Text Network Analysis to Develop a Search Strategy for a Systematic Review
Abstract
1. Introduction
2. Materials and Methods
2.1. Data Collection
2.1.1. Setting a Research Topic
2.1.2. Data Sources and Search Strategy
2.1.3. Keywords Extraction
2.2. Text Network Analysis
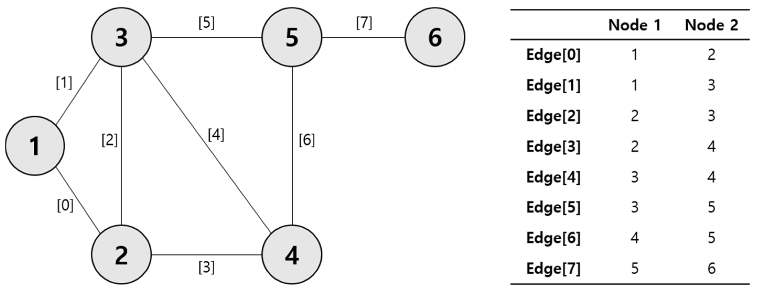
2.2.1. Edge List for Network
2.2.2. Creating and Visualizing a Network
2.2.3. Network Centrality Analysis
3. Results
4. Conclusions
Supplementary Materials
Author Contributions
Funding
Institutional Review Board Statement
Informed Consent Statement
Data Availability Statement
Conflicts of Interest
References
- Higgins, J.P.; Green, S. Cochrane Handbook for Systematic Reviews of Interventions. Version 5.1.0. 2011. Available online: http://www.cochrane-handbook.org (accessed on 1 May 2019).
- Shim, S.R.; Kim, S.-J. Intervention meta-analysis: Application and practice using R software. Epidemiol. Health 2019, 41, e2019008. [Google Scholar] [CrossRef]
- Johnston, L.; Fineout-Overholt, E. Teaching EBP: “Getting from zero to one”. Moving from recognizing and admitting uncertainties to asking searchable, answerable questions. Worldviews Evid.-Based Nurs. 2005, 2, 98–102. [Google Scholar] [CrossRef]
- Rhee, T.G.; Shim, S.R.; Forester, B.P.; Nierenberg, A.A.; McIntyre, R.S.; Papakostas, G.I.; Krystal, J.H.; Sanacora, G.; Wilkinson, S.T. Efficacy and safety of ketamine vs electroconvulsive therapy among patients with major depressive episode: A systematic review and meta-analysis. JAMA Psychiatry 2022, 79, 1162–1172. [Google Scholar] [CrossRef] [PubMed]
- Rhee, T.G.; Shim, S.R.; Manning, K.J.; Tennen, H.A.; Kaster, T.S.; d’Andrea, G.; Forester, B.P.; Nierenberg, A.A.; McIntyre, R.S.; Steffens, D.C. Neuropsychological Assessments of Cognitive Impairment in Major Depressive Disorder: A Systematic Review and Meta-Analysis with Meta-Regression. Psychother. Psychosom. 2024, 93, 8–23. [Google Scholar] [CrossRef] [PubMed]
- Popping, R. Computer-Assisted Text Analysis; SAGE Publications: Thousand Oaks, CA, USA, 1999; pp. 1–240. [Google Scholar]
- Daraio, C.; Kerstens, K.H.; Nepomuceno, T.C.C.; Sickles, R. Productivity and efficiency analysis software: An exploratory bibliographical survey of the options. J. Econ. Surv. 2019, 33, 85–100. [Google Scholar] [CrossRef]
- Nepomuceno, T.C.C.; Costa, A.P.C.S.; Daraio, C. Theoretical and Empirical Advances in the Assessment of Productive Efficiency since the introduction of DEA: A Bibliometric Analysis. Int. J. Oper. Res. 2023, 46, 505–549. [Google Scholar] [CrossRef]
- De Carvalho, V.D.H.; Costa, A. Exploring Text Mining and Analytics for Applications in Public Security: An in-depth dive into a systematic literature review. Socioecon. Anal 2023, 1, 5–55. [Google Scholar] [CrossRef]
- Satarova, B.; Siddiqui, T.; Raza, H.; Abbasi, N.; Kydyrkozha, S. A Systematic Review of “The Performance of Knowledge Organizations and Modelling Human Action”. Socioecon. Anal 2023, 1, 56–77. [Google Scholar] [CrossRef]
- NetMiner. Available online: https://www.netminer.com/kr/index.php (accessed on 17 May 2024).
- Bibliometrix. Available online: https://www.bibliometrix.org/home/ (accessed on 17 May 2024).
- Kim, S.; Lee, W.S. Network text analysis of medical tourism in newspapers using text mining: The South Korea case. Tour. Manag. Perspect. 2019, 31, 332–339. [Google Scholar] [CrossRef]
- Kowsar, R.; Rahimi, A.M.; Sroka, M.; Mansouri, A.; Sadeghi, K.; Bonakdar, E.; Kateb, S.F.; Mahdavi, A.H. Risk of mortality in COVID-19 patients: A meta-and network analysis. Sci. Rep. 2023, 13, 2138. [Google Scholar] [CrossRef] [PubMed]
- Loscalzo, J. Molecular interaction networks and drug development: Novel approach to drug target identification and drug repositioning. FASEB J. 2023, 37, e22660. [Google Scholar] [CrossRef]
- UNICEF. Arsenic Primer: Guidance on the Investigation & Mitigation of Arsenic Contamination; UNICEF Water, Sanitation and Hygiene Section and WHO Water, Sanitation and Hygiene and Health Unit; United Nations Children’s Fund (UNICEF): New York, NY, USA, 2018. [Google Scholar]
- Smith, A.H.; Hopenhayn-Rich, C.; Bates, M.N.; Goeden, H.M.; Hertz-Picciotto, I.; Duggan, H.M.; Wood, R.; Kosnett, M.J.; Smith, M.T. Cancer risks from arsenic in drinking water. Environ. Health Perspect 1992, 97, 259–267. [Google Scholar] [CrossRef]
- Abdul, K.S.M.; Jayasinghe, S.S.; Chandana, E.P.; Jayasumana, C.; De Silva, P.M.C. Arsenic and human health effects: A review. Environ. Toxicol. Pharmacol. 2015, 40, 828–846. [Google Scholar] [CrossRef] [PubMed]
- Brinkel, J.; Khan, M.H.; Kraemer, A. A systematic review of arsenic exposure and its social and mental health effects with special reference to Bangladesh. Int. J. Environ. Res. Public Health 2009, 6, 1609–1619. [Google Scholar] [CrossRef] [PubMed]
- Rahman, A.; Granberg, C.; Persson, L.-Å. Early life arsenic exposure, infant and child growth, and morbidity: A systematic review. Arch. Toxicol. 2017, 91, 3459–3467. [Google Scholar] [CrossRef] [PubMed]
- PubMed. Available online: https://pubmed.ncbi.nlm.nih.gov/ (accessed on 17 May 2024).
- Aromataris, E.; Fernandez, R.; Godfrey, C.M.; Holly, C.; Khalil, H.; Tungpunkom, P. Summarizing systematic reviews: Methodological development, conduct and reporting of an umbrella review approach. JBI Evid. Implement. 2015, 13, 132–140. [Google Scholar] [CrossRef]
- West, D.B. Introduction to Graph Theory; Prentice Hall: Upper Saddle River, NJ, USA, 2001; Volume 2. [Google Scholar]
- Singh, H.; Sharma, R. Role of adjacency matrix & adjacency list in graph theory. Int. J. Comput. Technol. 2012, 3, 179–183. [Google Scholar]
- Wickham, H. Reshaping data with the reshape package. J. Stat. Softw. 2007, 21, 1–20. [Google Scholar] [CrossRef]
- Csardi, G.; Csardi, M.G. The iGraph Package. 2007. [Google Scholar]
- Rodrigues, F.A. Network Centrality: An Introduction. A Mathematical Modeling Approach from Nonlinear Dynamics to Complex Systems; Springer: Cham, Switzerland, 2019; pp. 177–196. [Google Scholar]
- Baek, E.C.; Hyon, R.; López, K.; Finn, E.S.; Porter, M.A.; Parkinson, C. In-degree centrality in a social network is linked to coordinated neural activity. Nat. Commun. 2022, 13, 1118. [Google Scholar] [CrossRef] [PubMed]
- Zhang, H.; Fiszman, M.; Shin, D.; Miller, C.M.; Rosemblat, G.; Rindflesch, T.C. Degree centrality for semantic abstraction summarization of therapeutic studies. J. Biomed. Inform. 2011, 44, 830–838. [Google Scholar] [CrossRef] [PubMed]









| Database | PubMed https://pubmed.ncbi.nlm.nih.gov/ (accessed on 25 September 2024) |
| Search Date | 30 April 2024 |
| Search Query | (‘Arsenic’ [Mesh] OR ‘Arsenic Trioxide’ [Mesh] OR ‘Arsenic Poisoning’ [Mesh] OR ‘Arsenicals’ [Mesh] OR ‘Arsenic’ [tiab] OR ‘Arsenic Trioxide’ [tiab] OR ‘Arsenic Poisoning’ [tiab] OR ‘Arsenicals’ [tiab]) AND (systematicreview [Filter]) |
| Results | 212 papers |
| No. | Keyword 1 | Keyword 2 | Keyword 3 | Keyword 4 |
|---|---|---|---|---|
| 1 | blood pressure | hypertension | ||
| 2 | diabetes mellitus | urinary biomarkers | microglobulin | albumin |
| 3 | stroke | |||
| 4 | Argentina | cancer | health | |
| 5 | bladder cancer | lung cancer | ||
| … | … | … | … | … |
| 76 | C-reactive protein (CRP) | cytokine | immunotoxicity | inflammation |
| 77 | blood pressure | hypertension | ||
| 78 | cardiovascular diseases | lipid metabolism | ||
| 79 | kidney | kidney diseases | proteinuria | |
| 80 | birth weight | maternal |
| No. | Keywords | Group |
|---|---|---|
| 1 | acute promyelocytic leukemia | Cancer |
| 2 | additive interaction | Toxicity |
| 3 | albumin | Metabolism |
| 4 | Alzheimer dementia | Heart and Blood |
| 5 | birth weight | Childbirth |
| … | … | … |
| 55 | blood pressure | Heart and Blood |
| 56 | breast milk | Pregnancy |
| 57 | bladder | Metabolism |
| 58 | carcinogenesis | Cancer |
| 59 | cardiovascular diseases | Heart and Blood |
| Degree Centrality (DC) | Betweenness Centrality (BC) | Closeness Centrality (CC) | ||||
|---|---|---|---|---|---|---|
| 1 | cancer | 7 | cardiovascular | 117 | congenital heart defects | 1 |
| 2 | kidney | 7 | toxicity | 113 | gestational exposure | 1 |
| 3 | cardiovascular | 6 | pregnancy | 75 | carcinogenesis | 0.5 |
| 4 | pregnancy | 6 | hypertension | 75 | gene-environment interactions | 0.5 |
| 5 | toxicity | 5 | blood pressure | 64 | gene-metal interactions | 0.5 |
| 6 | bladder | 5 | bladder cancer | 53 | oncogenic | 0.5 |
| 7 | hypertension | 5 | birth weight | 36 | toxicants | 0.5 |
| 8 | birth weight | 4 | kidney | 33 | toxicogenomics | 0.5 |
| 9 | cytokine | 4 | lung cancer | 19 | basal cell carcinoma | 0.33 |
| 10 | preterm birth | 4 | maternal | 19 | diabetes mellitus | 0.33 |
Disclaimer/Publisher’s Note: The statements, opinions and data contained in all publications are solely those of the individual author(s) and contributor(s) and not of MDPI and/or the editor(s). MDPI and/or the editor(s) disclaim responsibility for any injury to people or property resulting from any ideas, methods, instructions or products referred to in the content. |
© 2024 by the authors. Licensee MDPI, Basel, Switzerland. This article is an open access article distributed under the terms and conditions of the Creative Commons Attribution (CC BY) license (https://creativecommons.org/licenses/by/4.0/).
Share and Cite
Leem, S.; Shin, J.; Kim, J.-Y.; Shim, S.R. Text Network Analysis to Develop a Search Strategy for a Systematic Review. Appl. Sci. 2024, 14, 8909. https://doi.org/10.3390/app14198909
Leem S, Shin J, Kim J-Y, Shim SR. Text Network Analysis to Develop a Search Strategy for a Systematic Review. Applied Sciences. 2024; 14(19):8909. https://doi.org/10.3390/app14198909
Chicago/Turabian StyleLeem, Subeen, Jieun Shin, Jong-Yeup Kim, and Sung Ryul Shim. 2024. "Text Network Analysis to Develop a Search Strategy for a Systematic Review" Applied Sciences 14, no. 19: 8909. https://doi.org/10.3390/app14198909
APA StyleLeem, S., Shin, J., Kim, J.-Y., & Shim, S. R. (2024). Text Network Analysis to Develop a Search Strategy for a Systematic Review. Applied Sciences, 14(19), 8909. https://doi.org/10.3390/app14198909

