Next Article in Journal
Design of Urban Indicators to Optimize the Implementation of Low-Impact Techniques in Semi-Arid Cities
Next Article in Special Issue
The First Seismic Imaging of the Holy Cross Fault in the Łysogóry Region, Poland
Previous Article in Journal
Physical and Chemical Approaches of Photovoltaic Parameters in Dye-Sensitized Solar Cells to ZnO/ZnS:rGO-Based Photoelectrodes
Previous Article in Special Issue
Joint Multi-Scenario-Based Earthquake and Tsunami Hazard Assessment for Alexandria, Egypt
 
 
Font Type:
Arial Georgia Verdana
Font Size:
Aa Aa Aa
Line Spacing:
Column Width:
Background:
Article

Seismic Reliability Evaluation Strategy for Substation Systems Based on the Quasi-Monte Carlo Simulation Method and Triangle Algorithm

1
School of Architecture and Civil Engineering, Xi’an University of Architecture and Technology, Xi’an 710055, China
2
Key Laboratory of Structural Engineering and Earthquake Resistance, Ministry of Education (XAUAT), Xi’an 710055, China
*
Author to whom correspondence should be addressed.
Appl. Sci. 2025, 15(1), 292; https://doi.org/10.3390/app15010292
Submission received: 22 June 2024 / Revised: 11 July 2024 / Accepted: 12 July 2024 / Published: 31 December 2024
(This article belongs to the Special Issue Earthquake Engineering and Seismic Risk)

Abstract

Power systems are the backbone of modern society. As critical facilities for the transmission and conversion of electric power, substations are vital to the stable operation of power systems. Quantifying the residual seismic capacity of the substation system is an urgent issue to be addressed. Therefore, this study proposes a reliability assessment process based on network matrix algorithms and efficient simulation methods to evaluate substation systems. A typical 220 kV substation in China with 6 incoming lines and 10 outgoing lines was studied with this assessment process. The results of the case study showed that the redundancy of transformer units, due to their excessive fragility, does not effectively guarantee the complete function of the system after an earthquake. In this work, 220 kV circuit breakers, voltage transformers, and 110 kV disconnect switches were evaluated as the most vulnerable functional equipment in the substation system; improving their seismic performance can significantly improve the seismic reliability of the entire system. Furthermore, the evaluation process demonstrated that substations are more susceptible to earthquakes than individual pieces of equipment, indicating that the redundancy of existing substations is insufficient.

1. Introduction

With the rapid development of the world economy and increasing security requirements, the safety of substations has received increasing attention. Estimating the reliability of substations is vital to urban stakeholders, such as utility companies, urban planners, and policymakers, as well as residents and business owners. Over the past 30 years, the disruption of substations and equipment by natural hazards has had severe socioeconomic consequences worldwide [1,2,3]. Power systems also play a critical role in disaster planning, mitigation, response, and recovery [4,5]. A substation consists of many interconnected pieces of equipment and structures, such as transformers, steel frames, and control rooms. The anti-seismic capability of a single structure or piece of equipment has received widespread attention, and a large number of anti-seismic devices have been applied to reduce earthquake disasters [6,7,8]. However, due to the redundancy of equipment and structures and physical interactions in the substation system, their seismic reliability is still unclear.
In some studies on the seismic reliability of power grids, each substation is regarded as a node on a topological map, and its vulnerability is simplified by defining the overall performance of the substation [9,10,11]. The binary test method expresses each state of the basic system through different state vectors. Although this method has been adopted in previous studies [12,13], the total number of system states is 2 n , and the calculation amount increases sharply with the number of units, far exceeding the existing capabilities of computers. For complex systems, a fault tree can clearly and completely express the composition of the system and the relationship between the units [14,15,16]. In the fault tree, each square represents an event (unit), and the top event is the object to be studied; “OR” means that any event below it that occurs causes the event above it to fail, and “AND” means that the event above it fails only if all events below it occur.
Specifically, for substation systems, research on their seismic reliability can be generally divided into two areas: seismic damage statistics and theoretical analysis. Regarding seismic damage statistics for substation systems, Ang et al. [17] obtained seismic fragility curves for 230 kV and 500 kV substations using empirical statistical methods based on the Loma Prieta earthquake seismic damage database. Giovinazzi [18] studied the seismic reliability of substations with two fixed forms of equipment using HAZUSMH’s model, combined with expert judgment and empirical models based on mathematical statistics of seismic data. Liu RS et al. [19] determined the damage ratios of major primary equipment in 121 110 kV substations under different earthquake intensities in the Wenchuan earthquake. The normal distribution function and its cumulative function were used to fit the damage probability density curve and the damage probability curve of various high-voltage electrical equipment based on earthquake intensity. Regarding theoretical analysis, the Federal Emergency Management Agency (FEMA) [20] improved the methodology for assessing the seismic performance of substations. Substations are divided into five kinds of damage states: intact, slight damage, medium damage, serious damage, and complete damage. The damage degrees of the main primary electrical equipment, such as transformers and circuit breakers, are considered to directly affect the damage state of a substation. Li J, Li T et al. [21,22] discussed the seismic reliability analysis of the main wiring system of high-voltage substations, and through the established system reliability analysis criterion, several typical main wiring types of substations were abstracted into simple logical relationship diagrams, and Boolean algebraic analysis was applied to analyze and calculate the seismic fragility of substations. Hwang [12] established an event tree and failure tree to describe the relationship between the equipment and used the minimum cut set theory to identify the most critical and vulnerable equipment in the substation system. Li JC et al. [23] proposed a new probability-based method, the state tree method, to evaluate the seismic reliability of complex systems. Compared with the original fault tree, the state tree features the addition of several fictional events (FEs). The establishment of a state tree is actually the establishment of a successful path [24], so the time of the evaluation process is shorter than that of establishing the fault tree. Xie et al. [25,26] developed a rapid assessment framework for earthquake recovery that integrates network models with time-varying functional characteristics. They proposed a bi-dimensional functional network model and a post-earthquake multi-objective optimization algorithm to enhance the recovery efficiency of power substations. The research indicates that equipment-level repairs can more rapidly restore the functionality of substations after an earthquake. The research focus, methodology, and key indicators of the relevant literature are shown in Table 1.
In summary, most existing research on the seismic reliability of substation systems has focused on modeling the prior evaluation process. However, a post-evaluation process has not been constructed due to the extensive calculations required. To address the current issues, the main tasks undertaken in this project are as follows:
(1) Proposes a post-assessment process using the quasi-Monte Carlo method (QMC) for analyzing substation systems; (2) emphasizes considering interactions among all facilities during the evaluation process; (3) advocates for the appropriate use of functional units to simplify the system model and enhance the reliability of QMC simulation results; (4) fully describes the state of each unit, including the equipment, structures, and their combinations, to accurately calculate system reliability; and (5) introduces the proposed processing steps and validates its effectiveness using a typical 220 kV substation in China with 6 incoming and 10 outgoing lines as a case study.
The remainder of this paper is as follows. Section 2 introduces the system functionality definition, QMC simulation method, and solution algorithm. Section 3 presents a case study on a typical substation. Section 4 provides an analysis of the results and reinforcement recommendations. Section 5 offers concluding remarks and outlines future research directions.

2. The Seismic Reliability Analysis Process for the Substation System

2.1. Overview

Lifeline engineering systems, such as power supply systems, gas supply systems, and road and bridge systems, usually require multiple types of functional units to achieve their functions. A functional unit is a collection of facilities that implement specific functions of the system. Different functional units work together to realize the functions of the entire system. This research proposes a new process based on QMC to calculate the seismic reliability of substation systems. The recommended analysis process includes five steps: (1) define the system functions according to the specific requirements of users, engineers, or regulatory agencies; (2) establish a system topology model simplified by functional units; (3) represent the failure status of system functional units using fragility curves; (4) use the triangle algorithm to evaluate the operating status of each functional unit/system; and (5) based on the fragility of the functional unit and the system model, use QMC to calculate the seismic reliability of the system.

2.2. System Functionality Definition

System functionalities are usually defined according to the specific requirements of engineers, users, or regulatory agencies [27,28]. For example, a water or gas supply system can be expressed as the amount of water or gas supplied in the service area per unit of time, and a road and bridge system can be expressed as the traffic capacity in the target area [29]. Similarly, the functionality of a substation system can be defined as the number of lines that can normally output power after an earthquake. In a severe earthquake, the functions of a simple system may be completely suspended, but due to system redundancy, the functions of a complex infrastructure system may only be partially damaged rather than completely lost [30]. At the same time, the quantification of system functionalities is extremely important for post-earthquake seismic resilience assessments and recovery decisions.
The number of remaining normal output power lines can be used as a measure of the post-earthquake functionality Fs of the substation system. The values of Fs range from 0 to N − 1/N in increments of 1/N. For example, Fs = 5/N means that five of the N lines are in normal operation, and Fs = 9/N means that nine of the N lines are in normal operation. Substations are always designed with redundancy in mind. In this case, assume that two fully operational transformers are sufficient to maintain power. This assumption is reasonable because, for economic reasons, a transformer will not operate at full load under normal operating conditions (usually less than 75%). Therefore, Equation (1) can measure the post-earthquake functionality of the substation system.
F s = min   ( 2 N line-in / N , 5 N transformer / N , N line-out / N )
where Nline-in, Ntransformer, and Nline-out are the number of normal line-in units, transformer units, and line-out units after the earthquake, respectively. N is the total number of line-out units.

2.3. Building the System Model

To perform the calculations of the system model, the fragility of the unit should be defined first, and the fragility curve or function in the reliability evaluation is usually selected to define fragility. The function FR(x) represents the probability that the response, DEDP, of the selected engineering demand parameter, EDP, exceeds a selected structural limit state, LS, for a specific intensity measure, IM, of seismic excitation [31], as shown in Equation (2). The specific calculation process can be found in [32,33].
F R ( x ) = P [ D E D P L S | I M = x ]
Substation systems have a large number of power supply facilities, which have a complex connection form. To study the seismic reliability of the substation system, the substation system is abstracted as a geometric figure composed of many functional units, and these units are connected through related links. The functional unit represents a series–parallel system composed of power supply facilities, such as equipment and architecture. An edge represents a bus, and differences in its electrical parameters and physical structure are ignored. The substation system is abstracted as a directed topology without weights [34,35], which is represented as a set, as shown in Equation (3).
G = V , E
where the nonempty set V = v 1 , v 2 v n is called the node set of G and the set E = e 1 , e 2 e n is called the edge set of G. An edge e i = v s , v i corresponds to a binary relation on the set.
This work uses the adjacency matrix of the directed topology to describe the structure. If the number of substation units in the directed topology G ( V , E ) is n, the connections between units are represented by an adjacency matrix A of order n × n [36,37].
A = [ a i j ]
where if A[i, j] = 1, there is an adjacent edge between the functional unit vi and functional unit vj; A[i, j] = 0 indicates that there is no adjacent edge between the function unit vi and function unit vj.

2.4. QMC Simulation

QMC improves the problem of the slow convergence of the MC method in the sampling process and improves the accuracy of operations and has been applied to many fields that require a Monte Carlo simulation, such as statistical circuit analysis [38], structural reliability assessment [39], and security pricing [40]. The basic idea of both the QMC method and the MC method is to obtain the probability of the possible occurrence of the desired event by test sampling, but the theoretical bases are different; the QMC method uses a low-dispersion low deviation series (LDS) instead of the pseudorandom series in the MC method, which is the core idea of the method.
Halton sequences and Sobol sequences are commonly used LDS sequences with easy construction methods and good sequence uniformity. It has been shown that Sobol sequences possess higher convergence and more stable output results compared with Halton sequences, except for the first dimension [41]. Therefore, in this study, the Sobol sequence with better convergence performance was used as the original sampling sequence for QMC simulation, and considering that the Sobol sequence obtained by the traditional method causes problems, such as low sequence bias when the number of sampling points is small, to ensure its dual characteristics of randomness and low bias, the Sobol low bias sequence is randomized based on the linear matrix scrambling technique that is divided into the following three steps.
(1) Obtain Sobol sequences using the basic principle of Sobol sequences:
r n ( t ) = g 0 ( n ) v 1 g 1 ( n ) v 2 g n 1 ( n ) v n
where rn is the n-th number of the Sobol sequence, vn is the n-th directional number, gn−1(n) is the binary representation of the grey code with n − 1 as the variable, only one binary digit of the adjacent grey code is different, and the calculation adds only one XOR operation.
(2) Replace the binary vector v j with a disturbed v j :
v j ( t ) = v j , 1 ( t ) 1 1 ( t ) + v j , 2 ( t ) 1 2 ( t ) +
where t is the dimension variable of the Sobol sequence and 1 k ( t ) is a binary vector based on two values.
(3) Add a binary independent random vector e ( t ) to each new vector:
r n ( t ) = e ( t ) g 0 ( n ) v 1 ( t ) g 1 ( n ) v 2 ( t ) g n 1 ( n ) v n ( t )

2.5. Triangle Algorithm for Solving the Connectivity Matrix

One of the most challenging tasks in the adjacency matrix method is to solve the connectivity matrix of a given system. In the adjacency matrix, aij represents the situation in which there is an edge (that is, the path length is one) between point vi and point vj. The proof shows that the power of the adjacency matrix also has a special meaning [34,35,36,37,38,39,40,41]. For example, if element aij in the square of adjacency matrix A2 is not zero, point vi and point vj are connected by a link with a path length of two. From this, the following conclusions can be drawn: if a i , j k ( k = 1 , 2 , , n 1 ) = 1 , there is a link with path length k between point vi and point vj. In the graph theory method, Equation (8) is called the connectivity matrix of the adjacency matrix, and the points are the critical functional units in the substation system:
M = I A A 2 A n 1
where M is the connectivity matrix and I is the original adjacency matrix.
By using graph theory to obtain the connectivity matrix of the adjacency matrix, the shortest path between two nodes can be obtained [42,43,44]. However, for the seismic connectivity analysis of the substation system, more attention should be given to whether the input–output nodes are connected. The graph theory method requires a large number of factorial operations on the adjacency matrix, resulting in low computational efficiency, and it is not suitable for the seismic connectivity analysis of large systems. Warshall proposed an effective algorithm for solving the transitive closure (connectivity matrix) of the adjacency matrix in 1962, which is called the Warshall algorithm [45,46]. The algorithm obtains the final n-order connectivity matrix M ( n ) by constructing a series of n-order matrices M ( k ) , each of which is calculated from its predecessor matrix M ( k 1 ) . The Warshall algorithm is concise and clear and is easy to implement on a computer. However, the algorithm has some shortcomings when matrix M is sparse. Because there is a large number of M [ j , i ] = 0 elements in matrix M, the algorithm makes many empty judgments during the execution process, which leads to a long calculation time. Therefore, a triangle algorithm suitable for the seismic reliability analysis of substation systems is proposed. The basic idea is given below.
(1) Set a new matrix M : = A ;
(2) Set i : = 1 ;
(3) For any j column, if the lower triangle of the matrix satisfies M ( i , j n i 2 , i 1 j 1 ) = 1 (processing the lower triangle) or the upper triangle of the matrix satisfies M ( i , j n 1 i 1 , n j i + 1 ) = 1 (processing the upper triangle), set M [ i , k ] = M [ i , j ] M [ j , k ] , k = 1 ,   2 n ;
(4) Set i : = i + 1 ;
(5) If j n , proceed to step 3; otherwise, stop.
A measure of system reliability is represented by the failure probability associated with EDP. The process of the triangle algorithm based on the QMC simulation is shown in Figure 1.
The steps are as follows:
(1) Simplify the substation network into a directed topology graph.
(2) Define the following key parameters: engineering demand parameter (EDP), initial simulation count (n), initial iteration count (e), and total simulation count (E).
(3) Establish an adjacency matrix A to record the failure probabilities of equipment under the e-th condition.
(4) Use the quasi-Monte Carlo (QMC) method to adjust the adjacency matrix A.
(5) Apply the triangle algorithm to solve for the system connectivity matrix.
(6) Output the final results.

3. Case Study of a Typical Substation

Substations are the critical nodes of a power system and usually consist of a variety of standard equipment [47,48], such as transformers, lightning arresters, circuit breakers, potential/current transformers, disconnect switches, insulators, and tube buses. The connection form of the facilities in the substation system is complicated. Simplifying the modeling and solving the connectivity matrix are the keys to the problem.

3.1. Overview of a Typical Substation

The scheme is selected from the general design of transmission and transformation projects by the State Grid Corporation of China. The basic form of the main wiring system includes double busbars with bypass busbar connections. This design is highly representative because it is widely used in 220 kV substations across China, making it a typical example for analyzing seismic reliability and ensuring that the findings are broadly applicable to similar substations. The connection form of substation facilities is complicated, and there is redundancy in the design. For example, when one transformer is not working, the other two transformers can still meet the normal load demand of the substation. However, when subjected to an earthquake, each piece of equipment suffers different degrees of damage. Then, the original redundancy in the substation system may not be able to meet the performance requirements. To analyze such a system, this research introduces the concept of a functional unit; the equipment connected to the main wiring system is called a functional unit. In principle, the failure probability of a functional unit in the main wiring system should be the joint failure probability of the corresponding individual equipment and related seismic damage factors. The facilities in the substation can be divided into six functional units: line-in units, line-out units, bus connection units, bus-bs units, bus units, and transformer units.
The function of the line-in unit is to receive power from the upstream substation. Similarly, the function of the line-out unit is to output the power reduced by the transformer. In this case, there are 6 line-in units and 10 line-out units. The 220 kV substation can reduce the voltage to 110 kV and 10 kV. The function of the bus connection unit is to connect the line-in unit, line-out unit, and transformer unit to the bus unit, and the bus unit can summarize and distribute the electric energy. When the equipment needs to be repaired, this can be performed by disconnecting the connecting unit on the corresponding line. The function of the bus-bs unit is to connect two bus units. As long as one bus unit works normally, the electric energy can be transferred from one side of the connecting unit to the other. A typical 220 kV substation layout is shown in Figure 2, where PT stands for the potential transformer, DS stands for the isolating switch, CT stands for the current transformer, CB stands for the circuit breaker, LA stands for the lightning arrester, TR stands for the transformer, SF stands for the steel frame, SP stands for support, and IS stands for insulator supporting equipment. The SP cannot be seen in the layout drawing, but it is indicated in the elevation.

3.2. Functional Unit Division

Figure 3 shows the electrical energy flow in a path. Only when all six units are working properly can the required functions of the system be guaranteed. According to the voltage carried, these six units can be divided into four parts: the 220 kV part, the transformer part, the 110 kV part, and the bus-bs part. Each part includes various equipment and structures to perform various functions. To visually show the composition of each unit, Figure 4, Figure 5, Figure 6 and Figure 7 divide the substation into four parts: the 220 kV part, the 110 kV part, the transformer part, and the bus-bs part, according to the voltage carried.
Section 1-1 in Figure 4 shows that the electric energy is transmitted in three phases (phase A, phase B, and phase C), but the connection method is the same; therefore, it is represented by a line in Figure 2. There are three TRs in total, the function of which is to convert high-level voltage into low-level voltage. The DS is used to separate different paths, and the CB is responsible for cutting off and connecting the load circuit, as well as cutting off a faulty circuit to ensure safe operation. The DS cannot be used to cut off and connect load currents and can be used only for certain switching operations that do not produce strong arcs; that is, it does not have an arc-extinguishing function. The DS usually performs a wire change after the CB cuts off the power. The function of the potential/current transformer is to convert a primary potential/current with a larger value into a secondary potential/current with a smaller value through a certain transformation ratio for protection, measurement, and other purposes. The LA is used to protect electrical equipment from high transient overvoltage hazards during lightning strikes, especially TRs. The IS, SP, and SF are used to support the equipment. To meet the insulation requirements, all electrical equipment and structures are installed on the SPs and maintain a certain distance from the ground and each other. These devices are usually independent of each other, but SFs are usually shared by different types of equipment. The IS and SP are mainly used to support the tube bus (BUS*) and the abovementioned equipment, and the SF is used to support the wires.
The composition of each functional unit is shown in Figure 8, Figure 9, Figure 10 and Figure 11. The line-in unit (Figure 8A) contains a CT, DS, PT, CB, and two SFs. SF 1-1 only supports line-in unit 1, while SF 1-2 supports line-in units 2 to 6. Line output units 1 to 10 (Figure 8B) are independently supported by SF5.
The bus connection unit (Figure 9A,B) contains at most two pieces of equipment: the DS and IS. When the DS is far from the next transmission facility, the wire needs to be supported by an IS to ensure that a certain height from the ground is maintained, as shown in Figure 4. Note that the 110 kV line-out unit (Figure 6) has smaller equipment spacing, so an IS could not be installed between Bus I and the equipment, as Bus I is far from the equipment. The bus-bs unit (Figure 9C) contains one CT, one CB, two DSs, one IS, and two SFs.
The bus unit includes one row of SPs, one row of ISs, one BUS*, one PT, and one LA. There are two bus units in the 220 kV part and in the 110 kV part. Figure 10 shows the bus units in the 220 kV part. The 110 kV bus connection unit is similar in composition to the 220 kV bus unit, except for the fact that the number of supports under the BUS* is different.
The transformer unit (Figure 11) consists of five SFs, two CBs, two CTs, two DSs, two LAs, and one TR. HB, MB, LB, and TB represent 220 kV porcelain bushing, 110 kV porcelain bushing, 10 kV porcelain bushing, and the tank of the transformer, respectively. The transformer unit and other units share SF2, 3, 4, and 5, while the SFT is unique to the transformer unit.

3.3. Basic Network Model of the Substation System

Considering the large number of pieces of equipment and structures in the substation system, totaling 664, it is impossible to directly calculate the system’s reliability. To simplify the calculation, the substation system was drawn as a logical relationship diagram according to the main functional units, as shown in Figure 12. The logical relationship diagram can facilitate the consideration of the dependence between the equipment and structure and provide a complete representation of all possible forms of accessibility of the substation system. Here, vi represents the functional unit at the corresponding position in the main wiring system of the substation. Functional equipment connected in series can be equivalently treated as functional units. The failure probability of equivalent functional units is the joint failure probability of each piece of equipment, as shown in Equation (8). In addition, unless all bus units fail, the failure of a certain bus unit does not affect the function of the bus-bs unit:
P = 1 i = 1 m [ 1 P c i ]
where P c i represents the seismic failure probability of equipment i and m is the number of pieces of equipment.

3.4. Fragility of the Substation Equipment and Units

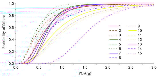
The reason why the peak ground acceleration, PGA, was chosen as the EDP is that most of the equipment and structures in the substation were directly installed on the ground. The fragility curve of each piece of equipment and structure is expressed in the form of Equation (2), which can be calibrated by statistics or experiments. The purpose of this research is to verify the effectiveness of the proposed reliability analysis method. The equipment and structure parameters are all derived from earthquake damage statistics, as shown in Table 2 and Table 3. The fragility curves are shown in Figure 13.

3.5. Seismic Reliability Analysis of the Substation System Based on the QMC Method

When the PGA is 0.25, and the target function is 1/2, the calculation results based on the quasi-Monte Carlo method and the MC method are shown in Figure 14 below. After 5000 simulations, the calculation result of the QMC method is 0.58680, which is within 1‰ of the true value of 0.58635 and reaches the convergence standard. The calculation result of the MC method is 0.58060, and the calculation error is 9.8‰. Therefore, the number of simulations selected in this case study was 5000.
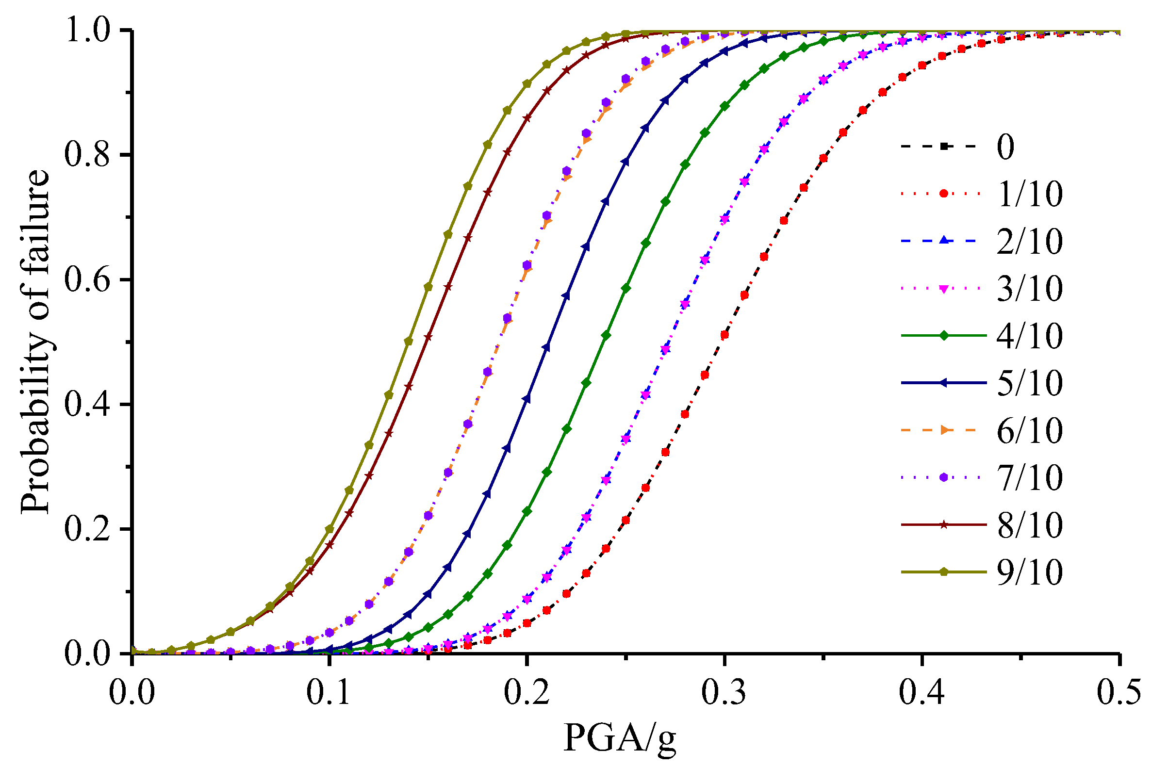
The fitting result of the failure probability of a substation with functions Fs = 9/10, Fs = 1/2, and Fs = 0 is shown in Figure 15, and MATLAB was used for nonlinear fitting. The median capacities of the 50% failure probability of Fs = 9/10, Fs = 1/2, and Fs = 0 are 0.136 g, 0.209 g, and 0.295 g, respectively, which are all smaller than the assumed median capacity of a single piece of equipment, indicating the seismic resistance of the substation system. The reliability is much lower than that of a single piece of equipment, and the redundancy of the substation is not sufficient to improve its seismic reliability.
We conducted 250,000 simulations using MATLAB 2016b, and the fragility curves of different substation functionalities calculated based on the QMC method are shown in Figure 16. Table 4 lists the corresponding median capacity, log standard deviation, coefficient of determination (R-squared), and root mean square error (RMSE).

3.6. Analysis of the Calculation Time of Different Algorithms

Taking this substation power system as an example, the triangle algorithm, matrix factorial method, and fuzzy mathematical method are used to solve the CR index. With the number of sampling times as the variable and the running time as the object sought, the time required for the same number of sampling times for the QMC method and the MC method under the three algorithms is obtained, and the time required for the same sampling time is shown in Figure 17.
The results show that the triangle algorithm offers a substantial improvement in computing speed relative to the graph theory method and the fuzzy mathematics method. There is no significant difference between the computing time of the three algorithms, the QMC method and the MC method, and when the number of samplings is fixed, relying on the QMC method alone does not effectively reduce the computing time. Therefore, combining the QMC method with the triangle algorithm can significantly improve the operational efficiency in terms of both the sampling number and operation time.

4. Results of the Analysis

4.1. Reliability Analysis Results

Figure 16 shows the fragility curves of all functionalities. The fragility curves of different Fs values should be different, but when Fs is less than 8/10, the results of adjacent Fs values are highly similar or consistent (for example, when Fs is 6/10 and 7/10, the median capacity is 0.18323 and 0.18268, respectively, and when Fs is 0 and 1/10, the median capacity is 0.29582). Figure 16 shows that the fragility curves of Fs = 5/10 and Fs = 4/10 are significantly different. This shows that the reliability of the line-in unit is high, and the system functionality depends on the reliability of the transformer unit and the line-out unit. Since there is 20% redundancy in the line-in unit, the system functionality is affected only when the second line-in unit is damaged. At this time, the destruction of a line-in unit can cause the system functionality to drop by 20%. The transformer unit is similar, with 50% redundancy. The destruction of one transformer unit does not cause the system functionality to decline, but when a second transformer unit is broken, the system functionality is reduced by 50%.
Table 4 shows that most functional units can still operate normally when the median capacity of the PGA is lower than 0.136 g. The functionality of the substation depends on the operating status of the line-out unit. The failure of one line-out unit leads to a 10% drop in substation functionality. At this time, the transformer unit and the line-out unit are redundant, and there is a high probability that the number of instances of damage to the transformer unit and the line-out unit will not exceed one. The functionality of the system is determined by the line-out unit, and the destruction of one line-out unit can cause a 10% functionality drop.
With increasing PGA, the redundancy of the line-in unit begins to decrease. When the second line-in unit is destroyed, the functionality of the substation is reduced by 20%. To illustrate this point more clearly, Figure 18 shows the frequency of the substation system with different functionalities at various PGAs. When the PGA is less than 0.16 g, the substation remains fully operational, and when the PGA is greater than 0.23 g, the substation loses most of its functions. It can be observed that Fs = 6 does not show a gradual decline with Fs = 8, Fs = 4, and Fs = 2, and the peak frequency of Fs = 6 is much smaller than that of Fs = 4, which indicates that the fragility of the transformer unit is too large. As a result, its redundancy cannot effectively guarantee the seismic reliability of the substation. When the PGA is small, the function of the substation depends on the line-out unit and the 110 kV connection unit. When the PGA is large, the function of the substation mainly depends on the line-in unit, 220 kV connection unit, and transformer unit. The reason for this is that when the PGA is relatively large, even though there is a certain redundancy in the line-in unit and transformer unit, their fragility is much greater than that of the line-out unit and the 110 kV connection unit.

4.2. The Results of the Critical Equipment Analysis

By using sensitivity analysis, critical equipment can be identified. By changing the fragility parameters (median capacity and increased by 20%) of related equipment one by one, a set of system fragility curves is obtained. The changes in the system’s median capacity and log standard deviation are shown in Figure 19, Figure 20, Figure 21 and Figure 22. The impact of the 110 kV equipment and IS on the parameters related to the substation fragility curves is insignificant (less than 1.5% overall) because these pieces of equipment have a relatively high median capacity.
In addition to the 110 kV LA and IS, the 110 kV CB, DS, CT, and PT show an overall increase in the reliability of substations when Fs = 9/10. This is because the transformer and line-in unit are redundant with little PGA, and the 110 kV connection unit and the line-out unit include a CB, a PT, a CT, and three DSs, so the variation in the 110 kV DS is the largest. Improving the seismic performance of the 110 kV DS can significantly improve the system reliability for Fs = 9/10. At this time, the capacity of the substation is determined by the 110 kV connection unit and the line-out unit, which is consistent with the results in the previous section.
Among the 220 kV equipment, the CT had the greatest impact on the median capacity of the substation system’s fragility curve, which varied between 4% and 7% with a decrease in Fs. The influence of the CB is slightly lower, varying between 3% and 6% with the decrease in Fs. The impacts of the remaining equipment in descending order of size are the impacts of the PT, DS, TR, and LA. When Fs = 9, the variation in the 220 kV equipment is significantly reduced, which verifies the analysis in the above figure. The CB, CT, DS, and PT also greatly influence the log standard deviation of the system in different ways; that is, the CB and CT reduce the log standard deviation and are positively correlated with Fs, and the DS and PT increase the log standard deviation and have a negative correlation with Fs. The LA, PT, and TR have a very limited impact on the median capacity (<1.5%) of the substation system due to their higher median capacity and lower participation. This also indicates that the 220 kV LA and PT and the individual TR equipment have high seismic redundancy. The analysis results in Section 4.1 show that the transformer unit has a higher fragility; however, the transformer is not the most important piece of equipment.
This is because there are only three transformers; the number of other pieces of equipment far exceeds this number, and the transformers are power-redundant as two transformers are sufficient to ensure normal operation (in an earthquake). Therefore, the 220 kV CT, CB, and DS are the most critical facilities in the line-in unit, 220 kV connection unit, and transformer unit. Improving their seismic performance will significantly improve the reliability of substations.

5. Conclusions

This study presents a new evaluation process for assessing the seismic reliability of substation systems based on the quasi-Monte Carlo (QMC) method. The proposed process considers the system’s physical interdependence, evaluates the seismic vulnerability, and identifies key equipment, the seismic performance of which can be improved to enhance overall system reliability. The key findings and methodological advancements are summarized below:
A new evaluation process for the seismic reliability of substation systems based on the QMC method is proposed. The system structure is expressed by an adjacency matrix, and the connectivity matrix is solved by the QMC simulation method and the triangle algorithm. By introducing the concept of a functional unit, a basic model of the substation network that comprehensively considers the influence of the building structure, electrical equipment, and main wiring topology is established. According to the assumed vulnerability parameters, the seismic reliability is evaluated and expressed by the fragility curve.
The analysis results show that physical interdependence can be considered through the evaluation process. Substations are more susceptible to earthquakes than individual equipment, which shows that from the perspective of earthquake resistance, the redundancy of existing substations is insufficient. When the PGA is very low, the functionality of the substation depends on the line-out unit, and then because the line-in units and the transformer units are no longer redundant, the functionality of the substation system depends on whether the line-in unit and the transformer unit are destroyed.
A sensitivity analysis determined that the 220 kV CT, CB, and DS and the 110 kV DS are the most critical pieces of equipment in the substation. Based on this result, the seismic performance of the key pieces of equipment can be improved through isolation technology, such as dampers and isolation devices, and the proposed process can be used to evaluate the effect. Therefore, the evaluation process proposed in this paper plays an important role in ensuring the safe and stable operation of substation systems in an earthquake and can be applied to other engineering systems. In addition, if more detailed facility fragility data are available, different types of electrical equipment can be further distinguished to accurately evaluate the results.

Author Contributions

X.L.: Methodology, Methodology, Software, Formal Analysis, Writing—Original Draft; S.Z.: Conceptualization, Resources, Project Administration, Funding Acquisition; Q.Q.: Visualization. P.H.: Data Curation. All authors have read and agreed to the published version of the manuscript.

Funding

This research was funded by National Natural Science Foundation of China, grant number [52278530] and Key R&D Projects in Shaanxi Province, grant number [2021ZDLSF06-10]. The APC was funded by [2021ZDLSF06-10].

Data Availability Statement

Data available in a publicly accessible repository. The data presented in this study are openly available at https://doi.org/10.6084/m9.figshare.20656707.v1.

Acknowledgments

The authors would like to thank the anonymous reviewers for their valuable comments.

Conflicts of Interest

The authors declare no conflicts of interest.

References

  1. Folke, C.; Carpenter, S.; Elmqvist, T.; Gunderson, L.; Holling, C.S.; Walker, B. BioOne Online Journals-Resilience and Sustainable Development: Building Adaptive Capacity in a World of Transformations. AMBIO J. Hum. Environ. 2004, 33, 350–355. [Google Scholar]
  2. Zafeiratou, E.; Spataru, C. Sustainable island power system–Scenario analysis for Crete under the energy trilemma index. Sustain. Cities Soc. 2018, 41, 378–391. [Google Scholar] [CrossRef]
  3. Mosalam, K.M.; Gunay, S.; Takhirov, S. Response evaluation of interconnected electrical substation equipment using real-time hybrid simulation on multiple shaking tables. Earthq. Eng. Struct. Dyn. 2016, 45, 2389–2404. [Google Scholar] [CrossRef]
  4. Tian, Z.; Chen, C.; Yuan, J.; Li, G. Research on the multi-angle seismic spectrum response law of auxiliary feedwater electric pumps. Appl. Sci. 2024, 14, 28. [Google Scholar] [CrossRef]
  5. Liao, H.; Zhou, D. Prediction of seismic bearing capacity considering nonlinearity and dilatancy by sequential quadratic programming. Appl. Sci. 2023, 13, 3215. [Google Scholar] [CrossRef]
  6. Najafijozani, M.; Becker, T.C.; Konstantinidis, D. Evaluating adaptive vertical seismic isolation for equipment in nuclear power plants. Nucl. Eng. Des. 2020, 358, 110399.1–110399.12. [Google Scholar] [CrossRef]
  7. Li, L.; Luo, G.; Wang, Z.; Zhang, Y.; Zhuge, Y. Prediction of residual behaviour for post-earthquake damaged reinforced concrete column based on damage distribution model. Eng. Struct. 2021, 234, 111927. [Google Scholar] [CrossRef]
  8. Lu, L.-Y.; Chen, P.-R.; Pong, K.W. Theory and experiment of an inertia-type vertical isolation system for seismic protection of equipment. J. Sound Vib. 2016, 366, 41–61. [Google Scholar] [CrossRef]
  9. Vanzi, I. Seismic reliability of electric power networks: Methodology and application. Struct. Saf. 1996, 18, 311–327. [Google Scholar] [CrossRef]
  10. Pires, J.A.; Ang, H.S.; Villaverde, R. Seismic reliability of electrical power transmission systems. Nucl. Eng. Des. 1996, 160, 427. [Google Scholar] [CrossRef]
  11. Martz, H.F.; Wailer, R.A.; Fickas, E.T. Bayesian Reliability Analysis of Series Systems of Binomial Subsystems and Components. Technometrics 1988, 32, 407–416. [Google Scholar] [CrossRef]
  12. Hwang, H.H.; Chou, T. Evaluation of seismic performance of an electric substation using event tree/fault tree technique. Probabilistic Eng. Mech. 1998, 13, 117–124. [Google Scholar] [CrossRef]
  13. Camensig, C.; Bresesti, L.; Clementel, S.; Salvetti, M. Seismic risk evaluation for high voltage air insulated substations. Reliab. Eng. Syst. Saf. 1997, 55, 179–191. [Google Scholar] [CrossRef]
  14. Liu, K.; Zhai, C.; Meng, X. Probabilistic joint importance-based retrofit strategy for seismic risk mitigation of transportation networks. Appl. Sci. 2022, 12, 9307. [Google Scholar] [CrossRef]
  15. Olmos, B.A.; Roesset, J.M. Evaluation of the half-power bandwidth method to estimate damping in systems without real modes. Earthq. Eng. Struct. Dyn. 2010, 39, 1671–1686. [Google Scholar] [CrossRef]
  16. Baghmisheh, A.G.; Estekanchi, H.E. Effects of rigid bus conductors on seismic fragility of electrical substation equipment. Soil Dyn. Earthq. Eng. 2019, 125, 105733.1–105733.16. [Google Scholar] [CrossRef]
  17. Ang, H.S.; Pires, J.A.; Villaverde, R. A model for the seismic reliability assessment of electric power transmission systems. Reliab. Eng. Syst. Saf. 1996, 51, 7–22. [Google Scholar] [CrossRef]
  18. Giovinazzi, S.; King, A. Estimating Seismic Impacts on Lifelines: An International Review for RiskScape; University of Canterbury Civil & Natural Resources Engineering: Christchurch, New Zealand, 2009. [Google Scholar]
  19. Liu, R.; Xiong, M.; Shu, R. Study on Damage Probability of High Voltage Electrical Equipment under Different Seismic Intensity. In Proceedings of the International Conference on Architectural Engineering & Civil Engineering, Shanghai, China, 9 December 2016. [Google Scholar]
  20. Charles, L.E.; Burchfiel, C.M.; Fekedulegn, D.; Vila, B.; Hartley, T.A.; Slaven, J.; Mnatsakanova, A.; Violanti, J.M. Shift work and sleep: The Buffalo Police health study. Polic. Int. J. Police Strateg. Manag. 2007, 30, 215–227. [Google Scholar] [CrossRef]
  21. Li, T.; Li, J.; Shen, Z. Seismic reliability analysis of high voltage substation (Part 1). Earthq. Eng. Eng. Vib. 2000, 20, 43–49. [Google Scholar]
  22. Li, T.; Li, J.; Shen, Z. Seismic reliability analysis of high-voltage substations (Part 2). Earthq. Eng. Eng. Vib. 2000, 20, 37–43. [Google Scholar]
  23. Li, J.; Wang, T.; Shang, Q. Probability-based seismic reliability assessment method for substation systems. Earthq. Eng. Struct. Dyn. 2019, 48, 328–346. [Google Scholar] [CrossRef]
  24. Lövétei, I.; Kővári, B.; Bécsi, T.; Aradi, S. Environment representations of railway infrastructure for reinforcement learning-based traffic control. Appl. Sci. 2022, 12, 4465. [Google Scholar] [CrossRef]
  25. Zhou, B.; Cai, Y.; Zang, T.; Wu, J.; Sun, B.; Chen, S. Reliability assessment of cyber–physical distribution systems considering cyber disturbances. Appl. Sci. 2023, 13, 3452. [Google Scholar] [CrossRef]
  26. Liu, X.; Xie, Q.; Liang, H.; Zhang, X. Post-earthquake recover strategy for substations based on seismic resilience evaluation. Eng. Struct. 2023, 279, 115583. [Google Scholar] [CrossRef]
  27. Liu, X.; Xie, Q. A multi-strategy framework to evaluate seismic resilience improvement of substations. Reliab. Eng. Syst. Saf. 2024, 245, 110045. [Google Scholar] [CrossRef]
  28. Liu, X.H.; Zheng, S.S.; Wang, W.; Liu, H.; Zheng, Y.; Zheng, H. Experimental study on the seismic behaviour of a corroded T-shaped RC shear wall. J. Build. Eng. 2023, 76, 107071. [Google Scholar] [CrossRef]
  29. Liu, X.H.; Zheng, S.S.; Wu, X.X.; Chen, D.; He, J. Research on a seismic connectivity reliability model of power systems based on the quasi-Monte Carlo method. Reliab. Eng. Syst. Saf. 2021, 215, 107888. [Google Scholar] [CrossRef]
  30. Liu, X.H.; Zheng, S.S.; Zheng, H.; Zhang, X.; Liang, Z. Research on the quantitative evaluation of the three-dimensional seismic resilience of power systems based on an improved genetic algorithm. J. Earthq. Eng. 2024, 28, 3068–3088. [Google Scholar] [CrossRef]
  31. Gómez, C.; Sánchez-Silva, M.; Dueñas-Osorio, L. An applied complex systems framework for risk-based decision-making in infrastructure engineering. Struct. Saf. 2014, 50, 66–77. [Google Scholar] [CrossRef]
  32. Paolacci, F.; Phan, H.N.; Corritore, D.; Alessandri, S.; Bursi, O.S.; Reza, M.S. Seismic fragility analysis of steel storage tanks. In Proceedings of the Compdyn Eccomas Thematic Conference on Computational Methods in Structural Dynamics & Earthquake Engineering 2015, Crete, Greece, 25–27 May 2015. [Google Scholar]
  33. Lin, K.C.; Chern, M.S. The fuzzy shortest path problem and its most vital arcs. Fuzzy Sets Syst. 1993, 58, 343–353. [Google Scholar] [CrossRef]
  34. Fragiadakis, M.; Diamantopoulos, S. Fragility and risk assessment of freestanding building contents. Earthq. Eng. Struct. Dyn. 2020, 49, 1028–1048. [Google Scholar] [CrossRef]
  35. Choi, E.; Song, J. Cost-effective retrofits of power grids based on critical cascading failure scenarios identified by multi-group non-dominated sorting genetic algorithm. Int. J. Disaster Risk. Reduct. 2020, 49, 101640. [Google Scholar] [CrossRef]
  36. Zio, E.; Golea, L.R. Analyzing the topological, electrical and reliability characteristics of a power transmission system for identifying its critical elements. Reliab. Eng. Syst. Safe 2012, 101, 67–74. [Google Scholar] [CrossRef]
  37. He, X.; Cha, E.J. Modeling the damage and recovery of interdependent critical infrastructure systems from natural hazards. Reliab. Eng. Syst. Saf. 2018, 177, 162–175. [Google Scholar] [CrossRef]
  38. Sehgal, R.; Gandhi, O.P.; Angra, S. Reliability evaluation and selection of rolling element bearings. Reliab. Eng. Syst. Saf. 2000, 68, 39–52. [Google Scholar] [CrossRef]
  39. Singhee, A.; Rutenbar, R.A. Why Quasi-Monte Carlo is Better Than Monte Carlo or Latin Hypercube Sampling for Statistical Circuit Analysis. IEEE Trans. CAD Integr. Circuits Syst. 2010, 29, 1763–1776. [Google Scholar] [CrossRef]
  40. Boyle, P.; Broadie, M.; Glasserman, P. Monte Carlo Methods for Security Pricing. J. Econ. Dyn. Control 1997, 21, 1267–1321. [Google Scholar] [CrossRef]
  41. Dai, H.; Wang, W. Application of low-discrepancy sampling method in structural reliability analysis. Struct. Saf. 2009, 31, 55–64. [Google Scholar] [CrossRef]
  42. Lim, H.-W.; Song, J. Efficient risk assessment of lifeline networks under spatially correlated ground motions using selective recursive decomposition algorithm. Earthq. Eng. Struct. Dyn. 2012, 41, 1861–1882. [Google Scholar] [CrossRef]
  43. Fragiadakis, M.; Christodoulou, S.E. Seismic reliability assessment of urban water networks. Earthq. Eng. Lifelines 2014, 43, 357–374. [Google Scholar] [CrossRef]
  44. Taberlet, N.; Newey, M.; Richard, P.; Losert, W. On axial segregation in a tumbler: An experimental and numerical study. J. Stat. Mech. Theory Exp. 2006, 2006, P07013. [Google Scholar] [CrossRef]
  45. Cohen, R.; Erez, K.; Ben-Avraham, D.; Havlin, S. Resilience of the internet to random breakdowns. Phys. Rev. Lett. 2000, 85, 4626. [Google Scholar] [CrossRef] [PubMed]
  46. Hougardy, S. The Floyd-Warshall algorithm on graphs with negative cycles. Inf. Process. Lett. 2010, 110, 279–281. [Google Scholar] [CrossRef]
  47. Liu, G.L. Warshall’s Algorithm for Transitive Closure of Fuzzy Relation Matrices. Fuzzy Syst. Math. 2003, 17. [Google Scholar]
  48. Shumuta, Y. Practical seismic upgrade strategy for substation equipment based on performance indices. Earthq. Eng. Struct. Dyn. 2007, 36, 209–226. [Google Scholar] [CrossRef]
Figure 1. Process of the triangle algorithm based on the QMC simulation.
Figure 1. Process of the triangle algorithm based on the QMC simulation.
Applsci 15 00292 g001
Figure 2. Simplified layout of the substation.
Figure 2. Simplified layout of the substation.
Applsci 15 00292 g002
Figure 3. Power flow diagram of a single path.
Figure 3. Power flow diagram of a single path.
Applsci 15 00292 g003
Figure 4. The 220 kV part.
Figure 4. The 220 kV part.
Applsci 15 00292 g004
Figure 5. Transformer part.
Figure 5. Transformer part.
Applsci 15 00292 g005
Figure 6. The 110 kV part.
Figure 6. The 110 kV part.
Applsci 15 00292 g006
Figure 7. The 220 kV bus-bs part.
Figure 7. The 220 kV bus-bs part.
Applsci 15 00292 g007
Figure 8. Line-in and line-out units. (A) Composition of Line-in unit, (B) Composition of Line-out unit.
Figure 8. Line-in and line-out units. (A) Composition of Line-in unit, (B) Composition of Line-out unit.
Applsci 15 00292 g008
Figure 9. Bus connection and bus-bs unit. (A) Composition of BC unit 1, (B) Composition of BC unit 2, (C) Composition of Bus-bs unit.
Figure 9. Bus connection and bus-bs unit. (A) Composition of BC unit 1, (B) Composition of BC unit 2, (C) Composition of Bus-bs unit.
Applsci 15 00292 g009
Figure 10. Bus unit. (A) Composition of 220 kV Bus I, (B) Composition of 220 kV Bus II.
Figure 10. Bus unit. (A) Composition of 220 kV Bus I, (B) Composition of 220 kV Bus II.
Applsci 15 00292 g010
Figure 11. Transformer unit.
Figure 11. Transformer unit.
Applsci 15 00292 g011
Figure 12. Logical relationship diagram of the substation system.
Figure 12. Logical relationship diagram of the substation system.
Applsci 15 00292 g012
Figure 13. Fragility curves of the equipment and structures.
Figure 13. Fragility curves of the equipment and structures.
Applsci 15 00292 g013
Figure 14. Convergence speed comparison between the QMC and MC methods.
Figure 14. Convergence speed comparison between the QMC and MC methods.
Applsci 15 00292 g014
Figure 15. Fitting results of the fragility curves.
Figure 15. Fitting results of the fragility curves.
Applsci 15 00292 g015
Figure 16. The fragility curves of the substation system.
Figure 16. The fragility curves of the substation system.
Applsci 15 00292 g016
Figure 17. Comparison of the calculation times of different algorithms.
Figure 17. Comparison of the calculation times of different algorithms.
Applsci 15 00292 g017
Figure 18. Frequency of the substation system with different functionalities.
Figure 18. Frequency of the substation system with different functionalities.
Applsci 15 00292 g018
Figure 19. Changes in the median capacity of the 110 kV equipment and IS.
Figure 19. Changes in the median capacity of the 110 kV equipment and IS.
Applsci 15 00292 g019
Figure 20. Changes in the logarithmic standard deviation of the 110 kV equipment and IS.
Figure 20. Changes in the logarithmic standard deviation of the 110 kV equipment and IS.
Applsci 15 00292 g020
Figure 21. Changes in the median capacity of the 220 kV equipment.
Figure 21. Changes in the median capacity of the 220 kV equipment.
Applsci 15 00292 g021
Figure 22. Changes in the logarithmic standard deviation of the 220 kV equipment.
Figure 22. Changes in the logarithmic standard deviation of the 220 kV equipment.
Applsci 15 00292 g022
Table 1. Comparison of related field studies.
Table 1. Comparison of related field studies.
SourceResearch FocusMethodologyKey Indicators
FEMA [20]Equipment damage stateProbability analysisDamage threshold
Li J [21,22]Network topology relationshipsProbability analysisConnectivity
Hwang HM [12]Network topology relationshipsFault treeConnectivity
Li JC [23]System reliabilityState treeNumber of outages
Xie Q [25,26]System recoveryMonte Carlo (MC)Number of outages
Table 2. Fragility parameters of each piece of functional equipment.
Table 2. Fragility parameters of each piece of functional equipment.
EquipmentNumber220 kVNumber110 kV
Median CapacityLog Standard DeviationMedian CapacityLog Standard Deviation
TR10.590.56///
CB20.460.7170.620.64
DS30.550.5380.660.68
LA40.650.3890.650.62
CT50.410.64100.820.60
PT60.490.36110.930.61
Table 3. Fragility parameters of each shared structure.
Table 3. Fragility parameters of each shared structure.
Shared ComponentNumberMedian CapacityLog Standard Deviation
Bus1310.35
IS140.70.42
SF151.50.35
Control room1610.35
Table 4. Fragility curve parameters for different functionalities of the substation system.
Table 4. Fragility curve parameters for different functionalities of the substation system.
FsMedian Capacity, gLog Standard DeviationR SquaredRMSE
00.295820.20630.99940.01061
1/100.295820.20620.99950.01071
2/100.269550.19890.99950.01009
3/100.269550.19870.99950.01020
4/100.235980.21680.99920.01238
5/100.208670.22430.99930.01149
6/100.183230.24930.99890.01453
7/100.182680.24490.99880.01524
8/100.144140.32710.99610.02497
9/100.135740.32160.99680.02241
Disclaimer/Publisher’s Note: The statements, opinions and data contained in all publications are solely those of the individual author(s) and contributor(s) and not of MDPI and/or the editor(s). MDPI and/or the editor(s) disclaim responsibility for any injury to people or property resulting from any ideas, methods, instructions or products referred to in the content.

Share and Cite

MDPI and ACS Style

Liu, X.; Zheng, S.; Qin, Q.; Hou, P. Seismic Reliability Evaluation Strategy for Substation Systems Based on the Quasi-Monte Carlo Simulation Method and Triangle Algorithm. Appl. Sci. 2025, 15, 292. https://doi.org/10.3390/app15010292

AMA Style

Liu X, Zheng S, Qin Q, Hou P. Seismic Reliability Evaluation Strategy for Substation Systems Based on the Quasi-Monte Carlo Simulation Method and Triangle Algorithm. Applied Sciences. 2025; 15(1):292. https://doi.org/10.3390/app15010292

Chicago/Turabian Style

Liu, Xiaohang, Shansuo Zheng, Qing Qin, and Piji Hou. 2025. "Seismic Reliability Evaluation Strategy for Substation Systems Based on the Quasi-Monte Carlo Simulation Method and Triangle Algorithm" Applied Sciences 15, no. 1: 292. https://doi.org/10.3390/app15010292

APA Style

Liu, X., Zheng, S., Qin, Q., & Hou, P. (2025). Seismic Reliability Evaluation Strategy for Substation Systems Based on the Quasi-Monte Carlo Simulation Method and Triangle Algorithm. Applied Sciences, 15(1), 292. https://doi.org/10.3390/app15010292

Note that from the first issue of 2016, this journal uses article numbers instead of page numbers. See further details here.

Article Metrics

Back to TopTop