Next Article in Journal
Bacillus subtilis Simultaneously Detoxified Aflatoxin B1 and Zearalenone
Previous Article in Journal
The Effects of an Ethics Education Program on Artificial Intelligence among Middle School Students: Analysis of Perception and Attitude Changes
 
 
Font Type:
Arial Georgia Verdana
Font Size:
Aa Aa Aa
Line Spacing:
Column Width:
Background:
Article

A Calibration Facility for Hot-Wire Anemometers in Extremely Low Speed with Air Temperature and Humidity Variable and Controllable

1
Facility Design and Instrumentation Institute, China Aerodynamics Research and Development Center, Mianyang 621000, China
2
Department of Aircraft Aerodynamics, School of Aeronautics, Northwestern Polytechnical University, Xi’an 710072, China
3
School of Astronautics, Northwestern Polytechnical University, Xi’an 710072, China
4
School of Marine Science and Technology, Northwestern Polytechnical University, Xi’an 710072, China
*
Author to whom correspondence should be addressed.
Appl. Sci. 2024, 14(4), 1587; https://doi.org/10.3390/app14041587
Submission received: 9 January 2024 / Revised: 10 February 2024 / Accepted: 12 February 2024 / Published: 16 February 2024
(This article belongs to the Section Fluid Science and Technology)

Abstract

Aimed at addressing the difficult problems existing in extremely low speed calibration facilities for hot-wire anemometers, where calibration accuracy is often insufficient and vulnerable to the contamination from temperature and humidity discrepancies between the calibration environment and the application environment, a calibration rig with a velocity range from 0.10 m/s to 1.0 m/s, an air temperature range of ambient temperature to 60 °C, and a humidity range from 20%RH to 80%RH was designed, developed, and constructed. The overall layout arrangement and the mechanical structure of the facility are illustrated. The master control system, the motion control system, the temperature and humidity control system are designed, tested and adjusted. The adjustment results are demonstrated and discussed. The analysis of the results reveals that the maximum velocity control error is 0.000989 m/s, satisfying the design target of 0.003 m/s; the corresponding maximum relative error is 0.241%, which is less than the design target of 0.4%; the maximum temperature control error is 0.9 °C, meeting the design target accuracy of 1 °C; the maximum humidity control error is 2.9%RH, which is below the design target of 4%RH. When the facility is applied to the calibration of a hot-wire anemometer, the maximum error of the fitting curves in modified King’s law is 0.02236 m/s, while that in Van der Hegge Zijnen’s formula is 0.023217 m/s, both of which satisfy the design target accuracy of 0.03 m/s. The maximum relative errors of fitting curves using the two formulas are 5.214% and 8.527%, respectively. Analysis of calibration data reveals that the discrepancy in temperature and humidity between application site and calibration site may bring errors that can reach up to 1.2676% per unit relative humidity discrepancy, and 5.672% per degree Celsius of temperature deviation, respectively.

1. Introduction

The measurement of the movement of air had its beginning in the very early days of aircraft development [1]. At present, air velocity measurement has become a very common and important activity within heating ventilation and air-conditioning, safe, comfortable and aerodynamic testing techniques [2], meteorology, aircraft building and flight, mining, precision chemical technology, medicine, ecology for monitoring harmful emissions into the atmosphere [3], dispersion of pollutants [4], and many other areas. The range of air velocities of interest is quite large even in incompressible flow regime, as they span from about 0.05 m/s, typical of natural air convection flows in a controlled room (e.g., clean rooms, the heat transfer in the confined space of a computer, ventilation, or indoor), to almost 50 m/s, typical of high speed winds in open external areas (meteorological or outdoor) [1,4,5]. There are many engineering applications in fluid mechanics that require air velocity to be measured at extremely low speeds (i.e., less than 1.0 m/s) [5].
The hot-wire anemometer (HWA) remains the first choice of researchers in measuring laminar, transitional, and turbulent flows, due to its accurate interpretation of the signal and simplicity in use [6], especially when high frequency response and temporal information on the flow are needed [7]. Traditionally, hot-wire anemometers have been used to measure mean velocity and turbulence intensity [8]. The output of HWA is obtained from a bridge-top voltage, which is determined by the convective heat transfer from the hot wire to the fluid flow around the wire [9]. Two kinds of HWAs are currently used: a constant-temperature anemometer (CTA) and a constant-current anemometer (CCA). The CTA is widely used for measurement of flow velocity and turbulence [10].
For a hot-wire probe a relationship between the magnitude, direction of the cooling fluid velocity and the voltage across the wire(s) on the probe is required to be established (i.e., to be calibrated) before the actual usage of the hot-wire probe [11]. That is, the air velocity sensors must be calibrated by means of a velocity standard (reference velocity) to know their metrological performances [2]. In addition, international (and/or national) standards agencies are defining more and more restrictive rules for the traceability and certification of instruments [4]. Thus, calibration must be performed before a hot-wire anemometer can be used in flow velocity measurement.
If a low-speed wind tunnel or nozzle is used as a calibration facility, relatively high flow velocities (e.g., greater than 4 m/s for air flows) in the calibration facility can be easily calculated from the difference between total and static pressures obtained with pressure tubes or wall taps on the facility, whereas for relatively low flow velocities (especially when velocity is less than 1.5 m/s) the calibration of hot-wire anemometers cannot be achieved using this conventional calibration rig since the pressure difference in flow is so small that the sensitivity and accuracy of pressure measurement instrumentation are decreased and make it hard to read the pressure difference accurately with a manometer, thus the measurements of airspeed from pressure difference are inaccurate [5,6,12,13]. Furthermore, air flows generated in the test section of classical wind tunnels at low fan speeds may be affected by pulsations; therefore, they are usually not steady and uniform enough to be used as measurement standards below approximately 1 m/s [4]. Consequently, a wind tunnel or a nozzle is not appropriate enough to be used as a calibration facility in extremely low speed regime (i.e., velocity < 1.0 m/s).
In such extremely low speed cases it may be tempting to extend calibration relationships obtained at higher velocity to lower velocities, but results have shown that such an approach may lead to unacceptable errors [14]. To avoid these shortcomings, several methods have been proposed to determine the reference velocity. An alternative method to calibrate anemometers at extremely low speeds is not to generate the air flow, but to mechanically translate the instrument (probe) with a velocity in nominally still air. In fact, this condition is the same as that of an anemometer immersed in a uniform flow at the same velocity, because of the reciprocity principle [4]. Thus, the calibration methods can be classified as static or dynamic, depending on whether or not the hot-wire is given a movement in addition to or instead of the fluid flow [5,13]. When the hot-wire probe stands still in the air flow, the calibration method is called static, while if the hot-wire probe moves in stagnant air, the calibration mode is called dynamic. It seems that the calibration facilities can be classified into two types: the wind-tunnel-like rigs (including jet-type nozzles, laminar pipe flow rigs) and the probe-moving-type rigs.
Dynamic methods include towing, rotating, oscillating and swinging the probe by appropriate devices in nominally stagnant air and require proper care to eliminate undesirable influences such as drafts and vibrations, while some of them are also based on certain assumptions and theoretical models [13]. These dynamic methods pay more attention to procedures for obtaining quiescent fluid and the development of control systems to ensure a constant velocity of the probe support during the calibration time period for each calibration point [14]. Besides, in dynamic methods the standard airspeed uncertainty is a function of the measurement conditions (average velocity and therefore output voltage) and the effects of secondary motions, which are the dominant factor. Indeed, even when the contributions from the other factors attain their maximum value, they are still two orders of magnitude lower than the contribution from secondary motions [4].
A major weakness of the hot-wire anemometer in application is that, even when the fluid velocity remains constant, the output of the hot-wire anemometer can vary with the fluid temperature [15]. The output signal of a CTA is related directly to the convective cooling effect of an air stream passing over the sensing element. In non-isothermal flows, the responses of a hotwire to changes in velocity and temperature are indistinguishable. As a result, temperature contamination of the sensor leads to large errors in the measured velocity [16]. Even in isothermal flow conditions in which a hot-wire anemometer is used to measure air velocity, the fluid temperature may still be different from the calibration temperature, this temperature discrepancy also brings errors in velocity measurement [10]. That is the restriction or disadvantage of a hot-wire anemometer that it is calibrated in a constant temperature flow and must be operated in a flow of identical temperature. If the temperature of the flow drifts or is intentionally changed, this is misinterpreted as a velocity change unless some allowance is made [8]. On the other hand, the heat transfer process itself is temperature dependent due to variations in the air properties with temperature—this also adds noise in the measured velocity data [17]. To overcome such a temperature dependency of the output of the hot-wire anemometers, various efforts have been made to compensate for the effect of temperature variation [15]. Therefore, whether the flow over the sensor is non-isothermal or the fluid temperature is different from the calibration temperature, to avoid large errors in the measured velocity and/or turbulence, the original calibration curve must be corrected to reflect the actual flow conditions, and compensate for the variations in the fluid temperature. For example, without temperature correction, error in the measured air velocity for each degree Celsius increase is about −1.9% [10]; at 3 m/s the relative error introduced into the velocity measurement is approximately 1.5% per degree Celsius [16]. Although correction methods for temperature compensation of a hot-wire anemometer can be established for the general case where both the air temperature and the wire temperature are varying, and the methods can predict the output from the anemometer in different air temperatures from calibration data taken only at one air temperature [17], one method to overcome the temperature contamination is to calibrate the probes separately at all the flow temperatures under investigation [16].
Another property of the fluid that can change between the calibration rig and the application site is the humidity of the air. Hence, to apply hot-wire anemometry in humid air also requires corrections to the velocity measurement if the wires were calibrated under different humidity conditions. Compared to the number of studies dealing with the effect of a varying fluid temperature on hot-wire measurements, there are few investigations available on humidity corrections, experimental or theoretical. Indeed, data on the thermodynamic and fluid transport properties of a mixture of dry air and water vapor are scarce [18]. When applying hot-wire anemometry to velocity measurements in air, it is standard practice to neglect the effect of humidity. Ref. [18] defined a corrective term to expand formulae designed for dry air to work in a humid environment, and estimated the error in velocity by omitting the influence of humidity in terms of temperature and relative humidity, revealing that the influence of the thermodynamic and transport properties of humid air on hot-wire measurements exists. Then, one solution might be to calibrate the hot-wire anemometers in different given humidity values.
Thus, to avoid temperature contamination and humidity impact on hot-wire calibration accuracy, a calibration facility should be able to operate in different specified fluid temperatures and humidity values and be able to satisfy the specification of velocity control accuracy. In other words, a calibration rig should enable velocity, temperature, and humidity to be controlled to the required values with satisfactory accuracy and maintain them at constant values for a long enough period of time.
In the past decades, various facilities including wind tunnels, nozzles, laminar pipe flow rigs, and probe-moving-type facilities for hot-wire calibration in extremely low speed regime have been built in the world. Wind tunnels, including nozzles (i.e., jet-type tunnels) and laminar pipe flow rig for hot-wire calibration, can be seen in the National Institute of Standards and Technology (NIST) in the USA [1,19,20], the Centre Technique des Industries Aérauliques et Thermiques (CETIAT) in France [2,21], the Physikalisch Technische Bundesanstalt (PTB) in Germany [2], the Instituto Nacional de Técnica Aeroespacial “Esteban Terradas” (INTA) in Spain [2], the Université Catholique de Louvain (UCL) in Belgium [2], the Nottingham Trent University in the United Kingdom (the air can be heated) [16], the Universidad Nacional de La Plata in Argentina [12], the University of Gävle in Sweden [17], the Iranian Research Organization for Science and Technology (IROST) in Iran (the air can be heated, velocity range is 5 m/s to 30 m/s) [10], the Institute of Atmospheric Physics, Chinese Academy of Sciences [22], the Institute of Metrology, Chinese Academy of Meteorological Sciences (CAMS) [23], the National Institute of Metrology, China(NIMC) [24,25], and the University of Gaziantep in Turkey (laminar pipe flow rig) [6]. The air velocity in these facilities ranges from 0.029 m/s to 75 m/s with a velocity control accuracy of 0.02 m/s (0.5% to 7.4%), a velocity uncertainty of 0.014 m/s to 0.06 m/s (1% to 10%), and a calibration fitting error of 0.018 m/s to 0.03377 m/s (4%) (see Table 1).
The probe-moving facilities for extremely low speed calibration can be found in the Italian National Institute for Metrological Research (INRIM) located at the Polytechnic University of Turin in Italy (moving carriage) [4], the Nanyang Technological University (NTU) in Singapore (moving carriage) [5], the Brighton Polytechnic in the UK (moving carriage) [26], the National Research Laboratory of Metrology (NRLM) (now National Metrology Institute of Japan, NMIJ) in Japan (moving carriage) [27], the National Institute of Metrology, China(NIMC) (moving carriage) [28], the University of Ottawa in Canada (pendulum arm) [13], the King Fahd University of Petroleum and Minerals in Saudi Arabia (horizontal swinging arm) [29], the INRIM (horizontal rotating arm) [30], the University of Bradford in United Kingdom (UK) (swinging arm) [14], the University of Gaziantep in Turkey (rotating disc) [6], and the Universität Erlangen-Nürnberg in Germany (a climate chamber with air temperature and humidity controllable) [18]. The air velocity in these facilities varies from 0.02 m/s to 36.6 m/s with a velocity control accuracy of 0.001 m/s to 0.03 m/s (0.82–7%), a velocity uncertainty of 0.012 m/s (0.82–8%), and a calibration fitting error of 0.014 m/s (2.42–15.04%) (see Table 1).
In addition, among the wind-tunnel-like calibration rigs, only the wind tunnel in CETIAT can control both air temperature and humidity simultaneously [2,21], while the jet wind tunnel of Nottingham Trent University [16], the small wind tunnel at University of Gävle in Sweden [17], and the jet wind tunnel of the IROST [10] can only control air temperature, but not humidity (IROST’s velocity range of 5 m/s to 60 m/s is beyond the extremely low speed purview of less than 1.0 m/s). Among the probe-moving calibration facilities within the extremely low velocity range of less than 1.0 m/s, no existing facility can control air temperature or air humidity. A small chamber (if it can be classified into the probe-moving facility) at Universität Erlangen-Nürnberg in Germany can control air temperature and air humidity [18], but its velocity range of 12.75 m/s to 36.6 m/s is far away from the range 0.1 m/s to 1.0 m/s, which falls within the bounds of extremely low speed (see Table 2).
So far, several problems such as the low velocity control accuracy, the unchangeableness and uncontrollability in air temperature and humidity leading to contaminations, and the secondary air motion (adverse disturbing flow, especially for the probe-moving facilities) in the design of calibration facilities for hot-wire anemometers in extremely low speed remain unsolved. More work is needed to verify the possibility in improving velocity control accuracy, and reducing temperature and humidity contamination. To promote advances in these aspects, this paper presents a probe-moving facility with a moving carriage and an enclosed chamber for the calibration of hot-wire anemometers in extremely low speed range of 0.10 m/s to 1.0 m/s with temperature and humidity being variable and controllable. It is believed that this facility is likely to enhance the velocity control accuracy since it adopts a mechanical system to produce a relative motion of the hot wire to air, leading to a more exact velocity control than the wind-tunnel-like rigs. Besides, in this facility the calibrations under any arbitrary user-specified temperature and humidity within their ranges can be performed, thus the contamination caused by temperature and humidity discrepancies would be thoroughly removed. The design requirements and targets of the calibration rig are: (1) wind velocity range: from 0.10 m/s to 1.0 m/s, velocity control accuracy: ±0.003 m/s (or ±0.4%), velocity calibration accuracy: ±0.03 m/s; (2) air temperature range: ambient atmospheric temperature to 60 °C, temperature control accuracy: ±1 °C, temperature measurement accuracy: ±0.5 °C; (3) air humidity range: from 20%RH to 80%RH (between ambient atmospheric temperature to 40 °C), humidity control accuracy: ±4.0%RH, humidity measurement accuracy: ±2.0%RH.
The extremely low speed calibration facility in this paper can be divided into several subsystems according to their functions: (1) mechanical structure system, (2) master control and motion control system; and (3) temperature and humidity control system.

2. Overall Layout and Structural Design

Because of the strengths in velocity control accuracy, the dynamic calibration method is adopted in the calibration facility design in this paper. The motion manner of the probe is selected to be rectilinear, in which a motor drives a synchronous pulley, the pulley drives a synchronous belt, and the belt pulls a carriage (in fact a flat plate) along a rectilinear guide track. The hot-wire probe strut is mounted on the carriage, and moves with the carriage. When the hot-wire probe fixed on the top of the strut moves at a constant speed, a uniform air flow toward the probe is achieved and the hot-wire anemometer is calibrated (see Figure 1).
As observed in the experiments in Ref. [4], a carriage with a blunt frontal surface will exert a severe disturbance to the air upstream of the carriage, thus in the layout design of the calibration rig in this paper, the hot-wire probe is placed in an enclosed chamber (Figure 1 and Figure 2), while all other blunt objects such as the hot-wire master computer and the acquisition computer are put on the moving carriage outside and below the enclosed chamber so that the perturbation effects of blunt bodies can be isolated from the chamber air. Besides, the enclosed chamber also facilitates the control of air temperature and humidity.
To further minimize the disturbance to the upstream air, the hot-wire strut is designed to have a cross section shape of a thin airfoil with sharp leading and trailing edges, so that there are only a thin plate strut and a probe left inside the enclosed chamber (see Figure 2b). Since the vertical probe strut is fixed to the moving flat plate carriage, which is below the chamber bottom wall and is exposed to the ambient air, the strut has to penetrate the chamber bottom wall with its upper part confined in the chamber. Besides, the strut is designed to move in a horizontal direction with the carriage, hence a slot is made on the chamber bottom wall to allow the strut to move through. Two sealing blocks made of rubber and plastic aggregate material are inserted in parallel, filling the slot and squeezing up each other to form an airtight contact slit between the two sealing blocks. The sealing blocks are flexible enough to allow the strut to pass through the slit (see Figure 2b).
Furthermore, observed on the probe, the probe-moving calibration facility with an enclosed chamber, compared with wind-tunnel-like calibration rigs, has a uniform flow coming to the probe with four side walls moving at the same speed as the uniform flow, thus the incoming flow has better uniformity and no side wall boundary layers exist, hence no side wall interference resulting from the boundary layers is produced.
The complete motion process of the moving carriage that bears a hot wire probe can be divided into three stages: acceleration stage, constant-speed stage, and deceleration-to-stop stage. The constant-speed stage is used for hot wire calibration. The total length of the three stages was estimated to be 9.26 m. Considering the safety distance margin for the carriage motion at both ends and the carriage parking space, the total length of the enclosed chamber was suggested to be 9.4 m. In view of the limited space to accommodate the facility and the manufacturing cost, the cross-section size of the enclosed chamber was selected as 0.8 m wide and 0.6 m high (see Figure 2).The enclosed chamber is supported over the carriage by 20 propping pillars which stand on a mounting platform and are fixed on it by bolts. The outer surface of the chamber bottom wall has a vertical distance of 303 mm to the top surface of the carriage, and a distance of 595 mm to the top surface of the mounting platform (see Figure 2a and Figure 3).
In the space below the enclosed chamber and above the mounting platform, two parallel guide track pedestals and two parallel guide tracks are arranged. The pedestals are welded on the top of the mounting platform, and the two guide tracks are laid and fixed on the two pedestals, respectively. The moving carriage is placed on the guide tracks by embedding sliding blocks (fixed to the lower face of the carriage) into the slots of the tracks, to ensure that the carriage only moves horizontally along the lengthwise direction of the guide tracks without jumping up and down or wagging sideways (Figure 3).
In Figure 3, most components of the mechanical structure system can be seen, e.g., the enclosed chamber, the pillars supporting the chamber, the mounting platform, the guide track pedestals, the guide tracks, the synchronous pulley, the synchronous belt, the moving flat plate carriage, and the driving motor, etc. Some devices of the temperature and humidity control system can also be found in Figure 3, which are the constant-temperature water tank, the recirculating heating/refrigerating machine, the water intake and return pipes, the humidifier, the dehumidifier, the humidification/dehumidification steam (moist air) pipes, and the control cabinet of the temperature and humidity control system, etc.

3. Master Control System and Motion Control System

3.1. Tasks and Functions of Master Control System

The master control system of the extremely low speed calibration facility is the top-level central headquarter management control system used to harmonize the operation of the whole calibration facility. It is mainly composed of computers and control software, responsible for the following tasks: starting, running and stopping the whole facility, communicating with all subsystems, giving instructions to the subsystems and directly operating the auxiliary equipment, keeping watch on the operating status of the subsystems, etc. These subsystems and auxiliary equipment include carriage motion control system, enclosed chamber temperature and humidity control system, chamber pressure balancing system, chamber monitoring system, chamber lighting, chamber air stirring fan, limit switch, hot-wire probe calibration data acquisition system, etc. The core subsystems are the motion control system and the temperature and humidity control system. A master control computer (Figure 4) can achieve the above functions. The motion control system shares the same computer with the master control system, thus the computer can display the moving velocity and position of the carriage in real time. The master control computer sets up the communication with the temperature and humidity control system, sends control instructions, and acquires the control result data through the data interface (Ethernet or RS485) and displays the data. The master computer is also responsible for the man–machine interface management of the facility, the automatic failure monitoring and the safe operation of the facility such as the user data input, the storage and output of on-site data, and curve display of the facility.

3.2. General Procedure of Calibration Process

First, the master control computer is started, and it then acquires the set values of temperature, humidity, and velocity. Further, the master control computer sends instructions to the temperature and humidity control system to start adjusting the air temperature and humidity in the enclosed chamber to approach the set values, displaying the curves of temperature and humidity variations in the control process (the detailed process is shown in the flow chart in Figure 5). At the same time, we turn on the stirring fan and pressure balancing system. When the air temperature and humidity reach the set values, we turn off the humidity control system, stirring fan, and pressure balancing system but keep the temperature control system running and the temperature and humidity at the set values and wait for at least 12 min to allow the air to become stagnant (a study on the attenuation time of air flow perturbation was performed by numerical simulation combined with experimental observation to give an attenuation time of 12 min). Then, the master control computer commands the motion control system to start, accelerates to the set velocity value, and begins constant-speed motion. With the chamber pressure, temperature and humidity kept constant, the hot-wire anemometer is warmed up in the first 2 to 3 s in the constant-speed stage. The remaining time is used to acquire the output data of the hot-wire probe, which is being calibrated. The master control computer displays the real-time temperature, humidity, and pressure in the enclosed chamber, the probe position, the carriage velocity, as well as the ambient atmospheric temperature, humidity, and pressure. After the hot-wire data have been acquired over a long enough time—equal to or longer than 3 s—the master control computer instructs the motion control system to slow down the moving carriage to rest and then let it return to the starting position and stay stationary for at least 12 min to allow the disturbed air to become stagnant for the next run of calibration. If the calibration is completed, the temperature control system is turned off. Finally, according to the calibration requirements, the data are processed, and the calibration report is presented (see Figure 5).

3.3. Motion Control System

The motion control of the calibration facility refers to the control of the moving velocity of the carriage that bears the hot-wire probe. The motion control system consists of shaft motion controller, servo motor, servo driver, retarder (speed reducer), position feedback encoder (i.e., magnetic grating displacement transducer), motion control computer and control software, etc. The motion control system also involves some components of a mechanical system such as the moving carriage, the guide tracks, the synchronous belt, and the synchronous pulley, etc.
It is the servo motor that starts the motion of the moving carriage. The synchronous belt is designed as a long-closed loop with two ends that are semi-circular in shape, and at each end one synchronous pulley is placed. One of the two pulleys is the driving pulley, and its rotation center is fixed to the output shaft of the servo motor through a retarder (speed reducer). The motor drives the driving synchronous pulley to rotate, the driving pulley drives the synchronous belt to move, and the belt tows the carriage on the guide tracks, achieving a rectilinear motion (see Figure 2 and Figure 3). In order to improve the velocity control precision, a magnetic grating displacement transducer is installed on the side face of one of the guide tracks with the corresponding magnetic read head fixed on the moving carriage. When the carriage moves, the read head has a relative motion to the magnetic grating transducer, measures the real location of the carriage, the distance it has traveled. Then the carriage velocity is calculated and fed back to the motion (velocity) control system, leading to a closed-loop control(see Figure 6).
The master control computer sends orders to start the motion control system and transmits the value of set velocity for calibration to the motion control system. The motion control system then sends the set velocity value to the motion controller via LAN bus line. The motion controller calculates the control information, converts the calculated control data into analog quantity through D/A conversion, and then outputs to the servo driver. The servo driver transforms the analog quantity into driving control signal, amplifies it in power, outputs it, and drives the servo motor. The servo motor rotates according to the specified motion law. The initial velocity value of the rectilinear motion of the carriage is converted from the angular velocity specified by the servo motor encoder, while the real distance the carriage has moved is measured by the magnetic grating transducer and is divided by the time period the motion takes to cover the distance, giving the real rectilinear motion velocity. The encoder installed on the rotating shaft of the servo motor measures the angular output of the motor, and the real rotating speed of the servo motor obtained from here is fed back to the motion controller to form an inner-level closed-loop speed control. The coded signal of the magnetic grating transducer produces the real motion velocity of the carriage. The error between the real rectilinear velocity and the set value is fed back to the servo motor encoder and the motion controller to correct the motion law of the encoder, forming an outer-level closed-loop control. Thus, the servo motor encoder and magnetic grating transducer constitute a two-level closed-loop control scheme (see Figure 6).
The motion control system is incorporated into the master control system and shares the same control cabinet, same computer, and same screens with the master control system (see Figure 4). The hardware-integrated motion controller with PMAC is the control core of the extremely low speed calibration facility. It has a powerful processing ability and can realize the complex control algorithm. With the PID parameter adjustment being incorporated, the controller can achieve a combination of fast response, eliminating steady deviation, reducing overshoot, and thus suppressing the vibration of the moving parts to a minimum level.
The motion controller is the one with a model number of Mini PMAC-PCI produced by Delta Tau company in the USA. It has a RS-232/ RS-422 serial interface, a 33 MHz 5 V PCI bus interface, a 4-channel shaft interface circuit, a clock frequency of +/−100 PPM, and a PID/notch/feed-forward servo algorithm. The servo motor has a model number of MDMF152P1U produced by Japanese Panasonic with a power of 1.5 kW. The matching servo driver accompanying the servo motor is MEDLT55SF. The APEX planetary speed reducer (with a model number of AB142-1:10) produced in Taiwan is selected as the retarder with a reduction ratio of 1:10. The MTS-M type incremental magnetic grating displacement transducer (model number: MTS-M1C0528LM20SC) and the corresponding reading head produced in Italy are chosen as the distance measuring element with an accuracy of ±15 μm and a resolution of 0.001 mm/bit.

3.3.1. Check and Verification of Distance Measurement Accuracy

In order to check, test, and verify the accuracy of the magnetic grating displacement transducer in measuring distance used in the motion control system, a dual-frequency laser interferometer named Renishaw XL-80 (produced by Renishaw company located in Gloucestershire, west of London, UK) was used on the facility assembly site (Figure 7). The laser interferometer has a measurement accuracy of 0.001 mm with a resolution of 0.0001 mm when measuring a distance of meter order magnitude along a straight line. The magnetic grating displacement transducer has a measurement accuracy of ±15 μm, as mentioned above. The distances to be measured were selected as 1000 mm, 2000 mm, 3000 mm, 4000 mm, 5000 mm, 6000 mm, 7000 mm, and 8000 mm. The dual-frequency laser interferometer was used to measure these distances as a standard. At the same time, the magnetic grating displacement transducer measured the same distances. The deviation error of the magnetic grating displacement transducer from the dual-frequency laser interferometer was obtained by comparing the distances measured by the above two instruments. Each of the eight distances was measured seven times by the two instruments. According to the analysis of the 7 sets of data measured on site, the maximum relative deviation error of the magnetic grating displacement transducer from the dual-frequency laser interferometer is 0.004%, which occurred when measuring the distances of 1000 mm and 3000 mm. Only the results of first and second runs are shown in Table 3 for demonstration. Other runs are close in magnitude to those shown here.
In error analysis theory [31], the measurement error of an instrument in measuring a physical quantity is defined as the difference between the value measured by the instrument and the true value (or best estimate) of the quantity. For the distance of L = 1000 mm, the measurement error of the magnetic grating displacement transducer can be expressed as:
δ g = L g L true ,
while the measurement error of the dual-frequency laser interferometer should be
δ i = L i L true ,
then
δ g = L g L true = ( L g L i ) + ( L i L true ) = ( L g L i ) + δ i .
Substituting the value of each term into Equation (3) gives
δ g | L g L i | + | δ i | = 0.004 % × 1000 mm + 0 . 001 mm = 0.04 mm + 0 . 001 mm = 0 . 041 mm = 41 μ m ,
Which is greater than twice the claimed accuracy of 15 μm of the magnetic grating displacement transducer. The relative measurement error will then be:
E g = δ g L true = 0.041 1000 = 0.0041 % .

3.3.2. Estimation of Accuracy of Motion Velocity Control

The velocity control accuracy not only depends on the motor speed control accuracy and the measurement accuracy of the magnetic grating displacement transducer, but also on the machining accuracy and the tension strength of the synchronous belt and the elastic deformation property of the magnetic grating displacement transducer. Ignoring the deformation of the belt and the displacement transducer and based on the distance recorded by the reading head of the magnetic grating displacement transducer (with an accuracy of ±15 μm) and the clock on the control board (the clock frequency is +/−100 PPM, i.e., parts per million, with a time error of 100 units per million time units), an analysis of the carriage motion control accuracy can be presented. When the moving carriage moves a distance ΔL in a given time period Δt, the moving velocity can be calculated as
V = Δ L Δ t ,
The motion velocity control system feeds back the difference between this velocity and the set velocity to the servo motor controller, and then adjusts the speed of the servo motor to make the carriage velocity to approach a more accurate value, which is the outer-level closed-loop control of the moving carriage velocity. According to the error transfer theory [31], the error δV in velocity V is jointly determined by the error δL) in moving distance ΔL and the error δt) in moving time Δt, and can be obtained from Equation (5)
δ V = 1 Δ t δ ( Δ L ) + Δ L ( 1 Δ t 2 ) δ ( Δ t ) = V δ ( Δ L ) Δ L V δ ( Δ t ) Δ t .
According to the check and verification in Section 3.3.1, the relative error of magnetic grating displacement transducer in measuring length is 0.0041%, and the clock frequency of 100 PPM (parts per million) gives a time error of 100 units per million units, i.e., 0.01%, from Equation (6), with each term taking the maximum value, the relative velocity error:
δ V V | δ ( Δ L ) Δ L | + | δ ( Δ t ) Δ t | = 0.0041 % + 0.1 % = 0.0141 % .

4. Temperature and Humidity Control System

4.1. Functions of Temperature and Humidity Control System

The temperature and humidity control system mainly controls and monitors the air temperature and humidity in the enclosed chamber. Its main functions include:
(1)
Display the temperature, humidity in the enclosed chamber and operating state of the system, and realize man–machine interaction through the touch screen;
(2)
Control the constant-temperature water tank, recirculating heating/refrigerating machine, and control the on/off of solenoid valves over the water supply (intake) pipeline/water return pipeline and other waterways to accomplish the accurate temperature control in the enclosed chamber;
(3)
Control the humidifier or recirculating dehumidifier, and control the on/off of the solenoid valves over the steam pipeline to achieve the precise control of the humidity in the enclosed chamber;
(4)
Monitor the air temperature and humidity in real time in the enclosed chamber, display the distribution of temperature and humidity, and let the operators know whether the temperature and humidity in the enclosed chamber meet the calibration conditions;
(5)
Communicate with, obey the management of, execute the operation instructions from, and feedback status parameters such as temperature and humidity in the enclosed chamber to the master control computer.

4.2. Hardware Components of Temperature and Humidity Control System

The hardware of temperature and humidity control system includes (Figure 8): (1) constant-temperature water tank; (2) Recirculating heating/refrigerating machine; (3) Humidifier; (4) Recirculating dehumidifier; (5) Heating/cooling water supply (intake) pipes and water return pipes; (6) Heat transfer copper tubes; (7) Humidification/dehumidification steam pipes; (8) Industrial control computer and display; (9) Temperature and humidity transducer (eight transducers are arranged to measure the temperature and humidity distribution in the enclosed chamber); and (10) Temperature and humidity control cabinet. Figure 9 shows a photograph of the control cabinet and devices of the temperature and humidity control system.
The temperature and humidity control system is in fact associated to some extent with the mechanical structure system, at least with some components, e.g., the heat-conducting inner wall of the enclosed chamber, the heat insulation layer, the heating (cooling) water intake/return pipes, and the heat transfer copper tubes, etc. Of course, theses components can also be classified into temperature and humidity control system. The outer wall of the enclosed chamber is a 4 mm thick steel plate, serving to stabilize and maintain the shape of the enclosed chamber. The inner wall of the enclosed chamber is a 3 mm thick aluminum plate with copper tubes of an inner diameter of 10 mm and a wall thickness of 1mm laid on its outer surface. Hot (cold) water circulates through these copper tubes to heat (or cool) the inner wall, which in turn affects the air temperature within the enclosed chamber (see Figure 1). A rubber and plastic aggregate insulation layer of 72 mm thickness is placed between the inner and outer walls to prevent heat leakage.
The constant-temperature water tank was developed in China. The tank has an operating temperature range of ambient atmospheric (room) temperature to 98 °C and a temperature control accuracy of ±0.3 °C. The recirculating heating/ refrigerating machine produced by German company JULABO (located at Seelbach, Germany) was selected, which can heat or refrigerate circulating water and has a temperature range of −35 °C to 200 °C and a temperature stability of ±0.01 °C. The RS electrothermal humidifier from Swiss Cond air company (located at Zurich, Switzerland) was adopted, which has a humidity range from10%RH to 90%RH and a stable control accuracy of ±3%RH. The dehumidifier is the Air Blue AT400, which was produced by Sweden company SWEGON and has a working humidity range from 0 to 100%RH with a dehumidification capacity of up to 1.6 kg/h. The temperature and humidity transducer utilized was produced by Beijing HuakongXingye Technology Development Co., Ltd. (located in Beijing, China), it integrates Swiss SENSIRION (located in Staefa, Switzerland) high precision temperature and humidity sensor, has a temperature measurement range from −40 °C to 85 °C, a humidity measurement range from 0 to 100%RH, a temperature measurement accuracy of ±0.3 °C, and a humidity measurement accuracy of ±2.0%RH.

5. Regulation Test of Facility

5.1. Adjustment Test of Motion Control System

After the installation adjustment of hardware and software, the velocity control of the moving carriage in the constant-speed stage was tested and examined. A total of 10 set velocity values, 0.1 m/s, 0.2 m/s, 0.3 m/s, 0.4 m/s, 0.5 m/s, 0.6 m/s, 0.7 m/s, 0.8 m/s, 0.9 m/s, and 1.0 m/s, were selected. At each set velocity, the data acquisition lasted 6 s with a frequency of 1000 Hz and a total number of acquisition times of 6000, where the velocity values were averaged every 60 ms, and a total of 100 velocity data were obtained. Figure 10 shows the velocity variation (100 sequential values) with time under the control of the motion control system within constant-speed stage at each set velocity. The fluctuation in velocity is seen to be small and is all less than 0.0005 m/s, except at velocity 0.7 m/s at which the initial fluctuation reaches a maximum value of 0.000989 m/s, which is also the maximum under all the set velocities.
By processing the 100 velocity values Vi (i = 1, 2, 3, …, 100) at each set velocity, the average velocity Vavg, the root mean square error of the velocityσV, the maximum of all the deviations of the measured (i.e., controlled by the motion control system) velocity values from the average value |ViVavg|max, the maximum of all the deviations of the measured (controlled) velocity values from the set value|ViVset|max, and the absolute difference between the average velocity and the set velocity |VavgVset| can be obtained:
V avg = i = 1 n V i n ,
σ V = i = 1 n ( V i V avg ) 2 n 1 ,
| V i V avg | max = max i ( | V i V avg | ) ,
| V i V set | max = max i ( | V i V set | ) .
The corresponding relative errors are σV/Vavg, |ViVavg|max/Vavg, and |ViVset|max/Vset, |VavgVset|/Vset.
The calculated absolute errors yielded from data processing at each of 10 set velocities are shown in Table 4, while the corresponding relative errors are listed in Table 5. Table 4 reveals that within the whole calibration velocity range of 0.1 m/s to 1.0 m/s, the maximum value of σV is 0.000175 m/s and the maximum value of |ViVavg|max is 0.0009778 m/s, indicating that the velocity distribution in time direction at each set velocity has good uniformity. Among all the 10 set velocities, the maximum of |ViVset|max is 0.000989 m/s, which satisfies the velocity control target accuracy 0.003 m/s. In the whole calibration range of velocity, the relative root mean square error of the velocity σV/Vavg ranges from 0.012% to 0.108% (Table 5) with a maximum of 0.108%. The maximum relative deviation of the controlled real velocity from the set velocity is 0.241% which occurs at velocity 0.1 m/s and is one order higher in magnitude than 0.0141%, the estimated error in Section 3.3.2. Obviously, the conditions for error estimation are more idealized, not counting in random errors. The maximum relative error 0.241% meets the design target accuracy 0.4%.

5.2. Adjustment Test of the Temperature and Humidity Control System

The temperature and humidity in the enclosed chamber are measured by a temperature and humidity transducer, which integrates temperature and humidity measuring functions into a unity. Eight transducers are installed on the two side walls of the enclosed chamber with four on each side along the length of 9260 mm of the chamber. They perpendicularly penetrate the side walls and enter the chamber 120 mm, located at a height of either 420 mm or 520 mm alternately, where an intermediate height between the two heights is the one at which the hot-wire probe moves (see Figure 11). Seen from the starting point of the carriage motion, the transducers on the left side wall are arranged in a sequence of “high-low-high-low” mode in height, numbered 1, 2, 3, and 4, while the transducers on the right side wall are placed in a sequence of “low-high-low-high” mode in height, numbered 8, 7, 6, and 5 (in Figure 11, the top wall and the two end walls are removed for convenient observation).

5.2.1. Adjustment Test of Temperature Control System

Heating the air in the enclosed chamber from a certain temperature to a set temperature Tset and examining the heating performance of the temperature control system, i.e., the temperature spatial distribution characteristics and the capability to maintain a constant set temperature, are a basic procedure to assess the temperature control system. The parameters that quantitatively represent the heating performance are as follows: the average of the measured temperature values at n locations (n = 8), the root mean square deviation of the n temperatures from the average, the maximum deviation of the n measured temperatures from the average, the maximum deviation of the n temperatures from the set temperature, and the difference between the average and the set temperatures:
T avg = i = 1 n T i n ,
σ T = i = 1 n ( T i T avg ) 2 n 1 ,
| T i T avg | max = max i ( | T i T avg | ) ,
| T i T set | max = max i ( | T i T set | ) .
Among these parameters, |TiTavg|max combined with σT can represent the spatial uniformity of temperature distribution in the enclosed chamber, while |TiTset|max and |TavgTset| can characterize the accuracy or precision of temperature control. In addition, another two parameters are important in appraising temperature control ability of the system, one is the time (tr,T) required for the control system to adjust the temperature to reach the set value, the other is the time (tm,T) in which the system can maintain the temperature at a constant set value after the temperature has reached it.
The adjustment test of temperature control system involved the following five heating experiments: room temperature to 30 °C, 30 °C to 40 °C, 40 °C to 50 °C, 50 °C to 60 °C, and room temperature to 60 °C. Only two typical heating processes are presented here to exhibit the heating control characteristics, namely, 30 °C to 40 °C, and 50 °C to 60 °C. Figure 12 shows the temperature variation curves of eight transducers during the heating process from real initial temperature 29.9 °C to the set temperature 40 °C. The temperature curves show that when the air was heated to time t = 4500 s (75 min), eight temperatures and their average met condition |TTset| < 0.5 °C. This condition was maintained at least to 5700 s, that is, the chamber at least maintained constant temperature for 5700 s − 4500 s = 1200 s = 20 min. In the figure, “Upper” and “Lower” represent the upper and lower limits (i.e., maximum and minimum) of the temperature values permitted by the design criteria, i.e., 40 °C ± 0.5 °C).
Figure 13 shows the temperature evolution history during the heating process from the real initial temperature 49.8 °C to the set temperature 60 °C. The figure indicates that when the enclosed chamber was heated to t = 5200 s (86.67 min), the eight temperatures and their average satisfied |TTset| < 0.5 °C, but only maintained this situation to 5500 s at which the No. 4 transducer jumped out of the criterion |TTset| < 0.5 °C. If the judgment criterion was changed from |TTset| < 0.5 °C to |TTset| < 1.0 °C, then at t = 3500 s (58.33 min), the eight temperatures and their average met |TTset| < 1.0 °C, and maintained |TTset| < 1.0 °C to t = 6060 s, thus the temperature can be kept constant at least for 6060 s − 3500 s = 2560 s = 42.67 min. In Figure 13, the “Upper” and “Lower” represent 60 ± 0.5 °C instead of 60 ± 1 °C.
Table 6 presents the heating performances of all five heating processes. The “±numbers” attached after the average temperature Tavg in the table indicates the fluctuation of the average temperature during constant temperature maintenance stage after eight temperatures had reached each set temperature, and the fluctuation does not exceed 0.5 °C. As can be seen from Table 6, after a period of time (tr,T, between 58 min and 123 min) of heating, the eight temperatures and their average can reach each set temperature according to a certain criterion. For the first three set temperatures, a higher criterion |TTset| < 0.5 °C can be met, while for the last two set temperatures involved with 60 °C, the design target |TTset| < 1.0 °C can be satisfied. The time needed for the temperature to reach the set value is less than 100 min in most cases and a little greater than 120 min in one case. It can also be found in Table 6 that in all five cases, the temperature can be kept constant for a long enough time (tm,T, between 20 min and 36 min) after reaching each set temperature. The results given in the table are only a segment of time recorded in the adjustment test. It is believed that the temperature would be kept constant longer if heating and record were continued. This constant-temperature maintaining time is sufficient for the hot-wire calibration at specified temperatures.
Table 7 lists the spatial distribution characteristic parameters of temperature at the moment when the eight temperatures reach the set value in each of the five cases according to the error requirements (|TTset| < 0.5 °C or |TTset| < 1 °C), where the maximum in the five values (five Tset conditions) of |TiTavg|max is 0.8 °C, while the maximum of σT is 0.279 °C. The maximum of five|−Tset|max values equal to 0.9 °C < 1 °C shows that the temperature values of all eight points meet the design target of control accuracy ±1 °C.

5.2.2. Adjustment Test of Humidity Control System

Under a certain set temperature (assuming that the air temperature has been adjusted to the set value, and is being kept constant), the operators start the humidity control system(humidification or dehumidification).When the humidity reaches the set value, the humidity control system and the stirring fan will be turned off but with the temperature control system still running to keep the temperature at its set value (the humidity is supposed to remain constant after it has reached its set value if the temperature keeps unchanged and no air leak occurs). The main considerations in assessing the performance of the humidity control system are the spatial distribution characteristics of the humidity field and the ability of the system to maintain constant humidity. The parameters that quantitatively depict the performance of the humidity control system are as follows: the average of the measured humidity values at n locations (n = 8), the root mean square deviation of the n humidity values from the average, the maximum deviation of the n measured humidity values from the average, the maximum deviation of the n humidity values from the set humidity, and the difference between the average and the set humidity values:
H avg = i = 1 n H i n ,
σ H = i = 1 n ( H i H avg ) 2 n 1 ,
| H i H avg | max = max i ( | H i H avg | ) ,
| H i H set | max = max i ( | H i H set | ) .
In these parameters, |HiHavg|max combined with σH can represent the spatial uniformity of humidity distribution, while |HiHset|max and |HavgHset| can characterize the accuracy or precision of humidity control. Besides, there are two index parameters to assess the humidity control ability of the system, one is the time (tr,H) needed to regulate the humidity to the set value, the other is the time (tm,H) within which the system keeps the chamber humidity constant at the set value after it has been reached.
Three temperature values, T = ambient atmospheric (room) temperature, 30 °C, and 40 °C were selected as the set temperatures. Under each set temperature, three humidity values, H = 20%RH, 60%RH, and 80%RH were chosen as the set (target) humidity values. They constituted nine cases of parameter combination under which the humidity control system was examined. Here the results of only three cases among the nine are presented to illustrate the ability of the humidity control system: ① T = ambient atmospheric temperature, H = 20%RH, ② T = 30 °C, H = 60%RH, and ③ T = 40 °C, H = 80%RH.
For the case T= ambient atmospheric temperature(T = 21.5 °C at the starting moment) and H = 20%RH, no change in temperature was required, thus the initial (starting) humidity was exactly the ambient atmospheric humidity of 42.7%RH. In view of the situation that the set (target) humidity 20%RH was lower than the initial humidity, the dehumidifier needed to be started. The moment to start the dehumidifier was set as t = 0 s. Figure 14 shows the variation process of humidity values at eight points and their average with time. As can be seen from the figure, when the dehumidifier worked to t = 2110 s (35.17 min), the eight humidity values and their average all met |HHset| < 4%RH, which means that the humidity in the enclosed chamber reached the set value. During the period from t = 2110 s to 3125 s (3125 s – 2110 s = 1015 s = 16.92 min), the humidity values of the eight locations and their average maintained constant under the criterion of |HHset| < 4%RH, and the control result had no overshoot (In Figure 14, the “Upper” and “Lower” represent the upper and lower limits of humidity values permitted by the design criteria, similar for the subsequent figures.).
For the adjustment test under temperature 30 °C, the set (target) humidity was 60%RH, while the initial humidity was 19.2%RH.Since the target humidity was higher than the initial value, the humidifier needed to be started. Figure 15 shows the humidity evolution history from the initial value 19.2%RH to the target value 60%RH. It can be seen from the figure that when the humidification arrived at t = 1000 s (16.67 min), the 8 humidities and their average all satisfied |HHset| < 4%RH, which implies that the humidity in the enclosed chamber reached the set value. In the period from t = 1000 s to 2700 s, the 8humidity values and their average maintained constant under the criterion of |HHset| < 4%RH without overshoot, and the duration to keep constant humidity is at least 2700 s − 1000 s = 1700 s = 28.33 min.
For the humidity adjustment case under temperature 40 °C, the target humidity was 80%RH, and the initial humidity is 57.1%RH. The humidifier needed to be started to increase the humidity. Figure 16 presents the humidity variation with time. It is found that when the humidification lasted to t = 1330 s (22.17 min), the eight humidities and their average all met |HHset| < 4%RH, which signifies that the humidity in the enclosed chamber reached the set value. In the period from t = 1330 s to 2700 s, the eight humidities and their average maintained constant under the standard of |HHset| < 4%RH without overshoot, and the duration to keep humidity constant is at least 2700 s − 1330 s = 1370 s = 22.83 min.
Table 8 gives the characteristic parameters obtained from the nine cases of humidity control adjustment tests. In the table, the “±numbers” attached to the average humidity value (Havg) represents the fluctuations of Havg during the constant humidity maintenance period of time after the humidity reached the set value (under the criterion of |HHset| < 4%RH), where the fluctuations do not exceed 1.7%RH. As shown in Table 8, the humidity in the enclosed chamber can be adjusted from the initial humidity to the set humidity according to the design criterion |HHset| < 4%RH via humidification or dehumidification after a period of time tr,H (between 10 and 80 min) under a specified set temperature. The longest time needed for the humidity to reach the set value is 80 min. After the humidity reaches the set value, the constant humidity can be maintained for a long enough time tm,H (between 13.67 min and 90 min). The results given in the table are only a segment of time recorded in the adjustment test. It is believed that the humidity will be kept constant longer if record is continued. This constant-humidity maintaining time is sufficient enough to carry out calibration operation under the set temperature and set humidity.
Table 9 lists the spatial distribution characteristics of the humidity the moment when the humidities at eight points and their average reached the set value in accordance with the design target error criterion |HHset| < 4%RH. As can be seen from the table, only at Tset = 30 °C, when the humidity is regulated from 58.5%RH to 20%RH, |HiHavg|max has a maximum value 2.3%RH (<4%RH), and in the other cases |HiHavg|max ranges from 0.8%RH to 1.3%RH, while all σH are within a range of 0.0935%RH to 0.8474%RH, indicating that the uniformity of the humidity field is good. From the perspective of all |HiHset|max ≤ 2.9%RH < 4%RH, the humidities of the eight points all meet the control accuracy design target of 4%RH.

6. Application in Hot Wire Calibration

6.1. HotWire Calibration

The Dantec Streamline constant-temperature hot-wire anemometer (Figure 17) owned by the NF-6 Pressurized Continuous Transonic Wind Tunnel Laboratory at the Northwestern Poly technical University was selected as the anemometer to be calibrated in the extremely low speed calibration facility presented in this paper to appraise the calibration ability of the facility. The hot-wire anemometer is a multi-channel anemometer equipped with 55P11 probe. The straight probe with only one single wire with one channel was used in the calibration and the wire has a length of 1.25 mm and a diameter of 5 μm. The calibration was conducted at each of the following 10 velocities: 0.1 m/s, 0.2 m/s, 0.3 m/s, 0.4 m/s, 0.5 m/s, 0.6 m/s, 0.7 m/s, 0.8 m/s, 0.9 m/s, and 1.0 m/s consecutively at a set humidity value under one of the 3 specifiedtemperatures: 30 °C, 40 °C, and 60 °C.Undereach of 30 °C and 40 °C, the humidity was set as 20%, 60%, and 80%, respectively, while under 60 °C, the humidity was specified as the ambient atmospheric humidity at the test site. A calibration is normally performed at a specified velocity under a specified temperature and a specified humidity.
The general procedure of calibration was described in Section 3.2. Normally, the temperature control system is first started, and then after the temperature in the enclosed chamber reaches the set temperature, the humidity control system is started. After the temperature and humidity are controlled to set values, the humidity control system and the stirring fan are turned off but with the temperature control system still running to keep the enclosed chamber temperature constant at the set value, while the chamber humidity is supposed constant if the temperature remains constant and there is no air leak. The temperature and humidity are kept constant, and the operators wait for 12 min for the disturbed air to return to stagnation. In fact, a 12-min time interval between any 2 consecutive calibration runs is necessary to allow the disturbed air to calm down. When the air becomes quiescent under constant temperature and humidity, the motion velocity control is started. When the set velocity is reached, the condition for the calibration of hot-wire anemometers is ready. In the present calibration, the velocity data were acquired continuously for 6 s within the constant-speed stage at each set velocity (under a specified temperature and a specified humidity) with an acquisition frequency of 1000 Hz for a total of 6000 times, and the velocity values were averaged every 60 ms to obtain 100 mean velocity data. The 100 velocity values Vi (i = 1 to 100) were averaged to obtain the average velocity Vavg, and the average velocity value was used as the calibrated velocity value under each set velocity. The root mean square error σV and the relative error σV/Vavg of the 100 velocity values can be further calculated by using the data processing formulas Equations (7) and (8) in Section 5.1. In fact, the root mean square error σV and the relative error σV/Vavg obtained here from the calibration data have little difference from those listed in Table 4 and Table 5 obtained in the adjustment test of velocity control system (see Section 5.1).
At the same time the output of voltage value E from the hot-wire anemometer was synchronously acquired at the same acquisition frequency of 1000 Hz for 6 s with a total of 6000 times. The voltage values were averaged every 60 ms to obtain 100 mean voltage data. These 100 mean voltage values Ei (i = 1 to 100) were averaged again to obtain average voltage Eavg corresponding to the average velocity Vavg. The root mean square error σE and the relative error σE/Eavg of 100 voltage values can be further calculated as
E avg = i = 1 n E i n ,
σ E = i = 1 n ( E i E avg ) 2 n 1 ,
The 10 average velocity values (Vavg) and the 10 corresponding voltage values (Eavg) form a discrete functional relationship E vs. U ( U represents the velocity V). The relationship can be drawn into a curve, i.e., fitted to an analytical continuous curve. The best known and most commonly used fitting function is the modified King’s law, i.e.,
E 2 = a + b U n ,
where a, b, and n are constants. A calibration can also be regarded as finding the value of the constants a, b, and n for each fitting curve under different temperature and humidity values.
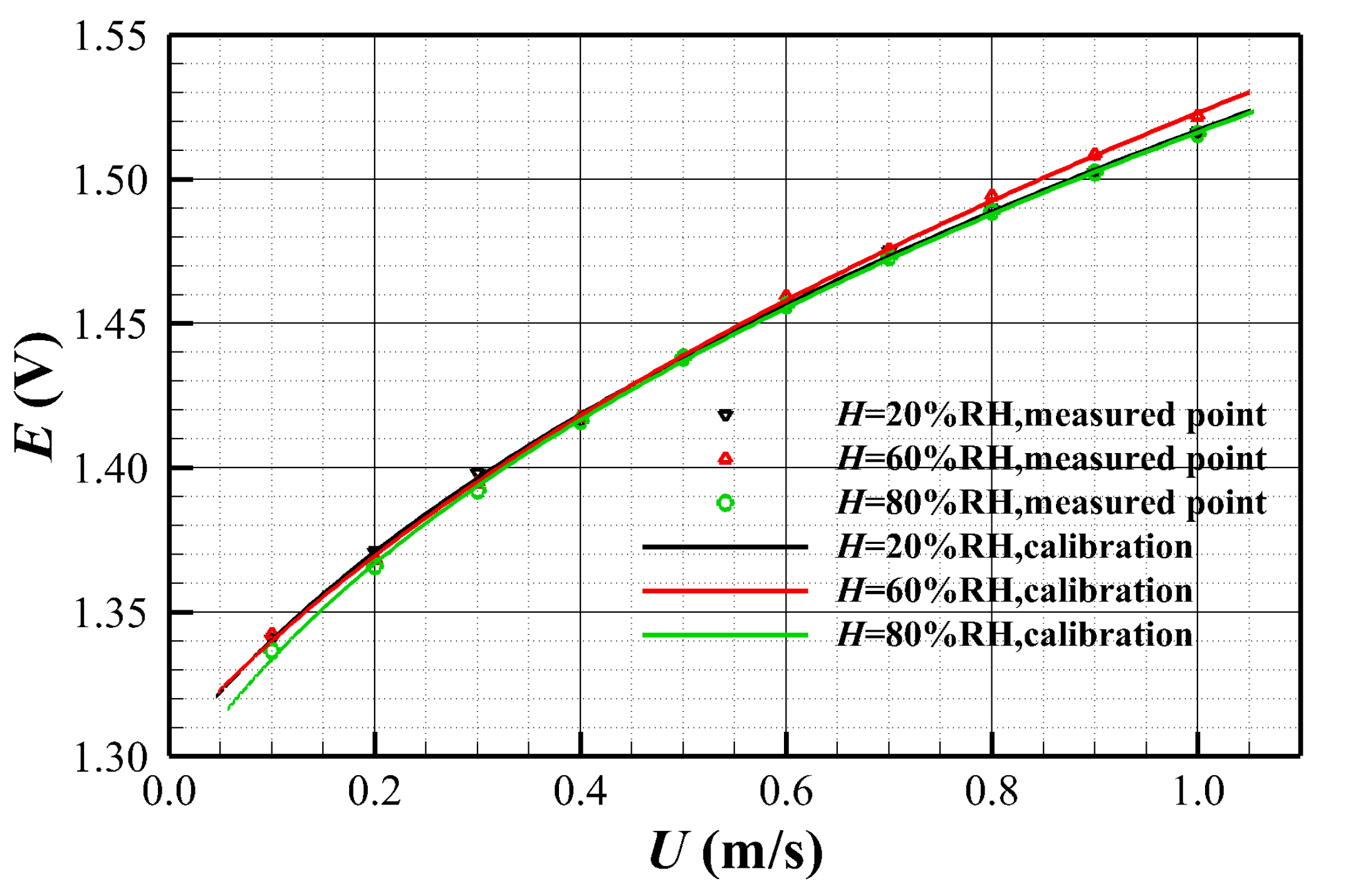
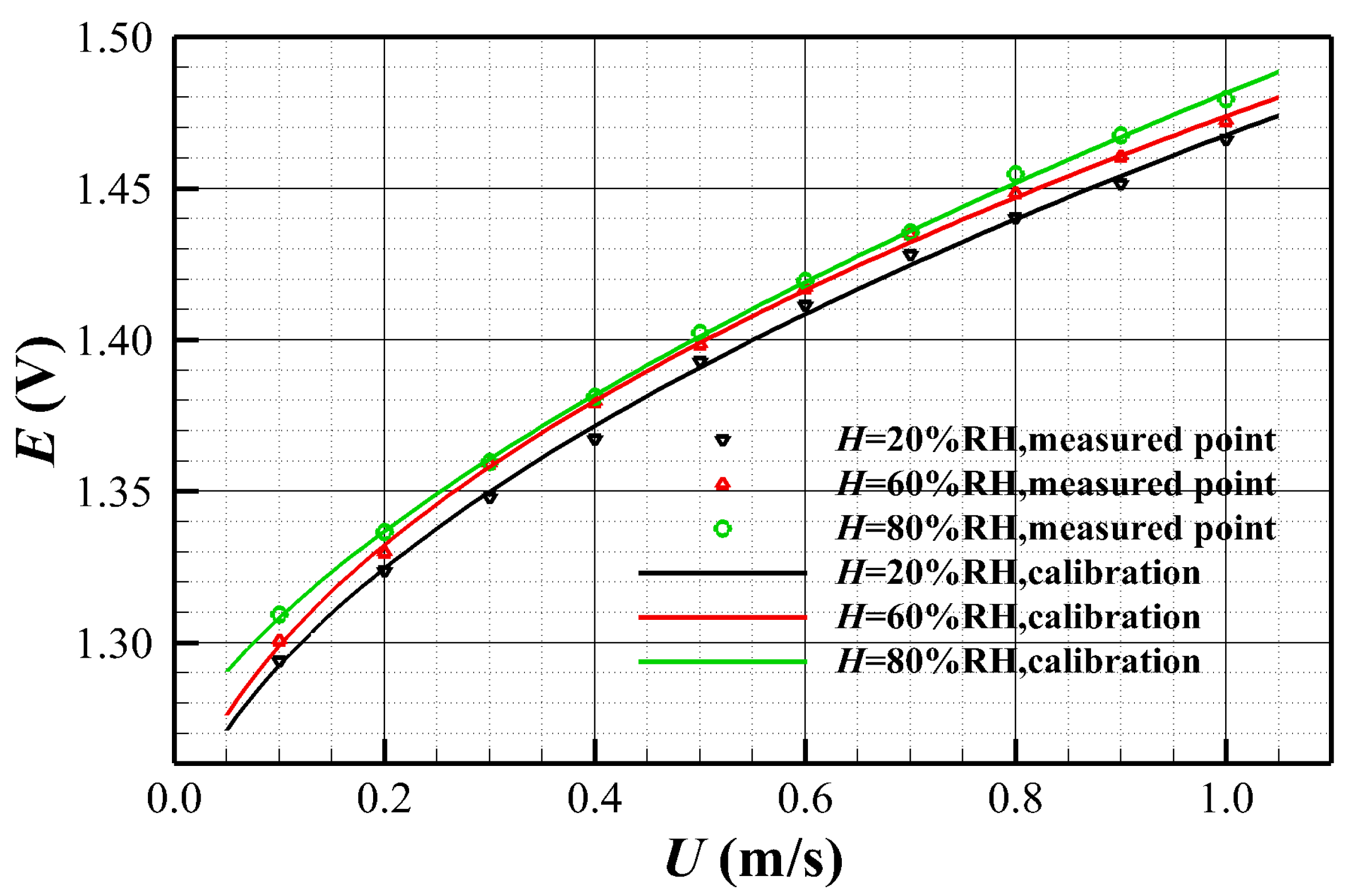
Figure 18 presents the calibrated velocity points and corresponding fitting curves fitted by modified King’s law formula at 3 different humidity values H = 20%RH, 60%RH, and 80%RH, respectively, under the same temperature T = 30 °C. Figure 19 shows the calibrated velocity points and the corresponding fitting curves at 3 different humidity values H = 20%RH, 60%RH, and 80%RH, respectively, under the same temperature T = 40 °C. Figure 20 gives the velocity points and fitting curve under temperature T = 60 °C and humidity H = 19%RH. The humidity H = 19%RH is a value that naturally evolved from the ambient atmospheric humidity value as the temperature was changed from atmospheric value to 60 °C without being humidified or dehumidified. The figures reveal that the fitting curves fit the calibrated velocity points very smoothly.
Table 10 summarizes the values of constants a, b, and n of the fitting curves at different humidity values under three temperatures. The values of n are between 0.5578 and 0.7074, which agrees with the statement of Ref. [13] that “if a calibration is restricted to the range U < 1 m/s, values of n in the range from 0.5 to 1 would be more appropriate”. Table 11 exhibits the deviation between the velocity estimated via the fitting curve by the hot-wire output voltage (i.e., drawing a straight line perpendicular to the E axis and passing through the point of the output voltage value on the E axis in the E vs. U diagram, then the intersection point of the straight line and the E vs. U fitting curve gives the velocity to be determined) and the real velocity controlled by the motion control system at the same output voltage value under each parameter combination of set (nominal) velocity, set temperature, and set humidity. Table 12 shows the maximum of the absolute value of the velocity deviations under all the set temperatures and set humidity values at each set velocity (i.e., the maximum absolute value of the deviations in each line in Table 11), which represents the calibration error of the fitting curve at each set velocity and varies from 0.00512 m/s to 0.02236 m/s, giving a maximum value of 0.02236 m/s that satisfies the calibration accuracy target 0.03 m/s. The maximum relative fitting error is 5.214%.
At velocities as low as 1 m/s natural convection is significant and must be taken into account in the relationship describing the heat transfer from the wire. A number of researchers have considered the effects of natural and forced convection, while Van der Hegge Zijnen [32] have investigated natural and mixed convection regimes, and proposed a new formula in fitting the calibration data for mixed natural and forced convection [26]
E 4 + A E 2 + B = C U ,
where the constants A, B, and C are determined from the calibration data. This paper also uses Van der Hegge Zijnen’s formula to fit the calibration data obtained above.
Figure 21 presents the calibrated velocity points and corresponding fitting curves fitted by Van der Hegge Zijnen’s formula at 3 different humidity values H = 20%RH, 60%RH, and 80%RH, respectively, under the same temperature T = 30 °C. Figure 22 shows the calibrated velocity points and the corresponding fitting curves at 3 different humidity values H = 20%RH, 60%RH, and 80%RH, respectively, under the same temperature T = 40 °C. Figure 23 gives the velocity points and fitting curve under temperature T = 60 °C and humidity H = 19%RH. The figures reveal that the fitting curves fit the calibrated velocity points very smoothly.
Table 13 presents the values of constants A, B, and C of the fitting curves at different humidity values under three temperatures. Table 14 exhibits the deviation between the velocity estimated via the fitting curve by the hot-wire output voltage and the real velocity controlled by the motion control system at the same output voltage value under each parameter combination of set (nominal) velocity, set temperature, and set humidity. Table 15 shows the maximum of the absolute value of the velocity deviations under all the set temperatures and set humidity values at each set velocity (i.e., the maximum absolute value of the deviations in each line in Table 14), which represents the calibration error of the fitting curve at each set velocity and varies from 0.007343 m/s to 0.02322 m/s, leading to a maximum value of 0.02322 m/s that meets the calibration accuracy target 0.03 m/s. The maximum relative fitting error is 8.527%. Compared to 0.02236 m/s and 5.214%, the maximum fitting errors of modified King’s law and the maximum fitting errors of Van der Hegge Zijnen’s formula (0.02322 m/s and 8.527%) look larger, indicating that the latter is not superior to the former, as claimed by Ref. [26] which stated that the use of Van der Hegge Zijnen’s formula “compromises much of the inherent accuracy of the rig”.

6.2. Influence of Temperature and Humidity Discrepancies

In Figure 18 we assume that the hot-wire anemometer outputs a series of values of hot wire voltage E = 1.33, 1.35,…, 1.50, and 1.52 when used in measuring flow velocity in a flow that has a temperature of T = 30 °C and a humidity of H = 20%RH, 60%RH, and 80%RH, respectively, then the points where the horizontal lines of E = 1.33, 1.35, …, 1.50, and 1.52 intersect the fitting curves of H = 20%RH, 60%RH, and 80%RH will give the measured velocity values (as presented in Table 16) under the corresponding flow temperature and humidity conditions. Further, if the hot wire had only been calibrated at humidity of H = 20%RH under T = 30 °C but not done at any other humidity values, and it was then used to measure flow velocity in a flow which had a different humidity of H = 60%RH or 80%RH and the same temperature T = 30 °C, then the measured velocity could only be extracted from the fitting curve of H = 20%RH via the output voltage values, which would lead to false measured velocity values. The velocity deviation errors ΔU between the false and true values resulting from the humidity discrepancies (between 20%RH and 60%RH, or between 20%RH and 80%RH) will be equal to the velocity derived from the fitting curve of 20%RH minus the velocity derived from that of 60%RH (or 80%RH) in Figure 18, which are calculated in Table 16. From Table 16 it can be seen that if the fitting curve of 20%RH (at T = 30 °C) is used to provide measured velocity value of a flow with a humidity of 60%RH (or 80%RH) at the same T = 30 °C, the error in measured velocity will be in a range from 0.893% to 3.768% at a humidity of 60%RH (or from 0.726% to 20.225% at a humidity of 80%RH). The maximum error within the velocity range from 0.1 m/s to 1.0 m/s (corresponding to E = 1.35 to 1.50) is 3.245% over a humidity discrepancy of 40%RH (at 60%RH) and 10.811% over a humidity discrepancy of 60%RH (at 80%RH), contributing an error of 0.0811% and 0.18% per percentage point of relative humidity discrepancy, respectively.
Similarly, as can be seen in Figure 19 when the fitting curve of H = 20%RH (under T = 40 °C) is used in measuring flow velocity in a flow with a humidity of 60%RH or 80%RH under T = 40 °C, the errors in measured velocity (ΔU) are the difference between the velocity extracted from the fitting curve of H = 20%RH and that of H = 60%RH or H = 80%RH at hotwire voltage E = 1.30, 1.33, …, 1.45, and 1.47, respectively. The velocity values and corresponding errors are shown in Table 17. The relative errors are in a range from 5.436% to 19.048% over a humidity discrepancy from 40%RH (at 60%RH) and 10.262% to 76.056% over a humidity discrepancy of 60%RH (at 80%RH), providing a maximum error of 19.048% and 76.056%, respectively. The error per percentage point of relative humidity discrepancy is 0.4762% and 1.2676%, respectively.
In fact, the velocity values in Table 16 (T = 30 °C) minus those in Table 17 (T = 40 °C) at corresponding positions (meaning the same output voltage values E = 1.33, …, 1.47 and the same humidity (H) values) will yield the error in measured velocity if the fitting curves of T = 30 °C are used to predict the velocity values when the hot wire is applied to measure the flow velocity at a different temperature T = 40 °C (under the same humidity value H = 20%RH, 60%RH, and 80%RH, respectively). The errors and the corresponding relative errors are exhibited in Table 18, they are in a range of 33.46% to 67.73% at humidity H = 20%RH, 31.62% to 64.64% at humidity H = 60%RH, and 25.35% to 49.73% at humidity H =80%RH. If restricted to the velocity range from 0.1 m/s to 1.0 m/s (corresponding to E = 1.35, …, 1.47), the maximum errors are 56.72%, 49.43%, and 42.41%, respectively, at 3 humidity values. The maximum error per degree Celsius discrepancy might be in an order of magnitude from 4.241% to 5.672%.

7. Conclusions

Through the description of the design concept, the structure and sub-systems of a probe-moving calibration facility for hot-wire anemometers in extremely low speed regime, and via the analysis of the results of the facility adjustment tests and the calibration results of a hot-wire anemometer in the facility, the following conclusions can be drawn:
(1)
The air velocity of the calibration facility can vary from 0.10 m/s to 1.0 m/s, the air temperature can be controlled to a specified value within a range of ambient atmospheric temperature to 60 °C, and the air humidity can be adjusted to a set value within an interval of 20%RH to 80%RH (at a constant temperature from ambient value to 40 °C);
(2)
The velocity control accuracy of the calibration facility in this paper is 0.000989 m/s and 0.241%, which satisfy the design target ±0.003 m/s and ±0.4%, respectively;
(3)
The maximum error of the temperature control of the facility is 0.9 °C, meeting the design target ±1 °C; The maximum error of the humidity control is 2.9%RH, satisfying the design target 4%RH;
(4)
The errors of the fitting curves of calibration using modified King’s law and Van der Hegge Zijnen’s formula in the present facility are 0.02236 m/s, and 0.023217 m/s, respectively, satisfying the calibration accuracy design target of 0.03 m/s. The corresponding relative fitting errors with the two formulas are 5.214% and 8.527%, respectively. It appears that the modified King’s law yields better results;
(5)
The difference in humidity or temperature between the calibration environment and the application environment may bring certain or noticeable errors in measured velocity. Under the same temperature, if the fitting curve of one humidity value is used to predict the measured velocity of a flow with another humidity value, the maximum error in measured velocity may reach an order of magnitude of 1.2676% per percentage point of relative humidity discrepancy. Under the same humidity if the fitting curve of one temperature is used to obtain the measured velocity of a flow with another temperature, the maximum error per degree Celsius of temperature discrepancy may reach an order of magnitude of 5.672%.

Author Contributions

Conceptualization, T.Z., Z.Z., G.Z. and Z.X.; methodology, T.Z., Z.Z. and Z.X.; software, Y.T., X.D. and W.L.; validation, Y.T., X.D. and W.L.; formal analysis, Z.Z., Y.T., T.Z. and Z.X.; investigation, Z.Z., Z.X., Y.T., X.D. and W.L.; resources, T.Z., G.Z. and C.G.; data curation, Y.T., X.D. and W.L.; writing—original draft preparation, Z.Z.; writing—review and editing, Z.Z.; visualization, Z.Z., Y.T., X.D., W.L. and Z.X.; supervision, T.Z., Z.Z., Z.X., G.Z. and C.G.; project administration, T.Z. and Z.Z.; funding acquisition, T.Z., G.Z. and C.G. All authors have read and agreed to the published version of the manuscript.

Funding

This research received no external funding.

Institutional Review Board Statement

Not applicable.

Informed Consent Statement

Not applicable.

Data Availability Statement

Data are contained within the article.

Acknowledgments

The authors are grateful to Huxian (a county) Qinxing Environmental Protection Equipment Factory for manufacturing the steel frame structure of the outer wall of the enclosed chamber (e.g., welding), and rough machining on the mounting platform, the guide track pedestal, etc., Xi’an Pulisen Machine Tools Co., Ltd. for the finish machining on the mounting platform and the guide track pedestal, and Shaanxi Zhongke Rubber and Plastic Product Co., Ltd. for developing and producing the sealing blocks used in the enclosed chamber bottom wall. The authors would like to thank Jie Zhang from School of Astronautics of Northwestern Polytechnical University (NPU) for adjusting the master control and motion control system, and Wenbo Zhang and Jingming Xu from School of Marine Science and Technology of NPU for adjusting the temperature and humidity control system. The authors are indebted to Fengling Guo, Jiahang Liu and Ou Wang, in School of Aeronautics of NPU, for their computations and experiments in disturbance attenuation, wall effects, and wall temperature difference influence in the enclosed chamber. The authors wish to express their gratitude to following colleague(s) or students from School Aeronautics of NPU: Bin Wu for his guidance in using a hot-wire anemometer, Yueqiang Li and Haibo Zheng for their participating, data processing, and curve-plotting in the calibration experiment of a hot-wire anemometer, Yushuai Wang for preparing documents in the adjustment tests, and Ruilin Tie for drawing mechanical drawings with AutoCAD. The authors also want to thank Chang Ge from Xi’an University of Technology for her excellent work in the color design drawing for the facility.

Conflicts of Interest

The authors declare no conflict of interest.

Correction Statement

This article has been republished with a minor correction to resolve spelling and grammatical errors. This change does not affect the scientific content of the article.

References

  1. Mease, N.E.; Cleveland, W.G., Jr.; Mattingly, G.E.; Hall, J.M. Air speed calibration at the National Institute of Standards and Technology. In Proceedings of the Measurement Science Conference, Anaheim, CA, USA, 30–31 January 1991. [Google Scholar]
  2. Sánchez, J.R.; Müller, H.; Care, I.; Cordier-Duperray, Y.; Seynhaeve, J.M. Air velocity sensors’ calibration intercomparison using LDA as standards. In Proceedings of the 12th International Symposium on Applications of Laser Techniques to Fluid Mechanics, Lisbon, Portugal, 12–14 July 2004. [Google Scholar]
  3. Popov, K.V.; Polikarpov, S.A.; Chistyakov, Y.A. National Primary Special Standard for the Unit of Air Flow Velocity GET 150-2012. Meas. Tech. 2014, 57, 845–847. [Google Scholar] [CrossRef]
  4. Spazzini, P.G.; Piccato, A.; Malvano, R. Metrological features of the linear low-speed anemometer calibration facility at INRIM. Metrologia 2009, 46, 109–118. [Google Scholar] [CrossRef]
  5. Chua, L.P.; Li, H.-S.; Zhang, H. Calibration of hot wire for low speed measurements. Int. Commun. Heat Mass Transf. 2000, 27, 507–516. [Google Scholar] [CrossRef]
  6. Özahi, E.; Çarpinlioğlu, M.Ö.; Gündoğdu, M.Y. Simple methods for low speed calibration of hot-wire anemometers. Flow Meas. Instrum. 2010, 21, 166–170. [Google Scholar] [CrossRef]
  7. Tutkun, M.; George, W.K.; Foucaut, J.M.; Coudert, S.; Stanislas, M.; Delville, J. In situ calibration of hot wire probes in turbulent flows. Exp. Fluids 2009, 46, 617–629. [Google Scholar] [CrossRef]
  8. Benjamin, S.F.; Roberts, C.A. Measuring flow velocity at elevated temperature with a hot wire anemometer calibrated in cold flow. Int. J. Heat Mass Transf. 2002, 45, 703–706. [Google Scholar] [CrossRef]
  9. Lee, S.P.; Kauh, S.K. A new approach to enhance the sensitivity of a hot-wire anemometer and static response analysis of a variable-temperature anemometer. Exp. Fluids 1997, 22, 212–219. [Google Scholar] [CrossRef]
  10. Ardekani, M.A.; Farhani, F. Experimental study on response of hot wire and cylindrical hot film anemometers operating under varying fluid temperatures. Flow Meas. Instrum. 2009, 20, 174–179. [Google Scholar] [CrossRef]
  11. Singha, A.; Sadr, R. In situ calibration of four-wire hot-wire probes for atmospheric measurement. Exp. Therm. Fluid Sci. 2013, 44, 82–89. [Google Scholar] [CrossRef]
  12. Pezzotti, S.; D’Iorio, J.I.; Nadal-Mora, V.; Pesarini, A. A wind tunnel for anemometer calibration in the range of 0.2–1.25 m/s. Flow Meas. Instrum. 2011, 22, 338–342. [Google Scholar] [CrossRef]
  13. Guellouz, M.S.; Tavoularis, S. A simple pendulum technique for the calibration of hot-wire anemometers over low-velocity ranges. Exp. Fluids 1995, 18, 199–203. [Google Scholar] [CrossRef]
  14. Bruun, H.H.; Farrar, B.; Watson, I. A swinging arm calibration method for low velocity hot-wire probe calibration. Exp. Fluids 1989, 7, 400–404. [Google Scholar] [CrossRef]
  15. Lee, S.P.; Kim, J.I.; Kauh, S. Temperature compensation of hot-wire anemometer with photoconductive cell. Exp. Fluids 1995, 19, 362–365. [Google Scholar] [CrossRef]
  16. Ball, S.J.; Ashforth-Frost, S.; Jambunathan, K.; Whitney, C.F. Appraisal of a hot-wire temperature compensation technique for velocity measurements in non-isothermal flows. Int. J. Heat Mass Transf. 1999, 42, 3097–3102. [Google Scholar] [CrossRef]
  17. Lundström, H.; Sandberg, M.; Mosfegh, B. Temperature dependence of convective heat transfer from fine wires in air: A comprehensive experimental investigation with application to temperature compensation in hot-wire anemometry. Exp. Therm. Fluid Sci. 2007, 32, 649–657. [Google Scholar] [CrossRef]
  18. Durst, F.; Noppenberger, S.; Still, M.; Venzke, H. Influence of humidity on hot-wire measurements. Meas. Sci. Technol. 1996, 7, 1517–1528. [Google Scholar] [CrossRef]
  19. Crowley, C.; Shinder, I.I.; Moldover, M.R. The effect of turbulence on a multi-hole Pitot calibration. Flow Meas. Instrum. 2013, 33, 106–109. [Google Scholar] [CrossRef]
  20. Shinder, I.I.; Moldover, M.R.; Filla, B.J.; Johnson, A.N.; Khromchenko, V.B. Facility for calibrating anemometers as a function of air velocity vector and turbulence. Metrologia 2021, 58, 045008. [Google Scholar] [CrossRef]
  21. Care, I. Characterization of a new calibration wind-tunnel within low air velocity range. In Proceedings of the 12th International Conference on Flow Measurement, Guilin, China, 14–17 September 2004. [Google Scholar]
  22. Institute of Atmospheric Physics; Chinese Academy of Sciences. Extremely low speed meteorological calibration wind tunnel. Adv. Earth Sci. 1986, 84–85. (In Chinese)
  23. Zhang, P.L.; Su, S.Q.; Yang, Y. Calibration of extremely low speed range anemometer. Meteorol. Sci. Technol. 1991, 93–96. (In Chinese) [Google Scholar]
  24. Li, P.; Cui, L.S.; Li, J.H.; Zhang, M.Y. Calibration experiment of hot-wire anemometer at very low speed (0.1–1 m/s). Metrol. Technol. 2016, 3–7. (In Chinese) [Google Scholar]
  25. Wu, Q. Research on very low speed jet facility for in-situ calibration of hot-wire anemometers. Master’s Thesis, Hebei University, Baoding, China, 2018. (In Chinese). [Google Scholar]
  26. Heikal, M.; Antoniou, A.; Cowell, T.A. A rig for the static calibration of constant-temperature hot wires at very low velocities. Exp. Therm. Fluid Sci. 1988, 1, 221–223. [Google Scholar] [CrossRef]
  27. Mechanics Division, Japanese National Research Laboratory of Metrology. Comparison of extremely low speed standards between Japan and the United States. Translated into Chinese by LI Xiaojin. Pract. Meas. Technol. 1997, 48–49. (In Chinese)
  28. Cui, L.S.; Li, P.; Qiu, L.R.; Li, J.S. Set-up of extremely low speed standard facility and experimental investigation on calibration methods for hot wire anemometers. Acta Metrol. Sin. 2018, 39, 289–293. (In Chinese) [Google Scholar]
  29. Al-Garni, A.M. Low speed calibration of hot-wire anemometers. Flow Meas. Instrum. 2007, 18, 95–98. [Google Scholar] [CrossRef]
  30. Piccato, A.; Malvano, R.; Spazzini, P.G. Metrological features of the rotating low-speed anemometer calibration facility at INRIM. Metrologia 2010, 47, 47–57. [Google Scholar] [CrossRef]
  31. Taylor, J.R. An Introduction to Error Analysis: The Study of Uncertainties in Physical Measurements, 2nd ed.; University Science Books: Sausalito, CA, USA, 1997; pp. 35–79. [Google Scholar]
  32. Van der Hegge Zijnen, B.G. Modified Correlation Formulae for the Heat Transfer by Natural and by Forced Convection from Horizontal Cylinders. Appl. Sci. Res. 1956, 6, 129–140. [Google Scholar] [CrossRef]
Figure 1. Structural schematic diagram of the calibration facility in conception. 1. Synchronous pulley; 2. Synchronous belt; 3. Master control and motion control computer; 4. Master control and motion controlcabinet; 5. Moving flat platecarriage; 6. Mounting platform; 7. Guide track pedestal; 8. Guide track; 9. Propping pillars for the chamber; 10. Copper tubes for heating; 11. Water return pipe; 12. Water intake pipe; 13. Strut and probe; 14. Enclosed chamber.
Figure 1. Structural schematic diagram of the calibration facility in conception. 1. Synchronous pulley; 2. Synchronous belt; 3. Master control and motion control computer; 4. Master control and motion controlcabinet; 5. Moving flat platecarriage; 6. Mounting platform; 7. Guide track pedestal; 8. Guide track; 9. Propping pillars for the chamber; 10. Copper tubes for heating; 11. Water return pipe; 12. Water intake pipe; 13. Strut and probe; 14. Enclosed chamber.
Applsci 14 01587 g001
Figure 2. Exterior and interior of the enclosed chamber and its associated accessories and other parts nearby. 1. Enclosed chamber; 2. Temperature and humidity transducer; 3. Moving flat plate carriage; 4. Chamber propping pillars; 5. Guide track; 6. Guide track pedestal; 7. Synchronous pulley; 8. Synchronous belt; 9. Mounting platform; 10. Water return pipes; 11. Water intake pipes; 12. Sealing blocks; 13. Probe strut; 14. Hot-wire probe; 15. Entrance or exit of moist air (steam).
Figure 2. Exterior and interior of the enclosed chamber and its associated accessories and other parts nearby. 1. Enclosed chamber; 2. Temperature and humidity transducer; 3. Moving flat plate carriage; 4. Chamber propping pillars; 5. Guide track; 6. Guide track pedestal; 7. Synchronous pulley; 8. Synchronous belt; 9. Mounting platform; 10. Water return pipes; 11. Water intake pipes; 12. Sealing blocks; 13. Probe strut; 14. Hot-wire probe; 15. Entrance or exit of moist air (steam).
Applsci 14 01587 g002
Figure 3. The assembly of the mechanical structure system. 1. Water intake pipes; 2. Enclosed chamber; 3. Water return pipes; 4. Synchronous belt; 5. Mounting platform; 6. Synchronous pulley; 7. Guide track; 8. Chamber propping pillars; 9. Guide track pedestal; 10.Moving flat plate carriage; 11. Steam (moist air) pipes; 12. Recirculating dehumidifier; 13. Humidifier; 14. Constant-temperature water tank; 15. Temperature and humidity control cabinet; 16.Driving motor; 17. Recirculating heating/refrigerating machine.
Figure 3. The assembly of the mechanical structure system. 1. Water intake pipes; 2. Enclosed chamber; 3. Water return pipes; 4. Synchronous belt; 5. Mounting platform; 6. Synchronous pulley; 7. Guide track; 8. Chamber propping pillars; 9. Guide track pedestal; 10.Moving flat plate carriage; 11. Steam (moist air) pipes; 12. Recirculating dehumidifier; 13. Humidifier; 14. Constant-temperature water tank; 15. Temperature and humidity control cabinet; 16.Driving motor; 17. Recirculating heating/refrigerating machine.
Applsci 14 01587 g003
Figure 4. The cabinet and computer for master and motion control, the screens for displaying and monitoring. 1. Control cabinet for master control and motion control; 2. Enclosed chamber; 3. Temperature and humidity control cabinet; 4. Display screen for master and motion control compute; 5. Display screen for monitoring the facility running status.
Figure 4. The cabinet and computer for master and motion control, the screens for displaying and monitoring. 1. Control cabinet for master control and motion control; 2. Enclosed chamber; 3. Temperature and humidity control cabinet; 4. Display screen for master and motion control compute; 5. Display screen for monitoring the facility running status.
Applsci 14 01587 g004
Figure 5. Flow chart of the general calibration process.
Figure 5. Flow chart of the general calibration process.
Applsci 14 01587 g005
Figure 6. Schematic diagram of the motion control system.
Figure 6. Schematic diagram of the motion control system.
Applsci 14 01587 g006
Figure 7. Check and verification of magnetic grating displacement transducer via dual-frequency laser interferometer. 1. Laser source; 2. Interference mirror; 3. Light-reflecting mirror; 4. Moving flat plate carriage; 5. Guide track; 6. Guide track pedestal.
Figure 7. Check and verification of magnetic grating displacement transducer via dual-frequency laser interferometer. 1. Laser source; 2. Interference mirror; 3. Light-reflecting mirror; 4. Moving flat plate carriage; 5. Guide track; 6. Guide track pedestal.
Applsci 14 01587 g007
Figure 8. Hardware arrangement of temperature and humidity control system in conception design. 1. Temperature and humidity control cabinet. 2. Constant-temperature water tank. 3. Recirculating heating/refrigerating machine. 4. Humidifier. 5. Recirculating dehumidifier. 6. Water return pipe. 7. Humidification/dehumidification steam pipe. 8. Enclosed chamber. 9. Water intake pipe.
Figure 8. Hardware arrangement of temperature and humidity control system in conception design. 1. Temperature and humidity control cabinet. 2. Constant-temperature water tank. 3. Recirculating heating/refrigerating machine. 4. Humidifier. 5. Recirculating dehumidifier. 6. Water return pipe. 7. Humidification/dehumidification steam pipe. 8. Enclosed chamber. 9. Water intake pipe.
Applsci 14 01587 g008
Figure 9. Control cabinet and devices of temperature and humidity control system. 1. Temperature and humidity control cabinet; 2. Constant-temperature water tank; 3. Recirculating heating/refrigerating machine; 4. Humidifier; 5. Recirculating dehumidifier; 6. Humidification/dehumidification steam pipes; 7. Water intake pipes; 8. Enclosed chamber; 9. Water return pipes.
Figure 9. Control cabinet and devices of temperature and humidity control system. 1. Temperature and humidity control cabinet; 2. Constant-temperature water tank; 3. Recirculating heating/refrigerating machine; 4. Humidifier; 5. Recirculating dehumidifier; 6. Humidification/dehumidification steam pipes; 7. Water intake pipes; 8. Enclosed chamber; 9. Water return pipes.
Applsci 14 01587 g009
Figure 10. Variation of velocity value with time in constant-speed stage under each set velocity.
Figure 10. Variation of velocity value with time in constant-speed stage under each set velocity.
Applsci 14 01587 g010
Figure 11. Arrangement of temperature and humidity transducers in an enclosed chamber.
Figure 11. Arrangement of temperature and humidity transducers in an enclosed chamber.
Applsci 14 01587 g011
Figure 12. Variation of eight temperatures and their average during heating from 29.9 °C to 40 °C.
Figure 12. Variation of eight temperatures and their average during heating from 29.9 °C to 40 °C.
Applsci 14 01587 g012
Figure 13. Variation of eight temperatures and their average during heating from 49.8 °C to 60 °C.
Figure 13. Variation of eight temperatures and their average during heating from 49.8 °C to 60 °C.
Applsci 14 01587 g013
Figure 14. Variation history of 8 humidities and their average in control process from 42.7%RH to 20%RH under ambient atmospheric temperature T = 21.5 °C.
Figure 14. Variation history of 8 humidities and their average in control process from 42.7%RH to 20%RH under ambient atmospheric temperature T = 21.5 °C.
Applsci 14 01587 g014
Figure 15. Variation history of eight humidities and their average when humidified from 19.2%RH to 60%RH under 30 °C.
Figure 15. Variation history of eight humidities and their average when humidified from 19.2%RH to 60%RH under 30 °C.
Applsci 14 01587 g015
Figure 16. Variation history of eight humidities and their average in control process from 57.1%RH to 80%RH under 40 °C.
Figure 16. Variation history of eight humidities and their average in control process from 57.1%RH to 80%RH under 40 °C.
Applsci 14 01587 g016
Figure 17. The hot-wire anemometer, its probe, and the probe fixed on the strut in the enclosed chamber.
Figure 17. The hot-wire anemometer, its probe, and the probe fixed on the strut in the enclosed chamber.
Applsci 14 01587 g017
Figure 18. Calibrated velocity points and fitting curves for H = 20%RH, 60%RH, and 80%RHunder T = 30 °C.
Figure 18. Calibrated velocity points and fitting curves for H = 20%RH, 60%RH, and 80%RHunder T = 30 °C.
Applsci 14 01587 g018
Figure 19. Calibrated velocity points and fitting curves for H = 20%RH, 60%RH, and 80%RH under T = 40 °C.
Figure 19. Calibrated velocity points and fitting curves for H = 20%RH, 60%RH, and 80%RH under T = 40 °C.
Applsci 14 01587 g019
Figure 20. Calibrated velocity points and fitting curve under T = 60 °C, H = 19%RH.
Figure 20. Calibrated velocity points and fitting curve under T = 60 °C, H = 19%RH.
Applsci 14 01587 g020
Figure 21. Calibrated velocity points and fitting curves of Van der Hegge Zijnen’s formula at H = 20%RH, 60%RH, and 80%RHunder T = 30 °C.
Figure 21. Calibrated velocity points and fitting curves of Van der Hegge Zijnen’s formula at H = 20%RH, 60%RH, and 80%RHunder T = 30 °C.
Applsci 14 01587 g021
Figure 22. Calibrated velocity points and fitting curves of Van der Hegge Zijnen’s formula at H = 20%RH, 60%RH, and 80%RH under T = 40 °C.
Figure 22. Calibrated velocity points and fitting curves of Van der Hegge Zijnen’s formula at H = 20%RH, 60%RH, and 80%RH under T = 40 °C.
Applsci 14 01587 g022
Figure 23. Calibrated velocity points and fitting curve of Van der Hegge Zijnen’s formula under T = 60 °C, H = 19%RH.
Figure 23. Calibrated velocity points and fitting curve of Van der Hegge Zijnen’s formula under T = 60 °C, H = 19%RH.
Applsci 14 01587 g023
Table 1. Performances of world-wide calibration facilities in extremely low speed regime.
Table 1. Performances of world-wide calibration facilities in extremely low speed regime.
Institution, CountryFacility TypeVelocity Range/m/sVelocity Control AccuracyVelocity
Uncertainty
Calibration Error
NIST, USAWind tunnel (DTSWT)0.15–75Overall error: ±4%
NIST, USAWind tunnel (LVF)0.05–11.2 Total uncertainty of mean speed: 1%
CETIAT, FranceWind tunnel 0.05–2 Global uncertainty: 0.002–0.014 m/s
UCL, BelgiumWind tunnel0.3–60Velocity profile accuracy: 1%
Nottingham Trent University, UKThermal jet wind tunnel 0.7–90.5%
Universidad Nacional de La Plata, ArgentinaWind tunnel0.2–1.25 Expanded uncertainty: 0.06 m/s (<10%)
University of Gävle, SwedenThermal wind tunnel0.3–3±0.02 m/s
Institute of Atmospheric Physics, Chinese Academy of Sciences. ChinaMeteorological wind tunnel0.15–22Standard error 2.6~7.4%
Institute of Metrology, CAMS, ChinaWind tunnel0.1–2.
National Institute of Metrology, ChinaWind tunnel0.1–1 Uncertainty: 0.018 m/s.
National Institute of Metrology, ChinaJet wind tunnel0.13–1.43 Extended uncertainty: 0.0114 m/s–0.03377 m/s (k = 2)
IROST, Iran *Thermal jet wind tunnel5–60
University of Gaziantep, TurkeyLaminar flow pipe0.029–1.79 Fitting curve error: ±4%
University of Gaziantep, TurkeyRotating disc0.05–1.05 Fitting curve error: ±5%
INRIM., ItalyMoving carriage0.1–1.0 Overall (expanded) uncertainty: 0.012 m/s (8.0–1.1%)
Nanyang Technology University, SingaporeMoving carriage0–0.35 ±0.001 m/s
(−3.0% to 7.0%)
Fitting curve error: −1.98% to 15.04%
Brighton Polytechnic, UKMoving carriage0.02–1Velocity repeatability: ±0.00065 m/s to ±0.0082 m/s (±0.31% to ±0.82%)
NRLM (NMIJ), JapanMoving carriage0.05–1 Uncertainty 0.00735–0.014 m/s
National Institute of Metrology, ChinaMoving carriage0.1–1.05 Expanded uncertainty 0.82% (k = 2)Expanded uncertainty 2.42% (k = 2)
University of Ottawa, CanadaPendulum0.3–10
King Fahd University of Petroleum and Minerals, Saudi ArabiaHorizontal swing arm0–0.15 Maximum uncertainty:
4.1%
INRIM, ItalyHorizontal rotating arm0.2–5 Expanded uncertainty: 4.0–0.84%
University of Bradford, UKSwinging arm1–6.50.03 m/s
Universität Erlangen-Nürnberg, Germany *Chamber12.75–36.6
* Velocities exceed 1.0 m/s.
Table 2. Temperature and humidity control performances of world-wide calibration facilities in extremely low speed.
Table 2. Temperature and humidity control performances of world-wide calibration facilities in extremely low speed.
Institution, CountryFacility TypeVelocity Range/m/sTemperature Range/°CTemperature Control
Accuracy/°C
Humidity Range/%RHHumidity Control
Accuracy/%RH
CETIAT, FranceWind tunnel0.05–210–50Control accuracy: ±0.5; homogeneity: ±0.2.10–90Control accuracy: ±4; homogeneity: ±0.5;
Time necessary to reach target temperature and humidity ≤2 h
Nottingham Trent University, UKThermal jet wind tunnel0.7–920–600.1
University of Gävle, SwedenThermal wind tunnel0.3–310–60±0.05
IROST, Iran *Thermal jet wind tunnel5–3022–60
Universität Erlangen-Nürnber, Germany *Chamber12.75–36.630–70 30–90
* Velocities exceed 1.0 m/s.
Table 3. Check and verification result by dual-frequency laser interferometer.
Table 3. Check and verification result by dual-frequency laser interferometer.
First TimeSecond Time
InterferometerMagnetic TransducerDeviation ErrorInterferometerMagnetic TransducerDeviation Error
000000
1001.021001.020.000%1000.971001.010.004%
2002.852002.860.0005%2002.782002.850.003%
3004.503004.580.0027%3004.483004.590.004%
4006.504006.42−0.002%4006.394006.390.000%
5008.255008.21−0.001%5008.215008.20.000%
6010.106010.05−0.001%6010.036010.010.000%
7011.757011.720.000%7011.77011.710.000%
8013.588013.560.000%8013.528013.530.000%
Table 4. Absolute error in velocity control in constant-speed stage (m/s).
Table 4. Absolute error in velocity control in constant-speed stage (m/s).
VsetVavgσV|ViVavg|max|ViVset|max|VavgVset|
0.10.09999920.00010800.00024020.0002410.00000080
0.20.19999860.00006630.00028560.0002870.00000137
0.30.29999660.00009940.00053460.0005380.00000346
0.40.39999420.00008950.00031180.0003060.00000584
0.50.50000540.0001050.00027040.0002650.00000536
0.60.60000410.00014540.00039180.0003960.00000411
0.70.70001120.00017500.00097780.0009890.00001121
0.80.80001220.00016580.00045820.0004460.00001222
0.90.90000240.00015730.00045040.0004480.00000238
1.01.00001600.00012280.00039800.0004140.00001597
Table 5. Relative error in velocity control in constant-speed stage (%).
Table 5. Relative error in velocity control in constant-speed stage (%).
Vset (m/s)σV/Vavg|ViVavg|max/Vavg|ViVset|max/Vset|VavgVset|/Vset
0.10.10800.24020.24100.000805
0.20.033140.14280.14350.000686
0.30.033130.17820.17930.001152
0.40.022380.077960.076500.001460
0.50.021010.054070.053000.001073
0.60.024240.065310.065990.000686
0.70.024990.13970.14130.001601
0.80.020730.057280.055750.001527
0.90.017480.050040.049780.000265
1.00.012280.039800.041400.001597
Table 6. Time required to reach the set temperature and time during which the temperature maintains the set value.
Table 6. Time required to reach the set temperature and time during which the temperature maintains the set value.
Tset (°C)Tini (°C)Tavg (°C)tr,T (min)tm,T (min)
3023.529.9 ± 0.39536.67
4029.939.7 ± 0.27520
5038.150.0 ± 0.496.6725
6049.860.1 ± 0.45842
6026.960.1 ± 0.412321.67
Table 7. Temperature distribution characteristics in the enclosed chamber when reaching the set value (°C).
Table 7. Temperature distribution characteristics in the enclosed chamber when reaching the set value (°C).
TsetTini (°C)TavgσT|TiTavg|max|TiTset|max|TavgTset|
3023.529.90.14320.50.60.1
4029.939.70.13640.40.70.3
5038.150.00.19850.70.70.0
6049.860.10.26680.80.90.1
6026.960.10.27930.80.90.1
Table 8. Time required to reach the set humidity and time in which humidity can be maintained constant.
Table 8. Time required to reach the set humidity and time in which humidity can be maintained constant.
Tset (°C)Hset (%RH)Hini (%RH)Havg (%RH)tr,H (min)tm,H (min)
21.52042.720.9 ± 0.835.1716.92
21.5602460.1 ± 0.223.3325
21.58059.679.8 ± 0.520.6734.33
302058.520.6 ± 1.71090
306019.260.3 ± 0.416.6728.33
30806080.2 ± 0.39.6722.83
402077.919.9 ± 0.311.3313.67
406035.559.7 ± 0.38023.67
408057.179.8 ± 0.322.1722.83
Table 9. Spatial humidity distribution characteristics when the chamber humidity reaches the set value (humidity: %RH).
Table 9. Spatial humidity distribution characteristics when the chamber humidity reaches the set value (humidity: %RH).
Tset (°C)HsetHiniHavgσH|HiHavg|max|HiHset|max|HavgHset|
21.52042.720.90.84740.81.70.9
21.5602460.10.09350.60.70.1
21.58059.679.80.18710.81.00.2
302058.520.60.56132.32.90.6
306019.260.30.28060.50.80.3
30806080.20.18710.30.50.2
402077.919.90.09350.30.40.1
406035.559.70.28060.30.60.3
408057.179.80.18711.31.40.1
Table 10. Constants in the fitting curves of the modified King’s law.
Table 10. Constants in the fitting curves of the modified King’s law.
Tset30 °C40 °C60 °C
Hset (%RH)20608020608019
a1.6441.6691.6151.5071.5021.591.358
b0.65860.65380.6870.64670.67100.60470.521
n0.63440.70740.61360.59670.55780.69630.6429
Table 11. Deviation of fitted velocity from real controlled velocity(m/s).
Table 11. Deviation of fitted velocity from real controlled velocity(m/s).
Tset30 °C30 °C30 °C40 °C40 °C40 °C60 °C
Vset\Hset20%RH60%RH80%RH20%RH60%RH80%RH19%RH
0.10.0009360.0051200.0039310.0038430.0039330.0029760.000955
0.2−0.001983−0.008284−0.006744−0.003238−0.009262−0.001466−0.000994
0.30.007060−0.004327−0.007101−0.0078400.004476−0.0046270.002008
0.4−0.01316−0.002082−0.001695−0.02086−0.002688−0.0036030.002485
0.5−0.0015920.0014010.0074870.01130−0.0035380.0064490.000636
0.6−0.0007000.010300.0068100.017640.0040990.001741−0.000445
0.70.014900.0012450.0050580.022360.01634−0.0021900.000611
0.80.0080450.010880.0049320.0027710.0091400.018520.002805
0.9−0.0046680.000303−0.003850−0.01763−0.0025090.0043640.000003
1.0 −0.008005−0.01396−0.01027−0.01095−0.01369−0.014860.001691
Table 12. Maximum deviation error of fitted velocity from real controlled velocity.
Table 12. Maximum deviation error of fitted velocity from real controlled velocity.
Vset (m/s)V|max (m/s)V|max/Vset (%)
0.10.0051205.12
0.20.0092624.631
0.30.0078402.613
0.40.020865.214
0.50.011302.260
0.60.017642.939
0.70.022363.194
0.80.018522.315
0.90.017631.959
1.0 0.014861.486
Table 13. Constants in the fitting curves of Van der Hegge Zijnen’s formula.
Table 13. Constants in the fitting curves of Van der Hegge Zijnen’s formula.
Tset30 °C40 °C60 °C
Hset (%RH)20608020608019
A−2.785−2.488−2.858−2.764−2.860−2.411−2.245
B1.8491.3381.9901.8862.0341.2771.183
C0.73570.94740.70490.56740.53740.79850.4943
Table 14. Deviation of the fitted velocity from the real controlled velocity (m/s).
Table 14. Deviation of the fitted velocity from the real controlled velocity (m/s).
Tset30 °C30 °C30 °C40 °C40 °C40 °C60 °C
Vset\Hset20%RH60%RH80%RH20%RH60%RH80%RH19%RH
0.10.0008070.0073130.0072300.0085270.0069960.003371−0.001138
0.20.000293−0.004578−0.003444−0.000718−0.0077850.0015550.001139
0.30.008275−0.002308−0.005713−0.0081460.003596−0.0026330.004114
0.4−0.01325−0.002363−0.002298−0.02322−0.004954−0.0035720.003355
0.5−0.003250−0.0006720.0056360.007343−0.0065670.0046310.000200
0.6−0.0031210.0074790.0047940.013850.001112−0.000934−0.001830
0.70.01264−0.0010830.0038720.020030.01434−0.004798−0.001119
0.80.0067850.010610.0056270.0024020.0086540.017500.001506
0.9−0.0042350.002957−0.000527−0.01537−0.0009940.005553−0.000091
1.0 −0.004838−0.007434−0.003354−0.004095−0.009637−0.010750.003729
Table 15. Maximum deviation error of the fitted velocity from the real controlled velocity at each set velocity.
Table 15. Maximum deviation error of the fitted velocity from the real controlled velocity at each set velocity.
Vset (m/s)V|max (m/s)V|max/Vset (%)
0.10.0085278.527
0.20.0077853.893
0.30.0082752.758
0.40.023225.804
0.50.0073431.469
0.60.013852.309
0.70.020032.862
0.80.017502.188
0.90.015371.707
1.0 0.010751.075
Table 16. Velocity and its deviation error caused by humidity discrepancy form 20%RH under the same temperature T = 30 °C and at each output voltage.
Table 16. Velocity and its deviation error caused by humidity discrepancy form 20%RH under the same temperature T = 30 °C and at each output voltage.
H20%RH60%RH80%RH
E (V) U (m/s)U (m/s)ΔU (m/s)ΔU/U (%)U (m/s)ΔU (m/s)ΔU/U (%)
1.330.0710.0690.0022.8990.089−0.018−20.225
1.350.1320.134−0.002−1.4930.148−0.016−10.811
1.400.3150.32−0.005−1.5630.3275−0.0125−3.817
1.450.5650.560.0050.8930.572−0.007−1.224
1.470.6840.6650.0192.8570.689−0.005−0.726
1.500.8750.84750.02753.2450.885−0.01−1.130
1.521.0190.9820.0373.7681.031−0.012−1.164
Table 17. Velocity and its deviation error caused by humidity discrepancy form 20%RH under the same temperature T = 40 °C and at each output voltage.
Table 17. Velocity and its deviation error caused by humidity discrepancy form 20%RH under the same temperature T = 40 °C and at each output voltage.
H20%RH60%RH80%RH
E (V) U (m/s)U (m/s)ΔU (m/s)ΔU/U (m/s)U (m/s)ΔU (m/s)ΔU/U (m/s)
1.300.1250.1050.0219.048 0.0710.05476.056
1.330.220.1950.02512.821 0.1770.04324.294
1.350.3050.2650.0415.094 0.2570.04818.677
1.400.5480.5030.0458.946 0.4970.05110.262
1.450.870.8190.0516.227 0.7860.08410.687
1.471.0280.9750.0535.436 0.9230.10511.376
Table 18. Velocity deviation caused by temperature discrepancy between T = 30 °C and T = 40 °C under each humidity of 20%RH, 60%RH, and 80%RHand at each output voltage.
Table 18. Velocity deviation caused by temperature discrepancy between T = 30 °C and T = 40 °C under each humidity of 20%RH, 60%RH, and 80%RHand at each output voltage.
H20%RH60%RH80%RH
E (V) ΔU (m/s)ΔU/U (%)ΔU (m/s)ΔU/U (%)ΔU (m/s)ΔU/U (%)
1.33−0.149−67.73 −0.126−64.62 −0.088−49.72
1.35−0.173−56.72 −0.131−49.43 −0.109−42.41
1.40−0.233−42.52 −0.183−36.38 −0.1695−34.10
1.45−0.305−35.06 −0.259−31.62 −0.214−27.23
1.47−0.344−33.46 −0.31−31.79 −0.234−25.35
Disclaimer/Publisher’s Note: The statements, opinions and data contained in all publications are solely those of the individual author(s) and contributor(s) and not of MDPI and/or the editor(s). MDPI and/or the editor(s) disclaim responsibility for any injury to people or property resulting from any ideas, methods, instructions or products referred to in the content.

Share and Cite

MDPI and ACS Style

Zhou, T.; Zhang, Z.; Tian, Y.; Xi, Z.; Dou, X.; Liu, W.; Zhang, G.; Gao, C. A Calibration Facility for Hot-Wire Anemometers in Extremely Low Speed with Air Temperature and Humidity Variable and Controllable. Appl. Sci. 2024, 14, 1587. https://doi.org/10.3390/app14041587

AMA Style

Zhou T, Zhang Z, Tian Y, Xi Z, Dou X, Liu W, Zhang G, Gao C. A Calibration Facility for Hot-Wire Anemometers in Extremely Low Speed with Air Temperature and Humidity Variable and Controllable. Applied Sciences. 2024; 14(4):1587. https://doi.org/10.3390/app14041587

Chicago/Turabian Style

Zhou, Tingbo, Zhengke Zhang, Yongqiang Tian, Zhongxiang Xi, Xiaomu Dou, Weidong Liu, Guobiao Zhang, and Chao Gao. 2024. "A Calibration Facility for Hot-Wire Anemometers in Extremely Low Speed with Air Temperature and Humidity Variable and Controllable" Applied Sciences 14, no. 4: 1587. https://doi.org/10.3390/app14041587

APA Style

Zhou, T., Zhang, Z., Tian, Y., Xi, Z., Dou, X., Liu, W., Zhang, G., & Gao, C. (2024). A Calibration Facility for Hot-Wire Anemometers in Extremely Low Speed with Air Temperature and Humidity Variable and Controllable. Applied Sciences, 14(4), 1587. https://doi.org/10.3390/app14041587

Note that from the first issue of 2016, this journal uses article numbers instead of page numbers. See further details here.

Article Metrics

Back to TopTop