Abstract
Motorcycles are efficient and flexible tools for short-trip transportation, but they feature static instability and lean while cornering. This characteristic increases the danger of overturning. This study proposes a system to brake a motorcycle safely in a turn. The optimal slip ratio decision model is used to generate the optimal value according to roll angle and vertical force. Given that the roll angle cannot be measured directly, a Kalman filter is used to estimate the roll angle via kinematic parameters, measured by inertial measurement unit. The PID controller adjusts the current slip ratio to follow the optimal slip ratio. Using the motorcycle dynamics model from BikeSim, a co-simulation platform is constructed in MATLAB/Simulink to verify the reliability of the designed brake system. The results show that, compared with a traditional brake controller, the proposed brake system can control the motorcycle braking process by autoregulating the optimal slip ratio in time, according to the kinematic parameters. Both brake performance and stability are well considered, which contributes to improving the safety of the motorcycle. This research work has certain reference value for the development of motorcycle active safety systems.
1. Introduction
An increase in the number of cars has led to urban traffic congestion and parking difficulty. By contrast, a motorcycle features greater mobility and efficiency in congested cities due to its small footprint. Motorcycles have become a popular means of transportation for mass short-distance travel. Data from the Traffic Management Bureau of the Ministry of Public Security shows that 10.05 million motorcycles were registered nationwide in 2021, which was an increase of 1.79 million over 2020 [1]. Motorcycle structure is similar to an inverted pendulum, so it is a static unstable system. Under turning operation, the roll angle increases, which leads to the risk of rolling over. If braking is applied in turning, the risk of rolling over increases significantly. The recent advancements in active safety systems, including electronic stability programs (ESC) and vehicle stability control (VSC), have significantly enhanced the safety features of automobiles. Motorcycles travel at speeds up to 80 km/h, but few active safety systems are applied to motorcycles. Especially under turning braking conditions, a motorcycle is also far more likely to be involved in an accident than a car. Given the wide application of motorcycles, and the weak security, the study of a turning brake system for motorcycles has important practical significance [2,3].
The braking system is an important part of the active safety system for motorcycles, and an anti-lock braking system (ABS) for motorcycles was introduced in the late 1980s to decrease the braking distance by ensuring that the wheel rotates during hard braking. Tests show that ABS decreases stopping distances, increases braking stability and prevents motorcyclists from falling [4]. There have been many studies of methods to increase motorcycle braking performance.
Ganesh V et al. [5] proposed a variable braking force system that adjusts braking force by changing the radius of the effective brake disk according to the vertical load between the tire and the ground. Thomas et al. [6] proposed a comprehensive motorcycle stability control (MSC) system, which synergistically integrates an anti-lock braking system (ABS), electronic braking, traction control, and an inertial measurement unit to bolster the vehicle’s stability and safety.
Baumann et al. [7] employed a model predictive control algorithm (MPCA) to optimally distribute power to the front and rear wheels, effectively reducing steering torque during cornering. This approach is designed to preserve directional stability, ensuring a more controlled and predictable ride. Harshal Rameshwar More et al. [8] designed an anti-lock braking system for motorcycles that uses linear PID control. The electronic control unit calculates the slip ratio using the wheel speed and the vehicle speed. The slip ratio feeds back to the PID controller, which then adjusts the braking torque to control the tire slip ratio to a reference slip rate of −0.2.
Wu Longhui [9] proposed an ideal distribution curve for brake force for the front and rear wheels of a motorcycle on road surfaces with different adhesion coefficients by determining the relationship between brake force, ground brake force and the adhesion force for a motorcycle. Soni et al. [10] established a method to distribute braking force between the front and rear wheels and designed a joint braking system by determining the effect of the roll angle and the friction coefficient during straight-line operation and turning. BikeSim 2022 and MATLAB 2023b/Simulink software have been used to conduct simulations to verify rationality. The braking control strategy that was proposed by Melnikov et al. [11] generates a control signal by calculating the derivative of the lateral force of the ground on the wheel. If the derivative of the lateral force is negative, the tire slips and stability is lost, so the braking force is adjusted. The system is similar to the Electronic Stability Control (ESC) system for cars, and increases braking stability and controllability for motorcycles.
Yuan-Ting Lin et al. [12,13] proposed a variable combined braking system that uses an adaptive control algorithm that can adjust the distribution of the braking force between the front and rear wheels. Fernandez J P et al. [14] proposed an anti-lock braking system that uses fuzzy logic. The motorcycle parameters are calculated using an extended Kalman filter to determine the slip ratio and the road adhesion coefficient. The difference between the current slip ratio and the optimal slip rate, the deviation change rate, and the road adhesion coefficient are input to the fuzzy logic to generate a control command. To increase the performance of fuzzy logic control, a co-evolution algorithm is used to optimize the control parameters. Arjun Phalke et al. [15] proposed an optimal braking force distribution method for combined front and rear wheel braking that considers the influence of suspension. García-León, R. A. et al. [16,17] analyzed the thermal properties of three different motorcycle brake disks through the finite element method, and the results show that the systems with higher cylinder capacity can guarantee better braking distance.
Most studies [6,7,9,10,12,13] design a motorcycle braking system that prevents skidding, and there is a lack of studies about tire models. The tire is a vital component of a vehicle, and the interaction between the tire and the ground through contact force plays a fundamental role in maintaining the vehicle’s stability during braking. One study [8] directly defines the optimal slip ratio as −0.2, which corresponds to the maximum longitudinal force for braking control for a specific tire slip rate. This braking strategy increases braking performance when driving in a straight line, but can cause instability if there is insufficient lateral force during turning. One study [11] proposes a braking system using the lateral force change rate to ensure the stability of vehicles, but there is a lack of correlation analysis on braking performance. One proposed braking system [14,15] is only suitable for straight-line braking.
Pacejka, H [18] showed in a study of motorcycle tire dynamics that in addition to the longitudinal braking force, centrifugal force is offset by the lateral force that is exerted by the ground when the motorcycle is turning and braking. Sufficient lateral force ensures vehicle stability. However, longitudinal and lateral forces are affected by the friction ellipse. On this basis, the study [19] proposed constraint optimization to calculate the optimal slip ratio that serves as the input of the brake system. Though the input is autoregulative according to motorcycle dynamics, the optimal slip ratio depends on four kinematic parameters: vertical force, roll angle, velocity and sideslip angle. Most of these parameters, such as roll angle vertical force and sideslip angle, cannot be measured directly via sensor, which means an estimation or calculation for these parameters is necessary if this brake system is considered for actual application. Too many parameters increase the calculation time of the system, and then affect the brake reaction sensitivity. Roll angle is an important parameter, and it has a direct impact on motorcycle stability. The estimation algorithm based on the Kalman filter from [20] makes the acquisition of the roll angle possible. Motivated by the above discussion, this paper combines the result of [19,20], and proposes a turning brake system that includes roll angle estimation and calculation for vertical force. Negligible parameters are ignored, and all parameters that are used in this system can be estimated or calculated by sensor signals, which is an improvement of the work in [19]. The proposed brake system is more pragmatic. The major contribution of this study is an increase in the braking performance and stability of motorcycles in a turn.
This paper is organized as follows. In Section 2, a constrained optimization model that generates the optimal slip ratio is proposed and solved. Section 3 calculates the front and rear tire vertical force. Section 4 determines the roll angle using a two-step measure update and Kalman filter theory. Section 5 delineates the architecture of the turning braking system, with a simulation of its performance executed through MATLAB/Simulink and BikeSim. Section 6 culminates with the conclusions drawn from the study.
2. Optimization Model for the Optimum Slip Ratio
If a motorcycle brakes during a turn, the body leans at an angle. the body roll angle is equal to the camber angle, i.e., ϕ = γ. The gravity generates torque to balance the torque that is exerted by the centrifugal force on the body. The centrifugal force creates a side reaction force from the ground on the tire. In other words, tires are subject to longitudinal and lateral forces. According to Pacejka tire model, the longitudinal force can be expressed as follows:
The parameters in Equation (1) are shown as follows:
Similarly, the lateral force can be expressed as follows:
The parameters in Equation (2) are shown as follows:
Taking the tire (mc150/55R17) as the research object, the parameters are shown in Table 1.
Table 1.
Tire geometric parameters.
Referring to motorcycle dynamics software BikeSim, the Pacejka tire model fitting parameters are shown in Table 2.
Table 2.
Pacejka tire model fitting parameters.
These parameters are inserted into Equations (1) and (2) by MATLAB, and, given the slip ratio, sideslip angle, roll angle, vertical force and road friction coefficient, the longitudinal and lateral force can be obtained. The influence of longitudinal force on the lateral force can be demonstrated by friction ellipse, as shown in Figure 1.
Figure 1.
Friction ellipse.
The friction ellipse is composed of longitudinal force and lateral force; in the case of a certain sideslip angle, with the increase in longitudinal force, due to the change in the lateral elasticity of the tire, the limit lateral force provided by the ground decreases. Should the lateral force exerted by the ground on the tire prove insufficient to counteract the centrifugal force, the vehicle is at risk of lateral skidding or even overturning. The lateral force directly affects the directional stability. If the maximum lateral force Fy_max exerted by the ground is greater than , the vehicle turns stably; otherwise, sideslip occurs. The tire is subjected to a longitudinal force and a lateral force. The longitudinal force, synonymous with the braking force, is a determinant of braking performance, dictating both the braking distance and the rate of deceleration. Concurrently, the maximum lateral force is a critical factor influencing the vehicle’s stability. According to the study from [19], the slip ratio can affect the longitudinal and maximum lateral force. The nearer the slip ratio is to 0, the closer the tire is to a pure rolling state and the greater the maximum lateral force. For a slip ratio of −0.15, the longitudinal force is greatest, and the maximum lateral force decreases to a center degree. For a slip ratio of −1, the tire is locked and in a pure sliding state, and the ground exerts little maximum lateral force. The tire slip ratio must be maintained within a specific range so that the vehicle can maintain stability and braking performance. Therefore, the selection of the optimal slip ratio presents a constrained optimization problem, with the slip ratio itself serving as the design variable. The constraint stipulates that the maximum lateral force must exceed the centrifugal force to ensure stability. The constraint condition is that the maximum lateral force is greater than the centrifugal force. The objective of optimization is to obtain the best braking performance, that is, the maximum longitudinal force. Referring to [21], the mathematical model for constraint optimization is as follows:
where κ* is the optimal slip ratio; κ is the current slip ratio; is the sideslip angle; is the camber angle; is the vertical force of the tires.
The longitudinal characteristics in [19] show that the longitudinal force exhibits a unimodal distribution across a slip ratio range from −1 to 0. The golden section search method is adeptly employed to tackle the optimization problem. The calculation flow chart is shown in Figure 2. First, the relevant motion parameters are specified, such as the vertical force and sideslip angle. Define initial interval and convergence accuracy ε. Insert two points and in the initial interval, and the initial range [a, b] is divided into three sections: , and . The maximum lateral force corresponding to the insertion point is calculated, respectively, and compared with the centrifugal force to determine whether the vehicle stability constraints are met. If the insertion point satisfies the stability constraint, the insertion point is reserved and assigned to the variable κ, otherwise κ is set to 0. The longitudinal forces and at the insertion point are calculated and compared.
Figure 2.
Calculation for optimal slip ratio based on golden section method.
If , the interval can be eliminated, and the new search interval is .
If , the interval can be eliminated, and the new search interval is .
The golden section point continues to be inserted in the new interval, and the loop is repeated. The interval is continuously reduced until the interval is shortened to less than the convergence accuracy ε, that is, , and the median value is taken as the best slip ratio.
During braking, speed decreases. In terms of the vertical forces, the load transfer between the front and rear wheels changes dynamically due to deceleration. The body roll angle also changes dynamically, so the optimal slip ratio changes with the movement of the vehicle. According to motorcycle tire model, the sideslip angle is small, and it ranges from −4° to 4° in a steady driving process. Therefore, sideslip angle has little influence on optimal slip ratio, and it can be set to a fixed value of 0° in this optimization operation. The optimal slip ratio is mainly related to the roll angle and vertical load, and these two parameters are, respectively, set to different values to obtain the change curve of the optimal slip ratio with the camber angle, as shown in Figure 3. The optimal slip ratio curve shows that the greater the vertical load, the smaller the absolute value of the optimal slip rate. In the braking process, the vertical load of the front wheel increases, the vertical load of the rear wheel decreases, and the optimal slip ratio of the front wheel should be smaller than that of the rear wheel. The greater the absolute camber angle is, the closer the optimal slip ratio is to 0, which means that it is not appropriate to apply a large braking force when the roll angle is large. When the absolute value of camber angle is less than 20°, the optimal slip ratio is between −0.15 and −0.2.
Figure 3.
Optimal slip ratio curve.
To determine the optimal slip ratio quickly and reduce the amount of calculation, this study substitutes several groups of motion data into the constrained optimization model and tabulates the results to form an optimal slip ratio lookup table, as shown in Table 3.
Table 3.
Optimal slip ratio lookup table.
In real scenarios, the principle for obtaining the optimal slip ratio is shown in Figure 4, where the vertical load and camber angle are transmitted to the optimal slip ratio lookup table, and then the optimal slip ratio can be obtained either by table lookup or interpolation, thus quickly obtaining the optimal slip ratio. The optimal slip ratio will serve as the input for the brake system, which controls the motorcycle’s brake by adjusting the tire’s slip ratio.
Figure 4.
Decision model for optimal slip ratio.
3. Calculation for Vertical Force
3.1. Kinematic Analysis during Brake Period
It is necessary to obtain the vertical force and camber angle first. The force situation of the vehicle during braking is shown in Figure 5. is deceleration. and represent brake force of front and rear tire respectively.
Figure 5.
Force diagram during braking.
During vehicle braking, due to the action of inertial force, the force of the ground acting on the vertical direction of the tire will change, which is called the load transfer effect. The vertical force will affect the braking force and lateral force, and then affect the braking performance and vehicle stability. When turning, the vehicle has a roll angle , and the height of the center of mass from the ground is . In the process of vehicle braking, the longitudinal acceleration direction is backward, and there is a forward inertial force. The vertical forces of the ground facing the front and rear tires can be obtained as follows:
According to Equation (4), under braking conditions, the vertical force of the front wheel increases and the rear wheel decreases. In practical application, the braking deceleration can be measured by Inertial Measurement Unit (IMU), and the vertical force can be obtained by plugging the body parameters into Equation (4).
3.2. Simulation of Calculation for Vertical Force
To verify the validity of vertical load calculation, BikeSim and MATLAB were used for joint simulation. BikeSim is a mature motorcycle dynamics software that simulates a variety of motorcycle behaviors for the control and simulation of complex mechanisms. In addition, BikeSim can exchange data with MATLAB. A scooter was selected as the research object, and the relevant motorcycle parameters are shown in Table 4.
Table 4.
Motorcycle parameters.
The simulated environment is set as follows: the motorcycle travels for 5 s at the initial speed of 80 km/h, during which neither drive nor brake is applied; the vehicle is affected by air resistance or tire rolling resistance, and the speed decreases on a small scale. At the beginning of the 5th second, 3 MPa pressure is applied to the front wheel brake cylinder, and 1.5 MPa pressure is applied to the rear wheel brake cylinder. The speed drops sharply to zero. Front and rear wheel brake cylinder pressure and motorcycle speed change curves are shown in Figure 6.
Figure 6.
Brake cylinder pressure and velocity. (a) Front and rear brake cylinder pressure; (b) motorcycle speed.
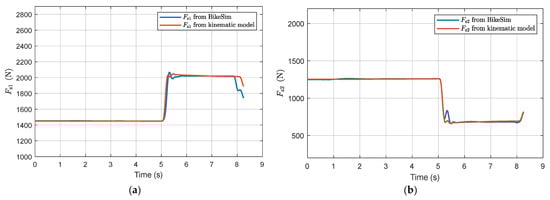
In the process of vehicle braking, due to the influence of inertial force, the vertical load of the front and rear wheels will change, which will further affect the longitudinal and lateral characteristics of tires. Therefore, the simulated vehicle data are substituted into Equation (4) to obtain the vertical load of the front and rear wheels. Then, the measured vertical force from BikeSim was plotted as a change curve over time and compared with the calculated value. The simulation results are shown in Figure 7. The vertical force from kinematic analysis is consistent with the simulation results of BikeSim, which verifies the rationality of the kinematic model.
Figure 7.
Simulation of vertical force. (a) Front wheel vertical force; (b) rear wheel vertical force.
4. Roll Angle Estimation Based on Kalman Filter
4.1. Roll Angle Estimation Method
According to Figure 4, the roll angle is also necessary to obtain the optimal slip ratio. However, the roll angle cannot be measured directly through a common sensor. The inertial measurement unit (IMU) installed on a motorcycle can measure acceleration and angular velocity. The transformation relationship between vehicle acceleration and IMU acceleration measurement , relative to the coordinate axis direction of the global coordinate system, is shown as follows:
The transformation relationship between the body angular velocity [ measured by IMU and the Euler angular velocity is as follows:
where is the yaw rate.
Under steady turning, the lateral acceleration Ay relative to the global coordinate system is the product of the longitudinal speed vx and yaw rate, which can be obtained by synthesizing Equations (5) and (6):
According to Equation (7), the current roll angle can be obtained from the acceleration aym and azm, measured by IMU, the longitudinal vehicle speed vx, the roll angle of the previous moment and the yaw rate. The longitudinal vehicle speed can be measured by wheel speed sensor. The yaw rate can be estimated by the following equation:
Equations (7) and (8) can be used as the roll angle and yaw rate measured value, which are calculated by the measured signals. However, there is always noise in the actual measurement process. The roll angle and yaw rate, calculated according to the above equation, are different from the actual value. Therefore, it is necessary to estimate the actual value based on the measurement signal and other known information. The estimation input and output is shown in Figure 8.
Figure 8.
Estimation input and output.
Among many filtering methods, the Kalman filter is a time-domain filtering method, which can estimate not only the stationary one-dimensional random process, but also the non-stationary multidimensional random process. In addition, the Kalman filter is recursive, and the data storage is small, which is convenient for real-time application on a computer. Because of the above advantages, the Kalman filter has been widely used in engineering practice. Therefore, the Kalman filter is used to estimate the roll angle in this paper. The precondition for estimating the roll angle is to establish the state space expression, including the system noise and the measurement noise. This study focuses on the braking condition of motorcycles during cornering, where the input to the braking system, that is, the optimal slip ratio, is obtained based on the vertical load and the roll angle. The kinematic analysis, based on the IMU (Inertial Measurement Unit) mentioned above, aims to obtain the measurement of the motorcycle’s roll angle, while the steering angle and the driver’s influence are simulated by the motorcycle dynamics software BikeSim; therefore, it is assumed that the driver is affixed to the motorcycle.
Let the sampling time be Δt, and the integral equation of the roll angle at time k is shown as follows:
In the above equation, is the roll angle at k−1 obtained by the integral expression. There is measurement noise in the angular velocity signal from IMU, and the integral easily accumulates error. Therefore, the error between the integral angle and the true roll angle is dk, and the relation is shown in Equation (10).
Suppose that the error between the yaw rate and the Z-axis angular velocity measured by IMU is ek, as shown in Equation (11).
The system state is defined as . The system input is defined as . The system state equation and measurement equation are expressed as follows:
Equation (12) is the state equation and Equations (13) and (14) are measurement equations. A is the system matrix and B is the control matrix, as shown in Equation (15). is the system noise vector and and represent the measurement matrix, as shown in Equation (16). and are the yaw rate measurement noise and the roll angle measurement noise, respectively. The system noise and the measurement noise are Gaussian white noise sequences with a zero mean:
The variation matrix for measurement noise , and system noise is calculated as:
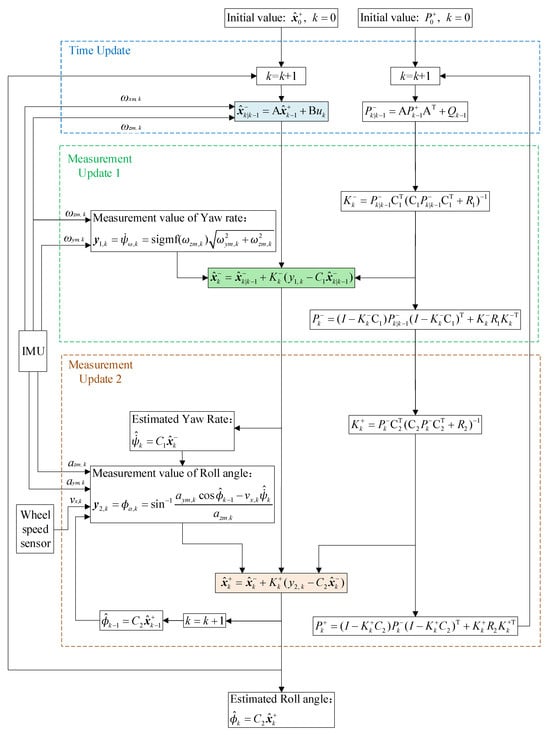
The roll angle estimation process is shown in Figure 9. There are three stages: a time update, a first measurement update and a second measurement update.
Figure 9.
Flow chart for roll angle estimation.
During the time update stage, the state vector from the roll angle estimation process at the previous time k − 1 and the measured angular velocity around the X-axis and Z-axis are used to calculate the preliminary predicted value . The error variance matrix is then calculated.
The first measurement update is used to estimate the yaw rate. The angular velocity around the x and z axes from the IMU is used to calculate the measured value for the yaw rate. The gain matrix and the error variance matrix are calculated. The yaw rate measurement and the gain matrix are then substituted into the state estimation iterative formula to produce the state estimation .
The second measurement update estimates the roll angle. The state estimate from the first measurement update is used to calculate the estimated yaw rate. The lateral acceleration and the vertical acceleration that is measured by IMU, and the speed that is measured by the wheel speed sensor, are applied to calculate the measured value for the roll angle. The gain matrix and the error variance matrix are calculated, respectively. The state estimate from the first measurement update is then used as the initial predicted value, and the measured value for the roll angle and the gain matrix are substituted into the state estimate iterative equation to calculate the state estimate, and then calculate the estimated roll angle .
4.2. Simulation Analysis of Roll Angle Estimation
In order to make the simulation effect close to the real situation, noise was added to the IMU measurement signal used in the estimation system to simulate the interference of the sensor when it is installed on a real motorcycle. Then, a simulation of the estimation system was established with the help of MATLAB/Simulink. The roll angle was estimated according to the BikeSim kinematic parameters to form a co-simulation of BikeSim and MATLAB.
In BikeSim, a scooter was selected as the research object, and it was subjected to variable speed driving. Through a trial method, the covariance matrix Qk of system noise Wk and the covariance matrix R1 and R2 of the measurement noise V1,k, V2,k are set, as shown in Equation (18).
Target roll angle is set to 30° and −30°. The simulation includes an acceleration and deceleration phase. The initial speed of the vehicle is 40 km/h. From second 5 to second 17, the target speed rises from 40 km/h to 80 km/h. From second 17 to second 28, the speed remains unchanged at 80 km/h; Between second 28 and second 42, the target speed decreased from 80 km/h to 40 km/h, and the simulation ended at second 46.
The simulation results are shown in Figure 10. Figure 10a shows the change curve of vehicle speed. When the vehicle speed changes, the roll angle also follows the target value. As can be seen from Figure 10b,c, the roll angle obtained by the estimation system is consistent with the measurement results of BikeSim at the variable and constant speed stage, and the maximum estimation error of the roll angle is about 3.5°. The estimation error is small, so the proposed estimation system has high estimation accuracy under variable speed.
Figure 10.
Simulation results of roll angle estimation. (a) Vehicle speed; (b) estimated roll angle; (c) estimation error of roll angle.
5. The Design of a Turning Braking System
5.1. The Composition of a Turning Braking System
The motorcycle turning brake system structure is shown in Figure 11, which mainly includes: a front and rear wheel optimal slip ratio lookup table, front and rear wheel braking control based on PID, a motorcycle dynamics model, a roll angle estimator that uses a Kalman filter, and the calculation for vertical force. The vehicle motion parameters are measured by an IMU and a wheel speed sensor. The roll angle and vertical force are estimated by the Kalman filter and Equation (4) according to vehicle motion parameters. The optimal slip ratio of the front and rear wheels is obtained by the lookup table for vehicle vertical load and roll angle. The PID controller forms a control command according to the current slip ratio and the optimal slip ratio, and controls the front and rear wheels, following the optimal slip ratio. The vehicle dynamics are fed back to the slip ratio lookup table, the control system and the estimation system to form a closed-loop control.
Figure 11.
Block diagram for a braking system for a motorcycle in a turn.
A motorcycle is a nonlinear system that features static instability. The motorcycle turning braking system is part of the active safety system, which functions no longer simply to prevent tire lock, but also to take into account both braking and stability. During the turning and braking period, when the roll angle is too large, the vehicle has a greater risk of instability, the driver should appropriately reduce the braking force to ensure stability. When the roll angle is small, the rollover risk is small, and the braking can be appropriately increased. As the control target value, the selection of the optimal slip ratio is crucial. If the slip ratio is too small, the vehicle has good stability, but the braking performance is poor and the braking time is long. On the contrary, if the slip ratio is too large, the tire easily slips and the rollover risk is high. In the presented turning braking system, the optimal slip ratio is calculated by combining braking and stability. The lookup table can quickly provide the control target for the PID controller and adjust the control target immediately, according to the changes in vehicle roll angle and vertical load: when the roll angle is large, it generates small optimal slip ratio to ensure stability; when the roll angle is small and the vehicle is relatively stable, the tire is properly controlled to increase the slip ratio and improve braking. The cornering braking system designed in this paper can perform reasonable braking according to the stability of the vehicle, which is in accordance with the actual driving experience, and has good self-adjustment.
In view of the advantages of the simple structure, easy implementation and good control effect, PID control mode has been widely used in the field of industrial engineering at present, and the development of technology is relatively perfect, so this paper adopts the PID controller to adjust the tire slip ratio. The control principle is shown in Figure 12.
Figure 12.
PID control principle.
The optimal slip ratio and the current slip ratio constitute a deviation e1,2(k). Proportional, integral and differential operations are carried out on the deviation value. The sum of the calculation results u(k) is used as the braking torque to adjust the tire slip ratio, as shown in Equation (19).
where is the proportional coefficient; is the integral coefficient; is the differential coefficient; k is the sampling sequence number.
5.2. Simulation Analysis of Turning Braking System and Discussion
In order to verify the performance of the proposed braking system, BikeSim and MATLAB are used for simulations for this study. Therefore, according to Figure 11, the simulation of the turning brake system was created in MATLAB/Simulink environment, including the optimal slip ratio lookup table, the PID controller, the roll angle estimation and the calculation for vertical force. The motorcycle dynamics parameters, simulated by BikeSim, are transmitted to the simulation model created by Simulink, thus forming the joint simulation of BikeSim and MATLAB. In this study, when the vehicle speed is lower than 5 km/h, the turning brake system is automatically turned off. The motorcycle used in simulation is a scooter, and the simulated environment is shown in Figure 13.
Figure 13.
BikeSim simulation interface.
The initial speed of the motorcycle is set at 80 km/h, the initial roll angle is −30°, and braking is applied on the road surface with a coefficient of friction of 0.8. Due to the short time in the braking process—only a few seconds—this paper adopts PI control after repeated tests, and the specific adjustment methods are: ① Set the other coefficients to 0, gradually increase the proportional coefficient from 0, and the control response gradually becomes faster until the overshoot is starting to appear. Record the current proportional coefficient value, multiply by 0.6, and observe the following degree of the feedback curve. If there is a small surplus, take this value as the proportional coefficient value. ② After determining the proportional coefficient, gradually expand the integration factor from 0, observe the system feedback until the error is small, and record the integration coefficient at this time. ③ Fine-tune the parameters to make the feedback curve follow the expected curve closely. The PID controller parameters of the front and rear wheels are shown in Table 5 and Table 6, and the change curve of vehicle dynamic parameters is shown in Figure 14.
Table 5.
PID controller parameters of front wheel.
Table 6.
PID controller parameters of rear wheel.

Figure 14.
Simulation of braking system using the optimal slip ratio. (a) Roll angle; (b) velocity; (c) vertical force; (d) slip ratio for front tire; (e) slip ratio for rear tire; (f) sideslip angle; (g) braking distance.
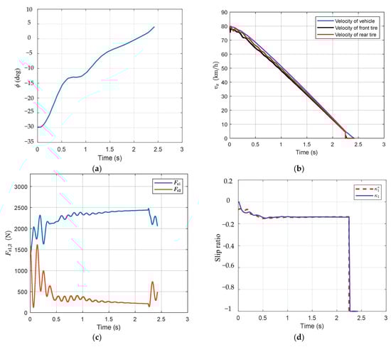
By analyzing the change curve of vehicle roll angle (Figure 14a) and speed (Figure 14b), it can be seen that the roll angle gradually decreases to about 0° within 2.5 s after braking, while the speed (Figure 14b) also decreases to 0; the motorcycle stops smoothly, and the braking system has good braking and stability. In addition, because the speed is relatively low, the roll angle is also very small, and locking has a better braking effect. When the speed is reduced to 5 km/h, the tire is directly locked, and the tire speed drops to zero.
The vertical load on the front and rear wheels (Figure 14c) also changes because there is load transfer during braking, and the simulation results are consistent with the analysis results in Section 2. The load of the front wheel increases significantly and is close to 2500 N, while the load of the rear wheel decreases and is below 500 N. From the brake control perspective, the larger the vertical load, the larger the applied braking torque, and the larger the proportional coefficient. Table 5 and Table 6 verify this point; the proportional coefficient of the front wheel controller is greater than the rear wheel. According to the optimal slip ratio optimization in Section 2, under the same roll angle, the larger the vertical load, the smaller the optimal slip ratio. Therefore, compared with the rear wheel, the front wheel should adopt a smaller optimal slip ratio .
The change curve for the front and rear wheel slip ratio is shown in Figure 14d,e. When the vehicle motion parameters change, the optimal slip ratio for the front and rear wheels is adjusted in real time, taking into account the braking and directional stability. The initial roll angle is −30°, and the absolute value of the optimal slip ratio is small, which means that the applied braking torque is small. With the decrease in the roll angle, the vehicle is relatively stable, the optimal slip ratio increases, and the braking is strengthened. Both the front and rear wheels can follow their own optimal slip ratio, and the PID parameters are set reasonably. In addition, when the optimal slip ratio tends to a steady state, the optimal slip ratio of the front wheel is about −0.14, and the optimal slip ratio of the rear wheel is −0.2, which is caused by the large vertical load of the front wheel and the small vertical load of the rear wheel.
The change curve of front and rear wheel sideslip angle is shown in Figure 14f. The sideslip angle is between −2° and 2°, so the proposed braking system ensures good directional stability.
The longitudinal and lateral braking distances are shown in Figure 14g. The longitudinal braking distances are 28.3 m, the lateral distances are 4.1 m, and the total braking distances are 28.59 m. The turning brake system has better braking and directional stability.
5.3. Braking Simulation Based on Fixed Slip Ratio
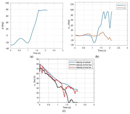
The analysis of tire dynamics shows that the adhesion coefficient reaches its peak within a slip ratio range of −0.15 to −0.2. Traditional anti-lock braking systems (ABS) conventionally set the optimal slip ratio at −0.2. In a comparative analysis, the ABS from another study [8] was utilized to simulate braking maneuvers during a turn. This system also adopts an optimal slip ratio fixed at −0.2. To ensure a fair comparison, the simulation conditions were standardized: the initial vehicle speed was set at 80 km/h, and the initial roll angle was −30°. The simulation outcomes are depicted in Figure 15. Figure 15a shows that the roll angle of the vehicle body rapidly increases to about 80° within 1.5 s after braking, and the motorcycle suddenly rolls over. Figure 15b shows that, should there be a deficiency in lateral force, the sideslip angles of the two tires will change dramatically, resulting in the motorcycle rolling over. Figure 15c shows that the wheel speed and vehicle speed change, and it can be seen from the figure that the vehicle rollover is caused by the front wheel stalling first. The optimal slip ratio of the front wheel is set too large in the turning braking condition, resulting in the front wheel sideslip. A fixed slip ratio of −0.2 is not suitable for braking in a turn. Especially in the early stages of braking, the slip ratio should be smaller. The proposed braking system can adjust the optimal slip ratio in real time according to vehicle dynamics, which gives a good braking and directional stability.
Figure 15.
Simulation of braking system using a fixed slip ratio. (a) Roll angle; (b) sideslip angle; (c) velocity.
6. Conclusions
Considering motorcycle safety is insufficient when braking in a turn, this paper pro-posed a turning brake system based on an autoregulative optimal slip ratio. This brake system takes the optimal slip ratio as input, and uses a PID strategy to control the motorcycle brake behavior. The operational performance was evaluated through a collaborative simulation using MATLAB and BikeSim, with a comparative simulation also performed alongside a traditional anti-lock braking system (ABS). The research yielded the following outcomes:
1. The system input—the optimal ratio—is autoregulative according to the vertical force of the tires and roll angle. The slip ratio refers to the optimal solution after combining brake performance and stability. The greater the vertical force is, the smaller the absolute value of the optimal slip ratio. As for the influence of the roll angle on the optimal slip ratio, the greater the absolute roll angle is, the closer the optimal slip ratio is to 0. In this way, the brake system has able to adapt to the motorcycle dynamics.
2. The two main parameters used to generate optimal slip ratio, vertical force and roll angle, can be calculated and estimated via kinematic signals measured by IMU and a wheel speed sensor, and the estimated accuracy is perfect, which makes the practical application of the proposed brake system possible.
3. The proposed brake system, based on the PID strategy, can perfectly ensure the front and rear tires follow the optimal slip ratio. It makes the motorcycle stop steadily during the turning period, and the sideslip angle is very small. Compared with a traditional brake system based on a fixed slip ratio, the proposed system has good brake performance and directional stability.
This study employs software to simulate the roll angle estimation and braking systems for a motorcycle during a turn. To enhance the braking system, it is essential to develop a comprehensive motorcycle dynamics model that incorporates the influence of the driver and the transient behavior of the tire. To enable the tire to more closely follow the optimal slip ratio, it is advisable to explore advanced intelligent control algorithms, such as a fuzzy PID control algorithm. There is a significant discrepancy between the simulation environment and real-world conditions. To evaluate the practical performance of the system, future research should integrate the experimental setup onto an actual motorcycle, which is also part of the subsequent research agenda.
Author Contributions
Conceptualization, X.-D.Z. and C.-K.C.; methodology, X.-D.Z.; formal analysis, X.-D.Z.; investigation, Y.-J.M.; writing—original draft preparation, X.-D.Z.; writing—review and editing, X.-D.Z. and C.-K.C.; supervision, C.-K.C. All authors have read and agreed to the published version of the manuscript.
Funding
This research was funded by the Ministry of Science and Technology of Taiwan, ROC, under grant number MOST 110-2622-E-027-008; National Taipei University of Technology, ROC, under grant number NTUT-SZU-109-07; Ningde Normal University Young and Middle-aged Research Project, PRC, under grant number 2020Q102 and the Natural Science Foundation of Fujian Province, PRC, under grant number 2022J011222.
Data Availability Statement
Data is contained within the article.
Conflicts of Interest
The authors declare no conflicts of interest.
References
- Ministry of Public Security of the People’s Republic of China. The Average Monthly Increase of New Vehicles in the Third Quarter Was Significantly Higher Than in the First Half of the Year. Available online: https://www.mps.gov.cn/n2254314/n6409334/c8719751/content.html (accessed on 8 October 2022).
- Liqun, Z.; Qingsong, L. The Development Prospect of Anti-lock Brake System under the Trend of High-end Motorcycle Manufacture (1). Motorcycle Technol. 2018, 31, 40–46. [Google Scholar]
- Teoh, E.R. Motorcycle antilock braking systems and fatal crash rates: Updated results. Traffic Inj. Prev. 2022, 23, 203–207. [Google Scholar] [CrossRef] [PubMed]
- Savino, G.; Lot, R.; Massaro, M.; Rizzi, M.; Symeonidis, I.; Will, S.; Brown, J. Active safety systems for powered two-wheelers: A systematic review. Traffic Inj. Prev. 2020, 21, 78–86. [Google Scholar] [CrossRef] [PubMed]
- Ganesh, V.; Chidambaram, S.P. Simulation of a Motorcycle Motion during Braking at Cornering Using MATLAB. Appl. Mech. Mater. 2015, 787, 306–310. [Google Scholar] [CrossRef]
- Lich, T.; Block, W.G.; Prashanth, S.N.; Heiler, B. Motorcycle stability control-the next generation of motorcycle safety and riding dynamics. SAE Int. J. Engines 2016, 9, 491–498. [Google Scholar] [CrossRef]
- Baumann, M.; Bächle, T.; Buchholz, M.; Dietmayer, K. Model-based corner braking control for electric motorcycles. IFAC-PapersOnLine 2016, 49, 291–296. [Google Scholar] [CrossRef]
- More, H.R.; Digrase, A.A.; Wayse, A.V. Linear PID control technique for single wheel ABS (anti-lock braking system) of motorcycle. In Proceedings of the 2017 2nd International Conference for Convergence in Technology (I2CT), Mumbai, India, 7–9 April 2017; pp. 277–281. [Google Scholar]
- Longhui, W. Study on Mechanical Properties of Motorcycle Braking System. Motorcycle Technol. 2017, 30, 33–37. [Google Scholar]
- Soni, L.; Domala, D.; Venkateswaran, S. Combi Brake System (CBS) Design and Tuning on an Electric Two-Wheeler for Cornering Maneuver. SAE Int. J. Adv. Curr. Pract. Mobil. 2020, 2, 1104–1109. [Google Scholar] [CrossRef]
- Melnikov, A.S.; Kim, V.A.; Melnikov, A. Increasing efficiency of braking control algorithm for a two-wheeled motorcycle. IOP conference series. Mater. Sci. Eng. 2020, 760, 12043. [Google Scholar]
- Lin, Y.-T.; Tseng, C.-Y.; Kuang, J.-H.; Hwang, Y.-M. A Design Method for a Variable Combined Brake System for Motorcycles Applying the Adaptive Control Method. Machines 2021, 9, 31. [Google Scholar] [CrossRef]
- Lin, Y.-T.; Tseng, C.-Y.; Kuang, J.-H.; Hwang, Y.-M. Design of combined brake system for light weight scooters. Proc. Inst. Mech. Eng. Part D J. Automob. Eng. 2022, 236, 665–675. [Google Scholar] [CrossRef]
- Fernandez, J.P.; Vargas, M.A.; Garcia, J.M.V.; Carrillo, J.A.C.; Aguilar, J.J.C. Coevolutionary Optimization of a Fuzzy Logic Controller for Antilock Braking Systems under Changing Road Conditions. IEEE Trans. Veh. Technol. 2021, 70, 1255–1268. [Google Scholar] [CrossRef]
- Phalke, A.; Agrewale, M.R.B. Optimal brake force distribution in motorcycle for straight-line braking. Mater. Today Proc. 2023, 72, 1335–1341. [Google Scholar] [CrossRef]
- García-León, R.A.; Quintero-Quintero, W.; Rodriguez-Castilla, M. Thermal analysis of three motorcycle disc brakes. Smart Sustain. Built Environ. 2019, 9, 208–226. [Google Scholar] [CrossRef]
- García-León, R.A.; Quintero-Quintero, W.; Gomez-Camperos, J.A. Mathematical analysis of the dynamic behavior three motorcycle disc brakes. J. Phys. Conf. Ser. 2020, 1708, 012025. [Google Scholar] [CrossRef]
- Pacejka, H. Tire and Vehicle Dynamics, 3rd ed.; Elsevier: Amsterdam, The Netherlands, 2012. [Google Scholar]
- Zhang, X.-D.; Chen, C.-K. A Study of a Cornering Braking Control System for a Motorcycle. Appl. Sci. 2022, 12, 12575. [Google Scholar] [CrossRef]
- Chuang, T.-Y.; Zhang, X.-D.; Chen, C.-K. Estimating the Roll Angle for a Two-Wheeled Single-Track Vehicle Using a Kalman Filter. Sensors 2022, 22, 8991. [Google Scholar] [CrossRef] [PubMed]
- Tanelli, M.; Corno, M.; Boniolo, I.; Savaresi, S.M. Active braking control of two-wheeled vehicles on curves. Int. J. Veh. Auton. Syst. 2009, 7, 243–269. [Google Scholar] [CrossRef]
Disclaimer/Publisher’s Note: The statements, opinions and data contained in all publications are solely those of the individual author(s) and contributor(s) and not of MDPI and/or the editor(s). MDPI and/or the editor(s) disclaim responsibility for any injury to people or property resulting from any ideas, methods, instructions or products referred to in the content. |
© 2024 by the authors. Licensee MDPI, Basel, Switzerland. This article is an open access article distributed under the terms and conditions of the Creative Commons Attribution (CC BY) license (https://creativecommons.org/licenses/by/4.0/).