the blockchain, they are immutable and cannot be altered, creating a secure and tamper-proof record.
-
Auditing: The public network allows for full traceability of transactions and AI services execution. This enables any stakeholder to audit the history and integrity of the AI services and their associated transactions. Auditing is critical for accountability and is useful for regulatory compliance, especially in fields where AI decisions must be explainable and transparent.
-
Decentralization of trust: By allowing a broader public network to participate in the transaction validation process, trust is distributed among many nodes rather than being concentrated in a single entity. This decentralized approach to trust is fundamental to blockchain technology and helps prevent single points of failure.
-
Security: The public network contributes to the overall security of the blockchain. The larger and more distributed the network, the more secure it is against attacks, such as the 51% attack, where a user or group gains control of the majority of the network’s mining power to manipulate the blockchain.
-
Incentive mechanism: Participants in the public network, often called validators or miners, may receive incentives or rewards for their role in confirming transactions and maintaining the blockchain. This incentivization ensures that there is always a sufficient number of participants to keep the network functional and secure.
-
Public verification: For AI services that impact public domains or require public trust, having a public network that verifies the operations of these services can provide a layer of assurance to external observers that the AI’s actions are consistent and based on unaltered data.
In summary, the public network in Doctrina serves as the backbone for ensuring that the blockchain operates in a transparent, secure, and reliable manner, which is especially important when it comes to the execution of AI services where outcomes must be verifiable and trustworthy.
Doctrina presents a fundamentally new approach to integrating artificial intelligence directly into blockchain infrastructure by enabling AI models to run natively on-chain. Unlike existing architectures that rely heavily on off-chain computation or third-party services to process AI tasks, Doctrina allows AI models to be deployed, executed, and verified entirely within the blockchain environment. This ensures full transparency, immutability, and trust in AI-driven operations. Doctrina achieves this through a combination of smart contract extensions for handling AI-specific logic, an optimized execution environment that supports efficient computation, and a verification system that ensures model outputs are reproducible and tamper-proof. Additionally, Doctrina includes decentralized governance mechanisms for managing model updates and data validation, making it possible to build autonomous, community-driven AI services without centralized control. These features collectively distinguish Doctrina from existing approaches and represent a significant step toward intelligent and secure decentralized ecosystems.

5. Implementation

5.1. Collective Signatures

Collective signatures are one of the most fundamental advantages of the Doctrina network that allows separating the tails from the blocks and storing them separately in the permissioned network storage. After successfully signing the tails, the permissioned node shares the collective signature to the public network within the block data, and the consensus is performed for saving the new block. Therefore, the collective signature generation adds an additional step for computations, and it is important to implement it so efficiently, avoiding the extra cost. Also, if the collective signature cost is high, it may also affect the deployment cost of the AI service. Hence, the existing collective signatures are reviewed carefully, and record–approval–consensus (RAC) [31] is selected as the most suitable for this purpose. As claimed by the authors, RAC is used when signing the data is the highest priority, but only when not using the collective signature as the main consensus for maintaining the network. The main advantage of the RAC is that it has configurable fault tolerance at arbitrary number n, which will be helpful for implementing the highly scalable blockchain consensus. The following are the three main steps for generating collective signatures in RAC:
-
Broadcast: During this phase, the owner node broadcasts the message to all other nodes in the network. In Doctrina, this could represent the block ID and tail hash for signing and to be validated.
-
Verify and Collect Signatures: In this step, the nodes verify the information received during the broadcast phase. They may perform various checks, such as validating a digital signature and ensuring the transaction/block is not a duplicate and complies with the network’s rules. After verification, each node sends back a signature or acknowledgment including the node ID.
S C = H i = 1 n H I D n o d e i + H d a t a ,
where S C is a collective signature, n is the number of confirming nodes; H I D n o d e i is the generated hash from confirming the node’s unique ID; and H d a t a is the generated hash from the data being signed.
-
Commit: Once the necessary number (configurable n) of signatures or acknowledgments has been collected and verified, the owner node generates the new collective signature based on the confirming node IDs and tail hash as shown in (1). At this step the tail is considered signed, and the collective signature can be included in the corresponding blocks for verification.
Following the RAC, the tail is not deployed right after the collective signature degeneration but only sent to the waiting list, where it stays until the corresponding block is verified by the network. For each verified block, the permissioned network again checks for the collective signatures in the data component and deploys the AI services from the waiting list.

5.2. Cost Analysis

Doctrina stands for the optimized consensus for the lowest possible cost for deploying and executing AI services. The cost structure for deploying and executing AI services is multi-faceted, involving different fees for the permissioned and public networks.
-
Deployment fee on the permissioned network: The cost for deploying an AI service is calculated based on the service’s size. This fee is computed as ‘COST = SIZE_USED × DEPLOYMENT_FEE’ and is payable in DOCAI, the specific currency of the permissioned network. The deployment fee directly correlates with the resource consumption of the AI service, reflecting the storage and computational resources required.
-
Transaction fee on the public network: When a new AI service is deployed and a block is created on the blockchain, a transaction fee is incurred on the public network. This fee is payable in DOCAI-X, the currency of the public network. To simplify transactions, DOCAI-X can automatically be converted to DOCAI during the deployment process. This conversion facilitates seamless interactions between the two networks, ensuring that users can easily manage costs without dealing with multiple currencies.
-
Execution costs for deployed services: Post-deployment, when an AI service is executed, the cost incurred is limited to the transaction fee on the public network. This approach emphasizes the efficiency of the network, where the main cost is associated with deployment, and subsequent executions are more economical, only incurring transaction fees.
-
Cost optimization: This pricing structure provides a clear and predictable model for users deploying AI services on Doctrina. By separating deployment and execution costs and offering currency conversion, Doctrina ensures a user-friendly and cost-effective environment for decentralized AI services.
Overall, Doctrina’s cost structure is designed to align with the resource utilization of its services, ensuring fairness and transparency in its pricing model while fostering an efficient environment for the deployment and execution of decentralized AI services. Additionally, the gas price for the deployment is configurable, which can be set to a minimum for the low-cost services.

5.3. Model Execution

In the Doctrina blockchain, AI model execution follows a specific set of rules to accommodate the deterministic nature of blockchain technology:
-
Request initiation: Users initiate AI service execution by creating a transaction. This transaction specifies the request for the AI model execution.
-
Transaction monitoring: The permissioned network continuously monitors new blocks for these execution request transactions.
-
AI service execution: Upon identifying an execution request, nodes in the permissioned network execute the requested AI service.
-
Event emission: After the AI service execution, an event is emitted from the smart contract. This event includes essential details like the AI model ID, request ID, and the execution result.
The emission of these events serves as a notification to the user regarding the completion and outcome of their AI service request. It closes the loop between the user’s request and the network’s execution, providing a seamless interface for users to interact with AI services on the blockchain. This process is designed to ensure that AI services are executed in a consistent and reliable manner, respecting the deterministic nature of blockchain while providing the flexibility and dynamism required for AI executions.
To address the diverse computational demands of AI models, the Doctrina architecture leverages its hybrid network structure. The permissioned layer is specifically designed to support model execution and can dynamically adapt by upgrading or modifying its nodes without disrupting the public chain’s operations. These nodes are periodically validated to ensure they meet evolving software and hardware requirements. This architectural separation enables the system to efficiently process AI models of varying complexity within the permissioned network while maintaining transparency and trust by recording essential outcomes and commitments on the public blockchain. By combining adaptability in execution with integrity in confirmation, Doctrina ensures robust, scalable AI integration within a decentralized infrastructure.
This structured yet flexible approach not only broadens the utility of blockchain but also opens new avenues for AI applications in decentralized environments, maintaining key principles such as immutability, transparency, and security.

5.4. Potential Effect

The architectural exposition of Doctrina underscores its innovative approach to integrating AI within a hybrid blockchain infrastructure, combining permissioned and public layers for secure, scalable, and decentralized AI model execution. While this framework offers clear technical benefits, a deeper engagement with contemporary literature reveals its broader relevance within the evolving landscape of blockchain–AI systems. Compared to existing projects like SingularityNET and Ocean Protocol, which emphasize decentralized AI service marketplaces and data monetization, respectively, Doctrina takes a more infrastructure-centric approach. It addresses performance and deployment efficiencies as core design goals, areas often underexplored in prior literature that focuses primarily on conceptual models or limited-use case deployments [42,45].
By incorporating findings from recent studies on post-pandemic digital infrastructure resilience [49,50], Doctrina responds to the increasing demand for systems that can adapt to socio-economic disruptions while maintaining operational continuity. Its permissioned layer supports secure, low-latency AI model execution suited for enterprise and sensitive-data environments (e.g., healthcare and finance), while its public chain fosters trust, transparency, and community-based validation. This dual-layer design aligns with the scalability principles outlined in El Khoury et al. [51] and the efficiency imperatives discussed by Kumar et al. [52], thus placing Doctrina within a class of next-generation platforms that prioritize both technical robustness and cost sustainability.
From a socio-economic standpoint, Doctrina contributes to long-term sustainability by optimizing the computational cost of AI deployment—one of the key barriers to widespread adoption. Its architecture reduces dependence on centralized cloud providers, lowering both energy consumption and service monopolization risks. Moreover, its modular governance and interoperability potential position it as a sustainable model for cross-domain AI collaboration, where stakeholders can contribute models, data, and compute in a fair and accountable ecosystem. This supports a more inclusive technological future, where AI capabilities are not just scalable but equitably accessible and environmentally mindful.
Doctrina’s hybrid blockchain model is well-suited for applications in healthcare, where privacy, security, and compliance are critical. The permissioned layer facilitates secure AI model training and patient data management, while the public blockchain ensures transparency, accountability, and validation of AI decision-making. This enables federated learning across distributed healthcare providers, allowing for collaborative AI development without compromising data privacy. Furthermore, Doctrina supports the creation of secure AI marketplaces, where AI models and datasets can be exchanged in a decentralized manner, ensuring trust and accountability through a transparent public ledger.
In comparison to traditional systems, Doctrina offers an innovative solution to scalability and cost challenges in decentralized AI. Ethereum’s established infrastructure makes it an ideal platform for prototyping, providing a reliable testbed for Doctrina’s hybrid model. While platforms like Hyperledger Fabric offer advantages in throughput and lack of gas fees, their permissioned structures are unsuitable for Doctrina’s goal of fostering open, trustless interactions. Ethereum’s public and transparent nature provides the necessary balance of security and openness, making it a strong foundation for decentralized AI applications.

6. Evaluations

6.1. Test Environment and Validation Techniques

To comprehensively evaluate Doctrina’s hybrid blockchain architecture, which integrates both private and public network nodes, a formal evaluation framework was established to assess cost efficiency, scalability, and operational feasibility. This setup focuses on analyzing AI model deployment cost, model update cost, and transaction cost across different network sizes and configurations. In the private network segment, the evaluation emphasized controlled deployment and update of AI models, where node participation is permissioned. This setting allowed for a detailed analysis of resource allocation and operational overhead in environments where data confidentiality and computational trust are critical. The transaction cost analysis within this secure layer also provided insights into the network’s ability to handle frequent, intra-organizational data exchanges and AI model execution with minimal latency.
Conversely, the public network evaluation centered on open, decentralized interactions, examining how increasing the number of participating nodes influences the costs and efficiency of deploying and maintaining AI models at scale. Here, transaction cost assessments considered network congestion, gas fees, and peer-to-peer communication efficiency to evaluate system transparency and inclusiveness. The evaluation network was instantiated across heterogeneous cloud platforms to reflect real-world conditions, and a structured research design was implemented to validate Doctrina’s performance under varying workload conditions. Key performance metrics included transaction throughput (TPS), execution latency, cost per inference cycle, scalability index, and smart contract efficiency. The scalability index, inspired by the work of El Khoury et al. [51], measured system resilience under increasing concurrent model executions, while smart contract efficiency was benchmarked using techniques from Kumar et al. [52] and Min, H. [53], focusing on gas consumption and execution success under normal and stress conditions. All the results are summarized in the form of “deployment cost”, “update cost”, and “transaction cost”, as these operations are the most practical for the AI service execution in a distributed environment.
Validation techniques included baseline comparison with cloud-native AI inference platforms, enabling a comparative view of cost and latency performance. Stress testing under high transaction loads and internal consistency checks using event logs and state replication were also conducted to ensure the robustness of the execution flow. Overall, this comprehensive evaluation approach demonstrated how Doctrina addresses not only the technical requirements of AI–blockchain integration but also the economic and performance-related gaps identified in earlier models. By situating the methodology within recognized frameworks for platform scalability and smart contract analysis, this study provides a grounded and replicable basis for future research and deployment strategies.

6.2. Public Network Effect

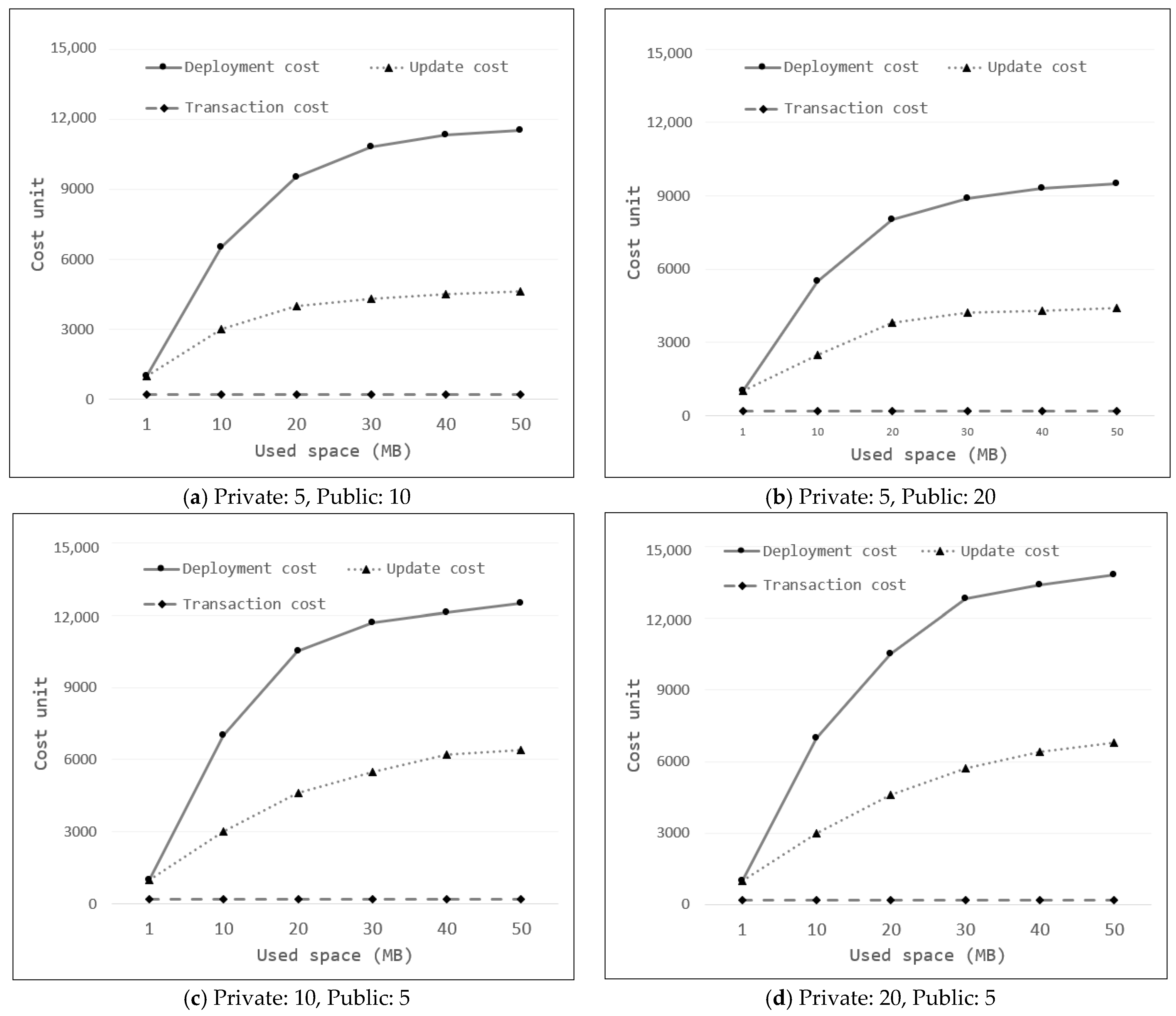
The public network effect in Doctrina refers to the influence of increasing the number of public (permissionless) participants on the cost structure of AI model lifecycle operations—deployment, update, and transaction. This effect is visualized in Figure 5a,b, which compare two configurations—one with 10 public nodes and another with 20 public nodes, both paired with 5 private nodes.
As the amount of used space increases (from 1 MB to 50 MB), we observe a noticeable rise in all three cost components. However, the increase is not uniform across configurations. In Figure 5b, where the public node count is higher, the marginal cost of scaling—especially for deployment and update operations—is slightly reduced compared to Figure 5a. This suggests a form of positive public network externality, where a larger public node base can amortize the costs of storage and validation more effectively across participants.
The deployment cost exhibits the steepest growth, reflecting the heavy initialization overhead required to distribute and validate a model across many public nodes. Since each node must independently verify and store the initial state, the cost scales sharply with model size. In contrast, transaction costs—which relate primarily to inference and execution—remain relatively flat, as they require less computation and are less sensitive to the underlying data size.
Interestingly, update costs demonstrate a moderate slope. While updates still require consensus and state propagation, the data volumes and scope of change are typically smaller than full deployments. The scaling here is partially offset by efficient state diffing mechanisms in Doctrina’s runtime, which help to contain update overhead even as the data footprint increases.
These results collectively show that while public networks offer the benefits of openness and decentralization, they introduce scaling challenges in deployment-heavy workloads. For Doctrina, this means that large-scale AI models or frequent redeployments will incur higher costs unless countered by smart optimization strategies or off-chain computation layers. Nonetheless, increasing public participation can mitigate per-node cost pressure, indicating that a sufficiently large public node base can still support scalable, secure AI model execution at reduced marginal costs.

6.3. Private Network Effect

In contrast to public network dynamics, the private network effect focuses on the role of scaling the trusted node set within Doctrina’s permissioned layer. Figure 5c,d presents configurations where the number of private nodes varies—10 in (c) and 20 in (d)—while public node participation remains fixed at 5 nodes.
The cost trends show a distinct behavior: while all three cost components still increase with used space, the rate of increase is more subdued, particularly for transactions and updates. This is expected in private networks, where the consensus scope is limited and operations can be executed with fewer cryptographic verifications and faster state synchronization due to the smaller, trusted quorum.
In Figure 5d, where the private set doubles in size, deployment costs increase more significantly. This reflects the growing coordination overhead required to maintain consistency and security among trusted parties. As more nodes are involved, the cost of securely initializing a model—including cryptographic signatures, state distribution, and policy agreement—rises sharply. However, the transaction and update costs scale more gracefully, suggesting that Doctrina benefits from efficient intra-cluster communication protocols in private networks, which minimize unnecessary overhead for routine operations.
Another key observation is the predictability of cost scaling in private networks. Unlike the public setting, where node heterogeneity and asynchronous delays can introduce cost variance, the private environment ensures a controlled execution context. This leads to more stable operational costs, which are attractive for enterprises and institutions that demand budget certainty and compliance.
From a deployment strategy perspective, these results imply that organizations seeking to run sensitive or proprietary AI models on-chain may prefer private networks, where trust boundaries are tighter and cost implications are more manageable. Moreover, hybrid models—where Doctrina leverages both private and public layers—can combine the best of both worlds: low-latency execution and verifiable decentralization

7. Conclusions

In conclusion, Doctrina represents a significant advancement at the intersection of blockchain and AI, demonstrating the feasibility of executing AI models directly on-chain while balancing transparency, security, and efficiency. By integrating both public and private blockchain layers, it offers the following flexible framework: public networks ensure decentralization and openness but incur higher costs as scale increases, whereas private networks provide controlled, predictable expenses and enhanced privacy—suiting organizations with stricter compliance requirements. Beyond technical implementation, Doctrina highlights the strategic and economic considerations essential for real-world adoption, especially as demand for AI processing continues to rise. This underscores the importance of optimizing blockchain protocols to handle AI’s computational intensity. Moreover, the ethical dimensions of on-chain AI—such as data privacy, accountability, and fairness—demand careful attention to ensure that such systems not only scale effectively but do so responsibly and equitably.
Looking to the future, Doctrina sets a precedent for continued research and development, particularly in exploring hybrid network models that combine the decentralization of public networks with the privacy and cost efficiency of private ones. A critical area for optimization lies in improving data interaction between these layers. This can be achieved through layered message relay protocols, data compression, and asynchronous commit strategies that reduce redundancy and enhance throughput. Additionally, incorporating cryptographic methods can enable public validation of AI computations without exposing sensitive data. Future research should also investigate the evolution of regulatory frameworks in the post-pandemic world, as governments and institutions move toward more comprehensive and adaptive approaches to blockchain technology and AI deployment. Addressing these concerns will be pivotal in ensuring that platforms like Doctrina evolve in a manner that is sustainable, ethical, and compliant with emerging global standards.

Author Contributions

Conceptualization, K.T.; methodology, K.T.; software, K.T.; validation, K.T. and D.-H.K.; formal analysis, D.-H.K.; investigation, K.T.; resources, D.-H.K.; data curation, K.T.; writing—original draft preparation, K.T.; writing—review and editing, D.-H.K.; visualization, K.T. and D.-H.K.; supervision, D.-H.K.; project administration, D.-H.K.; funding acquisition, D.-H.K. All authors have read and agreed to the published version of the manuscript.

Funding

This work was supported in part by the National Research Foundation of Korea (NRF)’s grant funded by the Korean government (MSIT) (No. RS-2024-00336286) and in part by Inha University’s research grant.

Institutional Review Board Statement

Not applicable.

Informed Consent Statement

Not applicable.

Data Availability Statement

The data presented in this study are available on request from the corresponding author. Data is not available due to privacy.

Conflicts of Interest

The authors declare no conflicts of interest.

References

  1. Nakamoto, S. Bitcoin: A Peer-to-Peer Electronic Cash System. Available online: http://bitcoin.org/bitcoin.pdf (accessed on 1 February 2025).
  2. Bodkhe, U.; Tanwar, S.; Parekh, K.; Khanpara, P.; Tyagi, S.; Kumar, N.; Alazab, M. Blockchain for Industry 4.0: A Comprehensive Review. IEEE Access 2020, 8, 79764–79800. [Google Scholar] [CrossRef]
  3. Verma, A.; Kaur, H.; Tanwar, S.; Kumar, N.; Rodrigues, J.J.P.C. Blockchain for Industry 5.0: Vision, Opportunities, Key Enablers, and Future Directions. IEEE Access 2022, 10, 69160–69199. [Google Scholar] [CrossRef]
  4. Tyagi, A.K.; Dananjayan, S.; Agarwal, D.; Thariq Ahmed, H.F. Blockchain—Internet of Things Applications: Opportunities and Challenges for Industry 4.0 and Society 5.0. Sensors 2023, 23, 947. [Google Scholar] [CrossRef]
  5. Leng, J.; Chen, Z.; Huang, Z.; Zhu, X.; Su, H.; Lin, Z.; Zhang, D. Secure Blockchain Middleware for Decentralized IIoT towards Industry 5.0: A Review of Architecture, Enablers, Challenges, and Directions. Machines 2022, 10, 858. [Google Scholar] [CrossRef]
  6. Litecoin Whitepaper. Available online: https://naorib.ir/white-paper/litecoin.pdf (accessed on 13 May 2025).
  7. Dogecoin Whitepaper. Available online: https://dogechain.dog/DogechainWP.pdf (accessed on 1 February 2025).
  8. Buterin, V. A Next-Generation Smart Contract and Decentralized Application Platform. 2014. Available online: https://www.weusecoins.com/assets/pdf/library/Ethereum_white_paper-a_next_generation_smart_contract_and_decentralized_application_platform-vitalik-buterin.pdf (accessed on 1 February 2025).
  9. Pancari, S.; Rashid, A.; Zheng, J.; Patel, S.; Wang, Y.; Fu, J. A Systematic Comparison between the Ethereum and Hyperledger Fabric Blockchain Platforms for Attribute-Based Access Control in Smart Home IoT Environments. Sensors 2023, 23, 7046. [Google Scholar] [CrossRef]
  10. Solana Whitepaper. Available online: https://solana.com/solana-whitepaper.pdf (accessed on 1 February 2025).
  11. Sriman, B.; Kumar, S.G. Decentralized Finance (DeFi): The Future of Finance and DeFi Application for Ethereum Blockchain-Based Finance Market. In Proceedings of the 2022 International Conference on Advances in Computing, Communication and Applied Informatics (ACCAI), Chennai, India, 28–29 January 2022; pp. 1–9. [Google Scholar] [CrossRef]
  12. Schär, F. Decentralized Finance: On Blockchain- and Smart Contract-Based Financial Markets. FRB St. Louis Rev. 2021, 103, 153–174. [Google Scholar] [CrossRef]
  13. Min, T.; Wang, H.; Guo, Y.; Cai, W. Blockchain Games: A Survey. In Proceedings of the 2019 IEEE Conference on Games (CoG), London, UK, 20–23 August 2019; pp. 1–8. [Google Scholar] [CrossRef]
  14. Serada, A.; Sihvonen, T.; Harviainen, J.T. CryptoKitties and the New Ludic Economy: How Blockchain Introduces Value, Ownership, and Scarcity in Digital Gaming. Games Cult. 2021, 16, 457–480. [Google Scholar] [CrossRef]
  15. Hisseine, M.A.; Chen, D.; Yang, X. The Application of Blockchain in Social Media: A Systematic Literature Review. Appl. Sci. 2022, 12, 6567. [Google Scholar] [CrossRef]
  16. Chang, S.E.; Chen, Y. When Blockchain Meets Supply Chain: A Systematic Literature Review on Current Development and Potential Applications. IEEE Access 2020, 8, 62478–62494. [Google Scholar] [CrossRef]
  17. Jamal, A.; Helmi, R.A.A.; Syahirah, A.S.N.; Fatima, M.-A. Blockchain-Based Identity Verification System. In Proceedings of the 2019 IEEE 9th International Conference on System Engineering and Technology (ICSET), Shah Alam, Malaysia, 7 October 2019; pp. 253–257. [Google Scholar] [CrossRef]
  18. Kairaldeen, A.R.; Abdullah, N.F.; Abu-Samah, A.; Nordin, R. Peer-to-Peer User Identity Verification Time Optimization in IoT Blockchain Network. Sensors 2023, 23, 2106. [Google Scholar] [CrossRef]
  19. Agbo, C.C.; Mahmoud, Q.H.; Eklund, J.M. Blockchain Technology in Healthcare: A Systematic Review. Healthcare 2019, 7, 56. [Google Scholar] [CrossRef]
  20. Kassab, M.; DeFranco, J.; Malas, T.; Laplante, P.; Destefanis, G.; Neto, V.V.G. Exploring Research in Blockchain for Healthcare and a Roadmap for the Future. IEEE Trans. Emerg. Top. Comput. 2021, 9, 1835–1852. [Google Scholar] [CrossRef]
  21. Garcia-Teruel, R.M. Legal challenges and opportunities of blockchain technology in the real estate sector. J. Prop. Plan. Environ. Law 2020, 12, 129–145. [Google Scholar] [CrossRef]
  22. Wessling, F.; Ehmke, C.; Hesenius, M.; Gruhn, V. How much blockchain do you need? Towards a concept for building hybrid DApp architectures. In Proceedings of the 1st International Workshop on Emerging Trends in Software Engineering for Blockchain (WETSEB ‘18), New York, NY, USA, 27 May 2018; pp. 44–47. [Google Scholar] [CrossRef]
  23. Liu, X.; Tang, Z.; Li, P.; Guo, S.; Fan, X.; Zhang, J. A Graph Learning-Based Approach for Identity Inference in DApp Platform Blockchain. IEEE Trans. Emerg. Top. Comput. 2022, 10, 438–449. [Google Scholar] [CrossRef]
  24. Wu, K.; Ma, Y.; Huang, G.; Liu, X. A first look at blockchain-based decentralized applications. Softw. Pract. Exp. 2021, 51, 2033–2050. [Google Scholar] [CrossRef]
  25. Gao, J.; Liu, H.; Li, Y.; Liu, C.; Yang, Z.; Li, Q.; Guan, Z.; Chen, Z. Towards Automated Testing of Blockchain-Based Decentralized Applications. In Proceedings of the 2019 IEEE/ACM 27th International Conference on Program Comprehension (ICPC), Montreal, QC, Canada, 25–26 May 2019; pp. 294–299. [Google Scholar] [CrossRef]
  26. Caldarelli, G. Understanding the Blockchain Oracle Problem: A Call for Action. Information 2020, 11, 509. [Google Scholar] [CrossRef]
  27. Chainlink Whitepaper. Available online: https://chain.link/whitepaper (accessed on 1 February 2025).
  28. Fetch.ai Whitepaper. Available online: https://fetch.ai/blog/fetch-ai-economics-white-paper (accessed on 1 February 2025).
  29. SingularityNET Whitepaper. Available online: https://public.singularitynet.io/whitepaper.pdf (accessed on 1 February 2025).
  30. Guo, S.; Dai, Y.; Guo, S.; Qiu, X.; Qi, F. Blockchain Meets Edge Computing: Stackelberg Game and Double Auction Based Task Offloading for Mobile Blockchain. IEEE Trans. Veh. Technol. 2020, 69, 5549–5561. [Google Scholar] [CrossRef]
  31. Tulkinbekov, K.; Kim, D.-H. Blockchain-Enabled Approach for Big Data Processing in Edge Computing. IEEE Internet Things J. 2022, 9, 18473–18486. [Google Scholar] [CrossRef]
  32. Liu, H.; Zhang, P.; Pu, G.; Yang, T.; Maharjan, S.; Zhang, Y. Blockchain Empowered Cooperative Authentication with Data Traceability in Vehicular Edge Computing. IEEE Trans. Veh. Technol. 2020, 69, 4221–4232. [Google Scholar] [CrossRef]
  33. Xu, J.; Wang, S.; Bhargava, B.K.; Yang, F. A Blockchain-Enabled Trustless Crowd-Intelligence Ecosystem on Mobile Edge Computing. IEEE Trans. Ind. Inform. 2019, 15, 3538–3547. [Google Scholar] [CrossRef]
  34. Bhanot, N.; Ahuja, J.; Kidwai, H.I.; Nayan, A.; Bhatti, R.S. A sustainable economic revival plan for post-COVID-19 using machine learning approach–a case study in developing economy context. Benchmarking Int. J. 2023, 30, 1782–1805. [Google Scholar] [CrossRef]
  35. Gupta, A.; Kumar Singh, R. Managing resilience of micro, small and medium enterprises (MSMEs) during COVID-19: Analysis of barriers. Benchmarking Int. J. 2023, 30, 2062–2084. [Google Scholar] [CrossRef]
  36. Varma, D.; Dutta, P. Restarting MSMEs and start-ups post COVID-19: A grounded theory approach to identify success factors to tackle changed business landscape. Benchmarking Int. J. 2023, 30, 1912–1941. [Google Scholar] [CrossRef]
  37. Fares, N.; Lloret, J.; Kumar, V.; Frederico, G.F.; Kumar, A.; Garza-Reyes, J.A. Enablers of post-COVID-19 customer demand resilience: Evidence for fast-fashion MSMEs. Benchmarking Int. J. 2023, 30, 2012–2039. [Google Scholar] [CrossRef]
  38. Salah, K.; Rehman, M.H.U.; Nizamuddin, N.; Al-Fuqaha, A. Blockchain for AI: Review and Open Research Challenges. IEEE Access 2019, 7, 10127–10149. [Google Scholar] [CrossRef]
  39. Atlam, H.F.; Azad, M.A.; Alzahrani, A.G.; Wills, G. A Review of Blockchain in Internet of Things and AI. Big Data Cogn. Comput. 2020, 4, 28. [Google Scholar] [CrossRef]
  40. Shae, Z.; Tsai, J. AI Blockchain Platform for Trusting News. In Proceedings of the 2019 IEEE 39th International Conference on Distributed Computing Systems (ICDCS), Dallas, TX, USA, 7–10 July 2019; pp. 1610–1619. [Google Scholar] [CrossRef]
  41. Wang, K.; Dong, J.; Wang, Y.; Yin, H. Securing Data With Blockchain and AI. IEEE Access 2019, 7, 77981–77989. [Google Scholar] [CrossRef]
  42. Swan, M. Blockchain: Blueprint for a New Economy; O’Reilly Media, Inc.: Sebastopol, CA, USA, 2015. [Google Scholar]
  43. Shae, Z.; Tsai, J.J.P. On the Design of a Blockchain Platform for Clinical Trial and Precision Medicine. In Proceedings of the 2017 IEEE 37th International Conference on Distributed Computing Systems (ICDCS), Atlanta, GA, USA, 5–8 June 2017; pp. 1972–1980. [Google Scholar] [CrossRef]
  44. Zheng, Z.; Xie, S.; Dai, H.; Chen, X.; Wang, H. An Overview of Blockchain Technology: Architecture, Consensus, and Future Trends. In Proceedings of the 2017 IEEE International Congress on Big Data (BigData Congress), Honolulu, HI, USA, 25–30 June 2017; pp. 557–564. [Google Scholar] [CrossRef]
  45. Ocean Protocol Whitepaper. Available online: https://oceanprotocol.com/tech-whitepaper.pdf (accessed on 1 February 2025).
  46. DeepBrain Chain Whitepaper. Available online: https://www.deepbrainchain.org/assets/pdf/DeepBrainChainWhitepaper_en.pdf (accessed on 1 February 2025).
  47. Weng, J.; Weng, J.; Zhang, J.; Li, M.; Zhang, Y.; Luo, W. DeepChain: Auditable and Privacy-Preserving Deep Learning with Blockchain-Based Incentive. IEEE Trans. Dependable Secur. Comput. 2021, 18, 2438–2455. [Google Scholar] [CrossRef]
  48. Kapoor, A.; Al Omar, A.; Bhattacharya, P.; Psannis, K.E. Blockchain and AI: Basis of a New Approach. In Proceedings of the EAI International Conference on Big Data Innovation for Sustainable Cognitive Computing, Online, 18–19 December 2020; Springer: Cham, Switzerland, 2020; pp. 3–19. [Google Scholar]
  49. Qrunfleh, S.; Vivek, S.; Merz, R.; Mathivathanan, D. Mitigation themes in supply chain research during the COVID-19 pandemic: A systematic literature review. Benchmarking Int. J. 2023, 30, 1832–1849. [Google Scholar] [CrossRef]
  50. Sreenivasan, A.; Suresh, M.; Tuesta Panduro, J.A. Modelling the resilience of start-ups during COVID-19 pandemic. Benchmarking Int. J. 2023, 30, 2085–2109. [Google Scholar] [CrossRef]
  51. El Khoury, R.; Nasrallah, N.; Atayah, O.F.; Dhiaf, M.M.; Frederico, G.F. The impact of green supply chain management practices on environmental performance during COVID-19 period: The case of discretionary companies in the G-20 countries. Benchmarking Int. J. 2023, 30, 2139–2165. [Google Scholar] [CrossRef]
  52. Kumar, V.; Verma, P.; Mittal, A.; Tuesta Panduro, J.A.; Singh, S.; Paliwal, M.; Sharma, N.K. Adoption of ICTs as an emergent business strategy during and following COVID-19 crisis: Evidence from Indian MSMEs. Benchmarking Int. J. 2023, 30, 1850–1883. [Google Scholar] [CrossRef]
  53. Min, H. Assessing the impact of a COVID-19 pandemic on supply chain transformation: An exploratory analysis. Benchmarking Int. J. 2023, 30, 1765–1781. [Google Scholar] [CrossRef]
Figure 1. Blockchain revolution.
Figure 1. Blockchain revolution.
Applsci 15 05602 g001
Figure 2. Ethereum architecture.
Figure 2. Ethereum architecture.
Applsci 15 05602 g002
Figure 3. Doctrina block indexing.
Figure 3. Doctrina block indexing.
Applsci 15 05602 g003
Figure 4. Block tail metadata.
Figure 4. Block tail metadata.
Applsci 15 05602 g004
Figure 5. Evaluation results.
Figure 5. Evaluation results.
Applsci 15 05602 g005
Disclaimer/Publisher’s Note: The statements, opinions and data contained in all publications are solely those of the individual author(s) and contributor(s) and not of MDPI and/or the editor(s). MDPI and/or the editor(s) disclaim responsibility for any injury to people or property resulting from any ideas, methods, instructions or products referred to in the content.

Share and Cite

MDPI and ACS Style

Tulkinbekov, K.; Kim, D.-H. Doctrina: Blockchain 5.0 for Artificial Intelligence. Appl. Sci. 2025, 15, 5602. https://doi.org/10.3390/app15105602

AMA Style

Tulkinbekov K, Kim D-H. Doctrina: Blockchain 5.0 for Artificial Intelligence. Applied Sciences. 2025; 15(10):5602. https://doi.org/10.3390/app15105602

Chicago/Turabian Style

Tulkinbekov, Khikmatullo, and Deok-Hwan Kim. 2025. "Doctrina: Blockchain 5.0 for Artificial Intelligence" Applied Sciences 15, no. 10: 5602. https://doi.org/10.3390/app15105602

APA Style

Tulkinbekov, K., & Kim, D.-H. (2025). Doctrina: Blockchain 5.0 for Artificial Intelligence. Applied Sciences, 15(10), 5602. https://doi.org/10.3390/app15105602

Note that from the first issue of 2016, this journal uses article numbers instead of page numbers. See further details here.

Article Metrics

Back to TopTop