External Load “Periodization” during Pre-Season and In-Season in a High-Level Futsal Team
Abstract
1. Introduction
2. Materials and Methods
2.1. Participants
2.2. Measurements
2.3. Procedures
2.4. Statistical Analyses
3. Results
3.1. Training Microcycles
3.2. Training Sessions
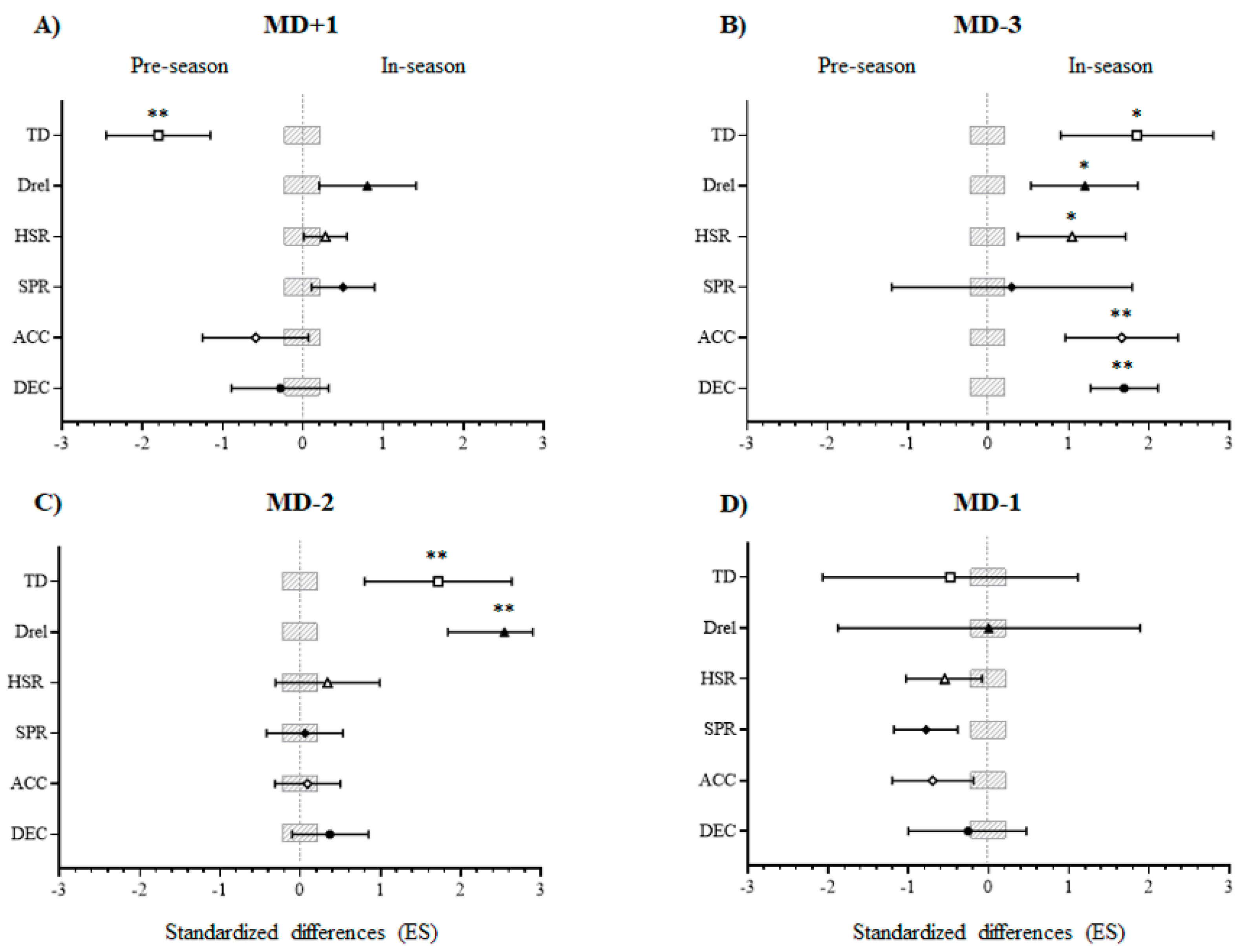
3.3. Differences between Periods in Each Type of Session
4. Discussion
5. Conclusions
Author Contributions
Funding
Institutional Review Board Statement
Informed Consent Statement
Data Availability Statement
Acknowledgments
Conflicts of Interest
References
- Reilly, T. The Science of Training—Soccer; Routledge: London, UK, 2007. [Google Scholar]
- Kiely, J. Periodization paradigms in the 21st century: Evidence-Led or Tradition-Driven? Int. J. Sports Physiol. Perform. 2012, 7, 242–750. [Google Scholar] [CrossRef] [PubMed]
- Loturco, I.; Nakamura, F.Y. Training Periodization: An Obsolete Methodology? Aspetar Sports Med. J. 2016, 5, 110–115. [Google Scholar]
- Halson, S.L. Monitoring Training Load to Understand Fatigue in Athletes. Sports Med. 2014, 44, 139–147. [Google Scholar] [CrossRef]
- Aubry, A.; Hausswirth, C.; Louis, J.; Coutts, A.J.; Le Meur, Y. Functional overreaching: The key to peak performance during the taper? Med. Sci. Sports Exerc. 2014, 46, 1769–1777. [Google Scholar] [CrossRef] [PubMed]
- Illa, J.; Fernandez, D.; Reche, X.; Carmona, G.; Tarragó, J.R. Quantification of an Elite Futsal Team’s Microcycle External Load by Using the Repetition of High and Very High Demanding Scenarios. Front. Psychol. 2020, 11, 577624. [Google Scholar] [CrossRef]
- Beato, M.; Coratella, G.; Schena, F. Brief review of the state of art in futsal. J. Sports Med. Phys. Fitness 2016, 56, 428–432. [Google Scholar] [PubMed]
- Uribarri, H.G.; Lago-Fuentes, C.; Bores-Arce, A.; Emilio, V.; Álvarez, V.; López-García, S.; Calero-Morales, S.; Mainer-Pardos, E. External Load Evaluation in Elite Futsal: Influence of Match Results and Game Location with IMU Technology. J. Funct. Morphol. Kinesiol. 2024, 9, 140. [Google Scholar] [CrossRef] [PubMed]
- De Oliveira-Bueno, M.J.; Caetano, F.G.; Pereira, T.J.; De Souza, N.M.; Moreira, G.D.; Nakamura, F.Y.; Cunha, S.A.; Moura, F.A. Analysis of the distance covered by Brazilian professional futsal players during official matches. Sports Biomech. 2014, 13, 230–240. [Google Scholar] [CrossRef]
- Caetano, F.G.; José, M.; Bueno, D.O.; Marche, A.L.; Nakamura, F.Y.; Cunha, S.A.; Moura, F.A. Characterization of the sprint and repeated-sprint sequences performed by professional futsal players, according to playing position, during official matches. J. Appl. Biomech. 2015, 31, 423–430. [Google Scholar] [CrossRef]
- Barbero-Alvarez, J.C.; Soto, V.M.; Barbero-Alvarez, V.; Granda-Vera, J. Match analysis and heart rate of futsal players during competition. J. Sports Sci. 2008, 26, 63–73. [Google Scholar] [CrossRef]
- Spyrou, K.; Freitas, T.; Marín-Cascales, E.; Alcaraz, P. Physical and physiological Match-Play Demands and Player Characteristics in Futsal: A Systematic Review. Front. Psychol. 2020, 11, 569897. [Google Scholar] [CrossRef] [PubMed]
- Milioni, F.; Vieira, L.H.; Barbieri, R.A.; Zagatto, A.M.; Nordsborg, N.B.; Barbieri, F.A.; dos-Santos, J.W.; Santiago, P.R.; Papoti, M. Futsal match-related fatigue affects running performance and neuromuscular parameters but not finishing kick speed or accuracy. Front. Physiol. 2016, 7, 518. [Google Scholar] [CrossRef] [PubMed]
- Ribeiro, J.N.; Monteiro, D.; Goncalves, B.; Brito, J.; Sampaio, J.; Travassos, B. Variation in Physical Performance of Futsal Players During Congested Fixtures. Int. J. Sports Physiol. Perform. 2022, 17, 367–373. [Google Scholar] [CrossRef] [PubMed]
- Castagna, C.; D’Ottavio, S.; Granda-Vera, J.; Barbero-Álvarez, J.C. Match demands of professional Futsal: A case study. J. Sci. Med. Sport. 2009, 12, 490–494. [Google Scholar] [CrossRef] [PubMed]
- Soares-Caldeira, L.F.; De Souza, E.A.; De Freitas, V.H.; De Morales, S.; Leicht, A.S.; Nakamura, F.Y. Effects of additional repeated sprint training during preseason on performance, heart rate variability, and stress symptoms in futsal players: A randomized controlled trial. J. Strength. Cond. Res. 2014, 28, 2815–2826. [Google Scholar] [CrossRef]
- Miloski, B.; de Freitas, V.H.; Nakamura, F.Y.; de A Noguera, F.C.; Bara-Filho, M.G. Seasonal training load distribution of professional futsal players: Effects on physical fitness, muscle damage and hormonal status. J. Strength. Cond. Res. 2016, 30, 1525–1533. [Google Scholar] [CrossRef]
- Nakamura, F.Y.; Pereira, L.A.; Rabelo, F.N.; Flatt, A.A.; Esco, M.R.; Bertollo, M.; Loturco, I. Monitoring weekly heart rate variability in futsal players during the preseason: The importance of maintaining high vagal activity. J. Sports Sci. 2016, 34, 2262–2268. [Google Scholar] [CrossRef]
- Gamble, P. Periodization of Training for Team Sports Athletes. Strength. Cond. J. 2006, 28, 56–66. [Google Scholar] [CrossRef]
- Marrier, B.; Robineau, J.; Piscione, J.; Lacome, M.; Peeters, A.; Hausswirth, C.; Morin, J.B.; Le Meur, Y. Supercompensation kinetics of physical qualities during a taper in team-sport athletes. Int. J. Sports Physiol. Perform. 2017, 12, 1163–1169. [Google Scholar] [CrossRef]
- Sanchez-Sanchez, J.; Hernández, D.; Martin, V.; Sanchez, M.; Casamichana, D.; Rodriguez-Fernandez, A.; Ramirez-Campillo, R.; Nakamura, F.Y. Assessment of the external load of amateur soccer players during four consecutive training microcycles in relation to the external load during the official match. Mot. Rev. Educ. Física 2019, 25, e101938. [Google Scholar] [CrossRef]
- Campos-Vazquez, M.A.; Toscano-Bendala, J.; Mora-Ferrera, J.C.; Suarez-Arrones, L.J. Relationship between internal load indicators and changes on intermittent performance after the preseason in professional soccer players. J. Strength. Cond. Res. 2017, 31, 1477–1485. [Google Scholar] [CrossRef]
- Bastida-Castillo, A.; Gómez-Carmona, C.D.; De la Cruz-Sánchez, E.; Pino-Ortega, J. Accuracy, intra- and inter-unit reliability, and comparison between GPS and UWB-based position-tracking systems used for time–motion analyses in soccer. Eur. J. Sport. Sci. 2018, 18, 450–457. [Google Scholar] [CrossRef] [PubMed]
- Lu, Y.X.; Clemente, F.M.; Bezerra, P.; Crowley-McHattan, Z.J.; Cheng, S.C.; Chien, C.H.; Kuo, C.D.; Chen, Y.S. Quantification of Respiratory and Muscular Perceived Exertions as Perceived Measures of Internal Loads During Domestic and Overseas Training Camps in Elite Futsal Players. Front. Psychol. 2022, 12, 751030. [Google Scholar] [CrossRef] [PubMed]
- Rhodes, J.; Mason, B.; Perrat, B.; Smith, M.; Goosey-Tolfrey, V. The validity and reliability of a novel indoor player tracking system for use within wheelchair court sports. J. Sports Sci. 2014, 32, 1639–1647. [Google Scholar] [CrossRef]
- McKay, A.K.; Stellingwerff, T.; Smith, E.S.; Martin, D.T.; Mujika, I.; Goosey-Tolfrey, V.L.; Sheppard, J.; Burke, L.M. Defining Training and Performance Caliber: A Participant Classification Framework. Int. J. Sports Physiol. Perform. 2022, 17, 317–331. [Google Scholar] [CrossRef]
- Peltonen, J.; Tuulari, E. Polar Team Pro—Portable player tracking system to increase team performance and prevent injuries. Polar Electro Oy 2017, 1, 1–7. [Google Scholar]
- Rodríguez-Fernández, A.; Suárez-Iglesias, D.; Vaquera, A.; Leicht, A.S.; Rodríguez-Marroyo, J.A. Inter-system and inter-unit reliability of Polar Team Pro and WIMU PRO devices during external load measurements indoors. Proc. Inst. Mech. Eng. Part P J. Sports Eng. Technol. 2023, in press. [Google Scholar] [CrossRef]
- Martín-García, A.; Gómez-Díaz, A.; Bradley, P.S.; Morera, F.; Casamichana, D. Quantification of a Professional Football Team’s External Load Using a Microcycle Structure. J. Strength. Cond. Res. 2018, 32, 3511–3518. [Google Scholar] [CrossRef]
- Malone, J.J.; Michele, R.; Morgans, R.; Burgess, D.; Morton, J.P.; Drust, B. Seasonal Training-Load Quantification in Elite English Premier League Soccer Players. Int. J. Sports Physiol. Perform. 2015, 10, 489–497. [Google Scholar] [CrossRef]
- Hopkins, W.G.; Marshall, S.W.; Batterham, A.M.; Hanin, J. Progressive statistics for studies in sports medicine and exercise science. Med. Sci. Sports Exerc. 2009, 41, 3–13. [Google Scholar] [CrossRef]
- Plisk, S.S.; Stone, M.H. Periodization Strategies. Strength. Cond. J. 2003, 25, 19–37. [Google Scholar] [CrossRef]
- Silva, J.R.; Brito, J.; Akenhead, R.; Nassis, G.P. The Transition Period in Soccer: A Window of Opportunity. Sports Med. 2016, 46, 305–313. [Google Scholar] [CrossRef]
- Rodriguez-Fernandez, A.; Sanchez-Sanchez, J.; Ramírez-Campillo, R.; Rodríguez-Marroyo, J.A.; Villa, J.G.; Nakamura, F.Y. Effects of short-term in-season break detraining on repeated-sprint ability and intermittent endurance according to initial performance of soccer player. PLoS ONE 2018, 13, e0201111. [Google Scholar] [CrossRef]
- Kraemer, W.J.; French, D.N.; Paxton, N.J.; Häkkinen, K.; Volek, J.S.; Sebastianelli, W.J.; Putukian, M.; Newton, R.U.; Rubin, M.R.; Gómez, A.L.; et al. Changes in exercise performance and hormonal concentrations over a big ten soccer season in starters and nonstarters. J. Strength. Cond. Res. 2004, 18, 121–128. [Google Scholar]
- Teixeira, A.; Nunes, R.; Yanci, J.; Izzicupo, P.; Forner-Flores, L.; Romano, J.; Guglielmo, L.; Nakamura, F.Y. Different Pathways Leading up to the Same Futsal Competition: Individual and Inter-Team Variability in Loading Patterns and Preseason Training Adaptations. Sports 2018, 7, 7. [Google Scholar] [CrossRef] [PubMed]
- Gabbett, T.J. Reductions in pre-season training loads reduce training injury rates in rugby league players. Br. J. Sports Med. 2004, 38, 743–749. [Google Scholar] [CrossRef]
- Moreira, A.; Ribeiro-de Moura, N.; Coutts, A.; Caldas-Costa, E.; Kempton, T.; Saldanha-Aoki, M. Monitoring internal training load and mucosal immune responses in futsal athletes. J. Strength. Cond. Res. 2013, 27, 1253–1259. [Google Scholar] [CrossRef] [PubMed]
- Clemente, F.M.; Martinho, R.; Calvete, F.; Mendes, B. Training load and well-being status variations of elite futsal players across a full season: Comparisons between normal and congested weeks. Physiol. Behav. 2019, 201, 123–129. [Google Scholar] [CrossRef] [PubMed]
- Kelly, V.G.; Coutts, A.J. Planning and Monitoring Training Loads During the Competition Phase in Team Sports. Strength. Cond. J. 2007, 29, 32. [Google Scholar] [CrossRef]
- Hernandez, D.; Sánchez, M.; Martin, V.; Beneítez, J.; Sanchez-Sanchez, J. Contextual variables and weekly external load in a semi-professional football team. Apunt. Educ. Física Esports 2021, 37, 61–67. [Google Scholar]
- de Moura, N.R.; Borges, L.S.; Santos, V.C.; Joel, G.B.; Bortolon, J.R.; Hirabara, S.M.; Cury-Boaventura, M.F.; Pithon-Curi, T.C.; Curi, R.; Hatanaka, E. Muscle lesions and inflammation in futsal players according to their tactical postions. J. Strength. Cond. Res. 2013, 27, 2612–2618. [Google Scholar] [CrossRef] [PubMed]
- Manzi, V.; D’Ottavio, S.; Impellizzeri, F.M.; Chaouachi, A.; Chamari, K.; Castagna, C. Profile of weekly training load in elite male professional basketball players. J. Strength. Cond. Res. 2010, 24, 1399–1406. [Google Scholar] [CrossRef] [PubMed]
- Anderson, L.; Orme, P.; Di Michele, R.; Close, G.L.; Morgans, R.; Drust, B.; Morton, J.P. Quantification of training load during one-, two- and three-game week schedules in professional soccer players from the English Premier League: Implications for carbohydrate periodization. J. Sports Sci. 2016, 34, 1250–1259. [Google Scholar] [CrossRef]
- Fessi, M.S.; Nouira, S.; Dellal, A.; Owen, A.; Elloumi, M.; Moalla, W. Changes of the psychophysical state and feeling of wellness of professional soccer players during pre-season and in-season periods. Res. Sports Med. 2016, 24, 375–386. [Google Scholar] [CrossRef]
- Jeong, T.S.; Reilly, T.; Morton, J.; Bae, S.W.; Drust, B. Quantification of the physiological loading of one week of “pre-season” and one week of “in-season” training in professional soccer players. J. Sports Sci. 2011, 29, 1161–1166. [Google Scholar] [CrossRef]
- Faude, O.; Kellmann, M.; Ammann, T.; Schnittker, R.; Meyer, T. Seasonal changes in stress indicators in high level football. Int. J. Sports Med. 2011, 32, 259–265. [Google Scholar] [CrossRef]
- Di Fronso, S.; Nakamura, F.Y.; Bortoli, L.; Robazza, C.; Bertollo, M. Stress and recovery balance in amateur basketball players: Differences by gender and preparation phase. Int. J. Sports Physiol. Perform. 2013, 8, 618–622. [Google Scholar] [CrossRef] [PubMed]
- Fox, J.L.; O’Grady, C.J.; Scanlan, A.T.; Sargent, C.; Stanton, R. Validity of the Polar Team Pro Sensor for measuring speed and distance indoors. J. Sci. Med. Sport. 2019, 22, 1260–1265. [Google Scholar] [CrossRef]


| Weekdays/Periods | M | T | W | Th | F | S | Su |
|---|---|---|---|---|---|---|---|
| MD+1 | RD | MD-3 | MD-2 | MD-1 | MD | RD | |
| Pre-season | Neuromuscular training | High-intensity interval training | Defensive phase game model and contents for the prevention of injuries | Offensive phase game model | Friendly match | ||
| In-season | Aerobic-regenerative drills and stretching | Neuromuscular training | Specific-endurance training | Activation and tactical drills | Official match |
| Pre-Season | ||||
| PS-M1 | PS-M2 | PS-M3 | PS-M4 | |
| TD (m) | 18,719 ± 1921 **^^ | 24,076 ± 2702 # | 20,954 ± 2045 ^^ | 24,789 ± 2048 |
| Drel (m/min) | 39.20 ± 3.97 *# | 46.28 ± 5.25 | 46.80 ± 5.05 | 41.70 ± 3.34 |
| HRS (m) | 1464 ± 530 *##^^ | 2502 ± 981 | 2215 ± 496 ^ | 3060 ± 884 |
| SPR (m) | 386.38 ± 248.31 ^ | 593.00 ± 346.31 | 519.75 ± 209.23 ^ | 968.38 ± 514.46 |
| ACC (n) | 51.25 ± 21.62 *^ | 85.50 ± 35.86 | 76.38 ± 24.80^ | 117.63 ± 43.83 |
| DEC (n) | 179.50 ± 42.24 **##^^ | 294.63 ± 67.21 | 270.88 ± 46.31^ | 341.25 ± 77.57 |
| In-Season | ||||
| IS-M1 | IS-M2 | IS-M3 | IS-M4 | |
| TD (m) | 18,351 ± 1407 | 17,943 ± 2412 | 19,297 ± 1801 | 19,215 ± 1809 |
| Drel (m/min) | 45.85 ± 3.60 a | 50.95 ± 6.38 | 63.12 ± 6.77 | 51.90 ± 5.33 |
| HRS (m) | 1809 ± 638 b | 1754 ± 567 | 1888 ± 891 bb | 1278 ± 724 |
| SPR (m) | 425.60 ± 206.30 | 424.40 ± 246.43 | 417.60 ± 330.21 | 209.40 ± 171.50 |
| ACC (n) | 63.20 ± 18.54 | 65.00 ± 17.69 | 62.80 ± 25.35 b | 45.40 ± 19.33 |
| DEC (n) | 230.00 ± 37.80 | 212.80 ± 34.43 | 240.20 ± 72.97 | 207.40 ± 73.65 |
| Pre-Season | ||||
| MD+1 | MD-3 | MD-2 | MD-1 | |
| TD (m) | 3182 ± 284 **##^^ | 3922 ± 288 ##^^ | 5310 ± 396 | 4988 ± 562 |
| Drel (m/min) | 33.22 ± 2.94 **##^^ | 44.94 ± 3.80 | 48.25 ± 3.58 | 45.28 ± 5.00 |
| HRS (m) | 297.09 ± 86.80 ##^^ | 269.94 ± 91.57 ##^^ | 661.59 ± 194.55 ^ | 503.47 ± 171.88 |
| SPR (m) | 91.59 ± 34.48 | 72.00 ± 37.96 #^ | 172.59 ± 90.72 | 134.81 ± 75.17 |
| ACC (n) | 12.28 ± 3.63 *#^ | 8.50 ± 2.46 ##^^ | 25.19 ± 9.62 ^ | 16.97 ± 5.47 |
| DEC (n) | 35.91 ± 7.55 ##^^ | 29.03 ± 9.00 ##^^ | 78.97 ± 14.79 ^^ | 58.72 ± 15.01 |
| In-Season | ||||
| MD+1 | MD-3 | MD-2 | MD-1 | |
| TD (m) | 2600 ± 258 **##^^ | 4603 ± 567 ## | 6145 ± 413 ^^ | 4826 ± 864 |
| Drel (m/min) | 35.63 ± 3.81 **## | 50.75 ± 6.17 ## | 60.08 ± 3.94 ^ | 46.79 ± 9.23 |
| HRS (m) | 300.13 ± 110.44 ## | 454.79 ± 197.59 # | 645.54 ± 250.65 | 378.58 ± 136.98 |
| SPR (m) | 104.79 ± 50.32 | 91.17 ± 63.09 | 155.17 ± 99.17 | 74.58 ± 44.78 |
| ACC (n) | 9.17 ± 3.85 *# | 16.29 ± 4.72 | 23.00 ± 8.03 | 13.67 ± 5.10 |
| DEC (n) | 30.58 ± 8.45 **##^ | 64.42 ± 15.40 # | 79.13 ± 15.09 ^^ | 51.75 ± 13.62 |
Disclaimer/Publisher’s Note: The statements, opinions and data contained in all publications are solely those of the individual author(s) and contributor(s) and not of MDPI and/or the editor(s). MDPI and/or the editor(s) disclaim responsibility for any injury to people or property resulting from any ideas, methods, instructions or products referred to in the content. |
© 2024 by the authors. Licensee MDPI, Basel, Switzerland. This article is an open access article distributed under the terms and conditions of the Creative Commons Attribution (CC BY) license (https://creativecommons.org/licenses/by/4.0/).
Share and Cite
Sanchez-Sanchez, J.; Nakamura, F.Y.; Hernández, D.; Rodríguez-Fernández, A. External Load “Periodization” during Pre-Season and In-Season in a High-Level Futsal Team. Appl. Sci. 2024, 14, 7630. https://doi.org/10.3390/app14177630
Sanchez-Sanchez J, Nakamura FY, Hernández D, Rodríguez-Fernández A. External Load “Periodization” during Pre-Season and In-Season in a High-Level Futsal Team. Applied Sciences. 2024; 14(17):7630. https://doi.org/10.3390/app14177630
Chicago/Turabian StyleSanchez-Sanchez, Javier, Fabio Y. Nakamura, Daniel Hernández, and Alejandro Rodríguez-Fernández. 2024. "External Load “Periodization” during Pre-Season and In-Season in a High-Level Futsal Team" Applied Sciences 14, no. 17: 7630. https://doi.org/10.3390/app14177630
APA StyleSanchez-Sanchez, J., Nakamura, F. Y., Hernández, D., & Rodríguez-Fernández, A. (2024). External Load “Periodization” during Pre-Season and In-Season in a High-Level Futsal Team. Applied Sciences, 14(17), 7630. https://doi.org/10.3390/app14177630

