Abstract
The positive effects of whole-body vibration exercise in rehabilitation, sport, fitness and preventive medicine have led to a proliferation of vibrating platforms. However, discrepancies have been claimed between the manufacturers’ vibration parameters and the vibration applied by the platforms. In addition, the dimensions, materials and motors used in their manufacture mean that each platform behaves differently. These factors can influence their transmission to the human body and, consequently, their effects. Thus, measured vibration parameters were recommended to report the vibration parameters as accurately as possible. Therefore, the present study aimed to determine the feasibility of a large vibration platform. Measurements of vibration parameters and their transmission were added. These parameters were measured using six accelerometers (platform, ankle, knee, hip, third lumbar vertebra, and head) throughout five postures (toe-standing, erect, high squat, deep squat, and lunge) and three vibration frequencies (20 Hz, 25 Hz, and 30 Hz). On the platform, peak accelerations of 1 ± 0.2 g, displacements of 1 ± 0.1 mm at 20 Hz and 25 Hz and 0.6 mm at 30 Hz, and a frequency from the setting of +0.5 Hz were obtained. In the human body, peak accelerations can exceed 2 g, and these transmissibility amplifications were found at the ankles and knees. However, at the hip, accelerations plummet and transmissibility attenuation occurs all the way to the head. The signal purity was highly satisfactory, although at the hip and third lumbar vertebra when adopting the toe-standing and lunge, some less satisfactory results were found—especially at 20 Hz and 30 Hz. Present data indicate that the long vibration platform can be used for exercise and health in a safe way, although its specific behaviours have to be taken into account in order to optimise its applicability.
1. Introduction
Musculoskeletal tissue reacts to force through the capacity of perceiving and converting mechanical stimuli into biochemical activity [1,2]. These physiological mechanisms allow bone and muscle cells to change their composition depending on the configuration of these forces in terms of direction, magnitude, frequency, and exposure [1,2]. Whole-body vibration exercise (WBVE) is used as non-pharmacological treatment and exercise modality to improve bone [3,4] and muscle [5,6] mass through the delivery of mechanical forces into the body structures. Although the configuration of the forces can be adjusted by the frequency and displacement settings of the platforms, the adopted posture has also been shown to be decisive in the forces that are ultimately transmitted to the human body [7]. The positive effects reported in rehabilitation, sport, fitness, and preventive medicine [7] have led to the development of different models of platforms and vibration devices [8,9]; however, research findings in the WBVE literature are inconsistent [10], and even harmful effects have been warned of [11]. As a result, the generation of consistent and comprehensive knowledge about WBVE safety and application becomes hindered. Furthermore, many of the WBVE research findings have not been replicated [12,13,14,15].
Resulting from methodological issues and inconsistencies reported in the literature, researchers have called for the accurate reporting of protocols and performance of specific vibration platform models [12,13,14,15]. For this, the provision of standardised vibration parameters of specific vibration platforms and protocols has been recommended [13,15]. The standard parameters utilised in WBVE prescription include frequency, displacement, and acceleration. Because of the variations that arise from different characteristics of both the platform (i.e., dimensions, motors, and materials) and of each performed trial—consisting of the setting (platform frequency and displacement), the participant (i.e., weight and balance), and the posture—the platform inputs [12,14,16,17,18,19] and the transmitted vibration forces at each body site [17,20,21,22,23] differ from the initial platform setting of frequency and displacement (. In addition, the transmission mechanism of the vibration stimulus across the human body is strongly non-linear [21,22,24,25]. As a consequence, the configuration of the forces (i.e., frequency and magnitude) delivered into the cells (i.e., bone and muscle) to change their composition is unknown. Thus, in order to generate consistent and comprehensive knowledge, the most accurate way to provide the parameters should be recorded on the platform and on the body simultaneously for each assessed trial [14,17]. On the one hand, although there are guidelines to report vibration platform parameters, these are not common practices [12,13,15]. Moreover, these recommendations are especially important when a new platform is introduced because its specific behaviour, due to its characteristics (i.e., dimensions, motors, materials) [12,13,14], has not been reported previously. On the other hand, regarding human body transmission, no standard guidelines have yet been reported.
Based on the available literature, due to the discrepancies between vibration platform settings and the vibration applied by the platform, to inform of the vibration platform feasibility, studies reported the vibration applied by the platform of frequency [26,27], signal purity [25], displacement [16,28], and/or acceleration [16,17,20,26]. Overall, and are better maintained than and . Regarding human body transmission, since cells will change their composition based on the configuration of the forces they detect in the human body, the vibration stimulus is measured in the legs [17,20,29], the hip and lower back [30], and the head [16,23,31] for muscle activation, bone remodelling, and safety aspects, respectively. Furthermore, as forces can change their configuration in their transmission to the human body, the transmission studies look for the feasibility of vibration stimulus (positive effects and safety application). However, for technical reasons, the vibration transmitted to the human body has to be recorded with different parameters. Thus, to report the vibration transmission, the investigations have added human body accelerations [17,32], the transmissibility [16,18,20,21,31], and the signal purity [22,24,25]. Overall, studies have reported and amplifications of the vibration stimulus at the ankle [17,20,21] and attenuations over the knee, especially with bent-knee postures [17,20,21,23] and as the frequencies increase [17,20,33]. Regarding , in general investigations this has shown good retention [22,24,25], however, depending on the posture adopted, caution should be exercised because in some joints it may not be satisfactory.
Therefore, determining the feasibility of the vibration platform inputs and their transmission outputs through consistent reporting parameters may help to improve issues of non-replicability and inconsistency of the current literature. This becomes especially relevant when a new platform design is introduced due to the described variability between commercial vibration platforms [27]. As such, this study aims to explore vibration transmission from a new large vibration platform (LVP) by examining its , , , and throughout the human body outputs of , , and in different postures.
2. Materials and Methods
2.1. LVP System Overview
The LVP (Vislide, Viequipment, Barcelona, Spain) is a novel vibration platform (Figure 1) (https://vi-equipment.com/vislide/). Unlike the majority of available commercial vibration platforms, the LVP dimensions are 2 m × 595 mm.
Figure 1.
The large vibration platform (LVP) used in the present study as usual WBV platform.
The LVP is equipped with one rotational motor (0.18 kW; 3000 rpm) attached under the LVP capable of generating harmonic vibrations of 20, 25, or 30 Hz. These frequencies can be pre-selected on the device. As the motor rotates on the x-axis, it generates harmonic vibrations in mainly the y- and z-axes [26] (Figure 2). Thus, the LVP is a synchronous vibration platform [7,13,15].
Figure 2.
Triaxial acceleration of the LVP for the x-axis (medio-lateral), the y-axis (antero-posterior), and the z-axis (vertical).
2.2. Participants
Twenty physically active volunteers from the National Institute of Physical Education of Catalonia participated in this study. The sample was composed of twenty men (mean ± SD: aged 22.3 ± 2.6 years, height 1.78 ± 0.05 m, weight 71.8 ± 7.0 kg, body mass index 22.6 ± 1.6 a.u.). Inclusion criteria specified healthy and physically active participants with experience in the postures used. Exclusion criteria comprised a history of head trauma, musculoskeletal disorders, cardiovascular diseases, or any condition that would prevent using WBVE [34]. Participants were instructed to refrain from engaging in any strenuous physical activity 24 h before the experiment. During the vibration exposure, they were asked to report immediately any discomfort or unusual symptoms, such as dizziness. If these occurred, then the experiment would be terminated. All participants gave written consent to participate. The procedures of this study complied with the Declaration of Helsinki (2013) and were approved by the local Ethics Committee “Comitè d’Ètica d’Investigacions Clíniques de l’Administració Esportiva de Catalunya” (06/2018/CEICGC).
2.3. Acceleration Device and Placements
To measure the LVP inputs and its transmission outputs, six wireless inertial measurement units (WIMU, Realtrack Systems, Almeria, Spain) with a 16 Hz processing capability were used. The WIMU consists of a triaxial accelerometer with a limit acceleration range of 100 g, a sensitivity of 0.000488 g, and an acquisition system recording at a sampling frequency of 1000 Hz. For LVP inputs, a WIMU was well-fixed to the centre of the surface by an adjustable fixing strap between the marks of the feet [35]. To calculate the human body outputs, a total of five WIMUs were attached to five body locations, the ankle (AN, medial malleolus), knee (KN, tibial tuberosity), hip (HI, great trochanter), lumbar (L3, third lumbar vertebra), and head (HE, forehead) using double-sided tape and elastic bands to minimise skin translation [21,22,24,25].
2.4. Experimental Setting and Testing Conditions
An experimental study with repeated cross-over design was adopted. Thus, both the LVP inputs and its transmission outputs to the human body were recorded simultaneously across fifteen trials generated by the combination of three (20, 25, and 30 Hz), and five static postures [25,36]. The postures were toe-standing (TS), with knees relaxed and heels raised; erect (ER), with knees relaxed; high squat (HS), with knee flexion at 30°; deep squat (DS), with knee flexion at 90°; and lunge (LU), one leg balanced with knee flexion at 30°. These postures were chosen because they are the most common in the literature [21,23,24,25,30]. All the postures were performed without holding help, however, as participants had experience with the postures used, they were able to adopt the postures safely. Nevertheless, the three researchers were careful in ensuring the safety and correct posture of the participants. As is customary in transmission studies, the participants were barefoot [16,17,20,21], and they were instructed to locate their feet on the platform marks separated by 28 cm [35] and to maintain an even distribution of plantar pressure [12,14]. The participants visited the laboratory on one occasion, and the experimental protocol began with 5 min of familiarisation with the vibration stimulus and postures (1 min × posture at 30 Hz), which served as a warm-up [7,13,14,20]. After the warm-up, 5 min of rest was used for the WIMUs’ attachment, which were well-fixed with elastic bands to the body sites. Then, fifteen experimental bouts were recorded and counterbalanced, which were organised in three sets of five bouts. Each bout of WBV exposure lasted 30 s (s) followed by 30 s of rest between bouts, and 3 min of rest between sets to avoid fatigue in the participants. To determine LVP feasibility, both its performance and its transmission were explored through assessed vibrations applied by the platform across three frequencies (20, 25, and 30 Hz) and five postures (TS, ER, HS, DS, and LU). On the one side, the performance of the LVP was characterised through its inputs of , , , and ; on the other side, the transmissions to the human body were characterised through the outputs of , , and at AN, KN, HI, L3, and HE.
2.5. Data Processing
Raw accelerometery data with removed gravitational forces were acquired from each WIMU and downloaded via SPRO software (Realtrack Systems, Almeria, Spain, https://www.hudl.com/en_gb/products/wimu). The high-frequency noise of the signals was removed using a 2nd-order low-pass Butterworth filter with a cut-off frequency of 120 Hz. Data from the first 10 s were dismissed for each 30 s trial to ensure a stationary vibration signal. A 5 s window of the signal from the 10 s mark was selected and processed to obtain the analysed parameters [16].
2.5.1. Frequency
Measurement of the associated with the vibration induced by the platforms is important for ensuring the feasibility of the vibration stimulus. As some effects are frequency-dependent [17,20,33], it is crucial to know at which frequency the participants were exposed. Otherwise, we cannot attribute a certain effect to a given frequency. Furthermore, as can be different to the associated [18,31], closed data between both are needed to ensure its feasibility. The frequency where the largest peak of the power spectral density (PSD) of the three components of occurs is assumed to be [37]. For the purpose of this investigation, an estimate of the PSD was obtained using Welch’s method implemented in MATLAB R2019a by the function pwelch [37]. A block size of 2000 samples with a 50% overlap and a Hamming window was considered.
2.5.2. Signal Purity
The signal purity ) assesses how much power of the spectral density of the measured signals is concentrated close to the . This is important to ensure that calculations are feasible. In particular, it is considered that the is the signal proportion of the PSD located between ±1 Hz of the excitation frequency [22]. Thus, (1) can be computed as follows:
where , , and are the power spectral densities of the three components of vibration of a triaxial accelerometer; is the index that moves along the frequency sampling; is the block size of 2000; and and are defined as and . Low values indicate large distortion due to non-linear effects, indicating an exposure at the output position mainly governed by an excitation frequency multiple of instead of itself . In this work, it is considered that values below 80% imply that the result at that accelerometer is discarded; satisfactory values were considered above 80% [22,24,25].
2.5.3. Displacement
The displacement (2) has been found to be an inconsistent parameter across settings [16,27,28,31] and it is the maximal distance from the lowest to highest point of the total vibration excursion [13]. It can be computed as outlined below:
where is the peak value of the and is accurately defined in the following section.
2.5.4. Acceleration
To quantify the acceleration input on the LVP, two indicators are used as follows: peak value and root mean square (RMS) value [13,15]. The was used for the statistical analysis of the LVP performance, whereas the was used for calculation. However, for the vibration acceleration outputs, , only the RMS value was used because the signals at body sites were not purely sinusoidal and the peak value of these waveforms could lead to inaccurate results (as shown, for example, in Figure 3). On the one hand, the peak value is calculated as the mean of the peak accelerations from the triaxial acceleration signal )/3. On the other hand, the RMS value (3) is calculated using the three components of the acceleration as follows [16,22,24,25]:
where is the index that moves along the sampling in time; and is the total amount of sampling values in the analysed signal. Both peak and RMS values are expressed in g, and they have been calculated using the WIMU raw data in the time domain.
Figure 3.
Example of vibration signal at the ankle (blue line) and its corresponding RMS value (orange line).
2.5.5. Transmissibility
The T (4) is a ratio between the input and output vibration signals and is used to investigate the vibration amplification (T > 1) or attenuation (T < 1) as the signals are transmitted through the human body [16,22,24,25].
T values indicate the amplification or attenuation of the vibration stimulus at certain body sites with respect to the platform input. Amplification indicates the proximity of a resonance to the body structure. Conversely, attenuations imply that the body structure is absorbing the vibration energy induced by the platform.
2.6. Statistical Analyses
Statistical analyses were conducted using PASW Statistics 19 (SPSS, Inc., Chicago, IL, USA). Data are presented as means and standard deviations, and the significance level was set at p ≤ 0.05. Shapiro–Wilk tests were used to assess the normality of the data. In order to investigate the effect of and postures on LVP performance and its transmission through the human body, four separate two-way (within-subjects factors: three frequencies and five postures) repeated-measures ANOVAs were performed to evaluate LVP performance (, , , ). Likewise, three separate three-way (within-subject factors: five body sites, three frequencies, and five postures) repeated-measures ANOVAs were performed to evaluate LVP transmission (, , and ). The Greenhouse–Geisser epsilon adjustment was used when the assumption of sphericity was violated. Post hoc analysis using the Bonferroni paired t-test was performed for any overall significant results. Effect sizes are expressed as partial eta squared () for the ANOVA analysis.
3. Results
The LVP performance through , , , and are reported (Table 1). Regarding the LVP transmission, data are provided through and (Figure 4), and (Table 2).
Table 1.
LVP performance metrics across different frequency settings and body positions. Data are presented as mean (SD).
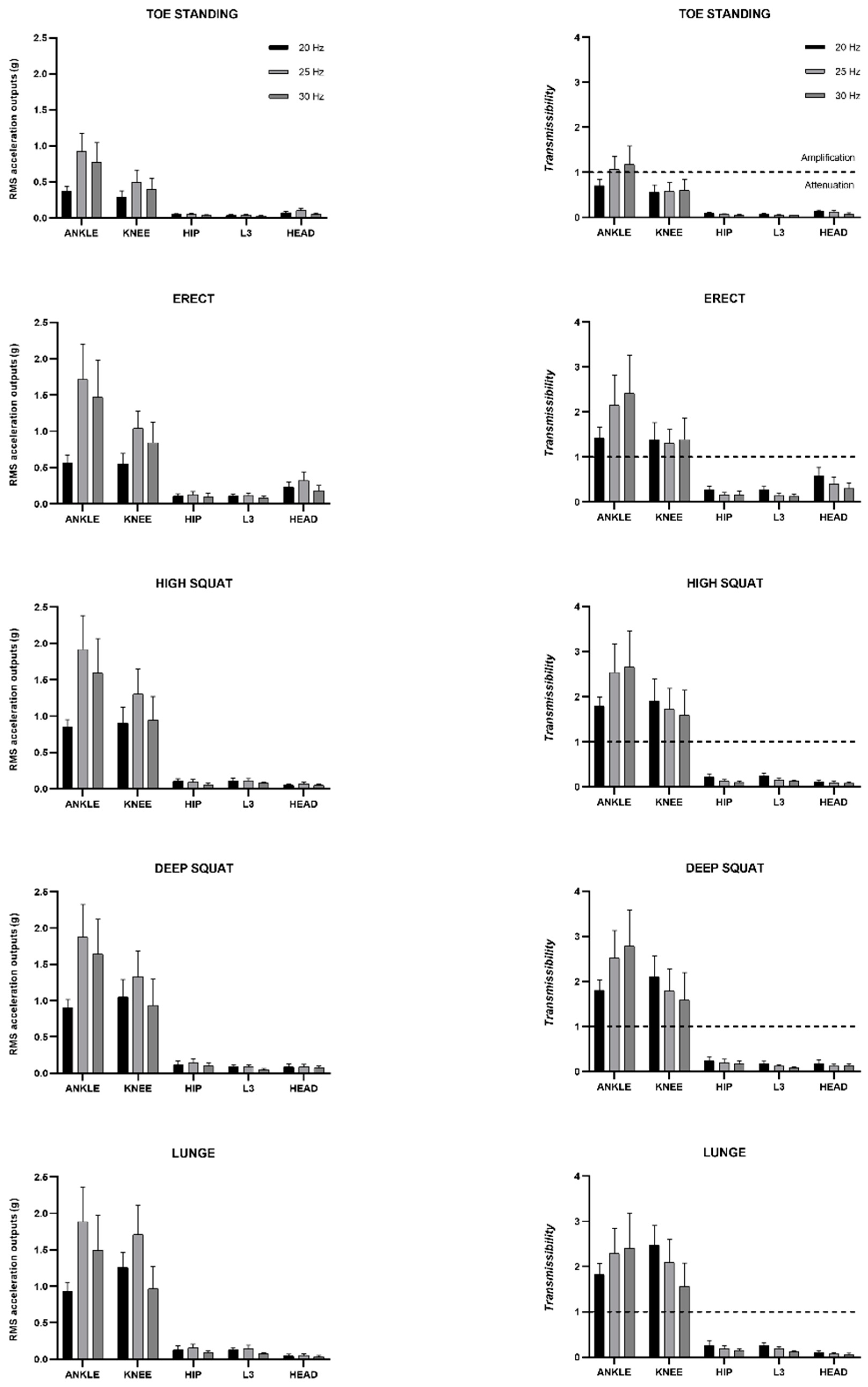
Figure 4.
Root mean squared (RMS) acceleration outputs and their transmissibility at different frequencies and across different body positions. Data are presented as mean (SD).
Table 2.
Signal purity outputs at different body sites, frequencies, and across body positions. Data are provided in percentage (%) as mean (SD).
3.1. LVP Performance
3.1.1. Frequency and Signal Purity Inputs
3.1.2. Displacement Inputs
The showed differences between (F = 713.88, p < 0.001, = 0.974), postures (F = 113.27, p < 0.001, = 0.856), and its interactions × postures (F = 69.53, p < 0.001, = 0.785). The main effect was a significant reduction in (p < 0.001) at 30 Hz (0.59 ± 0.00, 95% CI: 0.583–0.601) versus 20 Hz (1.00 ± 0.01, 95% CI: 0.978–1.013) and 25 Hz (0.96 ± 0.01, 95% CI: 0.941–0.978). Overall, significant differences were found among postures (p ≤ 0.006), except between TS-LU (p = 1). The LVP showed higher in TS (0.90 ± 0.00, 95% CI: 0.891–0.908) and LU (0.89 ± 0.01 95% CI: 0.880–0.908), followed by DS (0.84 ± 0.00, 95% CI: 0.833–0.849), HS (0.82 ± 0.00, 95% CI: 0.813–0.829), and ER (0.78 ± 0.01, 95% CI: 0.777–0.802).
3.1.3. Acceleration Inputs
The (Table 1), showed differences between (F = 558.40, p < 0.001, = 0.967), postures (F = 115.40, p < 0.001, = 0.859), and its interactions × postures (F = 50.09, p < 0.001, = 0.725). The higher were detected at 25 Hz (1.24 ± 0.01, 95% CI: 1.219–1.259), followed by 30 Hz (1.11 ± 0.01, 95% CI: 1.094–1.127), and 20 Hz (0.85 ± 0.01, 95% CI: 0.831–0.859). Although the posture comparisons showed significant effects, no effect was found among TS-LU (p = 0.121), ER-HS (p = 0.271), and HS-DS (p = 0.089). The highest was detected at TS (1.14 ± 0.01, 95% CI: 1.131–1.152) and LU (1.11 ± 0.01, 95% CI: 1.092–1.131), followed by DS (1.04 ± 0.00, 95% CI: 1.027–1.045), HS (1.02 ± 0.01, 95% CI: 1.012–1.034), and ER (1.01 ± 0.01, 95% CI: 0.996–1.026).
3.2. LVP Transmission
Acceleration Outputs
The showed differences between body sites (F = 297.56, p < 0.001, = 0.940), (F = 110.25, p < 0.001, = 0.853), postures (F = 218.79, p < 0.001, = 0.920), and its interactions body sites × (F = 82.11, p < 0.001, = 0.812), body sites × postures (F = 109.18, p < 0.001, = 0.852), × postures (F = 29.75, p < 0.001, = 0.610), and body sites × × postures (F = 21.16, p < 0.001, = 0.527). A decreased was identified as the forces were transmitted from the AN upward (Figure 4), especially from the HI to the HE (HI-L3, p = 0.014; HI-HE, p = 1; L3-HE, p = 0.120). It should be noted a strong decrease between KN and HI (AN, 1.26 ± 0.07, 95% CI: 1.12–1.40; KN, 0.94 ± 0.04, 95% CI: 0.85–1.03; HI, 0.10 ± 0.01, 95% CI: 0.09–0.11; L3, 0.09 ± 0.01, 95% CI: 0.08–0.09; HE, 0.10 ± 0.01, 95% CI: 0.09–0.11). Between , the highest were detected at 25 Hz (0.64 ± 0.03, 95% CI: 0.583–0.690) followed by 30 Hz (0.49 ± 0.03, 95% CI: 0.427–0.544) and 20 Hz (0.37 ± 0.01, 95% CI: 0.346–0.384). Among postures, higher were found the more crouched the posture was, especially when comparing TS versus ER, HS, DS, and LU (TS, 0.25 ± 0.01, 95% CI: 0.219–0.273; ER, 0.50 ± 0.02, 95% CI: 0.458–0.550; HS, 0.55 ± 0.02, 95% CI: 0.503–0.595; DS, 0.57 ± 0.02, 95% CI: 0.522–0.622; LU, 0.61 ± 0.03, 95% CI: 0.555–0.661).
3.3. Transmissibility
Differences between body sites (F = 311.13, p < 0.001, = 0.942) and postures (F = 205.20, p < 0.001, = 0.915) but not between (F = 1.55, p = 0.23, = 0.075) were identified. When it comes to interactions, differences in body sites × (F = 39.65, p < 0.001, = 0.676), body sites × postures (F = 115.60, p < 0.001, = 0.859), × postures (F = 9.33, p < 0.001, = 0.329), and body sites × × postures (F = 16.12, p < 0.001, = 0.459) were identified. Overall, the detected amplifications at AN and KN and attenuations from the HI to HE, although from the AN upward shows a decrement (Figure 4). In addition, it should be noted that a strong decrease occurred at HI (AN, 1.97 ± 0.10, 95% CI: 1.762–2.180; KN, 1.37 ± 0.07, 95% CI: 1.365–1.653; HI, 0.16 ± 0.01, 95% CI: 0.149–0.174; L3, 0.142 ± 0.01, 95% CI: 0.130–0.153; HE, 0.17 ± 0.01, 95% CI: 0.151–0.188) and a minor effect of occurred as it moved up from the HI to the HE (HI-L3, p = 0.017; L3-HE, p = 0.109; HI-HE, p = 1). Posture comparisons showed an increase in at ER, HS, DS, and LU (TS, 0.36 ± 0.02, 95% CI: 0.320–0.397; ER, 0.83 ± 0.04, 95% CI: 0.753–0.909; HS, 0.90 ± 0.04, 95% CI: 0.822–0.971; DS, 0.93 ± 0.04, 95% CI: 0.851–1.012; LU, 0.94 ± 0.04, 95% CI: 0.853-1.016). Conversely, non-significant effects were found between ER-HS (p = 0.098) and DS-LU (p = 1).
Signal Purity Outputs
Data revealed statistically significant effects between body sites (F = 73.71, p < 0.001, = 0.795), (F = 46.42, p < 0.001, = 0.710), postures (F = 89.15, p < 0.001, = 0.824), and its interactions body sites × (F = 15.54, p < 0.001, = 0.450), body sites × postures (F = 75.41, p < 0.001, = 0.799), × postures (F = 7.00, p < 0.001, = 0.269), and body sites × × postures (F = 3.40, p = 0.002, = 0.151).
Overall, was well-retained (Table 2), especially AN and KN that were over 96%. Although the displayed a worse retention from the HI to the HE, this was over 80%, despite a few exceptions in TS and LU (AN, 98.4 ± 0.14, 95% CI: 98.13–98.72; KN, 98.0 ± 0.21, 95% CI: 97.52–98.41; HI, 86.9 ± 1.09, 95% CI: 84.64–89.19; L3, 86.0 ± 1.51, 95% CI: 82.83–89.6; HE, 78.17 ± 1.80, 95% CI: 74.39–81.92). Between , the at 25 Hz (91.9 ± 0.54, 95% CI: 90.77–93.03) was better retained, followed by 20 Hz (89.9 ± 0.83, 95% CI: 88.15–91.60) and 30 Hz (86.7 ± 0.98, 95% CI: 84.66–88.75). In posture comparisons, better retention is observed at ER (98.3 ± 0.12, 95% CI: 98.04–98.54), HS (93.5 ± 0.72, 95% CI: 91.94–94.95), and DS (92.5 ± 0.92, 95% CI: 90.60–94.43), and slightly less retention at TS (83.8 ± 1.44, 95% CI: 80.81–86.83) and LU (79.4 ± 1.34, 95% CI: 76.48–82.30).
4. Discussion
The aim of this study was to explore vibration transmission through the human body in different postures on an LVP to determine its feasibility. The main difference in the LVP compared with other commercial platforms is its larger dimensions, which can potentially influence the platform’s performance [12,14]. From the best knowledge of the authors, this is the first study to investigate a comprehensive and consistent set of inputs (, , , , and ) delivered by an LVP and its corresponding outputs in the human body (, , and ). Furthermore, this was assessed in different static postures, which allowed for rigorous characterisation of the feasibility of the vibration device.
4.1. Frequency and Signal Purity Inputs
Similar to some of the findings of this study (Table 1), several studies have reported well-retained [12,27] and [25]. When comparing with , Pel et al. (2009) [26] found slight differences between 0 and +1 Hz. Similarly, Alizadeh-Meghrazi et al. (2014) [27] analysed several commercial platforms and showed very good agreement between and its corresponding . In line with those studies, the LVP has been found to be slightly higher than (+0.5 Hz) and consistent across postures (Table 1). Controversially, two studies describe differences between +3 Hz [31] and up to −13 Hz [18]. However, the has been shown as a stable parameter from its [12,14]. Regarding (Table 2), which is considered satisfactory above 80% [22,24,25], the results for the LVP on this investigation showed purity values consistently over 99%. Similarly, Lam et al. (2018) [25] reported over 93% across and postures. Thus, the LVP and were well-maintained from its among trials and does not seem to be affected by the large dimensions of the LVP.
4.2. Displacement Inputs
In line with previous investigations [16,19,28,31], LVP can vary between and postures up to 0.4 mm and 0.3 mm, respectively (Table 1). Despite the relevance this may have because affect directly the resultant acceleration [13], studies usually reported averaged data [21,23,25,26,29,32]. For this reason, it has not been possible to compare obtained in different postures in this investigation with previous studies. However, when the values of are provided for each and posture, the approximate value of can be calculated. As the increase from 20 Hz, the LVP showed well-maintained at 25 Hz (−0.05 mm) and reductions up to 0.4 mm at 30 Hz (Table 1). Overall, the studies measured similar behaviour showing progressive and sometimes non-proportional reductions as the increase [16,27,28]—in which it is possible to determine the corresponding [18,20,21,25,26]. Distinctively, in two studies, the trend was reversed [29,31]. In the literature, as the increases, there are large reductions up to 0.9 mm [20,27] and 0.5 mm [21,29], analysing gaps of 10 Hz and 5 Hz of , respectively. However, these non-proportional behaviours appear at different settings, and are more likely to appear at high and [21,27,29]. Regarding postures, the LVP showed differences up to +0.3 mm adopting TS and LU compared with ER (Table 1), as was advised previously [14]. However, only one study provided the data across different postures, which reported similar differences (0.4 mm) [19]. Otherwise, in this study, the opposite behaviour from standing (ER) to crouched postures was reported (1.5 mm, 1.2 mm, 1.2 mm, and 1.1 mm at 180°, 165°, 150° and 135° of knee flexion) differing from the LVP (Table 1). The LVP was shown as a variable and specific parameter among × postures. These specific responses can be due to the specific characteristics of the LVP (i.e., materials, dimensions, and motors) in conjunction with body-weight distribution [12,14]. These different reactions between trials suggest that the vibrating device and the human body work together. Therefore, the present results support the claims of these authors, who call for an analysis of the transmission of each of the vibration devices [12,13,14,15].
4.3. Acceleration Inputs
Overall, the resultant measured on the LVP (0.8–1.2 g) are lower than previous research (≈1.1–5.5 g) [16,20,21,22,23,25,26,29]. Previous studies have shown that 30 Hz and low (≈0.2–0.3) are enough to significantly increase bone mass density in long exposures [1,3,4] (long exposures: 8 months and 1 year). However, no significant effects were found in a short period of time (8 weeks) when applying intensities around 1–1.5 g of [28]. Regarding muscle activity, the resulting of between ≈0.5 and 1 g reported positive effects [5,6,20,21,38]. However, whereas differences were found when the vibration stimulus were applied [5,6,38], the increase in the did not result in a clear increase in muscle activation [5,6,20,21,38]. In terms of safety, an exposure below 1 g has been suggested by various investigations [11,22,30,39]. Considering application and safety studies, platform inputs between 0.5 and ≈1 g of can be considered to have a good dose-response effectiveness whilst ensuring safety aspects in exercise protocols. As usual [16,20,21,28], the LVP increase in from 20 Hz to 25 Hz have shown a large increase (+30%) in the , otherwise, similar outcomes were found at 30 Hz (Table 1). Conversely, previously investigated platforms can induce higher as the increase [16,20,21,28]. Between postures, the findings of this study showed differences on the LVP up to 0.2 g, whereas a previous study reported changes up to 0.4 g [19]. Overall, postures differences on LVP seems not to be a remarkable effect, taking in account the previous data reported by Pang et al. (2013) [28] and Liao et al. (2016) [5] who did not reported additional effects on bone turnover and muscle activity when applying +0.5 g of . Given the stability among , as can be expected, between the and postures, the follows the dynamics as explained above. These data support the feasibility of the vibration stimulus of the LVP in terms of
4.4. Acceleration Outputs
Across body sites, can change by far from the initial [21,22,24,25,30]. Thus, measuring of the human body has been suggested as a more accurate procedure that leads to a better understanding of the vibration effects on the human body [17] and avoids inconsistencies [12,13,15]. At the AN, was up to 1.9 g on the LVP, which is lower than what other studies have reported ≈4 g [17,21,25]. However, at KN, the was similar between the LVP and these studies (≈1.5 g), or even lower (≈1 g) [26]. Increased muscle activation was seen under leg exposure at these intensities (1–2 g of ) [17,21] In addition, at HI and L3, the LVP ranged between ≈0.1 and 0.3 g versus ≈0.1 and 0.9 g as seen in previous studies [16,21,23,25,26]. Regarding bone turnover at these body sites, studies showed ≈80% [30] of ≈0.2–0.3 g reached the HI and L3, showing a good dose-response [1,3]. These intensities correspond to ≈0.14–0.21 g of , similar to the LVP (Table 2). The HE on the LVP can reached 0.3 g, whereas in other studies, this was between 0.6 and >1 g [16,21,23,25]. However, by adopting HS, DS, or LU, the HE can be reduced <0.1 g on the LVP, whereas in other studies, this was <0.5 g [16,21,23]. Regarding safety aspects, there are no detailed guidelines for HE accelerations in WBVE. Notwithstanding, by adopting a posture, users can benefit from the potential safe use of vibration [34]. Between and postures, changes in were reduced as the vibrations were transmitted upward (Table 2). Overall, large changes in were found at AN and KN (>1 g), whereas at HI, L3 and HE were reduced (<0.1 g), although in the HE adopting ER can be reduced nearly 50% (0.14 g) at 30 Hz and up to 0.05 g adopting LU. Similar outputs were reported previously between [17,21,25,26] and postures [24,25]. In addition, although changes were usually higher than the LVP, studies reported lower KN (0.1–0.5 g) than the LVP between the . Overall, the highest LVP occurred at 25 Hz adopting LU and the lowest at TS at 30 Hz (Table 2). Otherwise, previous studies found the highest as the increases [17,21]. Although the LVP was lower than other platforms, present results suggest that the LVP is enough to induce changes in the body structures. Furthermore, from a point of view, practitioners should pay more attention to leg acceleration when they prepare the exercises for each training session because the changes between trials (frequencies × postures) displayed higher outcomes.
4.5. Transmissibility
Overall, the findings of this study suggest that decreases as the vibration stimulus is transmitted from AN to HE; however, showed amplification values (>2) at AN and KN in most of the frequencies and postures. The main effect on LVP was a strong decrease in the at HI (<0.5) that was maintained to the HE. However, previous studies showed amplifications at AN and the attenuation turning point at KN [21,22,24,25,31]. In line with previous investigations [17,20,21], on the LVP increased clearly at AN along with increases in the , however, this effect was reversed at KN, especially at HS, DS, and LU, where decreased as the increased. This behaviour could be attributed to an increased muscle activation as the lower-leg muscles above the AN react to the vibration stimulus [17,20,21,33]. Regarding posture comparisons, by adopting TS the drops on the LVP across the human body, as previous studies have shown [24,25]. This effect might be relate to the dampening capability of the foot arch [40]. Other postures showed higher values, especially at AN and KN when HS, DS, and LU were adopted. However, these postures showed a large attenuation from HI to HE. In the HE, the ER showed the highest (0.6) versus other postures (<0.2). Thus, although the vibration is largely attenuated from AN to HE, it is recommended to avoid the ER posture because the trunk and head are less tolerant to the vibration stimulus than the legs [7]. All these values support the feasibility of the LVP transmission to the human body.
4.6. Signal Purity Outputs
Overall, on the LVP (Table 2) was satisfactory (>80%), especially at 25 Hz. At AN and KN, almost perfect sinusoidal waveforms were maintained (>96%), as reported previously [24,25]. Similar outcomes have been reported that showed few minimum violations below 80% at HI, L3, and HE, especially when TS and DS postures are adopted. In the present study, was also satisfactory at HI and L3 with few minimum violations at TS, DS, and LU. Thus, at the HI, the LVP showed less (<80%) when adopting TS and LU at 20 and 30 Hz, whereas ER, HS, and DS were satisfactory for all the . Overall, at L3, the was satisfactory at ER, HS, DS, and LU for all the , whereas it was not satisfactory at TS. Overall, these results showed a good feasibility of the vibration stimulus; however, practitioners should take into account the specific values in order to obtain the desired changes in the body structures.
5. Conclusions
The performance of the localised vibration platform (LVP) and its transmission demonstrated good feasibility. However, the specific behaviour of the LVP across different frequencies and postures suggests that the vibration platform and the human body work as a coupled system, emphasizing the importance of properly characterising each vibration platform in whole-body vibration exposure studies. In this context, the current data provide a significant contribution to the field as they offer a more detailed approach to how vibration is transmitted through the body under various conditions. Moreover, the addition of the measure to the transmission reports serves as an additional tool to quantify the magnitude of exposure in the human body, which facilitates understanding the dose–response relationship in whole-body vibration exposure (WBVE) studies. This improved accuracy in characterising vibration transmission not only enhances the safety and applicability of vibration platforms but also increases the replicability of studies, offering a more consistent and reliable framework for future research. Therefore, this study contributes to the field by providing more comprehensive and reliable methodologies to evaluate and apply vibrations in health and performance contexts.
Author Contributions
Conceptualization, J.F.G.-O. and G.M.F.; methodology, J.F.G.-O., G.M.F. and R.A.V.; formal analysis, J.F.G.-O., J.G.-O. and R.A.V.; investigation, J.F.G.-O., J.G.-O., G.M.F. and B.F.-V.; data curation, C.R.-L. and R.A.V.; writing—original draft preparation, J.F.G.-O. and G.M.F.; writing—review and editing, J.F.G.-O., G.M.F., B.F-V. and C.R.-L.; visualization, G.M.F.; supervision, G.M.F. and B.F.-V. All authors have read and agreed to the published version of the manuscript.
Funding
This research received no external funding.
Institutional Review Board Statement
This study was conducted in accordance with the Declaration of Helsinki and approved by the Ethics Committee for Clinical Sport Research of Catalonia (Study Number: 06/2018/CEICGC, 3 May 2018).
Informed Consent Statement
Informed consent was obtained from all subjects involved in this study.
Data Availability Statement
The original contributions presented in this study are included in the article, and further inquiries can be directed to the corresponding author.
Conflicts of Interest
Gerard Moras is cofounder of Viequipment and inventor of the Vislide platform. The rest of the authors declare no conflicts of interest.
References
- Thompson, W.R.; Rubin, C.T.; Rubin, J. Mechanical regulation of signaling pathways in bone. Gene 2012, 503, 179–193. [Google Scholar] [CrossRef] [PubMed]
- Kiseleva, I.; Kamkin, A. Mechanosensitivity and Mechanotransduction; Springer Science & Business Media: Berlin/Heidelberg, Germany, 2010. [Google Scholar]
- Gilsanz, V.; Wren, T.A.L.; Sanchez, M.; Dorey, F.; Judex, S.; Rubin, C. Low-level, high-frequency mechanical signals enhance musculoskeletal development of young women with low BMD. J. Bone Miner. Res. 2006, 21, 1464–1474. [Google Scholar] [CrossRef]
- Rubin, C.; Recker, R.; Cullen, D.; Ryaby, J.; McCabe, J.; McLeod, K. Prevention of Postmenopausal Bone Loss by a Low-Magnitude, High- Frequency Mechanical Stimuli: A Clinical Trial Assessing Compliance, Efficacy, and Safety. J. Bone Miner. Res. 2004, 19, 343–351. [Google Scholar] [CrossRef] [PubMed]
- Liao, L.-R.; Ng, G.Y.F.; Jones, A.Y.M.; Huang, M.-Z.; Pang, M.Y.C. Whole-Body Vibration Intensities in Chronic Stroke: A Randomized Controlled Trial. Med. Sci. Sports Exerc. 2016, 48, 1227–1238. [Google Scholar] [CrossRef]
- Liao, L.-R.; Ng, G.Y.F.; Jones, A.Y.M.; Chung, R.C.K.; Pang, M.Y. Effects of Vibration Intensity, Exercise, and Motor Impairment on Leg Muscle Activity Induced by Whole-body Vibration in People with Stroke. Phys. Ther. 2015, 95, 1617–1627. [Google Scholar] [CrossRef]
- Rittweger, J. Vibration as an exercise modality: How it may work, and what its potential might be. Eur. J. Appl. Physiol. 2010, 108, 877–904. [Google Scholar] [CrossRef] [PubMed]
- Pujari, A.N.; Neilson, R.D.; Cardinale, M. Effects of different vibration frequencies, amplitudes and contraction levels on lower limb muscles during graded isometric contractions superimposed on whole body vibration stimulation. J. Rehabil. Assist. Technol. Eng. 2019, 6, 1–23. [Google Scholar] [CrossRef]
- Moras, G.; Rodríguez-Jiménez, S.; Tous-Fajardo, J.; Ranz, D.; Mujika, I. A vibratory bar for upper body: Feasibility and acute effects on EMGrms activity. J. Strength Cond. Res. 2010, 24, 2132–2142. [Google Scholar] [CrossRef]
- Hortobágyi, T.; Lesinski, M.; Fernandez-del-Olmo, M.; Granacher, U. Small and inconsistent effects of whole body vibration on athletic performance: A systematic review and meta-analysis. Eur. J. Appl. Physiol. 2015, 115, 1605–1625. [Google Scholar] [CrossRef]
- Muir, J.; Kiel, D.P.; Rubin, C.T. Safety and severity of accelerations delivered from whole body vibration exercise devices to standing adults. J. Sci. Med. Sport 2013, 16, 526–531. [Google Scholar] [CrossRef]
- Lorenzen, C.; Maschette, W.; Koh, M.; Wilson, C. Inconsistent use of terminology in whole body vibration exercise research. J. Sci. Med. Sport 2009, 12, 676–678. [Google Scholar] [CrossRef] [PubMed]
- Rauch, F.; Sievanen, H.; Boonen, S.; Cardinale, M.; Degens, H.; Felsenberg, D.; Roth, J.; Schoenau, E.; Verschueren, S.; Rittweger, J. Reporting whole-body vibration intervention studies: Recommendations of the International Society of Musculoskeletal and Neuronal Interactions. J. Musculoskelet. Neuronal Interact. 2010, 10, 193–198. [Google Scholar] [PubMed]
- Orsini, F.; Rossi, A.; Botta, F.; Scorza, A.; Sciuto, S.A.; Marzaroli, P.; Chadefaux, D.; Tarabini, M.; Scalise, L. A case study on the characterization of Whole Body Vibration platforms for medical applications. In Proceedings of the 2018 IEEE International Symposium on Medical Measurements and Applications (MeMeA), Rome, Italy, 11–13 June 2018; pp. 1–6. [Google Scholar] [CrossRef]
- van Heuvelen, M.J.G.; Rittweger, J.; Judex, S.; Sañudo, B.; Seixas, A.; Fuermaier, A.B.M.; Tucha, O.; Nyakas, C.; Marín, P.J.; Taiar, R.; et al. Reporting Guidelines for Whole-Body Vibration Studies in Humans, Animals and Cell Cultures: A Consensus Statement from an International Group of Experts. Biology 2021, 10, 965. [Google Scholar] [CrossRef]
- Caryn, R.C.; Hazell, T.J.; Dickey, J.P. Transmission of acceleration from a synchronous vibration exercise platform to the head. Int. J. Sports Med. 2014, 35, 330–338. [Google Scholar] [CrossRef][Green Version]
- Zaidell, L.N.; Pollock, R.D.; James, D.C.; Bowtell, J.L.; Newham, D.J.; Sumners, D.P.; Mileva, K.N. Lower Body Acceleration and Muscular Responses to Rotational and Vertical Whole-Body Vibration at Different Frequencies and Amplitudes. Dose-Response 2019, 17, 1–10. [Google Scholar] [CrossRef]
- Nawayseh, N. Transmission of vibration from a vibrating plate to the head of standing people. Sport Biomech. 2018, 3141, 1–19. [Google Scholar] [CrossRef] [PubMed]
- Nawayseh, N.; Hamdan, S. Apparent mass of the standing human body when using a whole-body vibration training machine: Effect of knee angle and input frequency. J. Biomech. 2018, 82, 291–298. [Google Scholar] [CrossRef]
- Huang, M.; Pang, M.Y.C. Muscle activity and vibration transmissibility during whole-body vibration in chronic stroke. Scand. J. Med. Sci. Sport 2019, 29, 816–825. [Google Scholar] [CrossRef] [PubMed]
- Tankisheva, E.; Jonkers, I.; Boonen, S.; Delecluse, C.; van Lenthe, G.H.; Druyts, H.L.; Spaepen, P.; Verschueren, S.M. Transmission of whole-body vibration and its effect on muscle activation. J. Strength Cond. Res. 2013, 27, 2533–2541. [Google Scholar] [CrossRef]
- Kiiski, J.; Heinonen, A.; Järvinen, T.L.; Kannus, P.; Sievänen, H. Transmission of vertical whole body vibration to the human body. J. Bone Miner. Res. 2008, 23, 1318–1325. [Google Scholar] [CrossRef]
- Abercromby, A.; Amonette, W.E.; Layne, C.S.; McFarlin, B.K.; Hinman, M.R.; Paloski, W.H. Vibration exposure and biodynamic responses during whole-body vibration training. Med. Sci. Sports Exerc. 2007, 39, 1794–1800. [Google Scholar] [CrossRef] [PubMed]
- Huang, M.; Tang, C.; Pang, M.Y.C. Use of whole body vibration in individuals with chronic stroke: Transmissibility and signal purity. J. Biomech. 2018, 73, 80–91. [Google Scholar] [CrossRef] [PubMed]
- Lam, F.M.H.; Tang, C.Y.; Kwok, T.C.Y.; Pang, M.Y.C. Transmissibility and waveform purity of whole-body vibrations in older adults. Clin. Biomech. 2018, 51, 82–90. [Google Scholar] [CrossRef] [PubMed]
- Pel, J.J.; Bagheri, J.; Van Dam, L.M.; Van Den Berg-Emons, H.J.; Horemans, H.L.; Stam, H.J.; Van der Steen, J. Platform accelerations of three different whole-body vibration devices and the transmission of vertical vibrations to the lower limbs. Med. Eng. Phys. 2009, 31, 937–944. [Google Scholar] [CrossRef]
- Alizadeh-Meghrazi, M.; Zariffa, J.; Masani, K.; Popovic, M.R.; Craven, B.C. Variability of vibrations produced by commercial wholebody vibration platforms. J. Rehabil. Med. 2014, 46, 937–940. [Google Scholar] [CrossRef][Green Version]
- Pang, M.Y.C.; Lau, R.W.K.; Yip, S.P. The effects of whole-body vibration therapy on bone turnover, muscle strength, motor function, and spasticity in chronic stroke: A randomized controlled trial. Int. J. Ther. Rehabil. 2013, 49, 439–450. [Google Scholar] [CrossRef]
- Cook, D.P.; Mileva, K.N.; James, D.C.; Zaidell, L.N.; Goss, V.G.; Bowtell, J.L. Triaxial modulation of the acceleration induced in the lower extremity during whole-body vibration training: A pilot study. J. Strength Cond. Res. 2011, 25, 298–308. [Google Scholar] [CrossRef]
- Rubin, C.; Pope, M.; Fritton, J.C.; Magnusson, M.; Hansson, T.; McLeod, K. Transmissibility of 15-Hertz to 35-Hertz Vibrations to the Human Hip and Lumbar Spine: Determining the Physiologic Feasibility of Delivering Low-Level Anabolic Mechanical Stimuli to Skeletal Regions at Greatest Risk of Fracture because of Osteoporosis. Spine 2003, 28, 2621–2627. [Google Scholar] [CrossRef]
- Bressel, E.; Smith, G.; Branscomb, J. Transmission of whole body vibration in children while standing. Clin. Biomech. 2010, 25, 181–186. [Google Scholar] [CrossRef]
- Pollock, R.D.; Woledge, R.C.; Mills, K.R.; Martin, F.C.; Newham, D.J. Muscle activity and acceleration during whole body vibration: Effect of frequency and amplitude. Clin. Biomech. 2010, 25, 840–846. [Google Scholar] [CrossRef]
- Wakeling, J.M.; Nigg, B.M.; Rozitis, A.I. Muscle activity damps the soft tissue resonance that occurs in response to pulsed and continuous vibrations. J. Appl. Physiol. 2002, 93, 1093–1103. [Google Scholar] [CrossRef] [PubMed]
- Rittweger, J. Manual of Vibration Exercise and Vibration Therapy; Springer: Cham, Switzerland, 2020. [Google Scholar] [CrossRef]
- Avelar, N.C.; Ribeiro, V.G.; Mezêncio, B.; Fonseca, S.F.; Tossige-Gomes, R.; da Costa, S.J.; Szmuchrowski, L.; Gripp, F.; Coimbra, C.C.; Lacerda, A.C. Influence of the knee flexion on muscle activation and transmissibility during whole body vibration. J. Electromyogr. Kinesiol. 2013, 23, 844–850. [Google Scholar] [CrossRef] [PubMed]
- Lau, R.W.K.; Liao, L.R.; Yu, F.; Teo, T.; Chung, R.C.K.; Pang, M.Y.C. The effects of whole body vibration therapy on bone mineral density and leg muscle strength in older adults: A systematic review and meta-analysis. Clin. Rehabil. 2011, 25, 975–988. [Google Scholar] [CrossRef] [PubMed]
- Schmid, H. How to Use the FFT and Matlab’s Pwelch Function for Signal and Noise Simulations and Measurements. 2012, 1–13. Available online: http://schmid-werren.ch/hanspeter/publications/2012fftnoise.pdf (accessed on 11 August 2024).
- Di Giminiani, R.; Masedu, F.; Tihanyi, J.; Scrimaglio, R.; Valenti, M. The interaction between body position and vibration frequency on acute response to whole body vibration. J. Electromyogr. Kinesiol. 2013, 23, 245–251. [Google Scholar] [CrossRef]
- ISO 2631-1:1997; Mechanical Vibration and Shock—Evaluation of Human Exposure to Whole Body Vibration—Part 1: General Requirements. International Standard Organisation: Geneva, Switzerland, 1997.
- Ker, R.F.; Bennett, M.B.; Bibby, S.R.; Kester, R.C.; Alexander, R.M. The spring in the arch of the human foot. Nature 1987, 325, 147–149. [Google Scholar] [CrossRef]
Disclaimer/Publisher’s Note: The statements, opinions and data contained in all publications are solely those of the individual author(s) and contributor(s) and not of MDPI and/or the editor(s). MDPI and/or the editor(s) disclaim responsibility for any injury to people or property resulting from any ideas, methods, instructions or products referred to in the content. |
© 2024 by the authors. Licensee MDPI, Basel, Switzerland. This article is an open access article distributed under the terms and conditions of the Creative Commons Attribution (CC BY) license (https://creativecommons.org/licenses/by/4.0/).



