Predicting the Influence of Vibration from Trains in the Throat Area of a Metro Depot on Over-Track Buildings
Abstract
1. Introduction
2. Determination of Vertical Vibration Load from a Train
2.1. Expressions of Vertical Vibration Acceleration Caused by a Train

2.2. Simulation of Vertical Vibration Load from a Train
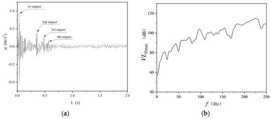
3. A Simulation Model and Verification of Its Rationality
3.1. A Simulation Model of the Over-Track Platform of a Metro Depot
3.2. A Simulation Model of Civil Buildings
4. The Influence of the Over-Track Platform and Over-Track Building Parameters on Indoor Vibration Caused by a Train
4.1. A Typical Over-Track Building Model and Its Parameter Setting
4.2. The Influence of the Total Amount of Storeys and Type of Building Structure on Indoor Vibration Caused by a Train
4.3. The Influence of Building Floor Dimensions on Indoor Vibration Caused by a Train
4.4. The Influence of Horizontal Distance between the Centre of the Over-Track Building and the Central Line of Track on Indoor Vibration Caused by a Train
4.5. The Influence of the Height of the Transfer Storey on Indoor Vibration Caused by a Train
4.6. The Influence of the Thickness and the Cross-Section Dimensions of Columns in the Over-Track Platform on Indoor Vibration Caused by a Train
5. A Model Predicting the Impact of Vibration from Trains on Over-Track Buildings
5.1. The Correction Item of the VLZmax Caused by the Over-Track Platform,
5.2. The Correction Item of Horizontal Distance between the Centre of the Over-Track Building and the Central Line of Track,
5.3. The Correction Item of Total Amount of Storeys,
5.4. The Correction Item of the Cross-Section Dimensions of Columns,
5.5. The Correction Item of the Type of Building Structure,
6. Conclusions
- (1)
- The VLZmax at the centre of each floor of an over-track building periodically increases with the rise of storey, and the maximal value appears on the top floor. The VLZmax of the top floor is 3.8–11.1 dB higher than that of the first floor in over-track buildings with 4–20 storeys. The VLZmax of each floor of a frame building is 1.4–6.0 dB higher than that of a shear wall building.
- (2)
- When D increases by 10 m, the VLZmax of each floor will decrease by 0.5–4.6 dB. When H increases by 1 m, the VLZmax of each floor will decrease by 0.7–2.3 dB.
- (3)
- When T increases by 0.05 m, the VLZmax of each floor will decrease by 0.5–3.5 dB. When S increases by 0.1 m, the VLZmax of each floor will decrease by 0.4–4.5 dB.
- (4)
- According to results of the quantitative simulation, a prediction model was developed to analyse the vibration impact of train vibration on over-track buildings in the throat area of metro depots. The maximal impact of train vibration on over-track buildings of metro depots can be predicted on the basis of this model.
Author Contributions
Funding
Institutional Review Board Statement
Informed Consent Statement
Data Availability Statement
Conflicts of Interest
References
- Ministry of Transport. A Snapshot of Urban Rail Transport Operational Data in 2023. Available online: http://www.gov.cn (accessed on 15 January 2024). (In Chinese)
- Cik, M.; Lienhart, M.; Lercher, P. Analysis of Psychoacoustic and Vibration-Related Parameters to Track the Reasons for Health Complaints after the Introduction of New Tramways. Appl. Sci. 2016, 6, 398. [Google Scholar] [CrossRef]
- Kowalska-Koczwara, A.; Pachla, F.; Tatara, T. Measurements of Human Perception of Train Vibration. Appl. Sci. 2024, 14, 3404. [Google Scholar] [CrossRef]
- Zou, C.; Wang, Y.; Wang, P.; Guo, J. Measurement of ground and nearby building vibration and noise induced by trains in a metro depot. Sci. Total Environ. 2015, 536, 761–773. [Google Scholar] [CrossRef] [PubMed]
- Wu, Y.; Zhang, B.; Liu, Y.; Li, X. Field measurement and numerical simulation of vibration effect on metro depot over-track building caused by passing trains. In Proceedings of the International Conference on Sensors, Measurement and Intelligent Materials, Guilin, China, 26–27 December 2012. [Google Scholar]
- Cao, Z.; Guo, T.; Zhang, Z.; Li, A. Measurement and analysis of vibrations in a residential building constructed on an elevated metro depot. Measurement 2018, 125, 394–405. [Google Scholar] [CrossRef]
- Sanayei, M.; Kayiparambil, P.; Moore, J.; Brett, C. Measurement and prediction of train vibrations in a full-scale building. Eng. Struct. 2014, 77, 119–128. [Google Scholar] [CrossRef]
- ISO 2631-1:1985; Evaluation of Human Exposure to Whole-Body Vibration. Part 1: General Requirements. International Organization for Standardization: Geneva, Switzerland, 1985.
- Quagliata, A.; Ahearn, M.; Boeker, E.; Roof, C.; Meister, L.; Singleton, H. Transit Noise and Vibration Impact Assessment Manual; Department of Transportation: Washington, DC, USA, 2018. [Google Scholar]
- Kouroussis, G.; Pauwels, N.; Brux, P.; Couti, C.; Verlinden, O. A numerical analysis of the influence of tram characteristics and rail profile on railway traffic ground-borne noise and vibration in the Brussels Region. Sci. Total Environ. 2014, 482, 452–460. [Google Scholar] [CrossRef] [PubMed]
- Franois, S.; Schevenels, M.; Degrande, G.; Lombaert, G.; Galvin, P. Applications of a 2.5D coupled FE-BE methodology for the dynamic interaction between longitudinally invariant structures and the soil. In Proceedings of the 8th National Congress on Theoretical and Applied Mechanics, Brussels, Belgium, 28–29 May 2009. [Google Scholar]
- Wang, T.; Jiang, B.; Sun, X. Train-Induced Vibration Prediction and Control of a Metro Depot and Over-Track Buildings. Buildings 2023, 13, 1995. [Google Scholar] [CrossRef]
- Kedia, N.; Kumar, A.; Singh, Y. Prediction of underground metro train-induced ground vibration using hybrid PSO-ANN approach. Neural Comput. Appl. 2023, 35, 8171–8195. [Google Scholar] [CrossRef]
- Melke, J. Noise and vibration from underground railway lines-proposals for a prediction procedure. J. Sound Vibr. 1988, 120, 391–406. [Google Scholar] [CrossRef]
- Paneiro, G.; Durao, F.; Silva, M.; Neves, P. Artificial neural network model for ground vibration amplitudes prediction due to light railway traffic in urban areas. Neural Comput. Appl. 2018, 29, 1045–1057. [Google Scholar] [CrossRef]
- Torstensson, P.; Nielsen, J. Simulation of dynamic vehicle–track interaction on small radius curves. Veh. Syst. Dyn. 2011, 49, 1711–1732. [Google Scholar] [CrossRef]
- Jenkins, H.; Stephenson, J.; Clayton, G.; Morland, G.; Lyon, D. The effect of track and vehicle parameters on wheel/rail vertical dynamic loads. J. Railw. 1974, 3, 2–16. [Google Scholar]
- Zhang, Y.; Bai, B. Simulation of excitation loads on tunnel structure by underground train vibration. J. Vib. Shock 2000, 19, 68–71. (In Chinese) [Google Scholar]
- Di, G.; Xie, Z.; Guo, J. Predict the influence of environmental vibration from high-speed railway on over-track buildings. Sustainability 2021, 13, 3218. [Google Scholar] [CrossRef]
- Guo, T.; Cao, Z.; Zhang, Z.; Li, A. Numerical simulation of floor vibrations of a metro depot under moving subway trains. J. Vib. Control 2018, 24, 4353–4366. [Google Scholar] [CrossRef]
- Xie, W.; Chen, Y.; Yao, C. Vibration analysis of train depot over-track buildings induced by train load. J. Vib. Shock 2016, 35, 110–115. (In Chinese) [Google Scholar]
- Wu, Y.; Zhang, B.; Liu, Y.; Li, X. Law of vibrations influence of subway on metro depot over-track building. J. China Railw. Soc. 2015, 37, 98–103. (In Chinese) [Google Scholar]
- Cao, Z. Serviceability Analysis and Vibration Control of Elevated Metro Depot and Over-Depot Residential Building Complex. Ph.D. Thesis, Southeast University, Nanjing, China, 2018. (In Chinese). [Google Scholar]
- Zou, C. Train Vibration Transmission and Mitigation in Metro Depot and Over-Track Buildings. Ph.D. Thesis, South China University of Technology, Guang Zhou, China, 2017. (In Chinese). [Google Scholar]
- HJ 453-2018; Technical Guidelines for Environment Impact Assessment of Urban Rail Transit. Ministry of Ecology and Environment of The People’s Republic of China: Beijing, China, 2018. (In Chinese)
- Lopes, P.; Costa, P.; Ferraz, M.; Calçada, R.; Cardoso, A. Numerical modeling of vibrations induced by railway traffic in tunnels: From the source to the nearby buildings. Soil Dyn. Earthq. Eng. 2014, 61, 269–285. [Google Scholar] [CrossRef]
- Colaco, A.; Costa, P.; Amado-Mendes, P.; Godinho, L. Prediction of Vibrations and Reradiated Noise Due to Railway Traffic: A Comprehensive Hybrid Model Based on a Finite Element Method and Method of Fundamental Solutions Approach. J. Vib. Acoust. 2017, 139, 061009. [Google Scholar] [CrossRef]


















| Materials | Density (kg/m3) | Elastic Modulus (MPa) | Poisson’s Ratio |
|---|---|---|---|
| Rail | 7850 | 210,000 | 0.25 |
| Sleeper | 2500 | 30,000 | 0.20 |
| Track-bed | 2500 | 420,000 | 0.30 |
| Artificial fill layer | 1980 | 205 | 0.31 |
| Pulverized clay layer | 1530 | 120 | 0.35 |
| Fine sand layer | 1940 | 175 | 0.44 |
| C40 concrete | 2500 | 32,500 | 0.20 |
| Standard brick | 1600 | 2000 | 0.15 |
| Verification Point | Position | VLZmax (dB) | |||
|---|---|---|---|---|---|
| Measured Results | Simulated Results | Error | Relative Error | ||
| Z1 | Ground floor | 84.2 | 86.8 | 2.6 | 3.08% |
| Z2 | Platform columns | 77.6 | 78.3 | 1.3 | 1.67% |
| Measurement Point | VLZmax (dB) | VAL (dB) | ||||||
|---|---|---|---|---|---|---|---|---|
| Measured Results | Simulated Results | Error | Relative Error | Measured Result | Simulated Result | Error | Relative Error | |
| C2 | 83.9 | 85.1 | 1.2 | 1.43% | 100.7 | 102.1 | 1.4 | 1.39% |
| C3 | 82.3 | 83.1 | 0.8 | 0.97% | 94.1 | 95.2 | 1.1 | 1.17% |
| C4 | 81.8 | 82.0 | 0.2 | −0.24% | 90.4 | 91.0 | 0.6 | 0.66% |
| C5 | 80.6 | 80.2 | −0.4 | −0.50% | 86.5 | 86.1 | −0.4 | −0.46% |
| C6 | 79.9 | 79.3 | −0.6 | −0.75% | 84.4 | 84.0 | −0.4 | −0.47% |
| C7 | 79.3 | 77.8 | −1.5 | −1.89% | 83.6 | 82.7 | −0.9 | −1.08% |
| C8 | 78.7 | 78.2 | −0.5 | −0.64% | 82.4 | 81.8 | −0.6 | −0.73% |
| Height of Transfer Storey, H (m) | Thickness of Over-Track Platform, T (m) | Side Length of Cross-Section of Columns Under Over-Track Platform, S (m) |
|---|---|---|
| 5.5, 6.5, 7.5, 8.5, 9.5 | 0.15, 0.20, 0.25, 0.30, 0.35 | 0.8, 0.9, 1.0, 1.1, 1.2 |
| Building Structure | Total Amount of Storeys, N | Slab Span, W (m) | Aspect Ratio, R | Horizontal Distance between Building Centre and Track Central Line, D (m) |
|---|---|---|---|---|
| Frame | 4, 8, 12 | 3.6, 4.2, 4.8 | 1.0, 1.25 | 0, 10, 20 |
| shear wall | 16, 20 | 5.4, 6.0 | 1.5, 1.75, 2.0 | 30, 40 |
Disclaimer/Publisher’s Note: The statements, opinions and data contained in all publications are solely those of the individual author(s) and contributor(s) and not of MDPI and/or the editor(s). MDPI and/or the editor(s) disclaim responsibility for any injury to people or property resulting from any ideas, methods, instructions or products referred to in the content. |
© 2024 by the authors. Licensee MDPI, Basel, Switzerland. This article is an open access article distributed under the terms and conditions of the Creative Commons Attribution (CC BY) license (https://creativecommons.org/licenses/by/4.0/).
Share and Cite
Di, G.; Li, H.; Guo, J. Predicting the Influence of Vibration from Trains in the Throat Area of a Metro Depot on Over-Track Buildings. Appl. Sci. 2024, 14, 8598. https://doi.org/10.3390/app14198598
Di G, Li H, Guo J. Predicting the Influence of Vibration from Trains in the Throat Area of a Metro Depot on Over-Track Buildings. Applied Sciences. 2024; 14(19):8598. https://doi.org/10.3390/app14198598
Chicago/Turabian StyleDi, Guoqing, Hanxin Li, and Jingyi Guo. 2024. "Predicting the Influence of Vibration from Trains in the Throat Area of a Metro Depot on Over-Track Buildings" Applied Sciences 14, no. 19: 8598. https://doi.org/10.3390/app14198598
APA StyleDi, G., Li, H., & Guo, J. (2024). Predicting the Influence of Vibration from Trains in the Throat Area of a Metro Depot on Over-Track Buildings. Applied Sciences, 14(19), 8598. https://doi.org/10.3390/app14198598

