Next Article in Journal
A Rapid Evaluation Method of Permafrost Bearing Capacity in the Tibetan Plateau Region Based on the Correlation Between CPT-CBR
Next Article in Special Issue
Offshore Wind-to-Hydrogen Production: Technical Pathways, Challenges, and Prospects
Previous Article in Journal
Mechanical Design and Testing of Mobile Monitoring Units for Security Systems
Previous Article in Special Issue
Height Control System for Wind Turbines Based on Critical Wind Speed Calculation
 
 
Font Type:
Arial Georgia Verdana
Font Size:
Aa Aa Aa
Line Spacing:
Column Width:
Background:
Article

Effects of Turbulence Modeling on the Simulation of Wind Flow over Typical Complex Terrains

College of Aerospace Engineering, Nanjing University of Aeronautics and Astronautics, Nanjing 210016, China
*
Author to whom correspondence should be addressed.
Appl. Sci. 2024, 14(23), 11438; https://doi.org/10.3390/app142311438
Submission received: 17 October 2024 / Revised: 28 November 2024 / Accepted: 5 December 2024 / Published: 9 December 2024
(This article belongs to the Special Issue Recent Advances in Wind Engineering and Applied Aerodynamics)

Abstract

The correct prediction of the wind speed and turbulence levels over complex terrain is essential for accurately assessing wind turbine wake recovery, power production, safety, and wind farm design. In this paper, two modified RANS turbulence models are proposed, which are innovative variants of the conventional SST k-ω model and the linear Reynolds stress model (RSM) featuring optimized closure constants. Then, these two modified models and their origin models are applied to compare and analyze wind flows from a 3D hill wind tunnel experiment and two field measurements over typical complex terrain, including Askervein hill and Bolund island, with the aim of analyzing the sensitivity of wind flows to different RANS turbulence models. The study focuses on analyzing the effects of different turbulence models on the self-sustainability of wind speed and turbulent kinetic energy upstream of the computational domain and on the accuracy of wind flow prediction over complex terrain. The results show that our modified RSM model shows better agreement with the available experimental data on the upstream and leeward sides of all simulated hills. The wind speed on the leeward slope is particularly sensitive to the turbulence model, with a maximum difference in the relative root mean square error (RRMSE) that can reach 11% among the four models. The accuracy of the turbulent kinetic energy depends on the self-sustainability of the upstream turbulent kinetic energy and the predictive ability of the turbulence model for separated flows, and the maximum difference in the RRMSE of the four models can reach 47%. In addition, the advantages and disadvantages of the tested models are discussed to provide guidance for model selection during wind flow simulations in complex terrain.

1. Introduction

As large-scale wind farms continue to be set up, few abundant wind resources are left in flat terrain, and many wind turbines are also being installed offshore, but the cost of offshore installations is twice as high as onshore installations due to the costs of expensive cables and bases [1], so wind farms over complex terrain are gaining more and more attention. Correctly predicting wind speed and turbulence levels over complex terrain is critical when choosing the proper wind turbine location, as high wind speeds and low turbulence levels are required for wind turbine operation to ensure high power generation and low fatigue loads. However, wind flow over complex terrain is always difficult to predict accurately because of the frequent changes in wind direction and the possibility of separation and high turbulence on the leeward side of hills [2]. Accurately estimating the wind flow at the wind turbine site is the primary task before designing a high-power production wind farm, which is also a great challenge. Wind turbines are located in the lower part of the atmospheric boundary layer, so studying the interactions between topography, wind turbines, and the atmospheric boundary layer is crucial for selecting suitable wind turbine locations and designing optimal wind farms with a high power generation efficiency and a long lifetime.
Many researchers have conducted extensive research on atmospheric boundary layer characteristics and wind turbine wake over complex terrain. The main research methods include numerical simulations (including microscale, mesoscale, and meso–microscale coupled), experiments (including wind tunnel experiments [3] and field measurements [4]), and theoretical models (including wind flow models of complex terrain and models of the wake and terrain superposition). The experimental approach is only able to reflect a limited number of measurement locations, and the anemometer must be calibrated before the experiment, which is more difficult to satisfy in tests with complex terrain (previously calibrated anemometer sensors will fail due to variable wind direction and high turbulence intensity [1]); the theoretical analysis is based on many assumptions, and thus its accuracy remains limited when dealing with complex flows. In contrast, numerical methods can fully reflect the wind flow with much less time and at a more economic cost. The biggest problem faced by numerical methods is the solution of the turbulence, which usually includes the RANS (Reynolds-Averaged Navier–Stokes), LES (Large Eddy Simulation), DNS (direct numerical simulation), and DES (Detached Eddy Simulation). Among these methods, the most commonly used method to simulate wind flow over complex terrain is the RANS [5,6].
The most commonly used RANS turbulence models for simulating wind flow over complex terrain are the standard k-ε model and the standard SST k-ω model, which are both based on the assumption of isotropy. Castro et al. [5], Abdi et al. [7], and Yan et al. [8] showed that the results of the k-ε turbulence model and the SST k-ω model on the windward side and the top of the mountain were consistent with experimental measurements. Loureiro et al. [9] found that the SST k-ω model was more effective than the standard k-ε turbulence model in terms of the prediction of the velocity in the separation zone and shear stress. To solve the problem of the difficult prediction of the wind flow on the leeward side due to high separation and turbulence, many researchers have also tried to modify the SST k-ω model as well, such as modifying the turbulence model closure coefficients [10,11], adding nonlinear source terms [12], or modifying the wall function [13]. The above modification methods improve the accuracy of wind flow simulation in complex terrain to some extent, but these methods are based on isotropic assumptions, which are inconsistent with the actual atmospheric boundary layer (ABL) [14]. Compared with the eddy viscosity model (EVM), the RSM model can accurately predict anisotropic turbulence [15], and thus is more suitable for simulating wind flow over complex terrain. Makridis et al. [15] also found that the RSM model gives better results in simulating wind flow over complex terrain, especially in turbulence generation on the leeward side, which is quite improved, but there is still some error between the numerical and experimental results.
In summary, there are many research results on the numerical simulation of wind flow over complex terrain, but they are inconclusive. This is because (1) most of the studies use limited validation cases, and the differences in atmospheric boundary layer characteristics in the field and wind tunnel are not fully considered; (2) not enough consideration is given to the reasonableness of the inlet boundary conditions (including the consistency of the inlet boundary profile and the influence of the inlet boundary on the accuracy of the flow field of the downstream numerical simulation object). Due to the above factors, the assessment of the turbulence model performance may be biased.
Therefore, in this study, (1) two modified RANS turbulence models are proposed, which are innovative variants of the conventional SST k-ω model and the linear Reynolds stress model (RSM) with optimized closure constants, as this methodology is more convenient and efficient for engineers compared to the other modifications mentioned above. (2) A comprehensive comparison was performed to evaluate the capabilities of the standard SST k-ω model, the standard linear pressure–strain RSM model, and innovative variants of these two models featuring optimized closure constants. (3) Several typical wind tunnel and field experiments were selected as validation cases. (4) The LES model was used to estimate the performance of the wind flow behavior, and also as a validation of the RANS turbulence model. (5) The self-sustainability of the inlet parameters is investigated to ensure the appropriate inlet boundary conditions. The objective of this paper is to select the most appropriate model to simulate wind flow over complex terrain, one that minimizes the error in wind speed and turbulent kinetic energy.
The rest of the paper is organized as follows: Section 2 describes the flow governing equations and several RANS turbulence models; Section 3 provides the computing settings, including validation cases, computational grids, and boundary conditions; Section 4 offers an analysis of the results of the validation cases; the last section presents the conclusion and perspectives.

2. Numerical Methodologies

The RANS equations express the conservation of mass and the momentum of a Newtonian fluid, assuming an incompressible, steady-state turbulent flow with a constant viscosity (µ), and can be expressed as follows [16]:
U i x i = 0
ρ U j U i x i = p x i + μ x j ( U i x j + U j x i ) + x j ( ρ u i u j ¯ ) + S u , i
where p is the mean pressure, µ is the viscosity, Su,i is the momentum source (or sink) in the i direction, which can represent the volume force if there is a wind turbine [17], and ρ u i u j ¯ is known as the Reynolds stress tensor τij [18], which is expressed as the covariance of the velocity fluctuations, accounting for the transfer of momentum between different eddies or scales within the turbulent flow. The Reynolds stress tensor includes both the normal stresses, which are the variances in the velocity components, and the shear stresses, which are the covariances between different velocity components.
The problem of turbulent closure is due to the need to model the time-averaged fluctuating velocity component of the momentum Equation (2), i.e., the Reynolds stress. To solve for the Reynolds stress, the most common method is based on the Boussinesq approximation, which express the Reynolds stress as an expression for the eddy viscosity [19], and this approach assumes that µt is an isotropic scalar. Various turbulence models apply some extra transport equations to account for the turbulence using empirical constants and information about the mean flow, and the most common models are the one-equation and two-equation turbulence models. In this paper, the standard SST k-ω model, the standard linear Reynolds stress model (RSM), and innovative variants of these two models (i.e., the modified SST k-ω model and the modified RSM model) with modified closure constants are used to simulate the wind flow over the complex terrain. The RSM models are not based on the Boussinesq approximation, where the Reynolds stress in each direction is solved by an equation, along with an ε equation, for a total of seven additional equations required for this model. The following is a brief description of several RANS turbulence models and the modified methods used in the paper.
In the RANS turbulence models, Cμ is usually derived from Equation (3) [20], which assumes an equilibrium of turbulence generation and dissipation, such as in a zero-gradient pressure turbulent boundary layer. In the inner layer of the turbulence boundary layer, the value of k / u 2 is 5.48, resulting in Cμ = 0.9. In the standard turbulence model, the default value of the model closure constant Cμ is 0.09 [21]. However, in the real atmosphere boundary layer, the value of k / u 2 varies from 3.35 to 8.75 in different experiments [22,23,24,25]. On the one hand, in order to reduce the generation of the turbulent kinetic energy (TKE) at the lower layer of the ABL, and to be consistent with the TKE at the inlet conditions, Cμ is modified from 0.09 to 0.05 in this paper, which is different from other scholars’ studies, where Cμ is usually modified to 0.033 [20,26]. According to reference [26] and numerical simulation investigations, it was found that the production of turbulence kinetic energy is higher than that given in the inlet when Cμ is modified to 0.033 (especially near the ground), which leads to inconsistency with the inlet condition; thus, it is necessary to adjust this value to being a little larger. In this paper, k / u 2 is selected to be 4.47, resulting in Cμ = 0.05, which is also in agreement with the findings in the literature [27]. On the other hand, in the separation shear boundary layer, the generation of turbulence is greater than the dissipation, and there is a strong nonequilibrium far away from the wall [28]. So, when simulating the separation region on the leeward slope of complex terrain, it is necessary to increase the turbulence generation and decrease the dissipation, and adjusting Cμ can meet this need. Cμ is defined as follows:
C μ = ( u 2 k ) 2
where u is the friction velocity and k is the turbulent kinetic energy.
(1)
Standard SST k-ω model
The SST k-ω model [29] is described as a shear-stress transport k-ω model, including a k-ω model for the inner layer and a k-ε model for the outer layer. Thus, the model combines the advantages of both the k-ω model for the simulations near the boundary layer and the k-ε model for the simulations in free flow. Compared with the standard k-ω model, this model modifies the calculation of turbulent viscosity. The model performs better than the other two-equation models in the case of flow separation and can be used for high-precision boundary layer simulations [30]. It is also more accurate than the standard k-ε model in simulations of wind flow over complex terrain [9]. In the standard SST k-ω model (Std SST k-ω), the default closure constants are as follows: β* = 0.09;
β1 = 0.075, σk1 = 1.176, σω1 = 2, γ1 = 0.556 (inner layer);
β2 = 0.0828, σk2 = 1.0, σω2 = 1.168, γ2 = 0.44 (outer layer).
(2)
Modified SST k-ω model
The model has also been modified by many scholars in the simulation of the atmospheric boundary layer [31,32]. In this paper, the closure constants of the modified SST k-ω model (Mod SST k-ω) are as follows: β* = Cμ = 0.05, since β*/β is usually 1.2 [20], β1 = β*/1.2 = 0.0412, and
γ 1 = β 1 / β σ ω 1 κ 2 / β = 0.4757
in the outer layer
β 2 = ( C 2 ε 1 ) C μ = 0.046 ,   γ 2 = β 2 / β σ ω 2 κ 2 / β = 0.2764
Finally, the closure constants of the Mod SST k-ω model are summarized as follows:
β1 = 0.0412, σk1 = 1.176, σω1 = 2, γ1 = 0.4757 (inner layer);
β2 = 0.046, σk2 = 1.0, σω2 = 1.168, γ2 = 0.2764 (outer layer).
(3)
Standard linear pressure–strain RSM model
Compared to the k-ε and SST k-ω models, the RSM model is more complex [33,34], as it requires solving for the Reynolds stresses in each component and avoids the Boussinesq assumption of isotropic turbulence. It is more suitable for complex cases, such as streamlined curvature, swirl, rotation, and high-strain-rate flows, and has the potential to predict anisotropic turbulence. On the other hand, the RSM model takes an average of 50–60% more time per iteration and requires 15–20% more memory compared to the k-ε and k-ω models [34].
In the standard linear pressure–strain RSM model (Std RSM), the default closure constants are Cμ = 0.09, C1ε = 1.44, C2ε = 1.92, σk = 1.0, σε = 1.3, C1 = 1.8, C2 = 0.6, C1′ = 0.5, and C2′ = 0.3. The first five parameters are the same as in the standard k-ε model, the middle two parameters are used to model the pressure–strain term, and the last two parameters are responsible for the wall reflection term in the Reynolds stress transport equation to ensure the redistribution of the normal Reynolds stress next to the wall [34,35].
(4)
Modified RSM model
In most cases, the default closure constants of the RSM model can give good results [33], while modifications to the above closure constants are also allowed in specific cases. Firstly, the wind flow simulation in complex terrain requires the accurate prediction of the ABL, and then the prediction of the wind flow on the leeward side of the hill, which is a significant challenge. In the modified linear pressure–strain RSM model (Mod RSM), Cμ is modified from 0.09 to 0.05; σk is modified in the k-ε model based on the transport equations of k and ε, but the Reynolds stress transport equation in the RSM is different from the k-ε model, so we cannot modify σk as in the k-ε model. In the Mod RSM model, we modify σk from 1 to 0.82 and σε from 1.3 to 1 in order to better simulate the flow in the separation zone, similar to the RNG k-ε model [36]. So, in the modified linear pressure–strain RSM model (Mod RSM), the closure constants are = 0.05, C = 1.44, C = 1.92, σk = 0.82, σε = 1.0, C1 = 1.8, C2 = 0.6, C1′ = 0.5, and C2′ = 0.3.

3. Computational Settings

3.1. Validation Cases

The test cases in this paper are selected within different scales of the mountain ranging from the wind tunnel experiment to the field measurements, and are briefly described below.
Case 1: 3D hill wind tunnel experiment.
The wind tunnel experiment of the 3D hill was carried out by Takeshi Ishihara et al. [37,38] in 1999, in which a neutrally stratified atmospheric boundary layer was simulated using different scale roughness blocks, and the test section floor was covered with plywood (surface roughness length, z0 = 0.01 mm). The wind speed (Uref) outside of the boundary layer was maintained at 5.8 m/s. The model hill in the wind tunnel was machined from wood with a cross-section of zs(x,y) = Hcos2(π(x2 + y2)1/2/2L), H = 40 mm, and L = 100 mm. Figure 1 shows the details of the hill and coordinate system used in the study, where x, y, and z are the streamwise, spanwise, and vertical directions, respectively.
Case 2: Askervein hill field experiment.
The Askervein hill project [39,40], carried out in 1982 and 1983, is a major experimental study of the atmospheric boundary layer at a real atmospheric scale. About 50 anemometer towers (equipped with cup and sonic anemometers) were deployed in this experiment, 30 of which were used to observe the wind flow at a 10 m height, arranged on the A and AA (223°–43°) lines, and the B line (133°–313°) perpendicular to them (see Figure 2). In this paper, the case named “TU-03B”, which has about three hours of wind measurement data, was selected to verify the numerical simulation results. The atmospheric stability in this case is close to neutral, the incoming flow direction (210°, i.e., the x-axis direction shown in Figure 2) is approximately parallel to the A line, and the upstream of the hill is uniformly covered with sparse vegetation and is very flat (z0 = 0.027 m). The wind measurement data at the RS point are generally used as a reference for the inflow during the validation.
Case 3 and Case 4: Bolund island field experiment.
The Bolund island experiment was conducted for three months between 2007 and 2008 [41,42]. There are about 35 anemometers, including 23 sonic and 12 cup anemometers, installed on 10 masts at heights between 2 and 15 m to measure the wind flow. These masts are arranged on lines A and B (see Figure 3). There are four masts along line A (along the x-axis), including M1, M2, M3, and M4, and along line B, which are M7, M6, M3, and M8. The experiment has four experimental conditions, two of which are chosen in this paper, with winds from the west (270°, Case 3) and southwest (239°, Case 4). The reference of the inlet wind speed and turbulent kinetic energy is obtained from M0, a mast without any disturbance. The roughness length on the island is 0.015 m, which is the same as that of the area filled with green lines (x > 327 m), and 0.0003 m over the water surface. The atmospheric stability during the experiments was neutral to slightly stable. The thermal and Coriolis effects are almost negligible due to the small height of the island.

3.2. Computational Domain and Mesh Scheme

The computational domain should contain the location of the reference mast (from where the relevant quantities of the inflow profiles can be obtained) and the area of interest for the numerical simulation, and, in addition, it should have enough long upstream and downstream sections to ensure that the inflow profiles and the hill-induced wake are fully developed. In the upstream, from the inlet to the target, the upstream sections can be divided into the following three categories: the inlet flow, approach flow, and incidence flow (as seen in Figure 4a), and to ensure that all three are consistent, i.e., the inflow profile does not decay, the appropriate boundary conditions, turbulence model, and wall function should be chosen.
The computational domain and grid used in this paper are shown in Figure 4b–d, where the meshes around the mountain and near the ground need to be refined. In Case 1, the domain size is the same as the wind tunnel (5.8 m (L) × 0.629 m (W) × 0.9 m (H)), the height of the first grid is 0.1 mm, and the minimum horizontal grid size is 0.002 m. In Case 2, the domain size is 6 km (L) × 6 km (W) × 2 km (H), the minimum horizontal cell size is 7 m, and the minimum vertical cell size is 0.24 m. In Case 3, the domain size is 900 m (L) × 800 m (W) × 1000 m (H), the minimum horizontal cell size is 0.3 m, especially near the cliff, and the minimum vertical cell size is 0.12 m. In Case 4, the computational domain and grid scale are the same as in Case 3, and the hill was rotated by a certain angle to make the inlet stream parallel to the inlet plane. For these four cases, we have conducted corresponding grid independence analyses, and the similar grid schemes as mentioned above have been used in analogous studies [5,10].

3.3. Boundary Conditions and Solver Algorithm

The main boundary conditions of the computational domain are also given in Figure 4a, and the boundary conditions for the basic calculation are summarized in Table 1. In this paper, the ESDU inlet turbulent kinetic energy (TKE) profile [25,43] is chosen, which is better than the RH inlet condition. Several common inlet TKE profiles are discussed in detail in the literature [44]. The inlet wind speed and turbulence variables were fitted with reference to the corresponding experimental reports of the test cases, and the relevant parameters are summarized in Table 2. In order to accurately simulate the flow near the wall, we used a modified wall function [45]. The numerical schemes used in the paper are also summarized in Table 3.

4. Results and Discussions

In this paper, we propose two modified RANS turbulence models. The main purpose of this paper is to evaluate the performance of different RANS turbulence models, including the standard SST k-ω model, the standard linear pressure–strain RSM model, and innovative variants of these two models, in simulating the wind flow over complex terrain by comparing the numerical results with the experimental observations. The main study is to investigate the maintenance characteristics of the velocity and TKE upstream of the computational domain, and the accuracy of the simulation results of the velocity and TKE around the mountain, using multiple measurement points to make a comprehensive comparison from streamwise and vertical directions.
The parameters U/Uref and Δσu/Uref are used as the evaluation criteria of the simulation results of the RANS model in Case 1, ΔU/Uref and Δk/kref are used in Case 2 (ΔU = UUref; Δk = kkref), where Uref and kref denote the wind speed and TKE at the reference site upstream, respectively, and U and k are used in Cases 3–4. Three error statistics methods are used in this paper, including the single-point relative error (e), mean absolute error (MAE), and relative root mean square error (RRMSE), which are defined by the following expressions:
e = S i E i E i 100
MAE = 1 n 1 n ( S i E i )
RRMSE = 1 n 1 n ( S i E i ) 2 / 1 n 1 n E i
where Si and Ei denote the simulated and experimental values at the ith sample point, and Savg and Eavg are the mean values of these two, respectively; e quantifies the numerical difference between the simulated and experimental values; MAE represents the overall deviation between the simulated and experimental values; RRMSE indicates the accuracy of the turbulence model.

4.1. Case 1: 3D Hill Wind Tunnel Experiment

Figure 5 shows the numerical results upstream of the four RANS turbulence models. The mean velocity profiles with different turbulence models are almost the same and are consistent with the inlet conditions. Regarding the turbulence intensity (TI), the TI of the Std SST k-ω model (eTI,in = 19.6%; z/H = 0.5), the Mod SST k-ω model (eTI,in = 11.8%; z/H = 0.5) and Std RSM model (eTI,in = 10.7%; z/H = 0.5) is significantly smaller than the initial given value, especially near the ground; the Mod RSM model (eTI,in = 3.2%, z/H = 0.5) performs the best and has a good agreement with the inlet initial value. From the simulation results, it can be concluded that the inlet conditions based on anisotropic assumptions are more appropriate than those based on isotropic assumptions, and although the modified SST k-ω model outperforms the standard model in terms of the consistency of the inlet profiles, the modified RSM model is more effective.
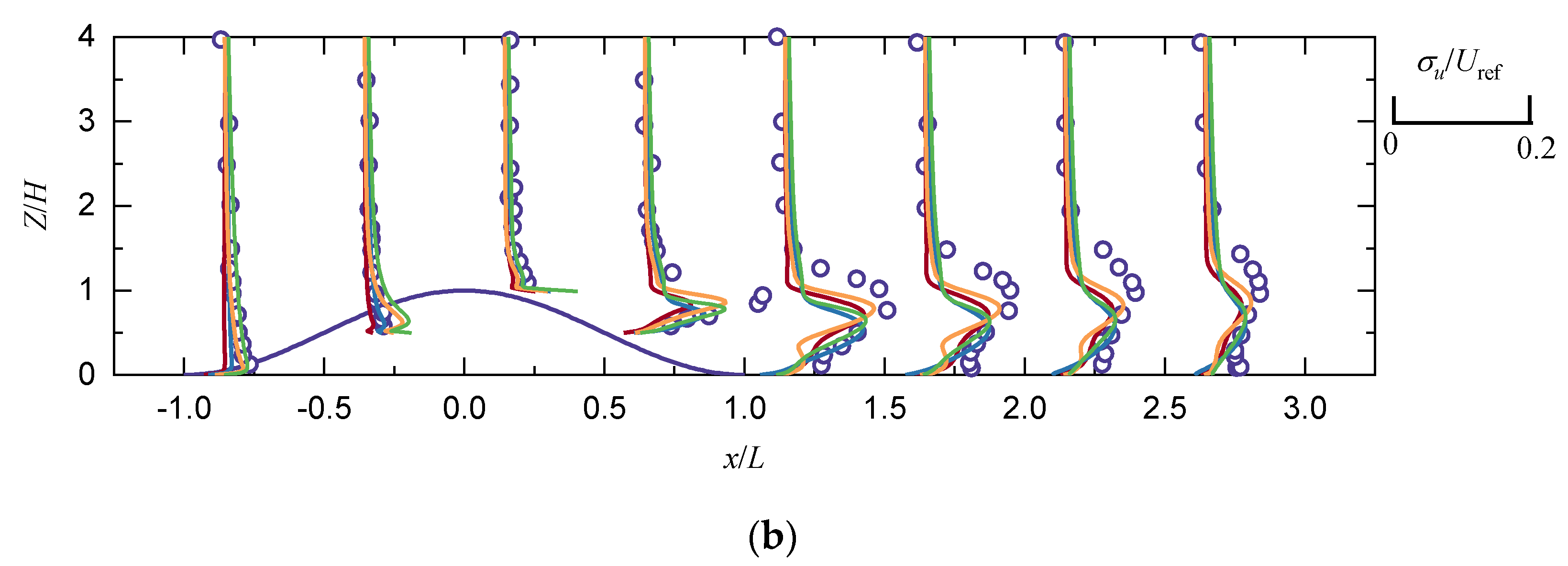
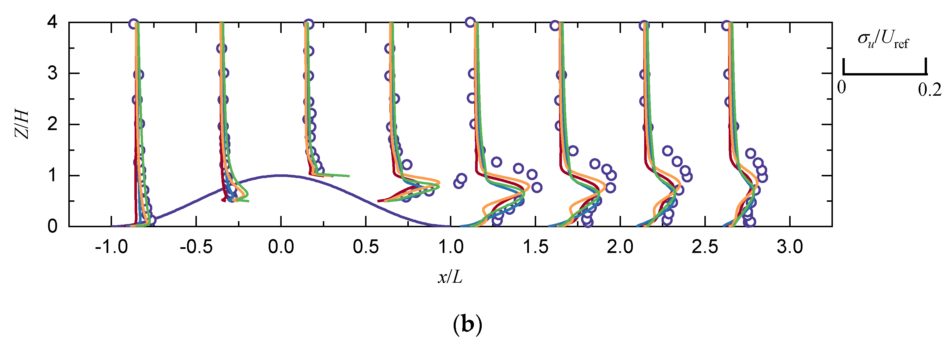
For the wind speed around the hill, it can be seen in Figure 6 that there is no difference between the four RANS models on the windward slope and the hilltop, and that, on the leeward slope and the wake zone of the hill, there is a significant difference between the models, especially at the lower layer (z/H < 2); above this height, there is little difference between the models, and they agree with the experiment. On the leeward slope, the results of the four models are close to the measured data. In the hill wake zone, the wind speed of the Std RSM model and the Std SST k-ω model are smaller than the experimental values (z/H < 0.5). Considering all measurement points, the Mod RSM model and the Mod SST k-ω model best predict the wind speed among the four RANS models. From Figure 7, the Std SST k-ω model and the Mod SST k-ω model perform slightly poorer in wind speed prediction compared to the standard RSM model and the Mod RSM model as the turbulence behind the hill shows anisotropy. The differences in the numerical wind speed of the different models are mainly due to the wind flow separation, which can also be seen in Figure 8, where the results of the Mod RSM model is closer to the experiment.
Regarding the turbulence intensity (TI), it can be seen from Figure 6 that the RANS models generate less turbulence than the experiment behind the hill, especially in the height range of 1 < z/H < 2. In the region of z/H > 2, there is little difference between the RANS models, and in the region of 0.5 < z/H < 1, the TI of the Mod SST k-ω model and the Mod RSM model are closer to the experiment, while the TI of the standard RSM model is significantly smaller than that of the experimental results in the z/H < 0.5 region. From Figure 7, it can be seen that the RSM models are better than the two-equation models for the prediction of TI, where the Mod RSM model performs the best, and combined with the numerical results of the wind speed, it is still the RSM model that performs better than the two-equation model due to the better maintenance of the inlet boundary conditions and the assumption of anisotropy.

4.2. Case 2: Askervein Hill Field Experiment (TU-03B)

Figure 9 shows numerical results in comparison with the experimental data and the LES results [46]. From Figure 9, it can be seen that the numerical wind speeds of the four RANS turbulence models are generally consistent with the initial values given by the inlet, while the LES results are obviously large above 10 m in height. Regarding the simulation of the TKE, there are obvious differences in the numerical results of the four turbulence models, where the TKE error simulated by the Mod RSM model (eTKE = 8%; z = 10 m) and the Mod SST k-ω (eTKE = 7.8%; z = 10 m) are smaller than that of the standard models (eTKE,Std SST k-ω = 32%; eTKE,Std RSM = 25%; z = 10 m) below the height of 100 m at the RS point.
Figure 10a also shows that, near the ground, there is a decay phenomenon of the TKE simulated with the Std RSM model and the Std SST k-ω model from the inlet to the front of the simulated object, while the TKE simulated with the Mod SST k-ω and Mod RSM models is better maintained. This decay of the TKE (the TKE in front of the simulated object is not consistent with the initial value given at the inlet) also affects the simulation of wind flow over the hill, as can be seen in Figure 10b, where the TKE values of the four models differ significantly on the windward and leeward slopes of the hill.
Then, as can be seen in Figure 11, the results of the four turbulence models are almost the same at the windward slope, with more obvious differences at the hilltop and leeward slopes, and similar conclusions can be found in the literature [8]. In the current simulation, the Std SST k-ω model underestimates the wind speed at the top and leeward slope (eu,A-hilltop = 5.6%; eu,mean(A) = 14.92%; eu,max(A) = 78.96%), and the Std RSM model also underestimates the wind speed at the leeward slope (eu,A-hilltop = 1.97%; eu,mean(A) = 12.3%; eu,max(A) = 61.3%). The Mod RSM model performs well from the windward slope to the leeward slope (eu,A-hilltop = 0.79%; eu,mean(A) = 6.3%; eu,max(A) = 10.4%), while the Mod SST k-ω model overestimates the wind speed at the leeward slope (eu,A-hilltop = 3.39%; eu,mean(A) = 13.6%; eu,max(A) = 42.7%). The results of line AA and line B also show that the Std SST k-ω and Mod SST k-ω models have insufficient wind acceleration near the hilltop, and the Std RSM model underestimates the wind speed at the leeward slope.
From Figure 11, all of the four RANS models underestimate the TKE on the leeward slope, while the TKE in the LES model is larger than the experimental value because the incoming TKE in the LES model is also larger (as seen in Figure 9). However, the large TKE of the LES model on the leeward slope also indicates that the experimental data here may have been underestimated, and that the RANS model has a limited predictive capability of the inverse pressure gradient, resulting in insufficient TKE generation. On the leeward slope, the result of the Mod RSM model (eTKE,max(A-leeward) = 28.46%) and Mod SST k-ω model (eTKE,max(A-leeward) = 29.89%) are relatively better, while the Std SST k-ω model (eTKE,max(A-leeward) = 51.33%) seriously underestimates the TKE. On the windward slope, the TKE of the Mod RSM model is slightly larger than the experimental value, as the measurements obtained with the Gill anemometer may be about 20% lower than those of the Sonic anemometer [40]. It can also be seen on line AA and line B that the prediction results of the Mod RSM for the TKE are more appropriate.
The numerical errors of all of the sites of Askervein hill are statistically presented in Figure 12. It can be seen that the MAE values of the wind speed and TKE for the Mod SST k-ω and Mod RSM models are relatively small, at less than 0.12, while the MAE values of the standard model are much larger, and the RRSME values of the Mod RSM model are also smaller than those of the other models. A comprehensive comparison of the errors in the wind speed and TKE values shows that the Std SST k-ω model gives poor results, while the Mod RSM model gives the best results. That is, the modified seven-equation turbulence model based on anisotropy assumptions has greater advantages in predicting the wind speed and turbulent kinetic energy in wind flows over complex terrain.

4.3. Case 3: Bolund Island Field Experiment (270° Wind Direction)

Figure 13 shows the numerical results of the vertical profile (M0) of the wind speed and TKE with different turbulence models. The numerical wind speed of the four RANS turbulence models is also in good agreement with the experiments, while the result of the LES [47] is slightly smaller than the experimental value at the height of 2 m. Regarding the TKE, it is seen from Figure 13 that, at M0, the TKE profile of the ESDU fits well with the experimental data. Similar to Cases 1 and 2, the TKE of the Std SST k-ω model (eTKE,M0 = 38%; z = 5 m) and the Std RSM model (eTKE,M0 = 18%; z = 5 m) have a significant decay near the ground, and the Mod SST k-ω and Mod RSM models agree well with the experimental values, while the TKE of the LES model is smaller than the experimental value above the 5 m height.
Figure 14 shows the four RANS turbulence models for the wind speed over the island. Along lines B and A, the numerical results are better above the 2 m height. Below 2 m, some measurement points deviate from the experimental values, and similar conclusions can be found in reference [10]. The differences in the wind speed predictions between various RANS turbulence models are also evident near the ground due to the separation and reattachment of the wind flow. The size of the separation zone with different turbulence models can be seen in Figure 15, especially near M6 and M8, where the differences in the separation zone is obvious. Similar to Case 1, the standard models have larger separation zones in the leeward slope. Although, for M3, the LES model is more accurate at a 2 m height, for M6 (M2), it is larger than the experiment at a 2 m height, so the LES model also has some errors on the whole.
The wind speed prediction accuracy of the four RANS turbulence models was evaluated by combining the numerical statistical errors of all anemometers from M1 to M8. As can be seen from Table 4, the RRMSE values of all four RANS models are within 0.25, indicating that the wind speed is simulated with a good accuracy. Combined with the other wind speed error statistical indices, the best performance is the Mod RSM model.
Along lines B and A, it can be seen in Figure 14 that the TKE of the Std SST k-ω model is smaller than the experimental value at all measurement points, and the Mod RSM model has better predictions of the TKE than the Std RSM model and the Mod SST k-ω model, which can also be seen in Table 4. It can be seen from Figure 14 and Figure 15 that the Std SST k-ω model generates less turbulent kinetic energy around M6 and M8 than the other models due to the TKE decay and the limitations of the turbulence model itself. The Mod RSM model produces a relatively larger TKE, but this is still inadequate at M6 and M2 near the ground. The prediction of the turbulent kinetic energy behind the cliff is always a challenge for turbulence models, and similar conclusions were found in the literature [10,48].
Through a comprehensive analysis of the TKE statistical errors for all anemometers, it can be seen from Table 4 that the numerical results of the TKE with the two RSM models are better, and the modified RSM model is better than the standard RSM model, while the poorest performance is found in the standard SST k-ω model.

4.4. Case 4: Bolund Island Field Experiment (239° Wind Direction)

When the wind direction is 239°, there are some similar conclusions to those when the wind direction is 270°. At M0, the wind speed of the four RANS turbulence models is also in good agreement with the initial wind speed at the inlet (Figure 16), and the TKE values of the Std SST k-ω model (eTKE,M0 = 44.3%; z = 5 m), Mod SST k-ω model (eTKE,M0 = 25%; z = 5 m), and the Std RSM model (eTKE,M0 = 17.5%; z = 5 m) are significantly decayed.
Along lines A and B, the numerical wind speed differs significantly at M4 and M8, and at M2 and M6 near the ground, and the other results are in good agreement with the experiment, except for the above measurement points (Figure 17). Regarding the TKE, the decay of the Std SST k-ω model is obvious, and the Mod RSM model performs well, while the locations of the measurement points with the largest errors are the same as those for the wind speed. Through a comprehensive comparison, it is found that the Mod RSM model provides better predictions for both the wind speed and the TKE (Table 5).
From Cases 3 and Case 4, it can be seen that, for the TKE, the RSM models, especially the modified RSM model, perform better than the two-equation models because the modified anisotropy models have better maintenance and can also produce a suitable TKE at the cliff. For the wind speed, it can also be seen that the anisotropic models are superior to the two-equation models and predict the speed in the separated region more accurately.
In order to find out the similarities and differences in the effects of the four turbulence models on the simulation results for Cases 1–4, the MAE and RRMSE of the numerical result of the Std SST k-ω model were used as the baseline for the analysis (as shown in Table 6). For the wind speed prediction, although there are different types of separation region shapes for the tested cases due to the different inlet conditions and hill shapes, it can be seen from Table 6 that the Mod SST k-ω model is worse than the other models in all cases except for Case 2, where there is only one height in the experimental data; the results of the Mod RSM model are close to those of the Std SST k-ω model, while the results of the Std RSM model are inconsistent in the four cases; it can be concluded from Case 1 that the separation region shape obtained by the Mod RSM model is closer to the experiment, whereas there is little information on the separation characteristics of Cases 2–4. Regarding the turbulence simulation, the performance of each turbulence model is consistent across the four test cases. As shown in Table 6, the Mod RSM model predicts the turbulence intensity and TKE better than the other three models. At the same time, the RSM model based on each anisotropic turbulence assumption has a larger TKE at the leeward side compared to the two-equation model, which is more consistent with the experimental results.
In the Std SST k-ω model and Std RSM model, Cμ is the default value, i.e., 0.09, which may lead to the severe decay of the TKE in the front of the hill; therefore, this paper recommends that the Mod RSM model could change this parameter to 0.05, which shows better numerical results in the upstream. In the standard models, σk and σε are 1 and 1.3, respectively, and, in the modified version, they are changed to 0.82 and 1, which also contribute to the accurate prediction of the wind speed on the leeward slope. In addition, the modification also compensates for the shortcomings of the standard model in simulating the turbulence on the leeward slope, i.e., the standard models are unable to simulate the non-conservation between the turbulence generation and the dissipation on the leeward slope.

5. Conclusions

In this paper, the effects of different RANS turbulence models on the accuracy of the wind flow prediction over complex terrain were investigated, and two modified RANS turbulence models were proposed. In order to find the most suitable turbulence model for simulating the wind flow over complex terrain, the conventional standard SST k-ω model, the modified SST k-ω model, and the standard RSM model and the modified RSM model have been investigated. Four experimental cases were used to validate the numerical results, and several statistical error indices, such as the MAE and RRMSE, were used to evaluate the numerical results. This paper focused on the following two main aspects: one was the effect of different turbulence models on the maintenance of the inflow turbulent kinetic energy and wind speed, and the other was the predictive ability of the wind speed and turbulent kinetic energy or turbulence intensity along the stream direction and vertical direction for the different turbulence models. The main conclusions of this paper are summarized as follows:
(1)
The differences in the maintenance of the incoming flow by the four turbulence models are mainly present near the ground. For the inflow wind velocity, the mean velocity profiles with the different turbulence models are almost the same and are consistent with the inlet condition; for the inflow TKE or TI, the standard SST k-ω model, the modified SST k-ω model, and the standard RSM model all underestimate near the ground, and the maximum relative error with the experiment can reach 44.3%. Turbulence is well maintained in both of the modified RSM models, i.e., the TKE decays more slowly when the Cμ is reduced from 0.09 to 0.05, which is also consistent with the literature [27].
(2)
For hilly terrain (e.g., Cases 1–2), the differences in the wind speed predictions by the RANS turbulence models are mainly on the leeward slope, where the maximum differences in the RRMSE values among the four models can reach 11%, with smaller differences on the windward slope and hilltop. For cliff terrain (e.g., Cases 3–4), the larger differences in the wind speed prediction by each RANS model are also near the separation zone. For the prediction of the turbulent kinetic energy, the differences among the turbulence models mainly come from the maintenance of the inflow and the predictive ability of the RANS model itself for the separation flow, and the maximum difference in the RRMSE can reach 47%. After comparing the error indices, it is found that the RSM models, which are based on the anisotropy assumption, are superior to the two-equation models, among which the Mod RSM model is better than the standard RSM model. Therefore, the Mod RSM model is recommended to be used for wind flow prediction in complex terrain, through which a better prediction accuracy can be obtained.
(3)
Through Case 1, it was also found that the separation zone of the Mod RSM model is more consistent with the experimental results; the standard SST k-ω model and the standard RSM model usually have earlier separation points, resulting in a larger separation zone, and the Mod SST k-ω model has a slight larger separation zone.
In this study, through the validation of different types of experimental cases, from the wind tunnel to field environment, from small scale to large scale, and the LES results, it is concluded that the Mod RSM model should be preferentially used for the numerical simulation of the wind flow over complex terrain. This is because an adverse pressure gradient is encountered on the leeward slope of the hill, where the nonequilibrium characteristic of the turbulence is prominent and the turbulence is anisotropic. In addition, if the wind energy project focuses only on the wind flow at the hilltop, the Mod SST k-ω model can be used, which has a reduced computer cost and can achieve a precise prediction. In the wind turbine wake simulation, the Mod RSM model is also needed due to the anisotropic and nonequilibrium feature of the turbulence behind the wind turbine. In the future, the applicability of this modified model to the numerical simulations of the wind flow over complex terrain with different inlet conditions and stability, as well as the accuracy of this model to wind turbine wake simulation over complex terrain, can be further investigated.

Author Contributions

Conceptualization, G.M. and L.T.; methodology, G.M. and L.T.; software, G.M.; validation, G.M. and Y.S.; formal analysis, G.M. and Y.S.; investigation, N.Z. and L.T; resources, N.Z.; data curation, G.M.; writing—original draft preparation, G.M. and Y.S.; writing—review and editing, G.M. and Y.S.; visualization, G.M.; supervision, L.T.; project administration, N.Z.; funding acquisition, N.Z. All authors have read and agreed to the published version of the manuscript.

Funding

This work was funded by the National Key R&D Program of China (Gran No. 2022YFB4201200), the Training Program of the Major Research Plan of the National Natural Science Foundation of China (Gran No. 92252103), the Jiangsu Planned Projects for Postdoctoral Research Funds (Gran No. 2023ZB383), and the Natural Science Foundation of Jingsu Province (Gran No. BK2024136).

Institutional Review Board Statement

Not applicable.

Informed Consent Statement

Not applicable.

Data Availability Statement

The data presented in this study are available on request from the corresponding author.

Conflicts of Interest

The authors declare no conflicts of interest.

References

  1. Alfredsson, P.H.; Segalini, A. Introduction to Wind Farms in Complex Terrains: An Introduction. Philos. Trans. R. Soc. A 2017, 375, 20160096. [Google Scholar] [CrossRef] [PubMed]
  2. Hyvärinen, A.; Lacagnina, G.; Segalini, A. A Wind-Tunnel Study of the Wake Development Behind Wind Turbines Over Sinusoidal Hills. Wind Energy 2018, 21, 605–617. [Google Scholar] [CrossRef]
  3. Hyvärinen, A.; Segalini, A. Effects from complex terrain on wind-turbine performance. J. Energy Resour. Technol. 2017, 139, 051205. [Google Scholar] [CrossRef]
  4. Gao, X.; Chen, Y.; Xu, S.; Gao, W.; Zhu, X.; Sun, H.; Yang, H.; Han, Z.; Wang, Y.; Lu, H. Comparative experimental investigation into wake characteristics of turbines in three wind farm areas with varying terrain complexity from LiDAR measurements. Appl. Energy 2022, 307, 118182. [Google Scholar] [CrossRef]
  5. Castro, F.A.; Palma, J.M.L.M.; Lopes, A.S. Simulation of the Askervein Flow. Part 1: Reynolds Averaged Navier–Stokes Equations (k-epsilon Turbulence Model). Bound.-Layer Meteorol. 2003, 107, 501–530. [Google Scholar] [CrossRef]
  6. Chitta, V.; Jamal, T.; Walters, D.K. Computational Fluid Dynamics Study of Separated Flow Over a Three-Dimensional Axisymmetric Hill. J. Fluids Eng. 2018, 141, 011205. [Google Scholar] [CrossRef]
  7. Abdi, D.S.; Bitsuamlak, G.T. Wind Flow Simulations on Idealized and Real Complex Terrain Using Various Turbulence Models. Adv. Eng. Softw. 2014, 75, 30–41. [Google Scholar] [CrossRef]
  8. Yan, S.; Shi, S.; Chen, X.; Wang, X.; Mao, L.; Liu, X. Numerical Simulations of Flow Interactions Between Steep Hill Terrain and Large-Scale Wind Turbine. Energy 2018, 151, 740–747. [Google Scholar] [CrossRef]
  9. Loureiro, J.B.; Alho, A.T.; Freire, A.P.S. The Numerical Computation of Near-Wall Turbulent Flow Over a Steep Hill. J. Wind Eng. Ind. Aerodyn. 2008, 96, 540–561. [Google Scholar] [CrossRef]
  10. Prospathopoulos, J.M.; Politis, E.S.; Chaviaropoulos, P.K. Application of a 3D RANS Solver on the Complex Hill of Bolund and Assessment of the Wind Flow Predictions. J. Wind Eng. Ind. Aerodyn. 2012, 107–108, 149–159. [Google Scholar] [CrossRef]
  11. Narjisse, A.; Abdellatif, K. Assessment of RANS Turbulence Closure Models for Predicting Airflow in Neutral ABL over Hilly Terrain. Int. Rev. Appl. Sci. Eng. 2021, 12, 238–256. [Google Scholar] [CrossRef]
  12. Undheim, O.; Andersson, H.I.; Berge, E. Non-Linear, Microscale Modelling of the Flow Over Askervein Hill. Bound.-Layer Meteorol. 2006, 120, 477–495. [Google Scholar] [CrossRef]
  13. Prospathopoulos, J.; Voutsinas, S.G. Implementation Issues in 3D Wind Flow Predictions over Complex Terrain. J. Sol. Energy Eng. 2006, 128, 539–553. [Google Scholar] [CrossRef]
  14. Panofsky, H.A.; Dutton, J.A. Atmospheric Turbulence; John Wiley & Sons Ltd.: Hoboken, NJ, USA, 1984. [Google Scholar]
  15. Makridis, A. Modelling of Wind Turbine Wakes in Complex Terrain Using Computational Fluid Dynamics; ProQuest Dissertations Publishing: Ann Arbor, MI, USA, 2012. [Google Scholar]
  16. Wilcox, D.C. Turbulence Modeling for CFD; DCW Industries, Inc.: La Canada, CA, USA, 2006. [Google Scholar]
  17. Simisiroglou, N.; Karatsioris, M.; Nilsson, K.; Breton, S.; Ivanell, S. The Actuator Disc Concept in PHOENICS. Energy Procedia 2016, 94, 269–277. [Google Scholar] [CrossRef]
  18. Versteeg, H.K.; Malalasekera, W. An Introduction to Computational Fluid Dynamics: The Finite Volume Method; Pearson Education Limited: Macao, China, 2007. [Google Scholar]
  19. Blazek, J. Computational Fluid Dynamics: Principles and Applications; Elsevier Science Ltd.: Amsterdam, The Netherlands, 2001. [Google Scholar]
  20. Prospathopoulos, J.M.; Politis, E.S.; Chaviaropoulos, P.K. Modelling Wind Turbine Wakes in Complex Terrain. In Proceedings of the European Wind Energy Conference and Exhibition, Brussels, Belgium, 31 March–3 April 2008; Volume 1, pp. 382–398. [Google Scholar]
  21. Pope, S.B. Turbulent Flows; Cambridge University Press: Cambridge, UK, 2000. [Google Scholar]
  22. Richards, P.; Hoxey, R. Appropriate Boundary-Conditions for Computational Wind Engineering Models Using the Kappa-Epsilon Turbulence Model. J. Wind Eng. Ind. Aerodyn. 1993, 46–47, 145–153. [Google Scholar] [CrossRef]
  23. Klebanoff, P.S. Characteristics of Turbulence in a Boundary Layer with Zero Pressure Gradient. NACA Rep. 1955, 1247. [Google Scholar] [CrossRef]
  24. Hagen, L.J.; Skidmore, E.L.; Miller, P.L.; Kipp, J.E. Simulation of Effect of Wind Barriers on Airflow. Trans. ASAE 1981, 24, 1002–1008. [Google Scholar] [CrossRef]
  25. ESDU 85020; Characteristics of Atmospheric Turbulence Near the Ground. ESDU: Cranfield, UK, 1985.
  26. Tian, L.; Song, Y.; Zhao, N.; Shen, W.; Wang, T. AD/RANS Simulations of Wind Turbine Wake Flow Employing the RSM Turbulence Model: Impact of Isotropic and Anisotropic Inflow Conditions. Energies 2019, 12, 4026. [Google Scholar] [CrossRef]
  27. Sarkar, D.; Savory, E. Numerical Modeling of Freestream Turbulence Decay Using Different Commercial Computational Fluid Dynamics Codes. J. Fluids Eng. 2021, 143, 041503. [Google Scholar] [CrossRef]
  28. Abid, R.; Rumsey, C.; Gatski, T. Prediction of Nonequilibrium Turbulent Flows with Explicit Algebraic Stress Models. AIAA J. 1995, 33, 2026–2031. [Google Scholar] [CrossRef]
  29. Fluent Inc. Modeling Turbulent Flows. Fluent Software Training TRN-99-003; Fluent Inc.: New York, NY, USA, 2001. [Google Scholar]
  30. ANSYS Canada Ltd. CFX-5 Solver Modelling; ANSYS Canada Ltd.: Waterloo, ON, Canada, 2004. [Google Scholar]
  31. Yang, W.; Quan, Y.; Jin, X.; Tamura, Y.; Gu, M. Influences of Equilibrium Atmosphere Boundary Layer and Turbulence Parameter on Wind Loads of Low-Rise Buildings. J. Wind Eng. Ind. Aerodyn. 2008, 96, 2080–2092. [Google Scholar] [CrossRef]
  32. Yang, Y.; Xie, Z.; Gu, M. Consistent Inflow Boundary Conditions for Modeling the Neutral Equilibrium Atmospheric Boundary Layer for the SST k-ω Model. Wind Struct. 2017, 24, 465–480. [Google Scholar] [CrossRef]
  33. Antonini, E.; Romero, D.; Amon, C. Analysis and Modifications of Turbulence Models for Wind Turbine Wake Simulations in Atmospheric Boundary Layers. J. Sol. Energy Eng. 2018, 140, 1–13. [Google Scholar] [CrossRef]
  34. Fluent Inc. FLUENT 6.3 User’s Guide; Fluent Inc.: Lebanon, NH, USA, 2006. [Google Scholar]
  35. Blocken, B.; Stathopoulos, T.; Saathoff, P.; Wang, X. Numerical Evaluation of Pollutant Dispersion in the Built Environment: Comparisons Between Models and Experiments. J. Wind Eng. Ind. Aerodyn. 2008, 96, 1817–1831. [Google Scholar] [CrossRef]
  36. Lien, F.S.; Leschziner, M.A. Assessment of Turbulent Transport Models Including Non-Linear RNG Eddy-Viscosity Formulation and Second-Moment Closure for Flow Over a Backward-Facing Step. Comput. Fluids 1994, 23, 983–1004. [Google Scholar] [CrossRef]
  37. Ishihara, T.; Fujino, Y.; Hibi, K. A Wind Tunnel Study of Separated Flow Over a Two-Dimensional Ridge and a Circular Hill. J. Wind Eng. 2001, 89, 573–576. [Google Scholar]
  38. Ishihara, T.; Hibi, K.; Oikawa, S. A Wind Tunnel Study of Turbulent Flow Over a Three-Dimensional Steep Hill. J. Wind Eng. Ind. Aerodyn. 1999, 83, 95–107. [Google Scholar] [CrossRef]
  39. Taylor, P.; Teunissen, H.W. Askervein ’82: Report on the September/October 1982 Experiment to Study Boundary Layer Flow Over Askervein, South Uist; Technical Report MSRS-83-8; Meteorological Services Research Branch, Atmospheric Environment Service: Downsview, ON, Canada, 1983. [Google Scholar]
  40. Taylor, P.; Teunissen, H.W. The Askervein Hill Project: Report on the September/October 1983, Main Field Experiment; Technical Report MSRS-84-6; Meteorological Services Research Branch, Atmospheric Environment Service: Downsview, ON, Canada, 1985. [Google Scholar]
  41. Bechmann, A.; Berg, J.; Courtney, M.; Jørgensen, H.E.; Mann, J.; Sørensen, N.N. The Bolund Experiment: Overview and Background; Technical Report; Danmarks Tekniske Universitet: Kongens Lyngby, Denmark, 2009. [Google Scholar]
  42. Berg, J.; Mann, J.; Bechmann, A.; Courtney, M.S.; Jørgensen, H.E. The Bolund Experiment, Part I: Flow Over a Steep, Three-Dimensional Hill. Bound.-Layer Meteorol. 2011, 141, 219–243. [Google Scholar] [CrossRef]
  43. Tian, L.; Zhao, N.; Wang, T.; Zhu, W.; Shen, W. Assessment of Inflow Boundary Conditions for RANS Simulations of Neutral ABL and Wind Turbine Wake Flow. J. Wind Eng. Ind. Aerodyn. 2018, 179, 215–228. [Google Scholar] [CrossRef]
  44. Han, Y.; Stoellinger, M.K. RANS Simulations of Neutral Atmospheric Boundary Layer Flow Over Complex Terrain with Comparisons to Field Measurements. Wind Energy 2019, 23, 2. [Google Scholar] [CrossRef]
  45. Balogh, M.; Parente, A.; Benocci, C. RANS Simulation of ABL Flow Over Complex Terrains Applying an Enhanced k-ε Model and Wall Function Formulation: Implementation and Comparison for Fluent and OpenFOAM. J. Wind Eng. Ind. Aerodyn. 2012, 104–106, 360–368. [Google Scholar] [CrossRef]
  46. Silva Lopes, A.; Palma, J.M.L.M.; Castro, F.A. Simulation of the Askervein Flow. Part 2: Large-Eddy Simulations. Bound.-Layer Meteorol. 2007, 125, 85–108. [Google Scholar] [CrossRef]
  47. Conan, B.; Chaudhari, A.; Aubrun, S.; van Beeck, J.; Hämäläinen, J.; Hellsten, A. Experimental and Numerical Modelling of Flow Over Complex Terrain: The Bolund Hill. Bound.-Layer Meteorol. 2016, 158, 183–208. [Google Scholar] [CrossRef]
  48. Chaudhari, A.; Hellsten, A.; Hämäläinen, J. Full-Scale Experimental Validation of Large-Eddy Simulation of Wind Flows Over Complex Terrain: The Bolund Hill. Adv. Meteorol. 2016, 2016, 9232759. [Google Scholar] [CrossRef]
Figure 1. Schematic of the geometrical configuration of the 3D hill model.
Figure 1. Schematic of the geometrical configuration of the 3D hill model.
Applsci 14 11438 g001
Figure 2. Illustration of the geographical location of the meteorological masts on Askervein hill.
Figure 2. Illustration of the geographical location of the meteorological masts on Askervein hill.
Applsci 14 11438 g002
Figure 3. Illustration of the measurement locations on Bolund island.
Figure 3. Illustration of the measurement locations on Bolund island.
Applsci 14 11438 g003
Figure 4. Schematic of the computational domain and validation cases grid. (a) Computational domain boundary conditions; (b) Wind tunnel 3D hill model case; (c) Askervein hill case; (d) Bolund island case.
Figure 4. Schematic of the computational domain and validation cases grid. (a) Computational domain boundary conditions; (b) Wind tunnel 3D hill model case; (c) Askervein hill case; (d) Bolund island case.
Applsci 14 11438 g004
Figure 5. Vertical profiles of the mean streamwise velocity and turbulence intensity in the upstream of Case 1, where the reference wind speed Uref = 5.8 m/s, and the probe location is at x/L = −24. (a) Dimensionless wind speed (U/Uref); (b) Turbulence intensity in the streamwise direction (Iu).
Figure 5. Vertical profiles of the mean streamwise velocity and turbulence intensity in the upstream of Case 1, where the reference wind speed Uref = 5.8 m/s, and the probe location is at x/L = −24. (a) Dimensionless wind speed (U/Uref); (b) Turbulence intensity in the streamwise direction (Iu).
Applsci 14 11438 g005
Figure 6. Vertical profiles of the mean streamwise velocity and turbulence intensity on the central plane of the hill in Case 1, where the reference wind speed Uref = 5.8 m/s, and x/L ranges from −1 to 2.5. (a) Dimensionless wind speed (U/Uref); (b) Turbulence intensity in the streamwise direction (σu/Uref).
Figure 6. Vertical profiles of the mean streamwise velocity and turbulence intensity on the central plane of the hill in Case 1, where the reference wind speed Uref = 5.8 m/s, and x/L ranges from −1 to 2.5. (a) Dimensionless wind speed (U/Uref); (b) Turbulence intensity in the streamwise direction (σu/Uref).
Applsci 14 11438 g006aApplsci 14 11438 g006b
Figure 7. Statistical error of the dimensionless wind speed (U/Uref) and streamwise direction turbulence intensity (σu/Uref) in Figure 6, considering all measurement locations around the hill (about 102 in total) in Case 1. (a) Mean absolute error of U/Uref and σu/Uref; (b) Relative root mean square error of U/Uref and σu/Uref.
Figure 7. Statistical error of the dimensionless wind speed (U/Uref) and streamwise direction turbulence intensity (σu/Uref) in Figure 6, considering all measurement locations around the hill (about 102 in total) in Case 1. (a) Mean absolute error of U/Uref and σu/Uref; (b) Relative root mean square error of U/Uref and σu/Uref.
Applsci 14 11438 g007
Figure 8. Contours of the streamwise velocity in the vertical midplane of the domain. The positions of the separation and reattachment points are shown by vertical solid lines, respectively. The positions of the separation and reattachment points for the experiment were xs/H = 0.9 and xr/H = 2.5, respectively.
Figure 8. Contours of the streamwise velocity in the vertical midplane of the domain. The positions of the separation and reattachment points are shown by vertical solid lines, respectively. The positions of the separation and reattachment points for the experiment were xs/H = 0.9 and xr/H = 2.5, respectively.
Applsci 14 11438 g008
Figure 9. Numerical results at the RS location in the Askervein experiment case. ‘Cup’, ‘Sonic’, ‘Tilted Gill UVW’, ‘Vertical Gill UVW’, and ‘BRE tala kite’ stand for the different types of experimental data and fitting the Sonic data with the log-law wind speed profile. (a) Vertical distribution of the wind speed; (b) TKE profile.
Figure 9. Numerical results at the RS location in the Askervein experiment case. ‘Cup’, ‘Sonic’, ‘Tilted Gill UVW’, ‘Vertical Gill UVW’, and ‘BRE tala kite’ stand for the different types of experimental data and fitting the Sonic data with the log-law wind speed profile. (a) Vertical distribution of the wind speed; (b) TKE profile.
Applsci 14 11438 g009
Figure 10. TKE contour plots of the vertical slice along the x-direction through the RS point in Case 2. (a) TKE decay in the upstream region from the inlet boundary to the front of the hill; (b) TKE around the hill.
Figure 10. TKE contour plots of the vertical slice along the x-direction through the RS point in Case 2. (a) TKE decay in the upstream region from the inlet boundary to the front of the hill; (b) TKE around the hill.
Applsci 14 11438 g010
Figure 11. Numerical results of the Askervein experiment. Normalized wind speed and TKE along lines A, AA, and B at 10 m from the ground, where Uref = 9.1 m/s, kref = 1.76 m2/s2, and zref = 10 m. ‘Exp’ stands for experimental data and ‘H/Htop’ stands for dimensionless hill height. (a) Wind speed-up on line A; (b) TKE increase ratio on line A; (c) Wind speed-up on line AA; (d) TKE increase ratio on line AA; (e) Wind speed-up on line B.
Figure 11. Numerical results of the Askervein experiment. Normalized wind speed and TKE along lines A, AA, and B at 10 m from the ground, where Uref = 9.1 m/s, kref = 1.76 m2/s2, and zref = 10 m. ‘Exp’ stands for experimental data and ‘H/Htop’ stands for dimensionless hill height. (a) Wind speed-up on line A; (b) TKE increase ratio on line A; (c) Wind speed-up on line AA; (d) TKE increase ratio on line AA; (e) Wind speed-up on line B.
Applsci 14 11438 g011
Figure 12. Statistical error of the wind speed (U) and turbulent kinetic energy (TKE) in Figure 11, considering all of the sites of Askervein hill (wind speed measurement sites: 40 in total; TKE measurement sites: 12 in total) in Case 2. (a) Mean absolute error of U and TKE; (b) Relative root mean square error of U and TKE.
Figure 12. Statistical error of the wind speed (U) and turbulent kinetic energy (TKE) in Figure 11, considering all of the sites of Askervein hill (wind speed measurement sites: 40 in total; TKE measurement sites: 12 in total) in Case 2. (a) Mean absolute error of U and TKE; (b) Relative root mean square error of U and TKE.
Applsci 14 11438 g012
Figure 13. Vertical profiles of wind speed and TKE at location M0 (Bolund island case, 270° wind direction); z is the height above the ground, which, for M0, is above sea level. (a) Wind speed profile; (b) Turbulent kinetic energy profile.
Figure 13. Vertical profiles of wind speed and TKE at location M0 (Bolund island case, 270° wind direction); z is the height above the ground, which, for M0, is above sea level. (a) Wind speed profile; (b) Turbulent kinetic energy profile.
Applsci 14 11438 g013
Figure 14. Vertical profiles of the wind speed and TKE (Bolund island case, 270° wind direction). ‘Cup’ and ‘Sonic’ stand for different types of experiment data; z is the height above the ground and ‘H/Htop’ stands for the dimensionless island height. (a) Wind speed profile along line B; (b) Wind speed profile along line A; (c) Turbulent kinetic energy profile along line B; (d) Turbulent kinetic energy profile along Line A; (e) Measurement locations along line B; (f) Measurement locations along line A.
Figure 14. Vertical profiles of the wind speed and TKE (Bolund island case, 270° wind direction). ‘Cup’ and ‘Sonic’ stand for different types of experiment data; z is the height above the ground and ‘H/Htop’ stands for the dimensionless island height. (a) Wind speed profile along line B; (b) Wind speed profile along line A; (c) Turbulent kinetic energy profile along line B; (d) Turbulent kinetic energy profile along Line A; (e) Measurement locations along line B; (f) Measurement locations along line A.
Applsci 14 11438 g014
Figure 15. Vertical cross-section of the wind speed and TKE along line B (Bolund island case, 270° wind direction). The values of the wind speed (a) and TKE (b) for the white contour are 0 m/s and 3 m2/s2, respectively.
Figure 15. Vertical cross-section of the wind speed and TKE along line B (Bolund island case, 270° wind direction). The values of the wind speed (a) and TKE (b) for the white contour are 0 m/s and 3 m2/s2, respectively.
Applsci 14 11438 g015
Figure 16. Vertical profiles of the wind speed and TKE at location M0 (Bolund island case, 239° wind direction); z is the height above the ground, which, for M0, is above sea level. (a) Wind speed profile; (b) Turbulent kinetic energy profile.
Figure 16. Vertical profiles of the wind speed and TKE at location M0 (Bolund island case, 239° wind direction); z is the height above the ground, which, for M0, is above sea level. (a) Wind speed profile; (b) Turbulent kinetic energy profile.
Applsci 14 11438 g016
Figure 17. Vertical profiles of the wind speed and TKE (Bolund island case, 239° wind direction). ‘Cup’ and ‘Sonic’ stand for the different types of experimental data; z is the height above the ground. (a) Wind speed profile along line A; (b) Wind speed profile along line B; (c) Turbulent kinetic energy profile along line A; (d) Turbulent kinetic energy profile along line B.
Figure 17. Vertical profiles of the wind speed and TKE (Bolund island case, 239° wind direction). ‘Cup’ and ‘Sonic’ stand for the different types of experimental data; z is the height above the ground. (a) Wind speed profile along line A; (b) Wind speed profile along line B; (c) Turbulent kinetic energy profile along line A; (d) Turbulent kinetic energy profile along line B.
Applsci 14 11438 g017
Table 1. Boundary conditions of the basic calculation model; z is the height above the ground.
Table 1. Boundary conditions of the basic calculation model; z is the height above the ground.
LocationBoundary Conditions
Inlet boundary
(the inlet wind speed and turbulence profile are shown on the right when z < Habl, and u, k, and ε are constant when zHabl)
Velocity inlet:
U = u κ ( z + z 0 z 0 )   u w ¯ = u 2 ( 1 z H a b l ) 2   k = u 2 C μ ( 1 z H a b l ) 2
ε = u 3 κ ( z + z 0 ) ( 1 z H a b l ) 2   ω = u β κ ( z + z 0 )   u u ¯ = 2.4 2 5.466 k
v v ¯ = 1.9 2 5.466 k   w w ¯ = 1.25 2 5.466 k   v w ¯ = u v ¯ = 0
Outlet boundaryOutflow: x ( U x , U y , U z , k , ε ) = 0
Lateral boundarySymmetry: x ( U x , U y , U z , k , ε ) = 0   U y = 0
Upper boundarySymmetry: x ( U x , U y , U z , k , ε ) = 0   U   z = 0
Lower boundaryModify wall function: K s = 0.95 z p   C S = 9.793 z 0 0.95 ( z 0 + z p )
Table 2. Inflow conditions for the four test cases: u , friction velocity; Habl, the atmospheric boundary layer height; κ, the von Kármán constant (≈0.4).
Table 2. Inflow conditions for the four test cases: u , friction velocity; Habl, the atmospheric boundary layer height; κ, the von Kármán constant (≈0.4).
Test Cases u [m/s]Habl [m]
Case 1: 3D hill in wind tunnel0.210.419
Case 2: Askervein hill0.612850
Case 3: Bolund island (270°)0.469644
Case 4: Bolund island (239°)0.3559494
Table 3. Summary of the numerical schemes in the CFD simulations.
Table 3. Summary of the numerical schemes in the CFD simulations.
Numerical Schemes
SolverAnsys Fluent 19.0.
Solving algorithmSIMPLE algorithm for the pressure–velocity coupling, Green–Gauss node-based approach for the calculation of gradients, the second-order upwind schemes for velocity and turbulence, and the PRESTO! scheme for pressure.
Convergence criteriaBelow 1 × 10−6 for all residuals.
Computational costConvergence is achieved in 963 and 1699 CPU hours for Case 1 with the two-equation model and the RSM model, 358 and 759 CPU hours for Case 2, and 2999 and 5695 CPU hours for Cases 3 and Case4, respectively.
Table 4. Statistical errors of the numerical results for all masts (M1-M8, 22 in total; Bolund island case, 270° wind direction).
Table 4. Statistical errors of the numerical results for all masts (M1-M8, 22 in total; Bolund island case, 270° wind direction).
Turbulence ModelWind SpeedTKE
MAE(m/s)RRMSEMAE(m/s)RRMSE
Std SST k-ω0.0716 0.1981 3.0342 0.9271
Mod SST k-ω0.5635 0.2455 2.5624 0.8906
Std RSM0.5916 0.1613 1.9366 0.7148
Mod RSM0.0960 0.1592 1.8774 0.7072
Table 5. Statistical errors of the numerical results for all masts (M1–M8, 22 in total; Bolund island case, 239° wind direction).
Table 5. Statistical errors of the numerical results for all masts (M1–M8, 22 in total; Bolund island case, 239° wind direction).
Turbulence ModelWind SpeedTKE
MAE(m/s)RRMSEMAE(m/s)RRMSE
Std SST k-ω0.1819 0.1687 1.5488 0.8312
Mod SST k-ω0.5783 0.2256 0.9641 0.5682
Std RSM0.1289 0.1618 0.9751 0.6540
Mod RSM0.2434 0.1824 0.7895 0.5300
Table 6. Statistical errors of numerical results for Cases 1–4. ‘MAEStd SST’ and ‘RRMSEStd SST’ stand for the values of the Std SST k-ω model.
Table 6. Statistical errors of numerical results for Cases 1–4. ‘MAEStd SST’ and ‘RRMSEStd SST’ stand for the values of the Std SST k-ω model.
Test CasesTurbulence ModelWind SpeedTurbulence Intensity/TKE
MAE/MAEStd SSTRRMSE/RRMSEStd SSTMAE/MAEStd SSTRRMSE/RRMSEStd SST
Case 1Std SST k-ω1.001.001.001.00
Mod SST k-ω2.001.230.680.94
Std RSM0.330.800.760.82
Mod RSM1.250.990.480.89
Case 2Std SST k-ω1.001.001.001.00
Mod SST k-ω0.030.910.190.67
Std RSM0.520.930.410.58
Mod RSM0.170.770.100.51
Case 3Std SST k-ω1.001.001.001.00
Mod SST k-ω7.871.240.840.96
Std RSM8.260.810.640.77
Mod RSM1.340.800.620.76
Case 4Std SST k-ω1.001.001.001.00
Mod SST k-ω3.181.340.620.68
Std RSM0.710.960.630.79
Mod RSM1.341.080.510.64
Disclaimer/Publisher’s Note: The statements, opinions and data contained in all publications are solely those of the individual author(s) and contributor(s) and not of MDPI and/or the editor(s). MDPI and/or the editor(s) disclaim responsibility for any injury to people or property resulting from any ideas, methods, instructions or products referred to in the content.

Share and Cite

MDPI and ACS Style

Ma, G.; Tian, L.; Song, Y.; Zhao, N. Effects of Turbulence Modeling on the Simulation of Wind Flow over Typical Complex Terrains. Appl. Sci. 2024, 14, 11438. https://doi.org/10.3390/app142311438

AMA Style

Ma G, Tian L, Song Y, Zhao N. Effects of Turbulence Modeling on the Simulation of Wind Flow over Typical Complex Terrains. Applied Sciences. 2024; 14(23):11438. https://doi.org/10.3390/app142311438

Chicago/Turabian Style

Ma, Guolin, Linlin Tian, Yilei Song, and Ning Zhao. 2024. "Effects of Turbulence Modeling on the Simulation of Wind Flow over Typical Complex Terrains" Applied Sciences 14, no. 23: 11438. https://doi.org/10.3390/app142311438

APA Style

Ma, G., Tian, L., Song, Y., & Zhao, N. (2024). Effects of Turbulence Modeling on the Simulation of Wind Flow over Typical Complex Terrains. Applied Sciences, 14(23), 11438. https://doi.org/10.3390/app142311438

Note that from the first issue of 2016, this journal uses article numbers instead of page numbers. See further details here.

Article Metrics

Back to TopTop