Abstract
Terpenes and terpenoids content in cannabis plant was already studied in the past with three used methods. Since these works did not compare the content of these substances under the same conditions, we tried to make this comparison exactly. Three different gas chromatography/mass spectrometry (GS/MS) methods—hexane-based liquid extraction (Lis), static headspace extraction (HS), and headspace solid-phase microextraction (SPME)—were compared to identify volatile compounds in four different cannabis chemotypes—Green fields chemotype, Titan chemotype, Black Domina chemotype, and Neptune chemotype. The main compounds focused on were monoterpenes/monoterpenoids and sesquiterpenes/sesquiterpenoids. For a final evaluation of the comparison of the three methods of analysis, hexane extraction gives comparable results (which is advantageous for quantitative analysis), although the other two methods allowed the identification of more substances. This means that the same method should be used everywhere for the quantitative evaluation of constituents in cannabis.
1. Introduction
Today we know, without any doubt, that the presence of terpenes and terpenoids in the Cannabis sativa L. plant is important, not only from the biogenetical point of view but also from the medical perspective. These bioactive compounds play an important role concerning use of cannabis as a medicament. Unfortunately, to date, there is not enough knowledge concerning the importance of these compounds and their ratio with other bioactive compounds, mainly cannabinoids. At present, it is very important to clarify the importance of the compounds’ quantity, the content of compound types and their ratios, and to understand the medicinal power of this plant for the treatment of various diseases.
The biosynthesis of terpenes in cannabis is comprised of two different pathways [1,2,3]. The first pathway is the plastidial methylerythritol phosphate pathway [4], which starts with the pyruvate and glyceraldehyde-3-phosphate [5,6]. Through several steps, geranyl diphosphate is produced, which then interacts with olivetolic acid for cannabigerolic acid origination. Additionally, this pathway is also a precursor for monoterpene origination [7,8]. The second pathway is the cytosolic mevalonate pathway [9], which starts with acetoacetyl-CoA and, after several steps, forms farnesyl diphosphate, followed by sesquiterpenes formation.
Terpenes found in hemp are not unique to this plant, as they are also found in other plants. Many terpenes have medical potential, but their bioactivity obviously depends on the cannabis chemotype, due to terpenes and cannabinoids having different quantitative contents and ratios [10,11,12,13,14,15,16]. Of course, both the cannabis chemotype used and the patient’s genetics play a major role in the treatment. In addition, the amount used in one patient may be too high and in another one insufficient. At present, we need to know much more about the biodynamic effect of terpenes in cannabis to breed cannabis plants that are suitable for therapeutic use. We must understand that the therapeutic effectiveness of terpenes contained in cannabis is different when we use plant material (by smoking, vaporization, or in capsules), or as extracts (in oil, capsules, suppositories, creams, and the other preparations). We must also understand that many terpenes are not stable compounds. It is possible that some of these phytochemicals are artifacts that formed in the resin on the plant due to various reasons (as described below); for instance, UV sunlight exposure, harvesting, drying, storage and processing of the plant, and even during the analysis. Smoking and vaporization give rise to other substances, not fully studied, that can also affect patients (or other users) either positively or negatively. So far, there is a discussion on whether terpenes act as such or have a synergistic or entourage effect [17,18,19,20,21,22].
LaVigne [23] found that the terpenes α-humulene, geraniol, linalool, and β-pinene produced cannabinoid tetrad behaviors in mice [24,25,26,27], suggesting cannabimimetic activity. Further, some mice behaviors could be blocked by cannabinoid or adenosine receptor antagonists, suggesting a mixed mechanism of action.
To mimic vaporizable cannabis concentrates, experiments with terpenes/terpenoids, lignan, and flavonoid gave rise to twelve of the most abundant degradation byproducts—isoprene, 2,5-dihydrotoluene, 6-methyl-5-hepten-2-one, benzene, acrolein, formaldehyde, acetaldehyde, acetone, methacrolein, valeraldehyde, hexaldehyde, 2-butanone, and ultrafine particles [28].
Bernhard and Marr [29] found several products formed from D-limonene autooxidation. They tentatively identified two of them as D-carvone and trans-carveol. Karlberg et al. [30] performed GC and GC/MS analysis on air-exposed samples of D-limonene (mw 136) and identified five main compounds: carvone (mw 150), cis- and trans-limonene oxide (mw 152), cis- and trans-carveol (mw 152). They found that (R)-(-)-carvone and a mixture of cis and trans isomers of limonene oxide are potent allergens. Their next study [31] showed that hydroperoxides of D-limonene are potent allergens. The cis- and trans-limonene-2-hydroperoxides (mw 168) are the most abundantly formed compounds in the autoxidation of D-limonene by air. Autoxidation of D-limonene resulted in other potent allergens, (+)-limonene-l,2-oxide and carvone (Figure 1).
Figure 1.
Air oxidation of limonene.
A later, more advanced study by Nilsson et al. [32] revealed many other air-oxidized products of D-limonene. The products are cis- and trans-limonene-l,2-oxide, cis- and trans-carveol, R-(-)-carvone, cis- and trans-limonene-2-hydroperoxide, cis- and trans-p-mentha-2,8-dien-l-ol, cis- and trans-p-mentha-2,8-diene-l-hydroperoxide, cis- and trans-limonene-2-hydroperoxide, and p-menth-8-ene-l,2-diol. In 1999, data on oxidation kinetics and product yields were published for 23 terpenes and 65 oxidation products [33]. Oxidized limonene and linalool caused contact allergy in dermatitis patients [34,35]. Similarly, hydroperoxides of limonene were contact allergens [36].
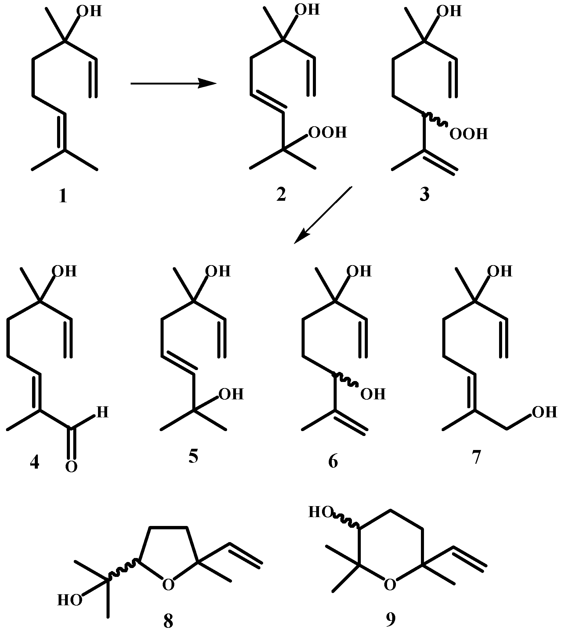
The main oxidation product of linalool was isolated and identified as 7-hydroperoxy-3,7-dimethyl-octa-1,5-diene-3-ol [37]. Later, Sköld et al. [38] published contact allergens originating by air exposure of linalool 1 (mw 154). The primary allergens identified were 7-hydroperoxy-3,7-dimethylocta-1,5-diene-3-ol (the main one in an oxidized sample) (mw 186) 2, 6-hydroxy-2,6-dimethylocta-2,7-dienal (mw 168) 4, 2,6-dimethylocta-3,7-diene-2,6-diol (mw 170) 5, 2,6-dimethylocta-1,7-diene-3,6-diol (mw 170) 6, 2-(5-methyl-5-vinyltetrahydrofuran-2-yl)propan-2-ol (mw 170) 8, and 2,2,6-trimethyl-6-vinyltetrahydro-2H-pyran-3-ol (mw 170) 9. The presence of 6-hydroperoxy-3,7-dimethylocta-1,7-diene-3-ol (mw 186) 3 and 2,6-dimethylocta-2,7-diene-1,6-diol (mw 170) 7 was also detected (Figure 2).
Figure 2.
Air oxidation of linalool.
Linalool is not an allergen, but air-oxidized linalool can trigger contact allergies [39,40].
The atmospheric oxidation of three terpenes was studied by Grosjean et al. [41]. After sunlight irradiations of mixtures of terpene and NO in air, reaction products were positively identified. Limonene produced 4-acetyl-1-methylcyclohexene, formaldehyde, and glyoxal. α-Pinene oxidation gave rise to formaldehyde, acetone, pinonaldehyde, and glyoxal. Oxidation products of β-pinene: 6,6-dimethylbicyclo[3.1.1]heptan-2-one, formaldehyde, and acetone.
Caryophyllene oxidized to just one product with low-sensitizing potential (an allergen of moderate strength), caryophyllene oxide [42]. Later, these authors identified two hydroperoxides to be primary oxidation products, but due to instability, they are rapidly converted to a more stable and less reactive secondary oxidation product—caryophyllene oxide [43] (Figure 3).
Figure 3.
Primary oxidation products of caryophyllene.
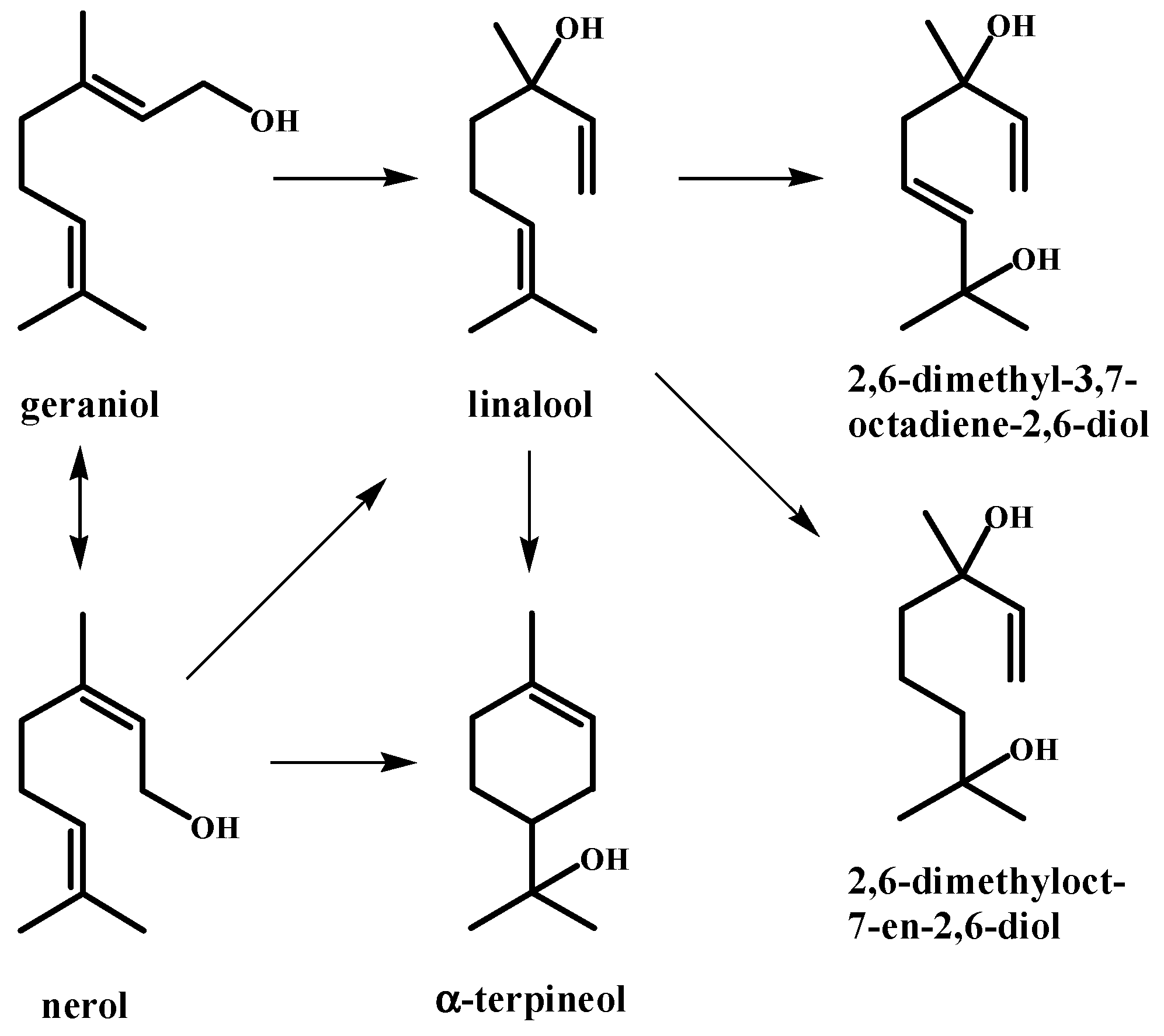
Thermal degradation of camphene, Δ3-carene, limonene, and α-terpinene was published by McGraw et al. [44]. The major monoterpene alcohols of the essential oil undergo isomerization and oxidization reactions during steam distillation. Nerol and geraniol predominantly isomerize; their conversion gives rise to linalool and α-terpineol. Linalool is converted into isomeric furan and pyran linalool oxides, 2,6-dimethyl-3,7-octadiene-2,6-diol and 2,6-dimethyloct-7-en-2,6-diol (Figure 4). The chemical conversion of analytical targets during sample clean-up by steam distillation is objectionable and interferes with precise hop oil analysis [45].
Figure 4.
Thermal degradation products of geraniol and nerol.
We must take into consideration that, upon aging, essential oils can undergo oxidation and polymerization, which may result in a loss of pharmacological properties. Heat, light, and air can lead to their oxidation, polymerization, isomerization, thermal rearrangement, or dehydrogenation [46]. Inflorescence stored using the novel packaging approach is a significant step towards providing patients with cannabis inflorescence of reproducible and reliable terpene content, an important component of inflorescence efficacy [47].
The aim of this study was to compare three different gas chromatography/mass spectrometry methods—hexane-based liquid extraction (Liq), static headspace extraction (HS), and headspace solid-phase microextraction (SPME)— to determine which method best identified volatile compounds in cannabis samples, mainly monoterpenes/monoterpenoids and sesquiterpenes/sesquiterpenoids. We used four chemotypes to compare possibilities of content compounds’ identification in different samples.
2. Experimental
2.1. Methods
Standards: Commercially available standards for α-pinene, camphene, β-pinene, myrcene, Δ3-carene, α-terpinene, p-cymene, limonene, 1,8-cineole, α-ocimene, trans-β-ocimene, γ-terpinene, terpinolene, linalool, isopulegol, geraniol, β-caryophyllene, α-humulene, cis-nerolidol, trans-nerolidol, caryophyllene oxide, guaiol, and α-bisabolol were obtained from Restek (Bellefonte, PA, USA).
Plant material: Dry female flowering tops of four different chemotypes (LOH LL1—Green fields chemotype, LOH LL2—Titan chemotype, LOH LL3—Black Domina chemotype, LOH LL4—Neptune chemotype) used for medical treatment, cultivated in Israel, were used for analysis. These four varieties that are used to treat patients were chosen so that we could compare the effectiveness of the given variety in treatment in relation to their content substances.
Sample preparation: n-Hexane for gas chromatography ≥ 98.0% (Merck, Rahway, NJ, USA) was used in sample processing. The ground plant material (three repetitions were performed for each analysis) was extracted with n-hexane (final concentration was 1 mg/mL) with occasional shaking for half an hour. One microgram of the sample thus prepared was injected for Liq analysis. A quantity of 25 mg of plant material was used for HS and 0.3 mg for SPME analysis.
Instrument: GC/MS [Agilent 7890B GC, Agilent 5977B MSD, PAL 3 (RSI 85)].
Column: Agilent Technologies, Inc., Santa Clara, CA, USA, HP-5MS UI, 30 m × 250 μm, film 0.25 μm.
2.2. Experimental Conditions for HS
Incubation time: 6 min; Incubation temperature: 80 °C.
2.3. Experimental Conditions for SPME
Incubation time: 10 min, incubation temperature: 60 °C, GC cycle time: 5 min, fiber conditioning station temperature: 250 °C, pre-desorption conditioning time: 2 min, sample extraction time: 10 min, sample desorption time: 1 min
2.4. Experimental Condition for All Three Analyses
The column temperature was initially 35 °C for 5 min, followed by temperature ramping from 35 to 150 °C at 5 °C/min, then to 250 °C at 15 °C/min (inlet: 250 °C; detector: 280 °C; split ratio 5:1;); gas: Helium (flow rate: 1 mL/min).
Analytical method validation—selectivity, specificity, accuracy, precision, linearity, range, limit of detection, limit of quantification, ruggedness, and robustness were performed [48]. They are beyond the scope of this manuscript and will be published in another publication.
2.5. Identification
The content compounds were identified by comparison to standards, retention times, retention indices, mass spectra, and the spectral matching of libraries NIST/EPA/NIH Mass Spectral Library 2017, Wiley Registry of Mass Spectral Data 11th Edition, FFNSC3, ©2015, and Adams Essential Oils Library.
3. Results
As we did not have all the main compounds as standards, it was impossible to quantify all these terpenes/terpenoids exactly.
Sample LOH LL1 (Table 1) revealed β-myrcene as the biggest peak in HS and β-caryophyllene in Liq and SPME methods. There are 8 different compounds (cpd) above 5%; in Liq—7 ones above 5%, in HS—3 above 5%, and in SPME—6 above 5%. Between the ten main compounds above, 5% were identified as β-myrcene—3x, limonene—1x, β-caryophyllene—3x, γ-elemene—1x, α-humulene—2x, α-bulnesene 2x, γ-selinene—2x, and selina-3,7(11)-diene—2x. Altogether, within the ten main compounds, 14 different terpenes/terpenoids were identified. Collectively, 51 compounds were identified by HS (98.03% of total volatiles), 46 compounds by SPME (88.36%) and 38 compounds by liquid (72.73%) GC/MS, together comprising 67 different volatile compounds. The same 28 compounds were found in all three analyses. A comparison of all three methods of analysis is presented in Figure 5.
Table 1.
GC/MS identification of the dry flowering tops—sample LOH LL1 chemotype.
Figure 5.
Comparison of all three methods of analysis—sample LOH LL1 chemotype. Counts vs. Acquisition Time (min).
Results of analysis of the sample LOH LL2 are presented in Table 2. Limonene was the biggest peak in HS and β-caryophyllene in Liq and SPME methods. Three different compounds were above 5%; in Liq—3 above 5%, in HS—6 above 5%, and in SPME—3 above 5%. Of the ten main compounds identified above, 5% were α-pinene 1x, β-pinene 1x, β-myrcene 1x, limonene 3x, β-caryophyllene—3x, and α-humulene—3x. Altogether, 17 different terpenes/terpenoids were found between the ten main compounds. The same 24 compounds were found in all three analyses. Altogether, 74 compounds were identified by HS (97.87% of total volatiles), 57 compounds by SPME (90.80%), and 38 compounds by liquid (80.02%) GC/MS, together comprising 94 different volatile compounds. A comparison of all three methods of analysis is presented in Figure 6.
Table 2.
GC/MS identification of the dry flowering tops—sample LOH LL2 chemotype.
Figure 6.
Comparison of all three methods of analysis—sample LOH LL2 chemotype. Counts vs. Acquisition Time (min).
In Table 3, limonene was the biggest peak in HS and SPME and selina-3,7(11)-diene in Liq. Next, 8 different compounds were above 5%; in Liq—5 above 5%, in HS—5 above 5%, and in SPME—6 above 5%. Between the ten main compounds identified using all three methods, the following were above 5%: α-pinene 1x, β-pinene 1x, β-myrcene—3x, limonene—3x, β-caryophyllene—3x, γ-selinene—2x, and selina-3,7(11)-diene—2x. Altogether, there were 20 different terpenes/terpenoids between the ten main compounds. The same 21 compounds were found in all three types of analysis. Altogether, 56 compounds were identified by HS (96.45%), 49 compounds by SPME (85.43%), and 44 compounds by Liq (86.85%) GC/MS, together comprising 84 different volatile compounds. A comparison of all three methods of analysis is presented in Figure 7.
Table 3.
GC/MS identification of the dry flowering tops—sample LOH LL3 chemotype.
Figure 7.
Comparison of all three methods of analysis—sample LOH LL3 chemotype. Counts vs. Acquisition Time (min).
Table 4 points out limonene as the biggest peak in HS and β-caryophyllene in Liq and SPME. Then, 4 different compounds were above 5%; in Liq—5 above 5%, in HS—5 above 5%, and in SPME—6 above 5%. Between the ten main compounds gathered from all three methods, the following were above 5%: β-pinene 1x, β-myrcene—2x, limonene—2x, β-caryophyllene—3x, α-humulene—3x, α-bulnesene 2x, and 10-epi-γ-eudesmol 1x. Altogether, 17 different terpenes/terpenoids were identified between the ten main compounds. The same 21 compounds were found in all three types of analysis. Altogether, 57 compounds were identified by HS (97.17%), 47 compounds by SPME (88.85%), and 34 compounds by Liq (88.10%) GC/MS, together comprising 77 different volatile compounds. A comparison of all three methods of analysis is presented in Figure 8.
Table 4.
GC/MS identification of the dry flowering tops—sample LOH LL4 chemotype.
Figure 8.
Comparison of all three methods of analysis—sample LOH LL4 chemotype. Counts vs. Acquisition Time (min).
A comparison of the number of identified substances for the four different chemotypes by the three different methods can be found in Table 5, and results of quantitative determination (liquid analysis) of compounds for which we had commercially available standards are in Table 6.
Table 5.
Number of identified compounds in different samples by three different methods and all identified different compounds in each chemotype from all three methods.
Table 6.
Quantitative determination (liquid analysis) of terpenes/terpenoids for which there were commercially available standards.
4. Discussion
Gas chromatography analysis of the essential oil from Cannabis sativa was published already in 1957 [49]. In oil from fresh large leaves of female Cannabis sativa, the compounds identified by gas chromatography were myrcene, limonene, α-humulene, and β-caryophyllene [50]. By steam distillation of fresh Indian Cannabis sativa L. from Kashmir 21, terpenes/terpenoids were identified in the essential oil [51].
Static headspace gas chromatography has already been used for marijuana and hashish analysis by Hood et al. [52,53]. They identified 16 terpenes and 1 terpenoid in the samples. For simultaneous quantification of 93 terpenoids present in air-dried Cannabis inflorescences and extracts static headspace—GC/MS/MS was used [54]. We also used GC/MS for identification of volatiles in different chemotypes of cannabis (medical and industrial) and published content volatiles, mostly terpenes/terpenoids, and their ratios in cannabis inflorescences and essential oils [55]. Thirteen chemotypes with different main terpenes/terpenoids were presented.
Solid-phase microextraction GC/MS was used to identify cannabidiol, Δ8-tetrahydrocannabinol, Δ9-tetrahydrocannabinol, and cannabinol in pure water and human saliva [56]. For cannabinoids determination in cannabis samples, the GC/MS method was developed [57]. Yang et al. [58] identified 13 monoterpenes, 4 monoterpenoids, and 14 sesquiterpenes in cannabis essential oil. The three mentioned gas chromatography techniques (HS, SPME, and liquid injection) were compared [59]. All three were excellent for the lower boiling monoterpenes. In HS, sesquiterpenes were underrepresented. SPME gave a stronger signal for early eluting sesquiterpenes. Higher boiling sesquiterpenes were only adequately represented in liquid injection (hexane extract). Myers et al. [60] compared headspace–syringe and liquid injection–syringe techniques to the more modern headspace solid-phase microextraction arrow and direct-immersion SPME arrow. They used 23 terpene/terpenoids standards and determined from the results that the liquid injection–syringe method is the most straightforward and robust method.
We compared three different gas chromatography/mass spectrometry methods—static headspace extraction, headspace solid-phase microextraction, and hexane-based liquid extraction—to identify volatile compounds in cannabis samples, mainly monoterpenes/monoterpenoids and sesquiterpenes/sesquiterpenoids. We found hexane to be the best solvent for analysis of liquid samples. Liquid samples give the most complex spectrum of the main mono- and sesquiterpenes/terpenoids as sesquiterpenes/sesquiterpenoids can be seen with higher retention times. Such liquid samples also have the advantage of absolute quantification of terpenes. The static headspace chromatogram gives the best representation of monoterpenes and monoterpenoids but a weaker signal for sesquiterpenes and sesquiterpenoids. Solid-phase microextraction gives a significant spectrum of sesquiterpenes and sesquiterpenoids with shorter retention times and weaker signal for monoterpenes and monoterpenoids.
The determination of substances in the sample depends on the sensitivity of the method used. The volatility of the given substance and the amount of sample used are also important. Therefore, some substances were not identified by all three methods.
It seems that the results of Liq and SPME are the most similar (but not in all cases), so the analysis of the extract prepared with an organic solvent (hexane) will be the most suitable for the quantitative determination of these substances.
Altogether, 26 terpenes/terpenoids were among the ten main present in four different chemotypes. They were divided with Liq containing 16 terpenes/terpenoids (2 terpenes, 1 terpenoid, 9 sesquiterpenes, and 4 sesquiterpenoids), 15 in HS (5 terpenes, 2 terpenoids, 8 sesquiterpenes), and 17 in SPME (4 terpenes, 3 terpenoids, 10 sesquiterpenoids). The main terpene in chemotype LOH LL3 from the HS and SPME methods was limonene, but as we can see from Table 3, the other terpenes/terpenoids do not follow the same relative ratio. Chemotype LOH LL4 has a similar situation. The main terpene in Liq and SPME is β-caryophyllene, but as we can see from Table 4, the other terpenes/terpenoids do not follow the same relative ratio. As we can see from Table 1, Table 2, Table 3 and Table 4, the terpenes found most often from amongst the ten mains were β-myrcene, limonene, β-caryophyllene, α-humulene, γ-selinene, and selina-3,7(11)-diene. The most reproducible analysis for quantitative analysis (three repetitions were performed for each analysis) appears to be from Liq samples.
It is now well known that different cannabis chemotypes (also mentioned as variety, strain, chemovar, cultivar, phenotype, or genotype) with the same content of major cannabinoids act differently in the treatment of the same patient. Not every chemotype is suitable for a given patient. Cannabis constituents (whether cannabinoids, terpenes/terpenoids, or the other bioactive substances) interact with each other and can thus increase (or decrease) the effectiveness of a given chemotype [17,61]. If these effects are independent, synergistic, or entourage, they still need to be thoroughly studied. In addition, each of us is genetically different, and therefore, one chemotype that is suitable for one patient might not be suitable for another one. It should also be emphasized that a given chemotype of cannabis which is suitable for a specific patient witha given disease may not (but sometimes may) cure a different disease.
5. Conclusions
In conclusion, we can say that for the final evaluation of the comparison of the three methods of analysis, extraction with hexane gives balanced results (which is advantageous for quantitative analysis), although the other two methods allowed for the identification of more substances. This means that the same method should be used everywhere for the quantitative evaluation of constituents in cannabis. Only in this way it will be possible to objectively compare the results from different laboratories. The differences for the same sample analyzed in different laboratories will then be within the allowable error range.
Strains of cannabis, their content, their quantities, and ratios—all this is important and can lead to the determination of the cannabis strain grown in a certainplace, which will enable the treatment of a certain disease. This work is not groundbreaking or a new discovery. It is just a cube in the mosaic, which, after filling it in, will determine the cannabis treatment strategy.
Supplementary Materials
The following supporting information can be downloaded at: https://www.mdpi.com/article/10.3390/app14156476/s1. Figure S1: Hexane based liquid extraction method (Liq)—sample LOH LL1 chemotype. Counts vs. Acquisition Time (min), Figure S2: Static head-space extraction method (HS)—sample LOH LL1 chemotype. Counts vs. Acquisition Time (min), Figure S3: Head-space solid phase microextraction method (SPME)—sample LOH LL1 chemotype. Counts vs. Acquisition Time (min), Figure S4: Hexane based liquid extraction method (Liq)—sample LOH LL2 chemotype. Counts vs. Acquisition Time (min), Figure S5: Static head-space extraction method (HS)—sample LOH LL2 chemotype. Counts vs. Acquisition Time (min), Figure S6: Head-space solid phase microextraction method (SPME)—sample LOH LL2 chemotype. Counts vs. Acquisition Time (min), Figure S7: Hexane based liquid extraction method (Liq)—sample LOH LL3 chemotype. Counts vs. Acquisition Time (min), Figure S8: Static head-space extraction method (HS)—sample LOH LL3 chemotype. Counts vs. Acquisition Time (min), Figure S9: Head-space solid phase microextraction method (SPME)—sample LOH LL3 chemotype. Counts vs. Acquisition Time (min), Figure S10: Hexane based liquid extraction method (Liq)—sample LOH LL4 chemotype. Counts vs. Acquisition Time (min), Figure S11: Static head-space extraction method (HS)—sample LOH LL4 chemotype. Counts vs. Acquisition Time (min), Figure S12: Head-space solid phase microextraction method (SPME)—sample LOH LL4 chemotype. Counts vs. Acquisition Time (min).
Funding
There were no external funding sources to the study in the preparation of data or the manuscript.
Data Availability Statement
The original contributions presented in the study are included in the article and Supplementary Materials files, further inquiries can be directed to the corresponding author.
Acknowledgments
My thanks to Margalit Lillie Beck for manuscript reading and language corrections.
Conflicts of Interest
The Author Lumír Ondřej Hanuš was employed by the company Asana Bio Group Ltd. The author declared that the research was conducted in the absence of any commercial or financial relationships that could be construed as a potential conflict of interest.
Abbreviations
Liq: hexane-based liquid extraction; HS: static headspace extraction; SPME: headspace solid-phase microextraction; Key: RT = retention time, RI = retention index, cpd = compounds.
References
- Booth, J.K.; Page, J.E.; Bohlmann, J. Terpene synthases from Cannabis sativa. PLoS ONE 2017, 12, e0173911. [Google Scholar] [CrossRef] [PubMed]
- Booth, J. Terpene and Isoprenoid Biosynthesis in Cannabis sativa. Ph.D. Thesis, The University of British Columbia, Vancouver, BC, Canada, 2020; 223p. [Google Scholar]
- Booth, J.K.; Bohlmann, J. Terpenes in Cannabis sativa—From plant genome to humans. Plant Sci. 2019, 284, 67–72. [Google Scholar] [CrossRef] [PubMed]
- Zhao, L.; Chang, W.; Xiao, Y.; Liu, H.; Liu, P. Methylerythritol Phosphate Pathway of Isoprenoid Biosynthesis. Ann. Rev. Biochem. 2013, 82, 497–530. [Google Scholar] [CrossRef] [PubMed]
- Lichtenthaler, H.K. The plants’ 1-deoxy-D-xylulose-5-phosphate pathway for biosynthesis of isoprenoids. Fett/Lipid 1998, 100, 128–138. [Google Scholar] [CrossRef]
- Lichtenthaler, H.K. The 1-deoxy-D-xylulose-5-phosphate pathway of isoprenoid biosynthesis in plants. Ann. Rev. Plant Physiol. Plant Mol. Biol. 1999, 50, 47–65. [Google Scholar] [CrossRef] [PubMed]
- Mechoulam, R.; Gaoni, Y. The isolation and structure of cannabinolic, cannabidiolic and cannabigerolic acids. Tetrahedron 1965, 21, 1223–1229. [Google Scholar] [CrossRef] [PubMed]
- Fellermeier, M.; Zenk, M.H. Prenylation of olivetolate by a hemp transferase yields cannabigerolic acid, the precursor of tetrahydrocannabinol. FEBS Lett. 1998, 427, 283–285. [Google Scholar] [CrossRef] [PubMed]
- Rohmer, M. The discovery of a mevalonate-independent pathway for isoprenoid biosynthesis in bacteria, algae and higher plants. Nat. Prod. Rep. 1999, 16, 565–574. [Google Scholar] [CrossRef] [PubMed]
- Baron, E.P. Medicinal Properties of Cannabinoids, Terpenes, and Flavonoids in Cannabis, and Benefits in Migraine, Headache, and Pain: An Update on Current Evidence and Cannabis Science. Headache 2018, 58, 1139–1186. [Google Scholar] [CrossRef]
- Tomko, A.M.; Whynot, E.G.; Ellis, L.D.; Dupré, D.J. Anti-Cancer Potential of Cannabinoids, Terpenes, and Flavonoids Present in Cannabis. Cancers 2020, 12, 1985. [Google Scholar] [CrossRef]
- Kumar, P.; Mahato, D.K.; Kamle, M.; Borah, R.; Sharma, B.; Pandhi, S.; Tripathi, V.; Yadav, H.S.; Devi, S.; Patil, U.; et al. Pharmacological properties, therapeutic potential, and legal status of Cannabis sativa L.: An overview. Phytother. Res. 2021, 35, 6010–6029. [Google Scholar] [CrossRef] [PubMed]
- Liktor-Busa, E.; Keresztes, A.; LaVigne, J.; Streicher, J.M.; Largent-Milnes, T.M. Analgesic Potential of Terpenes Derived from Cannabis sativa. Pharmacol. Rev. 2021, 73, 1269–1297. [Google Scholar] [CrossRef]
- Laws, J.S., III; Shrestha, S.; Smid, S.D. Cannabis terpenes display variable protective and anti-aggregatory actions against neurotoxic β amyloid in vitro: Highlighting the protective bioactivity of α-bisabolol in motorneuronal-like NSC-34 cells. Neurotoxicology 2022, 90, 81–87. [Google Scholar] [CrossRef]
- Rodriguez, C.E.B.; Ouyang, L.; Kandasamy, R. Antinociceptive effects of minor cannabinoids, terpenes and flavonoids in Cannabis. Behav. Pharmacol. 2022, 33, 130–157. [Google Scholar] [CrossRef]
- Di Sotto, A.; Gullì, M.; Acquaviva, A.; Tacchini, M.; Di Simone, S.C.; Chiavaroli, A.; Recinella, L.; Leone, S.; Brunetti, L.; Orlando, G.; et al. Phytochemical and pharmacological profiles of the essential oil from the inflorescences of the Cannabis sativa L. Ind. Crops Prod. 2022, 183, 114980. [Google Scholar] [CrossRef]
- Russo, E.B. Taming THC: Potential cannabis synergy and phytocannabinoid-terpenoid entourage effects. Br. J. Pharmacol. 2011, 163, 1344–1364. [Google Scholar] [CrossRef]
- Blasco-Benito, S.; Seijo-Vila, M.; Caro-Villalobos, M.; Tundidor, I.; Andradas, C.; Garcia-Taboada, E.; Wade, J.; Smith, S.; Guzmán, M.; Pérez-Gómez, E.; et al. Appraising the “entourage effect”: Antitumor action of a pure cannabinoid versus a botanical drug preparation in preclinical models of breast cancer. Biochem. Pharmacol. 2018, 157, 285–293. [Google Scholar] [CrossRef] [PubMed]
- Worth, T. Unpicking the entourage effect. Nature 2019, 572, S12–S13. [Google Scholar] [CrossRef] [PubMed]
- Santiago, M.; Sachdev, S.; Arnold, J.C.; McGregor, I.S.; Connor, M. Absence of entourage: Terpenoids commonly found in Cannabis sativa do not modulate the functional activity of Δ9-THC at human CB1 and CB2 receptors. Cannabis Cannabinoid Res. 2019, 4, 165–176. [Google Scholar] [CrossRef]
- Finlay, D.B.; Sircombe, K.J.; Nimick, M.; Jones, C.; Glass, M. Terpenoids from cannabis do not mediate an entourage effect by acting at cannabinoid receptors. Front. Pharmacol. 2020, 11, 359. [Google Scholar] [CrossRef]
- Ferber, S.G.; Namdar, D.; Hen-Shoval, D.; Eger, G.; Koltai, H.; Shoval, G.; Shbiro, L.; Weller, A. The “Entourage Effect”: Terpenes Coupled with Cannabinoids for the Treatment of Mood Disorders and Anxiety Disorders. Curr. Neuropharmacol. 2020, 18, 87–96. [Google Scholar] [CrossRef]
- LaVigne, J.E.; Hecksel, R.; Keresztes, A.; Streicher, J.M. Cannabis sativa terpenes are cannabimimetic and selectively enhance cannabinoid activity. Sci. Rep. 2021, 11, 8232. [Google Scholar] [CrossRef] [PubMed]
- D’Amour, F.E.; Smith Donn, L. A method for determining loss of pain sensation. J. Pharmacol. Exp. Ther. 1941, 72, 74–79. [Google Scholar]
- Dewey, W.L.; Harris, L.S.; Howes, J.F.; Nuite, J.A. The effect of various neurohumoral modulators on the activity of morphine and the narcotic antagonists in the tail-flick and phenylquinone tests. J. Pharmacol. Exp. Ther. 1970, 175, 435–442. [Google Scholar]
- Pertwee, R.G. The ring test: A quantitative method for assessing the ‘cataleptic’ effect of cannabis in mice. Br. J. Pharmacol. 1972, 46, 753–763. [Google Scholar] [CrossRef] [PubMed]
- Little, P.J.; Compton, D.R.; Johnson, M.R.; Melvin, L.S.; Martin, B.R. Pharmacology and stereoselectivity of structurally novel cannabinoids in mice. J. Pharmacol. Exp. Ther. 1988, 247, 1046–1051. [Google Scholar]
- Tang, X.; Cancelada, L.; Rapp, V.H.; Russell, M.L.; Maddalena, R.L.; Litter, M.I.; Gundel, L.A.; Destaillats, H. Emissions from Heated Terpenoids Present in Vaporizable Cannabis Concentrates. Environ. Sci. Technol. 2021, 55, 6160–6170. [Google Scholar] [CrossRef] [PubMed]
- Bernhard, R.A.; Marr, A.G. The oxidation of terpenes. I. Mechanism and reaction products of D-limonene autoxidation. Food Res. 1960, 25, 517–530. [Google Scholar] [CrossRef]
- Karlberg, A.T.; Magnusson, K.; Nilsson, U. Air oxidation of d-limonene (the citrus solvent) creates potent allergens. Contact Dermat. 1992, 26, 332–340. [Google Scholar] [CrossRef]
- Karlberg, A.T.; Shao, L.P.; Nilsson, U.; Gäfvert, E.; Nilsson, J.L.G. Hydroperoxides in oxidized d-limonene identified as potent contact allergens. Arch. Dermatol. Res. 1994, 286, 97–103. [Google Scholar] [CrossRef]
- Nilsson, U.; Bergh, M.; Shao, L.P.; Karlberg, A.T. Analysis of contact allergenic compounds in oxidized d-limonene. Chromatographia 1996, 42, 199–205. [Google Scholar] [CrossRef]
- Calogirou, A.; Larsen, B.R.; Kotzias, D. Gas-phase terpene oxidation products: A review. Atmos. Environ. 1999, 33, 1423–1439. [Google Scholar] [CrossRef]
- Christensson, J.B. Clinical and Experimental Studies on Oxidized Fragrance Terpenes as Contact Allergens. Ph.D. Thesis, University of Gothenburg, Gothenburg, Sweden, 2009; 55p. [Google Scholar]
- Christensson, J.B.; Karlberg, A.T.; Andersen, K.E.; Bruze, M.; Johansen, J.D.; Garcia-Bravo, B.; Gimenez, A.A.; Goh, C.L.; Nixon, R.; White, I.R. Oxidized limonene and oxidized linalool—Concomitant contact allergy to common fragrance terpenes. Contact Dermat. 2016, 74, 273–280. [Google Scholar] [CrossRef] [PubMed]
- Bennike, N.H.; Palangi, L.; Christensson, J.B.; Nilsson, U.; Zachariae, C.; Johansen, J.D.; Hagvall, L. Allergic contact dermatitis caused by hydroperoxides of limonene and dose-response relationship-A repeated open application test (ROAT) study. Contact Dermat. 2019, 80, 208–216. [Google Scholar] [CrossRef]
- Sköld, M.; Börje, A.; Matura, M.; Karlberg, A.T. Studies on the autoxidation and sensitizing capacity of the fragrance chemical linalool, identifying a linalool hydroperoxide. Contact Dermat. 2002, 46, 267–272. [Google Scholar] [CrossRef]
- Sköld, M.; Börje, A.; Harambasic, E.; Karlberg, A.T. Contact Allergens Formed on Air Exposure of Linalool. Identification and Quantification of Primary and Secondary Oxidation Products and the Effect on Skin Sensitization. Chem. Res. Toxicol. 2004, 17, 1697–1705. [Google Scholar] [CrossRef]
- Christensson, J.B.; Matura, M.; Gruvberger, B.; Bruze, M.; Karlberg, A.T. Linalool—A significant contact sensitizer after air exposure. Contact Dermat. 2010, 62, 32–41. [Google Scholar] [CrossRef] [PubMed]
- Christensson, J.B.; Andersen, K.E.; Bruze, M.; Johansen, J.D.; Garcia-Bravo, B.; Arnau, A.G.; Goh, C.L.; Nixon, R.; White, I.R. Air-oxidized linalool—A frequent cause of fragrance contact allergy. Contact Dermat. 2012, 67, 247–259. [Google Scholar] [CrossRef]
- Grosjean, D.; Williams, E.L.; Seinfeld, J.H. Atmospheric Oxidation of Selected Terpenes and Related Carbonyls: Gas-Phase Carbonyl Products. Environ. Sci. Technol. 1992, 26, 1526–1533. [Google Scholar] [CrossRef]
- Matura, M.; Sköld, M.; Boerje, A.; Andersen, K.E.; Bruze, M.; Frosch, P.; Goossens, A.; Johansen, J.D.; Svedman, C.; White, I.R.; et al. Selected oxidized fragrance terpenes are common contact allergens. Contact Dermat. 2005, 52, 320–328. [Google Scholar] [CrossRef]
- Sköld, M.; Karlberg, A.T.; Matura, M.; Börje, A. The fragrance chemical β-caryophyllene—Air oxidation and skin sensitization. Food Chem. Toxicol. 2006, 44, 538–545. [Google Scholar] [CrossRef] [PubMed]
- McGraw, G.W.; Hemingway, R.W.; Ingram, L.L., Jr.; Canady, C.S.; McGraw, W.B. Thermal Degradation of Terpenes: Camphene, Δ3-Carene, Limonene, and α-Terpinene. Environ. Sci Technol. 1999, 33, 4029–4033. [Google Scholar] [CrossRef]
- Rettberg, N.; Thorner, S.; Garbe, L.A. Bugging hop analysis—On the isomerization and oxidation of terpene alcohols during steam distillation. Brew. Sci.—Monatsschrift Für Brauwiss 2012, 65, 112–117. [Google Scholar]
- Turek, C.; Stintzing, F.C. Stability of essential oils: A review. Compr. Rev. Food Sci. Food Saf. 2013, 12, 40–53. [Google Scholar] [CrossRef]
- Bueno, J.; Leuer, E.; Kearney, M., Jr.; Green, E.H.; Greenbaum, E.A. The preservation and augmentation of volatile terpenes in cannabis inflorescence. J. Cannabis Res. 2020, 2, 27. [Google Scholar] [CrossRef] [PubMed]
- Gupta, P.C. Method Validation of Analytical Procedures. PharmaTutor Mag. 2015, 3, 32–39. [Google Scholar]
- Egon, S. Chemical varieties of plants containing terpenoids. Essenze E Deriv. Agrum. 1957, 27, 188–220. [Google Scholar]
- Martin, L.; Smith, D.M.; Farmilo, C.G. Essential oil from fresh Cannabis sativa and its use in identification. Nature 1961, 191, 774–776. [Google Scholar] [CrossRef] [PubMed]
- Nigam, M.C.; Handa, K.L.; Nigam, I.C.; Levi, L. Essential oils and their constituents XXIX. The essential oil of marihuana: Composition of genuine Indian Cannabis sativa L. Can. J. Chem. 1965, 43, 3372–3376. [Google Scholar] [CrossRef]
- Hood, L.V.S.; Dames, M.E.; Barry, G.T. Headspace volatiles of marijuana. Nature 1973, 242, 402–403. [Google Scholar] [CrossRef]
- Hood, L.V.S.; Barry, G.T. Headspace volatiles of marihuana and hashish: Gas chromatographic analysis of samples of different geographic origin. J. Chromatogr. 1978, 166, 499–506. [Google Scholar] [CrossRef] [PubMed]
- Shapira, A.; Berman, P.; Futoran, K.; Guberman, O.; Meiri, D. Tandem Mass Spectrometric Quantification of 93 Terpenoids in Cannabis Using Static Headspace Injections. Anal. Chem. 2019, 91, 11425–11432. [Google Scholar] [CrossRef]
- Hanuš, L.O.; Hod, Y. Terpenes/terpenoids in Cannabis—Are they important? Med. Cannabis Cannabinoids 2020, 3, 25–60. [Google Scholar] [CrossRef] [PubMed]
- Hall, B.J.; Satterfield-Doerr, M.; Parikh, A.; Brodbelt, J.S. Determination of Cannabinoids in Water and Human Saliva by Solid-Phase Microextraction and Quadrupole Ion Trap Gas Chromatography/Mass Spectrometry. Anal. Chem. 1998, 70, 1788–1796. [Google Scholar] [CrossRef] [PubMed]
- Ilias, Y.; Rudaz, S.; Mathieu, P.; Christen, P.; Veuthey, J.L. Extraction and analysis of different Cannabis samples by headspace solid-phase microextraction combined with gas chromatography-mass spectrometry. J. Sep. Sci. 2005, 28, 2293–2300. [Google Scholar] [CrossRef] [PubMed]
- Yang, Z.; Long, C.; Zhong, C.; Sun, C.; Mao, H. Analysis of chemical constituents of the volatile oil from Cannabis sativa by SPME-GC-MS. Zhongguo Yao Fang (J. China Pharm.) 2008, 19, 2613–2614. [Google Scholar]
- Krill, C.; Rochfort, S.; Spangenberg, G. A High-Throughput Method for the Comprehensive Analysis of Terpenes and Terpenoids in Medicinal Cannabis Biomass. Metabolites 2020, 10, 276. [Google Scholar] [CrossRef]
- Myers, C.; Herrington, J.S.; Hamrah, P.; Anderson, K. Accelerated Solvent Extraction of Terpenes in Cannabis Coupled with Various Injection Techniques for GC-MS Analysis. Front. Chem. 2021, 9, 619770. [Google Scholar] [CrossRef]
- Russo, E.B. The Case for the Entourage Effect and Conventional Breeding of Clinical Cannabis: No “Strain”, No Gain. Front. Plant Sci. 2018, 9, 1969. [Google Scholar] [CrossRef]
Disclaimer/Publisher’s Note: The statements, opinions and data contained in all publications are solely those of the individual author(s) and contributor(s) and not of MDPI and/or the editor(s). MDPI and/or the editor(s) disclaim responsibility for any injury to people or property resulting from any ideas, methods, instructions or products referred to in the content. |
© 2024 by the author. Licensee MDPI, Basel, Switzerland. This article is an open access article distributed under the terms and conditions of the Creative Commons Attribution (CC BY) license (https://creativecommons.org/licenses/by/4.0/).







