Evaluation and SAR Analysis of Low Frequency and Broadband Electric Field Exposure Measurement Values in the Home Environment
Abstract
1. Introduction
2. Materials and Methods
- : effective value of the measured electric field (V/m)
- ρ: mass density of the tissue (kg/m3)
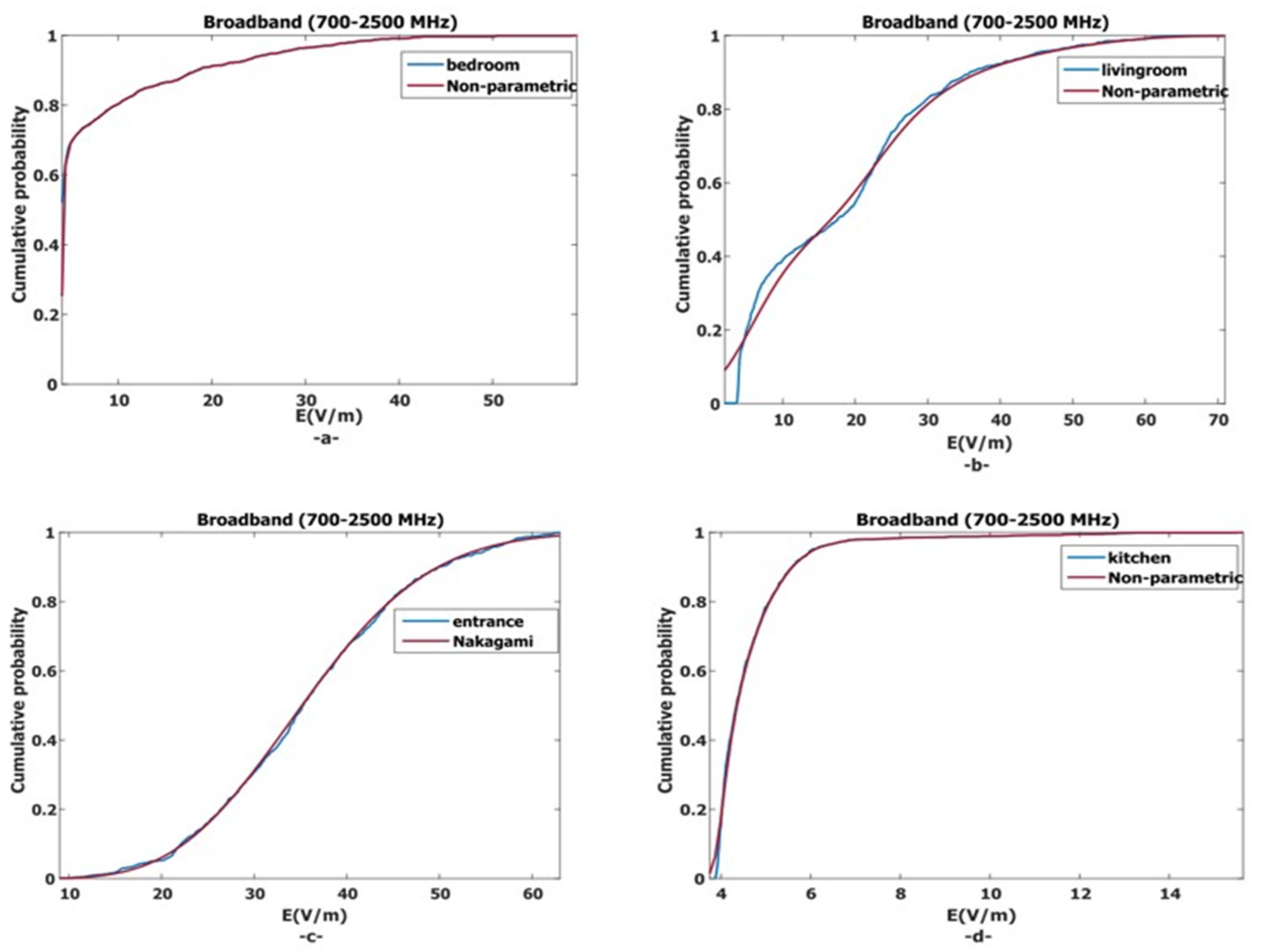
3. Results
4. Conclusions
Funding
Institutional Review Board Statement
Informed Consent Statement
Data Availability Statement
Conflicts of Interest
References
- Cansiz, M.; Celik, A.R.; Kurt, M.B. Measurements of Electric and Magnetic Field Intensities at 50 Hz Mains Frequency and Comparison of Measurement Results to Icnirp’s Reference Levels for General Public Exposure. Pamukkale Univ. J. Eng. Sci. 2014, 20, 294–299. [Google Scholar] [CrossRef]
- Camba, A.N.; Garcia, J.S.; Perretta, C.G. Exposure to 50 Hz Magnetic Fields in Homes and Areas Surrounding Urban Transformer Stations in Silla (Spain): Environmental Impact Assessment. Sustainability 2018, 10, 2641. [Google Scholar] [CrossRef]
- Verloock, L.; Joseph, W.; Goemimne, F.; Martens, L.; Verlaek, M.; Constandt, K. Assessment of Radio Frequency Exposures in Schools, Homes and Public Places in Belgium. Health Phys. 2014, 107, 503–513. [Google Scholar] [CrossRef] [PubMed]
- Aksan, O. Bir Devlet Hastanesindeki Elektromanyetik Alan (ema) Tespiti ve Saglik Calisanlarina Olasi Saglık Etkileri. Master’s Thesis, Tekirdag Namık Kemal Universitesi Fen Bilimleri Enstitusu, Tekirdag, Turkey, 2019. [Google Scholar]
- Liu, Y.; Liu, W.; Liu, K.; Ao, L.; Zhong, J.L.; Cao, J.; Liu, J. Effect of 50Hz Extremely Low-Frequency Electromagnetic Fields on the DNA Methylation and DNA Methyltransferases in Mouse Spermatocyte-Derived Cell Line GC-2. BioMed Res. Int. 2015, 2015, 237183. [Google Scholar]
- Helhel, S.; Ozen, S. Evaluation of Residential Exposure to Magnetic Field Produced by Power Lines Near Homes and Working Environments. Int. J. Eng. Appl. Sci. 2010, 2, 1–10. [Google Scholar]
- Singh, S.; Kapoor, N. Health Implications of Electromagnetic Fields, Mechanisms of Action, and Research Needs. Adv. Biol. 2014, 2014, 198609. [Google Scholar] [CrossRef]
- Calabro, E. Introduction to the Special Issue, Electromagnetic Waves Pollution. Sustainability 2018, 10, 3326. [Google Scholar] [CrossRef]
- Mutlu, M.; Kara, M. Low and High Frequency Exposure Electric Field Measurement in Ordu University Main Campus. In Proceedings of the 2nd International Technological Sciences and Design Symposium, Giresun, Turkey, 2–5 June 2022. e-ISBN: 978-975-2481-26-8. [Google Scholar]
- Baykan, P.; Unal, E.S. Measurement of Electromagnetic Radiation Emitted by Dect Phones Used in Office Environments and Evaluation of the Results in Terms of Occupational Health and Safety. East. Anatol. J. Sci. 2019, 5, 7–22. [Google Scholar]
- Silsupur, G.B. Ofis Ortamindaki Mesleki Elektromanyetik Alan Maruziyetinin Belirlenmesi ve Risk Duzeyinin Tespit Edilerek Cozum Onerilerinin Gelistirilmesi. Research Thesis, T.C. Calısma ve Sosyal Guvenlik Bakanligi Is Sagligi ve Guvenligi Genel Mudurlugu. Is Sagligi ve Guvenligi, Ankara, Turkey, 2016. [Google Scholar]
- Chiaramello, E.; Bonato, M.; Fiocchi, S.; Tognola, G.; Parazzini, M.; Ravazzani, P.; Wiart, J. Radio Frequency Electromagnetic Fields Exposure Assessment in Indoor Environments: A Review. Int. J. Environ. Res. Public Health 2019, 16, 955. [Google Scholar] [CrossRef]
- Giudici, P.D.; Genier, J.C.; Martin, S.; Doré, J.-F.; Ducimetière, P.; Evrard, A.-S.; Letertre, T.; Ségala, C. Radiofrequency exposure of people living near mobile-phone base stations in France. Environ. Res. J. 2020, 194, 110500. [Google Scholar] [CrossRef]
- Tynes, T.; Klæboe, L.; Haldorsen, T. Residential and occupational exposure to 50 Hz magnetic fields and malignant melanoma: A population based study. Occup. Environ. Med. 2003, 60, 343–347. [Google Scholar] [CrossRef] [PubMed]
- Gajšek, P.; Ravazzani, P.; Grellier, J.; Samaras, T.; Bakos, J.; Thuróczy, G. Review of Studies Concerning Electromagnetic Field (EMF) Exposure Assessment in Europe: Low Frequency Fields (50 Hz–100 kHz). Int. J. Environ. Res. Public Health 2016, 13, 875. [Google Scholar] [CrossRef] [PubMed]
- Cal, S. Saglik Sektorunde Calisanlarin Elektromanyetik Alan Maruziyetinin Belirlenmesi ve Cozum Onerilerinin Gelistirilmesi. Specialization Thesis, TC Calisma ve Sosyal Guvenlik Bakanligi Is Sagligi ve Guvenligi Genel Mudurlugu Is Sagligi ve Guvenligi Uzmanlık Tezi. Ankara, Turkey, 2016. [Google Scholar]
- Kunter, F. Students Exposure to Radio Frequency Electromagnetic Fields in Marmara University. Marmara Fen Bilim. Derg. 2015, 27, 32–36. [Google Scholar] [CrossRef][Green Version]
- Koppel, T.; Hardell, L. Measurements of radiofrequency electromagnetic fields, including 5G, in the city of Columbia, SC, USA. World Acad. Sci. J. 2022, 4, 22. [Google Scholar] [CrossRef]
- Roosli, M.; Frei, P.; Bolte, J.; Neubauer, G.; Cardis, E.; Feychting, M.; Gajsek, P.; Heinrich, S.; Joseph, W.; Mann, S.; et al. Conduct of a personal radiofrequency electromagnetic field measurement study: Proposed study protocol. Environ. Health 2010, 9, 23. [Google Scholar] [CrossRef] [PubMed]
- Cerezci, O. Bursa Nilufer ilcesi Elektromanyetik Kirlilik Raporu. Elektromanyetik Alan ve Saglik Etkileri; Bursa Nilufer Belediyesi: Nilufer, Turkey, 2012; pp. 1–132. [Google Scholar]
- Mutlu, M.; Kurnaz, C. Evaluation of the Electromagnetic Field Levels in Ordu City Center for the Selected Base Stations’ Coverage Areas 1. In Proceedings of the International Techcnological Design Symposium, Giresun, Turkey, 27–29 June 2018; pp. 657–665. [Google Scholar]
- Kurnaz, C.; Mutlu, M. Comprehensive Radiofrequency Electromagnetic Field Measurements and Assessments: A City Center Example. Environ Monit Assess 2020, 192, 334. [Google Scholar] [CrossRef] [PubMed]
- Atikan, B.Y.; Bilgin, M.D.; Aksit, S. Turkiye’de bir Sehir Merkezinde Yasayan Sut Cocuklarinda ev ici Elektromanyetik Alan Maruziyeti. Balikesir Muhendislik Dergisi 2018, 2, 150–159. [Google Scholar]
- Seyfi, L.; Akbal, B. Konya’daki Bazı Yuksek Gerilim Hatti ve Trafo Binalari Yakininda Yapilan Manyetik Alan Olcumlerinin Degerlendirilmesi. In Proceedings of the 2nd International Symposium on Innovative Approaches in Scientific Studies, Samsun, Turkey, 30 November–2 December 2018; Volume 3, pp. 217–223. [Google Scholar]
- Malathi, A.C.J. Electromagnetic Radiation Hazards on Humans Due to Mobile Phones. Indian J. Sci. Technol. 2016, 9, 1–7. [Google Scholar]
- Calvente, I.; Núñez, M.I. Is the sustainability of exposure to non-ionizing electromagnetic radiation possible? Med. Clin. 2024, 162, 387–393. [Google Scholar] [CrossRef]
- Ahmad, N.A.; Saharan, P.F. SAR Measurement from Mobile Phone and Its Effect to Human Body. Elektrika 2023, 22, 63–69. [Google Scholar] [CrossRef]
- Available online: https://www.emrkoruma.com/index.php?part=rz6 (accessed on 19 February 2023).
- Environmental Health Criteria 238-Extremely Low Frequency Fields. 2024; pp. 1–543. Available online: https://tuketici.btk.gov.tr/uploads/pages/tuketici-rehberi/baz-istasyonu-brosur.pdf (accessed on 20 February 2023).
- Yekeen, O.O.; Nicholas, A.A. 3G, 4G, 5G Cell Tower and Their Effects on Human Health: Case Study of the Brain. Int. J. Eng. Appl. Sci. Technol. 2020, 5, 20–24. [Google Scholar] [CrossRef]
- Balanis, A.C. Advanced Engineering Eectromagnetics; John Wiley & Sons: Hoboken, NJ, USA, 2012. [Google Scholar]
- Kurnaz, C.; Mutlu, M. Uzun sureli radyofrekansı elektromanyetik alan seviyesinin izlenmesi ve modellenmesi. Gazi Univ. Muhendis. Mimar. Fak. Derg. 2021, 36, 669–684. [Google Scholar] [CrossRef]
- Engiz, B.K.; Kurnaz, C. Long-term electromagnetic field measurement and assessment for a shopping mall. Radiat. Prot. Dosim. 2017, 175, 321–329. [Google Scholar] [CrossRef] [PubMed]
- Kurnaz, C.; Engiz, B.K. Distribution fitting for long term electric field strength measurements. In Proceedings of the 40th International Conference on Telecommunications and Signal Processing (TSP), Barcelona, Spain, 5–7 July 2017; pp. 1–5. [Google Scholar]
- Engiz, B.K.; Kurnaz, C. Ev Ortamında Maruz Kalinan Baz Istasyonu Kaynakli Elektrik Alan Siddetinin Izlenmesi ve Degerlendirilmesi. Afyon Kocatepe Univ. Fen Ve Muhendis. Bilim. Derg. 2018, 18, 913–920. [Google Scholar]












| Subbands | flower (MHz) | fupper (MHz) | fr |
|---|---|---|---|
| LTE 800 | 791 | 820.9 | 805.95 |
| ETC 1 | 821 | 925 | 873 |
| LTE 900 | 925.1 | 935 | 930.05 |
| GSM 900 | 935.1 | 961 | 948.05 |
| ETC 2 | 961.1 | 1805 | 1383.05 |
| GSM 1800 | 1805.1 | 1820 | 1812.55 |
| LTE 1800 | 1820 | 1879 | 1849.5 |
| DECT | 1880 | 1899 | 1889.5 |
| ETC 3 | 1900 | 2010 | 1955 |
| UMTS 2100 | 2011 | 2170 | 2090.5 |
| ETC 4 | 2171 | 2399 | 2285 |
| WLAN | 2400 | 2483 | 2441.5 |
| ETC 5 | 2484 | 2569 | 2526.5 |
| LTE 2600 | 2570 | 2670 | 2620 |
| ETC 6 | 2671 | 3000 | 2835.5 |
| Subbands (fr (MHz)) | Skin | Fat | Bone | Dura | CSF | Brain | |
|---|---|---|---|---|---|---|---|
| LTE 800 (805.95) | εr | 41.66 | 5.47 | 12.51 | 44.55 | 68.85 | 46.04 |
| σ | 0.83 | 0.04 | 0.12 | 0.92 | 2.35 | 0.73 | |
| ETC1 (873) | εr | 41.44 | 5.46 | 12.46 | 44.42 | 68.72 | 45.84 |
| σ | 0.84 | 0.04 | 0.12 | 0.93 | 2.36 | 0.73 | |
| GSM 900 (948.05) | εr | 41.26 | 5.45 | 12.41 | 44.31 | 68.61 | 45.67 |
| σ | 0.88 | 0.05 | 0.14 | 0.97 | 2.43 | 0.79 | |
| ETC 2 (1383.05) | εr | 40.05 | 5.39 | 12.10 | 43.59 | 67.89 | 44.56 |
| σ | 1.03 | 0.06 | 0.21 | 1.15 | 2.68 | 0.97 | |
| LTE 1800 (1849.5) | εr | 38.83 | 5.33 | 11.76 | 42.83 | 67.12 | 43.42 |
| σ | 1.20 | 0.07 | 0.28 | 1.34 | 2.96 | 1.17 | |
| WLAN (2441.5) | εr | 38.04 | 5.28 | 11.38 | 42.04 | 66.23 | 42.53 |
| σ | 1.45 | 0.10 | 0.39 | 1.66 | 3.44 | 1.50 | |
| ρ (density) (kg/m3) | 1100 | 920 | 1850 | 1050 | 1060 | 1030 | |
| Whole-Body Average SAR (W/kg) | Localized SAR (Head and Trunk) (W/kg) | Localized SAR (Limbs) (W/kg) | |
|---|---|---|---|
| FCC (1 g) | |||
| Occupational Exposure | 0.4 | 8 | 20 |
| General Public Exposure | 0.08 | 1.6 | 4 |
| CE (10 g) | |||
| Occupational Exposure | 0.4 | 10 | 20 |
| General Public Exposure | 0.08 | 2 | 4 |
| 50 Hz/Broadband | Bedroom | Livingroom | Break (Entrance) | Kitchen |
|---|---|---|---|---|
| Emin (V/m) | 144/4 | 76/2 | 153/9 | 84/4 |
| Emax (V/m) | 157/59 | 174/71 | 164/63 | 166/16 |
| Eaverage (V/m) | 149.11/7.75 | 112.22/18.31 | 157.55/35.78 | 156.03/4.66 |
| Estd (V/m) | 1.63/8 | 22.65/13.46 | 2.5/10.61 | 17.56/1.08 |
| Bands | Number of Data/(%) | Eaverage (V/m)/(%) | ||||
|---|---|---|---|---|---|---|
| LTE 800 | 0 | 19/1.9 | 0 | 448/44.8 | 0 | 6.34/18.13 |
| ETC 1 | 30/3 | 0 | 1/0.1 | 1/0.1 | 11.36/42.68 | |
| GSM900 | 10/1 | 21/2.1 | 0 | 1/0.1 | 7.62/28.63 | 5.26/15.02 |
| ETC 2 | 960/96 | 959/95.9 | 998/99.8 | 481/48.1 | 7.64/28.68 | 18.84/53.81 |
| LTE 1800 | 0 | 1/0.1 | 0 | 69/6.9 | 4.56/13.02 | |
| WLAN | 0 | 0 | 1/0.1 | 0 | 0 | 0 |
| 1 | 2 | 3 | 4 | 1 | 2 | |
| Bands | Etotal (V/m)/(%) | Eaverage (V/m)/(%) | ||||
| LTE 800 | 0 | 120.64/0.65 | 0 | 2229.75/47.85 | 0 | 4.97/19.45 |
| ETC 1 | 341.03/4.39 | 0 | 26.34/0.073 | 6.96/0.15 | 26.34/34 | 6.96/27.24 |
| GSM900 | 76.26/0.98 | 110.49/0.6 | 0 | 4.68/0.1 | 0 | 4.68/18.31 |
| ETC 2 | 7335.23/94.61 | 18,070.33/98.71 | 35,733/99.88 | 2101.47/45.1 | 35.80/46 | 4.36/17.07 |
| LTE 1800 | 0 | 4.56/0.02 | 0 | 316.04/6.78 | 0 | 4.58/17.9 |
| WLAN | 0 | 0 | 14.98/0.041 | 0 | 14.98/20 | 0 |
| 1 | 2 | 3 | 4 | 3 | 4 | |
| Layer | LTE 800 (805.95) MHz | ETC 1 (873) MHz | GSM 900 (948.05) MHz | ETC 2 (1383.05) MHz | LTE 1800 (1849.5) MHz | WLAN (2441.5) MHz |
|---|---|---|---|---|---|---|
| (permittivity) | ||||||
| skin | (3.68 − 1.6i = 4.0358 e−i24.15°) e−10 | (3.6 − 1.5i = 3.973 e−i24.15°) e−10 | (3.6 − 1.4i = 3.9 e−i24.5°) e−10 | (3.5 − 1.1i = 3.73 e−i25°) e−10 | (3.4 − 1.03i = 3.5 e−i24°) e−10 | (3.3 − 0.9i = 3.49 e−i24°) e−10 |
| fat | (0.4 − 0.09i = 4.52 e−i12.12°) e−10 | (0.4 − 0.08i = 0.4 e−i11.37°) e−10 | (0.4 − 0.08i = 0.4 e−i11°) e−10 | (0.4 − 0.07i = 0.44 e−i9°) e−10 | (0.4 − 0.06i = 0.44 e−i8°) e−10 | (0.4 − 0.06i = 0.44 e−i8°) e−10 |
| bone | (1.10 − 0.24i = 1.1336 e−i12.59°) e−10 | (1.1 − 0.2i = 1.12 e−i11.99°) e−10 | (1 − 0.2i = 1.12 e−i12.69°) e−10 | (1 − 0.2i = 1.097 e−i13°) e−10 | (1 − 0.2i = 1.069 e−i13°) e−10 | (1 − 0.2i = 1.038 e−i14°) e−10 |
| dura | (3.93 − 1.82i = 4.3385 e−i24.84°) e−10 | (3.9 − 1.6i = 4.27e−i23.32°) e−10 | (3.9 − 1.6i = 4.2 e−i22.7°) e−10 | (3.8 − 1.3i = 4.07 e−i18°) e−10 | (3.7 − 1.1i = 3.95e−i17°) e−10 | (3.7 − 1.08i = 3.8 e−i16°) e−10 |
| CSF | (6.08 − 4.65i = 7.6593 e−i37.37°) e−10 | (6.07 − 4.3i = 7.4 e−i35.37°) e−10 | (6 − 4i = 7.315 e−i33.97°) e−10 | (6 − 3.08i = 6.74 e−i27°) e−10 | (5.9 − 2.5i = 6.45 e−i23°) e−10 | (5.8 − 2.2i = 6.26 e−i20°) e−10 |
| brain | (4.06 − 1.44i = 4.317 e−i19.5°) e−10 | (4.05 − 1.3i = 4.26 e−i18.3°) e−10 | (4 − 1.3i = 4.24 e−i18.17°) e−10 | (3.9 − 1.1i = 4.09 e−i15°) e−10 | (3.8 − 1i = 3.969 e−i14°) e−10 | (3.7 − 0.9i = 3.88 e−i14°) e−10 |
| (Propagation constant) | ||||||
| skin | 23.8 + 110i = 114.02 ei77.91° | 24 + 120i = 122.64 ei78.6° | 25 + 130i = 132 ei78.9° | 30.4 + 185i = 188.39 ei80.69° | 35.9 + 244i = 246.78 ei81.62° | 44.1 + 318i = 321.64 ei82.11° |
| fat | 4.03 + 37.97i = 38.187 ei9.41° | 4.09 + 41.105i = 41.3 ei84.31° | 4.40 + 44.63i = 44.84 ei84.36° | 5.50 + 65.03i = 65.26 ei85.15° | 6.72 + 86.91i = 87.17 ei85.57° | 8.71 + 11i = 115.05 ei85.65° |
| bone | 6.63 + 60.11i = 60.47ei83.69° | 6.83 + 64.931i = 65.28 ei83.99° | 7.83 + 70.42i = 70.85 ei83.65° | 11.5 + 101i = 102.12 ei83.48° | 15.7 + 133i = 134.78 ei83.28° | 21.7 + 173i = 175.31 ei82.87° |
| dura | 25.4 + 115i = 118.31 ei77.59° | 25 + 120i = 127.2 ei78.31° | 27 + 130i = 137.69 ei78.64° | 32.4 + 194i = 196.76 ei80.50° | 38.3 + 256i = 259.35 ei81.49° | 47.8 + 335i = 338.52 ei81.87° |
| CSF | 50.38 + 148i = 157.2 ei71.3° | 51 + 160i = 167.9 ei72.30° | 52.8 + 172i = 180.71 ei73° | 59.5 + 246i = 253.21 ei76.38° | 66.6 + 324i = 331.2 ei78.38° | 78.4 + 423i = 430.85 ei79.51° |
| brain | 19.9 + 116i = 118.01 ei80.24° | 20 + 120i = 127.13 ei80.80° | 21.7 + 136i = 137.72 ei80.9° | 27.2 + 195i = 197.25 ei82.06° | 33.4 + 257 = 259.69 ei82.61° | 43 + 336i = 339.15 ei82.7° |
| (impedance) (Ω) | ||||||
| skin | 54.57 + 11.68i = 55.811 ei12.07° | 55.13 + 11.11i = 56.247 ei12.07° | 55.43 + 10.87i = 56.49 ei12.08° | 57.24 + 9.37i = 58.009 ei12.07° | 58.58 + 8.62i = 59.22 ei12.07° | 59.41 + 8.23i = 59.98 ei12.07° |
| fat | 165 + 17.6i = 166.77 ei6.06° | 160 + 16i = 166.99 ei5.68° | 160 + 16i = 167 ei5.62° | 166.8 + 14.1i = 167.45 ei4.83° | 167.1 + 12.9i = 167.65 ei4.42° | 167.2 + 12.6i = 167.69 ei4.34° |
| bone | 104 + 11.5i = 105.307 ei6.29° | 100 + 11i = 105.658 ei6° | 100 + 11i = 105.7 ei6.34° | 106.3 + 12.1i = 107.01 ei6.51° | 107.6 + 12.6i = 108.428 ei6.7° | 109.2 + 13.6i = 110.04 ei7.12° |
| dura | 52.57 + 11.56i = 53.82 ei12.4° | 53.08 + 10.97i = 54.2126 ei11.67° | 53.3 + 10.73i = 54.40 ei11.37° | 54.78 + 9.16i = 55.542 ei9.49° | 55.73 + 8.33i = 56.3506 ei8.5° | 56.41 + 8.05i = 56.99 ei8.12° |
| CSF | 38.37 + 12.98i = 40.513 ei18.68° | 39.129 + 12.48i = 41.073 ei17.69° | 39.6 + 12.1i = 41.45 ei16.98° | 41.9 + 10.15i = 43.161 ei13.6° | 43.2 + 8.8i = 44.1268 ei11.61° | 44.03 + 8.1i = 44.77 ei10.48° |
| brain | 53.18 + 9.14i = 53.963 ei9.74° | 53.56 + 8.669i = 54.261 ei9.19° | 53.7 + 8.5i = 54.391 ei9.08° | 54.87 + 7.65i = 55.406 ei7.93° | 55.80 + 7.23i = 56.276 ei7.38° | 56.42 + 7.22i = 56.884 ei7.29° |
| (transmission coefficient) | ||||||
| skin | 0.2541 + 0.0472i = 0.2585 ei10.52° | 0.25 + 0.04i = 0.2601ei10.15° | 0.25 + 0.04i = 0.2611 ei9.65° | 0.264 + 0.03i = 0.2670 ei8.07° | 0.26 + 0.03i = 0.271 ei7.25° | 0.27 + 0.03i = 0.2747 ei6.81° |
| fat | 1.4995 − 0.0395i = 1.5 e−i1.5° | 1.49 − 0.03i = 1.4975 e−i1.43° | 1.49 − 0.036i = 1.4958 ei1.38° | 1.486 − 0.029i = 1.48 e−i1.14° | 1.47 − 0.026i = 1.478 e−i1.03° | 1.47 − 0.02i = 1.4736 e−i0.93° |
| bone | 0.7741 + 0.0020i = 0.7741 ei0.14° | 0.77 + 0.0026 = 0.775 ei0.19° | 0.77 + 0.006i = 0.775 ei0.44° | 0.779 + 0.013i = 0.779 ei1.02° | 0.78 + 0.019i = 0.7856 ei1.38° | 0.79 + 0.02i = 0.7927 ei1.68° |
| dura | 0.6757 + 0.0477i = 0.6774 ei4.03° | 0.67 + 0.04i = 0.6789 ei3.75° | 0.679 + 0.03i = 0.6801 ei3.33° | 0.683 + 0.023i = 0.683 ei1.96° | 0.68 + 0.01i = 0.6840 ei1.81° | 0.68 + 0.007i = 0.682 ei0.65° |
| CSF | 0.8584 + 0.0538i = 0.8601 ei3.58° | 0.861 + 0.051i = 0.863 ei3.42° | 0.86 + 0.048i = 0.866 ei3.19° | 0.874 + 0.035i = 0.875 ei2.31° | 0.87 + 0.02i = 0.8787 ei1.74° | 0.88 + 0.02i = 0.8802 ei1.32° |
| brain | 1.1432 − 0.0766i = 1.1458 e−i3.81° | 1.1391 − 0.0729i = 1.1414 e−i3.64° | 1.13 − 0.06i = 1.1376 ei3.37° | 1.124 − 0.04i = 1.1256 e−i2.48° | 1.12 − 0.03i = 1.1218e−i1.85° | 1.11 − 0.02i = 1.1195 e−i1.4° |
| (reflection coefficient) | ||||||
| skin | −0.74 + 0.047i = 0.7474 ei176.37° | −0.74 + 0.04i = 0.7451 ei176.54° | −0.74 + 0.04i = 0.743 ei176.61° | −0.73 + 0.03i = 0.7366 ei177° | −0.73 + 0.03i = 0.731 ei177.31° | −0.72 + 0.03i = 0.727 ei177.43° |
| fat | 0.49 − 0.0395i = 0.5 e−i4.52° | 0.49 − 0.037i = 0.4984 e−i4.32° | 0.49 − 0.03i = 0.49 ei4.2° | 0.48 − 0.02i = 0.4869 e−i13.5° | 0.47 − 0.02i = 0.479 e−i3.18° | 0.47 − 0.02i = 0.474 e−i2.9° |
| bone | −0.22 + 0.002i = 0.2259 ei179.49° | −0.22 + 0.0026i = 0.225 ei179.33° | −0.2 + 0.006i = 0.22 ei178.43° | −0.22 + 0.01i = 0.220 ei176.38° | −0.21 + 0.01i = 0.215 ei174.94° | −0.2 + 0.02i = 0.209 ei173.59° |
| dura | −0.32 + 0.047i = 0.3278 ei171.63° | −0.322 + 0.044i = 0.3256 ei172.17° | −0.3 + 0.03i = 0.32 ei173.05° | −0.31 + 0.02i = 0.317 ei175.77° | −0.31 + 0.01i = 0.316 ei177.44° | −0.31 + 0.007i = 0.31 ei178.59° |
| CSF | −0.14 + 0.05i = 0.1515 ei159.59° | −0.138 + 0.051i = 0.1476 ei158.57° | −0.13 + 0.04i = 0.14 ei159.73° | −0.12 + 0.03i = 0.1305 ei164.3° | −0.12 + 0.02i = 0.124 ei167.62° | −0.12 + 0.02i = 0.121 ei170.39° |
| brain | 0.14 − 0.076i = 0.1624 e−i28.49° | 0.139 − 0.072i = 0.1570 e−i28.97° | 0.13 − 0.067i = 0.151 e−i27.26° | 0.12 − 0.04i = 0.1337 e−i21.4° | 0.12 − 0.03i = 0.1265 e−i16.67° | 0.11 − 0.02i = 0.1223 e−i12.94° |
| Reference | Measured Frequency Range | Measurement Time | Measured Quantity | Measured Area | Calculated and Plotted Values and Tables |
|---|---|---|---|---|---|
| [1] | 50 Hz | One hour | E, H, GPS | Measurements were taken at 30 points outside Diyarbakir (Turkey). | E and H |
| [2] | 50 Hz | H | H | at 31 points in houses close to transformer stations in municipality of Silla (València, Spain) | H Location Age Mean Number Max Min Std Median |
| [8] | 60 Hz | 6 min | H | Magnetic field exposure measurement | H, table |
| [9] | 50 Hz, broadband (700–2500 MHz), GPS | 6 min | E, Pr (W/m2), measurement coordinate (GPS) | 32 points Ordu university main campus (Turkey) | E, Pr, Google earth, Emean Pdf, curve fitting |
| [10] | 1.5 Tesla 63 MHz MR | 6 min | E, H, S (W/m2) | The strongest electromagnetic source that people working in the healthcare sector are exposed to is; It has been proven by measurements made in 3 hospitals, 4 medical imaging centers and 3 physical therapy centers that it is caused by MRI and diathermy (Turkey). | E, H, S |
| [18] | 4G, 5G LTE | 6 min | E | Columbia, SC, In the city center in USA | Histogram of spatial field distribution measurements |
| [20] | 50 Hz, broadband (700–2500 MHz) | 6 min | E | Low-frequency electric field measurement of broadband and high voltage was carried out in Bursa Nilufer municipality (Turkey). | E |
| [21] | broadband (700–2500 MHz), | 6 min | E | A 6 min measurement was made at 213 points at 6 base stations in Ordu (Turkey). | E, pdf |
| [22] | broadband (700–2500 MHz), | 6 min | E | In Ordu (Turkey) 500 points broadband electric field in 6 min | E, cdf, pdf |
| [32] | 100 kHz–3 GHz | 24 h | E | Outdoor at 5 points in Samsun city cross base stations (Turkey) | E, E density curve fitting, Emax, Emean, Estd table |
| [33] | 100 kHz–3 GHz | 24 h | E | In house two locations in Samsun (Turkey) | E, E density curve fitting, Emax, Emean, Estd table |
| [34] | 100 kHz–3 GHz | one week | E | In shopping mall in Samsun city (Turkey) | E, E density curve fitting, Emax, Emean, Estd table Ecdf and Curve fitting |
| [35] | 100 kHz–3 GHz | 24 h | E | In Samsun in 40 different home environments (Turkey) | E, Edensity curve fitting, Emax, Emean, Estd table Ecdf and Curve fitting |
| [My study] | 50 Hz, broadband (700–2500 MHz), | 24 h | E | In the entrance, living room, bedroom and kitchen on the 4th floor of an apartment building in Ordu kugukent (Turkey). | E, Edensity curve fitting, Emax, Emean, Estd table Ecdf and Curve fitting, SAR, head model |
Disclaimer/Publisher’s Note: The statements, opinions and data contained in all publications are solely those of the individual author(s) and contributor(s) and not of MDPI and/or the editor(s). MDPI and/or the editor(s) disclaim responsibility for any injury to people or property resulting from any ideas, methods, instructions or products referred to in the content. |
© 2024 by the author. Licensee MDPI, Basel, Switzerland. This article is an open access article distributed under the terms and conditions of the Creative Commons Attribution (CC BY) license (https://creativecommons.org/licenses/by/4.0/).
Share and Cite
Mutlu, M. Evaluation and SAR Analysis of Low Frequency and Broadband Electric Field Exposure Measurement Values in the Home Environment. Appl. Sci. 2024, 14, 4169. https://doi.org/10.3390/app14104169
Mutlu M. Evaluation and SAR Analysis of Low Frequency and Broadband Electric Field Exposure Measurement Values in the Home Environment. Applied Sciences. 2024; 14(10):4169. https://doi.org/10.3390/app14104169
Chicago/Turabian StyleMutlu, Mustafa. 2024. "Evaluation and SAR Analysis of Low Frequency and Broadband Electric Field Exposure Measurement Values in the Home Environment" Applied Sciences 14, no. 10: 4169. https://doi.org/10.3390/app14104169
APA StyleMutlu, M. (2024). Evaluation and SAR Analysis of Low Frequency and Broadband Electric Field Exposure Measurement Values in the Home Environment. Applied Sciences, 14(10), 4169. https://doi.org/10.3390/app14104169
