Investigation of Frequency-Dependent Characteristics of Wire Rope under Tension Based on Transfer Function Method
Abstract
1. Introduction
2. Wire Rope Flexural Vibration Modeling
3. Experimental Setup for Wire Rope Vibration Measurement under Tension
4. Experimental Results and Analysis
4.1. Wire Rope Wavenumber Analysis under Tension
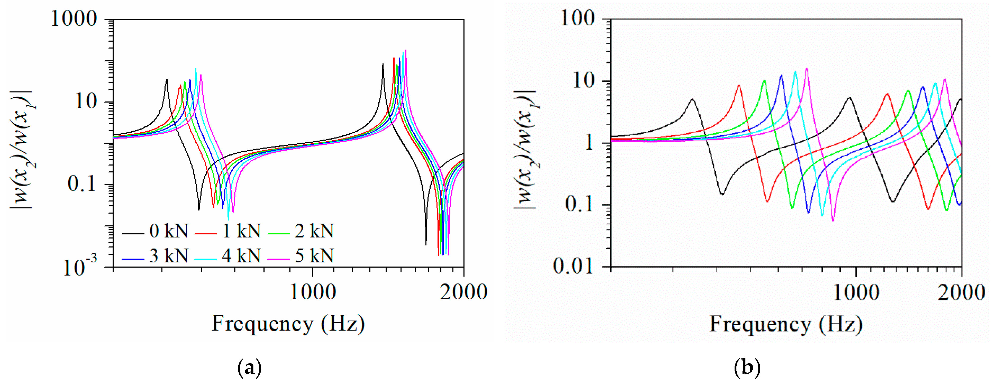
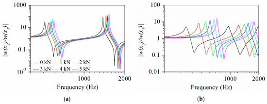
4.2. Wire Rope Dynamic Characteristics Analysis under Tension
5. Conclusions
Author Contributions
Funding
Institutional Review Board Statement
Informed Consent Statement
Data Availability Statement
Conflicts of Interest
References
- Ouyang, Y.; Sun, H.; Jiang, S.; Hong, T.; Huang, Z.; Shu, S.; Chen, D.; Wang, T. Study on Damage Tests Based on Structure and Operating Parameters of Wire Ropes Used by Conveyors in Orchards. J. Test. Eval. 2021, 49, 2353–2369. [Google Scholar] [CrossRef]
- Rostami, J.; Tse, P.W.; Yuan, M. Detection of broken wires in elevator wire ropes with ultrasonic guided waves and tone-burst wavelet. Struct. Health Monit. 2020, 19, 481–494. [Google Scholar] [CrossRef]
- Papailiou, K.O. Bending of Helically Twisted Cables under Variable Bending Stiffness due to Internal Friction, Tensile Force and Cable Curvature. Ph.D. Thesis, ETH Zürich, Zürich, Switzerland, 1995. [Google Scholar]
- Vinogradov, O.G.; Atatekin, I.S. Internal friction due to wire twist in bent cable. J. Eng. Mech. 1986, 112, 859–873. [Google Scholar] [CrossRef]
- Oberg, E.; Jones, F.D.; Horton, H.L.; Ryffel, H.H.; Mccauley, C.J.; Heald, R.; Hussain, M.I. Machinery’s Handbook; Industrial Press New York: New York, NY, USA, 1914; Volume 6. [Google Scholar]
- Filiatrault, A.; Stearns, C. Flexural Properties of Flexible Conductors Interconnecting Electrical Substation Equipment. J. Struct. Eng. 2005, 131, 151–159. [Google Scholar] [CrossRef]
- Ramsey, H. Analysis of interwire friction in multilayered cables under uniform extension and twisting. Int. J. Mech. Sci. 1990, 32, 709–716. [Google Scholar] [CrossRef]
- Urchegui, M.A.; Tato, W.; Gómez, X. Wear Evolution in a Stranded Rope Subjected to Cyclic Bending. J. Mater. Eng. Perform. 2008, 17, 550–560. [Google Scholar] [CrossRef]
- Yu, A.-t. Vibration Damping of Stranded Cable. Ph.D. Thesis, Lehigh University, Bethlehem, PA, USA, 1949. [Google Scholar]
- Mazurek, P. A Comprehensive Review of Steel Wire Rope Degradation Mechanisms and Recent Damage Detection Methods. Sustainability 2023, 15, 5411. [Google Scholar] [CrossRef]
- Garevski, M.A.; Severn, R.T. Damping and response measurement on A small-scale model of A cable-stayed bridge. Earthq. Eng. Struct. Dyn. 1993, 22, 13–29. [Google Scholar] [CrossRef]
- Wangchuk, S.; Siringoringo, D.M.; Fujino, Y. Modal analysis and tension estimation of stay cables using noncontact vision-based motion magnification method. Struct. Control Health Monit. 2022, 29, e2597. [Google Scholar] [CrossRef]
- Barbieri, N.; Júnior, O.H.d.S.; Barbieri, R. Dynamical analysis of transmission line cables. Part 1—Linear theory. Mech. Syst. Signal Process. 2004, 18, 659–669. [Google Scholar] [CrossRef]
- Castello, D.A.; Matt, C.F.T. A validation metrics based model calibration applied on stranded cables. J. Braz. Soc. Mech. Sci. Eng. 2011, 33, 417–427. [Google Scholar] [CrossRef]
- Guo, L.; Liu, H.; Chen, Z. Experimental research on the bending performance of locked coil wire rope and Galfan strand. Constr. Build. Mater. 2021, 304, 124667. [Google Scholar] [CrossRef]
- Feng, Z.; Wang, X. Lateral impact performance of wire ropes. Constr. Build. Mater. 2023, 385, 131508. [Google Scholar] [CrossRef]
- Bokaian, A. Natural frequencies of beams under tensile axial loads. J. Sound Vib. 1990, 142, 481–498. [Google Scholar] [CrossRef]
- Spak, K.S.; Agnes, G.S.; Inman, D.J. Modeling vibration response and damping of cables and cabled structures. J. Sound Vib. 2015, 336, 240–256. [Google Scholar] [CrossRef]
- Geuzaine, M.; Foti, F.; Denoël, V. Minimal requirements for the vibration-based identification of the axial force, the bending stiffness and the flexural boundary conditions in cables. J. Sound Vib. 2021, 511, 116326. [Google Scholar] [CrossRef]
- Foti, F.; Geuzaine, M.; Denoël, V. On the identification of the axial force and bending stiffness of stay cables anchored to flexible supports. Appl. Math. Model. 2021, 92, 798–828. [Google Scholar] [CrossRef]
- Park, J. Transfer function methods to measure dynamic mechanical properties of complex structures. J. Sound Vib. 2005, 288, 57–79. [Google Scholar] [CrossRef]
- Ma, Y.; Shi, B.; Ali, L.; Bai, Y.; Fang, P. Mechanical analysis of a type of wire rope subjected to tension. Ships Offshore Struct. 2024, 19, 541–547. [Google Scholar] [CrossRef]
- Rice, W.R. Analyzing tables of statistical tests. Evolution 1989, 43, 223–225. [Google Scholar] [CrossRef] [PubMed]











Disclaimer/Publisher’s Note: The statements, opinions and data contained in all publications are solely those of the individual author(s) and contributor(s) and not of MDPI and/or the editor(s). MDPI and/or the editor(s) disclaim responsibility for any injury to people or property resulting from any ideas, methods, instructions or products referred to in the content. |
© 2024 by the authors. Licensee MDPI, Basel, Switzerland. This article is an open access article distributed under the terms and conditions of the Creative Commons Attribution (CC BY) license (https://creativecommons.org/licenses/by/4.0/).
Share and Cite
Jeong, K.; Kim, N.; Jeon, N.; Kim, H.; Park, J. Investigation of Frequency-Dependent Characteristics of Wire Rope under Tension Based on Transfer Function Method. Appl. Sci. 2024, 14, 4621. https://doi.org/10.3390/app14114621
Jeong K, Kim N, Jeon N, Kim H, Park J. Investigation of Frequency-Dependent Characteristics of Wire Rope under Tension Based on Transfer Function Method. Applied Sciences. 2024; 14(11):4621. https://doi.org/10.3390/app14114621
Chicago/Turabian StyleJeong, Kwanghun, Narae Kim, Nahyun Jeon, Haksung Kim, and Junhong Park. 2024. "Investigation of Frequency-Dependent Characteristics of Wire Rope under Tension Based on Transfer Function Method" Applied Sciences 14, no. 11: 4621. https://doi.org/10.3390/app14114621
APA StyleJeong, K., Kim, N., Jeon, N., Kim, H., & Park, J. (2024). Investigation of Frequency-Dependent Characteristics of Wire Rope under Tension Based on Transfer Function Method. Applied Sciences, 14(11), 4621. https://doi.org/10.3390/app14114621

