Reliability of Critical Fitness Tests for Police Officers
Abstract
Featured Application
Abstract
1. Introduction
2. Materials and Methods
2.1. Research Design
2.2. Participants
2.3. Procedures and Instruments
2.4. Statistical Analysis
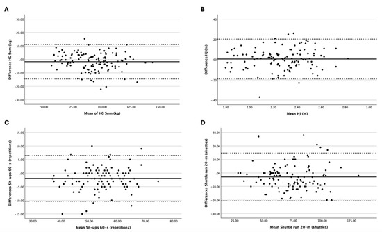
3. Results
4. Discussion
5. Conclusions
Author Contributions
Funding
Institutional Review Board Statement
Informed Consent Statement
Data Availability Statement
Acknowledgments
Conflicts of Interest
References
- Beck, A.Q.; Clasey, J.L.; Yates, J.W.; Koebke, N.C.; Palmer, T.G.; Abel, M.G. Relationship of Physical Fitness Measures vs. Occupational Physical Ability in Campus Law Enforcement Officers. J. Strength Cond. Res. 2015, 29, 2340–2350. [Google Scholar] [CrossRef]
- Adams, J.; Cheng, D.; Lee, J.; Shock, T.; Kennedy, K.; Pate, S. Use of the bootstrap method to develop a physical fitness test for public safety officers who serve as both police officers and firefighters. In Baylor University Medical Center Proceedings; Taylor & Francis: Abingdon, UK, 2014; Volume 27, pp. 199–202. [Google Scholar] [CrossRef]
- Massuça, L.M.; Santos, V.; Monteiro, L.F. Identifying the Physical Fitness and Health Evaluations for Police Officers: Brief Systematic Review with an Emphasis on the Portuguese Research. Biology 2022, 11, 1061. [Google Scholar] [CrossRef] [PubMed]
- Maupin, D.; Wills, T.; Orr, R.; Schram, B. Fitness Profiles in Elite Tactical Units: A Critical Review. Int. J. Exerc. Sci. 2018, 11, 1041–1062. [Google Scholar] [CrossRef] [PubMed] [PubMed Central]
- Marins, E.F.; David, G.B.; Del Vecchio, F.B. Characterization of the Physical Fitness of Police Officers: A Systematic Review. J. Strength Cond. Res. 2019, 33, 2860–2874. [Google Scholar] [CrossRef] [PubMed]
- Orr, R.M.; Lockie, R.; Milligan, G.; Lim, C.; Dawes, J. Use of Physical Fitness Assessments in Tactical Populations. Strength Cond. J. 2022, 44, 106–113. [Google Scholar] [CrossRef]
- Massuça, L.M.; Santos, V.; Monteiro, L.F. Establishing reference data for fitness assessment of law enforcement officers using a qualitative systematic review. Healthcare 2023, 11, 1253. [Google Scholar] [CrossRef] [PubMed]
- Ruiz, J.R.; Castro-Piñero, J.; España-Romero, V.; Artero, E.G.; Ortega, F.B.; Cuenca, M.M.; Jimenez-Pavón, D.; Chillón, P.; Girela-Rejón, M.J.; Mora, J.; et al. Field-based fitness assessment in young people: The ALPHA health-related fitness test battery for children and adolescents. Br. J. Sports Med. Publ. Online First 2011, 45, 518–524. [Google Scholar] [CrossRef] [PubMed]
- Ojeda, A.H.; Maliqueo, S.G.; Barahona-Fuentes, G. Validity and reliability of the muscular fitness test to evaluate body strength-resistance. Apunt. Sports Med. 2020, 55, 128–136. [Google Scholar] [CrossRef]
- Lubans, D.R.; Morgan, P.; Callister, R.; Plotnikoff, R.C.; Eather, N.; Riley, N.; Smith, C.J. Test-retest reliability of a battery of field-based health-related fitness measures for adolescents. J. Sports Sci. 2011, 29, 685–693. [Google Scholar] [CrossRef]
- Sawczuk, T.; Jones, B.; Scantlebury, S.; Weakley, J.; Read, D.; Costello, N.; Darrall-Jones, J.D.; Stokes, K.; Till, K. Between-Day Reliability and Usefulness of a Fitness Testing Battery in Youth Sport Athletes: Reference Data for Practitioners. Meas. Phys. Educ. Exerc. Sci. 2017, 22, 11–18. [Google Scholar] [CrossRef]
- Zaghlul, N.; Goh, S.L.; Razman, R.; Danaee, M.; Chan, C.K. Test-retest reliability of the single leg stance on a Lafayette stability platform. PLoS ONE 2023, 18, e0280361. [Google Scholar] [CrossRef]
- Massuça, L.M.; Rasteiro, A. Longitudinal changes in physical fitness attributes of male police officers during a 12-week physical training program. J. Sci. Sport Exerc. 2023. [CrossRef]
- Šimenko, J.; Škof, B.; Hadžić, V.; Milić, R.; Zorec, B.; Žvan, M.; Vodičar, J.; Čoh, M. General and specific physical abilities of the members of a special police unit. Phys. Educ. Sport 2016, 14, 83–98. [Google Scholar]
- Duarte, M.; Duarte, C. Validade do teste aeróbio de corrida de vai-e-vem de 20 metros. Rev. Bras. Ciência Mov. 2001, 9, 07–14. [Google Scholar]
- Koo, T.K.; Li, M.Y. A guideline of selecting and reporting intraclass correlation coefficients for reliability research. J. Chiropr. Med. 2016, 15, 155–163. [Google Scholar] [CrossRef] [PubMed]
- de Vet, H.C.; Terwee, C.B.; Knol, D.L.; Bouter, L.M. When to use agreement versus reliability measures. J. Clin. Epidemiol. 2006, 59, 1033–1039. [Google Scholar] [CrossRef] [PubMed]
- Bobos, P.; Nazari, G.; Lu, Z.; MacDermid, J.C. Measurement Properties of the Hand Grip Strength Assessment: A Systematic Review with Meta-analysis. Arch. Phys. Med. Rehabil. 2020, 101, 553–565. [Google Scholar] [CrossRef] [PubMed]
- Cormack, S.J.; Newton, R.U.; McGuigan, M.R.; Doyle, T.L. Reliability of measures obtained during single and repeated countermovement jumps. Int. J. Sports Physiol. Perform. 2008, 3, 131–144. [Google Scholar] [CrossRef]
- Barbado, D.; Gomez-Illan, R.; Moreno-Navarro, P.; Valero-Conesa, G.; Reina, R.; Vera-Garcia, F.J. Postural control quantification in minimally and moderately impaired persons with multiple sclerosis: The reliability of a posturographic test and its relationships with functional ability. J. Sport Health Sci. 2020, 9, 677–684. [Google Scholar] [CrossRef] [PubMed]
- Teyhen, D.S.; Shaffer, S.W.; Lorenson, C.L.; Halfpap, J.P.; Donofry, D.F.; Walker, M.J.; Dugan, J.L.; Childs, J.D. The Functional Movement Screen: A reliability study. J. Orthop. Sports Phys. Ther. 2012, 42, 530–540. [Google Scholar] [CrossRef] [PubMed]
- Kukić, F.; Lockie, R.G.; Vesković, A.; Petrović, N.; Subošić, D.; Spasić, D.; Paspalj, D.; Vulin, L.; Koropanovski, N. Perceived and Measured Physical Fitness of Police Students. Int. J. Environ. Res. Public Health 2020, 17, 7628. [Google Scholar] [CrossRef] [PubMed]
- Massuça, L.M.; Monteiro, L.; Coutinho, G.; Santos, V. Four-Year Training Course for Police Officers (CFOP) and Fitness Outcomes of Police Academy Cadets: A Cohort Study from 2004 to 2020. Healthcare 2023, 11, 2901. [Google Scholar] [CrossRef] [PubMed]
- Crawley, A.A.; Sherman, R.A.; Crawley, W.R.; Cosio-Lima, L.M. Physical Fitness of Police Academy Cadets: Baseline Characteristics and Changes During a 16-Week Academy. J. Strength Cond. Res. 2016, 30, 1416–1424. [Google Scholar] [CrossRef] [PubMed]
- Orr, R.M.; Dawes, J.J.; Pope, R.; Terry, J. Assessing Differences in Anthropometric and Fitness Characteristics Between Police Academy Cadets and Incumbent Officers. J. Strength Cond. Res. 2018, 32, 2632–2641. [Google Scholar] [CrossRef]
- Campbell, P.; Maupin, D.; Lockie, R.G.; Dawes, J.J.; Simas, V.; Canetti, E.; Schram, B.; Orr, R. Evaluating the Variability Between 20-m Multistage Fitness Test Estimating Equations in Law Enforcement Recruits. J. Strength Cond. Res. 2024, 38, 742–748. [Google Scholar] [CrossRef] [PubMed]
- Schram, B.; Kukić, F.; Janković, R.; Dimitrijević, R.; Žigić, G.; Orr, R.; Koropanovski, N. Effects of a single-day pre-academy physical test training session on physical fitness scores of police candidates. Work 2024, 77, 1369–1375. [Google Scholar] [CrossRef] [PubMed]



| All (n = 122) | Female (n = 30) | Male (n = 92) | |
|---|---|---|---|
| Age (years) | 24.91 ± 5.97 (18–38) | 26.20 ± 5.28 (18–37) | 24.49 ± 6.14 (18–38) |
| Height (m) | 1.74 ± 0.07 (1.55–192) | 1.66 ± 0.05 (1.55–1.77) | 1.77 ± 0.06 (1.64–1.92) |
| Body mass (kg) | 72.52 ± 9.44 (53.60–98.90) | 63.56 ± 6.40 (53.60–81.80) | 75.44 ± 8.38 (56.90–98.90) |
| Variables | Test (T1) | Retest (T2) | Diff. (T1 vs. T2) | ||
|---|---|---|---|---|---|
| Mean ± SD | Mean ± SD | Mean ± SD | ICC | SEM | |
| HG left (kg) | 44.94 ± 9.00 | 45.74 ± 9.60 | −0.80 ± 4.00 | 0.905 (0.865–0.933) | 0.36 |
| HG right (kg) | 46.76 ± 9.47 | 47.64 ± 9.68 | −0.88 ± 3.85 | 0.916 (0.880–0.941) | 0.35 |
| HG sum (kg) | 91.70 ± 18.04 | 93.38 ± 18.87 | −1.68 ± 6.54 | 0.934 (0.904–0.954) | 0.59 |
| HJ (m) | 2.27 ± 0.23 | 2.26 ± 0.22 | 0.01± 0.10 | 0.904 (0.865–0.932) | 0.01 |
| 60 s of sit-ups (repetitions) | 53.68 ± 8.04 | 55.61 ± 7.56 | −1.93 ± 4.31 | 0.824 (0.706–0.889) | 0.39 |
| 20 m shuttle run (shuttles) | 71.24 ± 20.08 | 74.16 ± 20.30 | −2.92 ± 9.01 | 0.892 (0.837–0.927) | 0.82 |
| VO2max (mL/kg/min) | 49.52 ± 5.95 | 50.48 ± 6.22 | −0.96 ± 2.81 | 0.883 (0.822–0.922) | 0.25 |
| Variables | Test (T1) | Retest (T2) | Diff. (T1 vs. T2) | ||
|---|---|---|---|---|---|
| Mean ± SD | Mean ± SD | Mean ± SD | ICC | SEM | |
| Female | |||||
| HG left (kg) | 34.25 ± 4.19 | 34.34 ± 4.77 | −0.09 ± 2.42 | 0.858 (0.723–0.930) | 0.44 |
| HG right (kg) | 35.92 ± 4.25 | 35.99 ± 5.27 | −0.07 ± 3.09 | 0.797 (0.615–0.898) | 0.56 |
| HG sum (kg) | 70.17 ± 8.06 | 70.34 ± 9.25 | −0.16 ± 4.52 | 0.868 (0.741–0.935) | 0.83 |
| HJ (m) | 1.97 ± 0.11 | 1.97 ± 0.12 | 0.00 ± 0.07 | 0.795 (0.613–0.897) | 0.01 |
| 60 s of sit-ups (repetitions) | 50.83 ± 8.12 | 52.73 ± 7.71 | −1.90 ± 3.18 | 0.896 (0.722–0.956) | 0.58 |
| 20 m shuttle run (shuttles) | 54.43 ± 14.95 | 57.07 ± 17.24 | −2.63 ± 8.43 | 0.856 (0.718–0.929) | 1.54 |
| VO2max (mL/kg/min) | 44.40 ± 4.92 | 45.10 ± 5.52 | −0.70 ± 2.81 | 0.852 (0.715–0.927) | 0.51 |
| Male | |||||
| HG left (kg) | 48.42 ± 7.22 | 49.46 ± 7.65 | −1.04 ± 4.38 | 0.820 (0.737–0.878) | 0.46 |
| HG right (kg) | 50.30 ± 7.89 | 51.44 ± 7.51 | −1.14 ± 4.05 | 0.854 (0.780–0.903) | 0.42 |
| HG sum (kg) | 98.72 ± 14.47 | 100.90 ± 14.62 | −2.18 ± 7.02 | 0.875 (0.807–0.918) | 0.73 |
| HJ (m) | 2.36 ± 0.17 | 2.36 ± 0.16 | 0.01 ± 0.11 | 0.789 (0.697–0.855) | 0.01 |
| 60 s of sit-ups (repetitions) | 54.61 ± 7.83 | 56.54 ± 7.31 | −1.93 ± 4.63 | 0.789 (0.658–0.867) | 0.48 |
| 20 m shuttle run (shuttles) | 76.72 ± 18.48 | 79.73 ± 18.05 | −3.01 ± 9.24 | 0.862 (0.786–0.910) | 0.96 |
| VO2max (mL/kg/min) | 51.19 ± 5.29 | 52.23 ± 5.40 | −1.04 ± 2.83 | 0.845 (0.753–0.901) | 0.29 |
| Female (n = 30) | Male (n = 92) | Mann–Whitney U Test | |||
|---|---|---|---|---|---|
| Mean Rank | Mean Rank | U | W | p-Value | |
| HG left (kg) | 18.67 | 75.47 | 2665.000 | 6943.000 | <0.001 |
| HG right (kg) | 18.90 | 75.39 | 2658.000 | 6936.000 | <0.001 |
| HG sum (kg) | 17.73 | 75.77 | 2693.000 | 6971.000 | <0.001 |
| HJ (m) | 17.60 | 75.82 | 2697.000 | 6975.000 | <0.001 |
| 60 s of sit-ups (repetitions) | 49.85 | 65.30 | 1729.500 | 6007.500 | 0.037 |
| 20 m shuttle run (shuttles) | 32.68 | 70.90 | 2244.500 | 6522.500 | <0.001 |
| VO2max (mL/kg/min) | 32.53 | 70.95 | 2249.000 | 6527.000 | <0.001 |
Disclaimer/Publisher’s Note: The statements, opinions and data contained in all publications are solely those of the individual author(s) and contributor(s) and not of MDPI and/or the editor(s). MDPI and/or the editor(s) disclaim responsibility for any injury to people or property resulting from any ideas, methods, instructions or products referred to in the content. |
© 2025 by the authors. Licensee MDPI, Basel, Switzerland. This article is an open access article distributed under the terms and conditions of the Creative Commons Attribution (CC BY) license (https://creativecommons.org/licenses/by/4.0/).
Share and Cite
Freitas, J.D.; Ramos, S.A.; Massuça, L.M. Reliability of Critical Fitness Tests for Police Officers. Appl. Sci. 2025, 15, 405. https://doi.org/10.3390/app15010405
Freitas JD, Ramos SA, Massuça LM. Reliability of Critical Fitness Tests for Police Officers. Applied Sciences. 2025; 15(1):405. https://doi.org/10.3390/app15010405
Chicago/Turabian StyleFreitas, João Daniel, Sérgio Antunes Ramos, and Luís Miguel Massuça. 2025. "Reliability of Critical Fitness Tests for Police Officers" Applied Sciences 15, no. 1: 405. https://doi.org/10.3390/app15010405
APA StyleFreitas, J. D., Ramos, S. A., & Massuça, L. M. (2025). Reliability of Critical Fitness Tests for Police Officers. Applied Sciences, 15(1), 405. https://doi.org/10.3390/app15010405

