Sign in to use this feature.

Years

Between: -

Subjects

remove_circle_outline
remove_circle_outline
remove_circle_outline
remove_circle_outline
remove_circle_outline
remove_circle_outline
remove_circle_outline
remove_circle_outline
remove_circle_outline

Journals

remove_circle_outline
remove_circle_outline
remove_circle_outline
remove_circle_outline
remove_circle_outline
remove_circle_outline
remove_circle_outline
remove_circle_outline
remove_circle_outline
remove_circle_outline
remove_circle_outline
remove_circle_outline

Article Types

Countries / Regions

remove_circle_outline
remove_circle_outline
remove_circle_outline
remove_circle_outline
remove_circle_outline

Search Results (932)

Search Parameters:
Keywords = cumulative probability

Order results
Result details
Results per page
Select all
Export citation of selected articles as:
33 pages, 2394 KB  
Article
A Probabilistic Reliability and Risk Framework for Flood Control in Multi-Structure Complexes: Mining Site Design
by Afshin Ghahramani
Water 2026, 18(8), 916; https://doi.org/10.3390/w18080916 (registering DOI) - 11 Apr 2026
Abstract
This paper developed a probabilistic framework for system level reliability and risk assessment that coupled hydraulic loading with structural response and explicitly modelled cascading interactions and statistical dependence between components. The contribution is a system-level reliability and risk modelling methodology that integrates dynamic [...] Read more.
This paper developed a probabilistic framework for system level reliability and risk assessment that coupled hydraulic loading with structural response and explicitly modelled cascading interactions and statistical dependence between components. The contribution is a system-level reliability and risk modelling methodology that integrates dynamic cascading interactions, non-stationary design-life reliability accumulation, and system-level optimisation within a unified Monte Carlo architecture. Dynamic Monte Carlo simulation was used to evaluate individual, joint, conditional, and system-scale probabilities of failure across varying flood magnitudes and design lives. Model verification confirmed that discretisation and sampling errors were small relative to parameter-driven variability. Results showed that long-term system reliability arose from the combined influence of flood frequency, exposure duration, and the strength of interaction between interdependent structures. Frequent loading accelerates the accumulation of failure probability through repeated events, whereas rare events contribute more slowly but dominate extreme outcomes, indicating that cumulative reliability cannot be inferred by the linear extrapolation of annual probabilities. In an examined diversion–levee–basin configuration, strong structural coupling amplified vulnerability by contracting joint stability margins and increasing conditional failure probabilities. The system-level optimisation of structural parameters over the examined design life reduced cumulative system failure probability from 0.305 to 0.153, whereas single-component optimisation redistributed risk within the system without reducing total system risk. The framework advances beyond static risk analysis by integrating time-dependent reliability, cascading dependencies, and design-life optimisation for system-scale mitigation. Full article
(This article belongs to the Section Hydraulics and Hydrodynamics)
25 pages, 1588 KB  
Article
SGLT2 Inhibition as a Perioperative Cardiorenal Stabilizer in Cardiac Surgery: Integrated Clinical Cohort and Pleiotropic Network-Based Pharmacological Analysis
by Lutfi Cagatay Onar, Ersin Guner and Ibrahim Yilmaz
J. Clin. Med. 2026, 15(8), 2873; https://doi.org/10.3390/jcm15082873 - 10 Apr 2026
Viewed by 64
Abstract
Background: Patients with type 2 diabetes mellitus (T2DM) undergoing cardiac surgery represent a high-risk population characterized by substantial cardiometabolic stress and increased susceptibility to postoperative heart failure, renal dysfunction, and unplanned rehospitalization. Although sodium-glucose cotransporter 2 (SGLT2) inhibitors provide established cardiorenal protection [...] Read more.
Background: Patients with type 2 diabetes mellitus (T2DM) undergoing cardiac surgery represent a high-risk population characterized by substantial cardiometabolic stress and increased susceptibility to postoperative heart failure, renal dysfunction, and unplanned rehospitalization. Although sodium-glucose cotransporter 2 (SGLT2) inhibitors provide established cardiorenal protection in ambulatory populations, their perioperative impact in cardiac surgery cohorts remains insufficiently defined. Methods: In a single-center retrospective cohort of 620 T2DM patients, inverse probability of treatment weighting and time-dependent Cox regression were applied to account for perioperative treatment interruption and delayed postoperative reinitiation when evaluating the association between chronic SGLT2 inhibitor therapy and 12-month rehospitalization risk. To provide biological context for the observed clinical associations, target-driven systems pharmacology, molecular docking against SGLT2, NHE1, AMPK, and NLRP3, and protein–protein interaction (PPI) network analysis were performed. Hub proteins were identified using Maximal Clique Centrality, followed by functional enrichment (GO/KEGG) analysis. Results: Chronic SGLT2 inhibitor therapy was associated with reduced first rehospitalization (HR 0.64; 95% CI 0.48–0.85; p = 0.002) and a lower cumulative rehospitalization burden (IRR 0.61; 95% CI 0.46–0.82; p = 0.001), primarily driven by heart failure-related and metabolic phenotypes. Molecular docking analyses identified favorable binding with SGLT2 and additional cardiometabolic and inflammatory targets, including NHE1, AMPK, NLRP3, IKKβ, IL-6Rα, and PPAR isoforms, suggesting modulation of myocardial ion homeostasis, metabolic resilience, and inflammatory signaling. PPI analysis identified eight hub proteins (AKT1, MTOR, STAT3, EGFR, PIK3CA, SRC, MAPK1, and MAPK3) significantly enriched in PI3K/AKT, MAPK/ERK, and ErbB signaling pathways. Conclusions: Chronic SGLT2 inhibitor therapy was independently associated with reduced postoperative rehospitalization and cumulative event burden in T2DM patients undergoing cardiac surgery. Integrated in silico analyses offer mechanistic hypotheses consistent with the observed clinical associations. These findings suggest that structured perioperative SGLT2 inhibitor management may contribute to improved postoperative outcomes, while prospective validation in future studies would strengthen these findings. However, given the retrospective observational design, these findings should be interpreted as associative rather than causal. Full article
(This article belongs to the Section Cardiology)
Show Figures

Figure 1

17 pages, 3102 KB  
Article
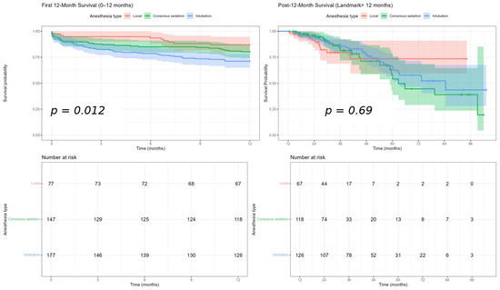
Anesthesia Type and Outcomes After Transfemoral TAVI: A Time-Sensitive Comparative Analysis
by Tuncay Kiris, Fatma Esin, Hakan Bozkurt, Berkay Palac, Bahadır Akar, Aykan Celik, Emre Özdemir, Murat Aksun and Mustafa Karaca
Life 2026, 16(4), 584; https://doi.org/10.3390/life16040584 - 1 Apr 2026
Viewed by 296
Abstract
Background: The optimal anesthesia strategy for transfemoral transcatheter aortic valve implantation (TAVI) remains uncertain. We evaluated the impact of local anesthesia, conscious sedation, and general anesthesia on early and long-term outcomes after TAVI. Methods: This single-center cohort included 401 patients undergoing transfemoral TAVI [...] Read more.
Background: The optimal anesthesia strategy for transfemoral transcatheter aortic valve implantation (TAVI) remains uncertain. We evaluated the impact of local anesthesia, conscious sedation, and general anesthesia on early and long-term outcomes after TAVI. Methods: This single-center cohort included 401 patients undergoing transfemoral TAVI with local anesthesia (LA, n = 77), conscious sedation (CS, n = 147), or general anesthesia (GA, n = 177). Outcomes were assessed using hierarchical win-ratio analysis prioritizing mortality over major adverse cardiovascular and cerebrovascular events (MACCE), supported by Kaplan–Meier and restricted mean survival time analyses. Sensitivity analyses using inverse probability of treatment weighting (IPTW) were performed to account for baseline differences between groups. Results: Baseline comorbidities were broadly comparable, although GA patients had higher-risk anatomical and procedural features. In unadjusted win-ratio analyses, LA showed a significant advantage over GA at 0–6 months (win ratio [WR] 1.79; 95% CI 1.10–2.93; p = 0.020). After multivariable adjustment, LA remained superior to GA at 6–12 and 12–24 months (adjusted WR 1.67 and 1.56, both p < 0.05). One-year mortality differed significantly among groups (p = 0.012). RMST analysis demonstrated a cumulative survival advantage for LA versus GA, reaching 6.6 months at 60 months. MACCE-free survival was largely comparable across strategies. However, in IPTW-weighted analyses, anesthesia type was not independently associated with mortality or MACCE. Conclusions: Minimally invasive anesthesia strategies were associated with more favorable early survival patterns after transfemoral TAVI in primary analyses. However, after adjustment for baseline differences using IPTW, anesthesia type was not independently associated with mortality or MACCE. These findings suggest that apparent outcome differences may partly reflect underlying patient risk profiles rather than a purely causal effect of anesthesia strategy. Full article
(This article belongs to the Section Medical Research)
Show Figures

Figure 1

13 pages, 280 KB  
Article
Surface Diffusion at Finite Coverage: The Characteristic Function Method
by Elena E. Torres-Miyares and Salvador Miret-Artés
Surfaces 2026, 9(2), 32; https://doi.org/10.3390/surfaces9020032 - 28 Mar 2026
Viewed by 204
Abstract
In this work, the so-called characteristic function method is proposed as a new approach to describe and interpret the diffusion process with interacting adsorbates in terms of surface coverage. In this context, the intermediate scattering function is identified as a characteristic function that [...] Read more.
In this work, the so-called characteristic function method is proposed as a new approach to describe and interpret the diffusion process with interacting adsorbates in terms of surface coverage. In this context, the intermediate scattering function is identified as a characteristic function that is very well defined in probability theory. From this function, the generating functions of the moments and cumulants of the jump probability distribution are straightforwardly obtained at any order. This analysis is carried out in two stages. First, the dilute limit, corresponding to non-interacting adsorbates or very low surface coverage, is briefly reviewed. Second, the method is extended to low and intermediate coverages, where adsorbate-adsorbate interactions become relevant. A further consequence of the present analysis is that the static structure factor is also a characteristic function of the adsorbate separation distance distribution. This method thus provides a compact and physically transparent route for connecting scattering observables, diffusion coefficients, and coverage-dependent structural correlations. Full article
(This article belongs to the Collection Featured Articles for Surfaces)
10 pages, 841 KB  
Article
Mortality of Candidozyma auris Candidemia Compared with Non-C. auris Candidemia
by Sungsoo Park, Heesuk Kim, Kilchae Hwang, Duckjin Hong and Hyeyoung Oh
J. Fungi 2026, 12(4), 234; https://doi.org/10.3390/jof12040234 - 25 Mar 2026
Viewed by 415
Abstract
Candidozyma auris (formerly Candida auris) is frequently multidrug-resistant, resulting in limited treatment options and high mortality. Comparable mortality between C. auris candidemia and non-C. auris candidemia in recent studies requires confirmation in the Middle East after adjustment for confounders. This study [...] Read more.
Candidozyma auris (formerly Candida auris) is frequently multidrug-resistant, resulting in limited treatment options and high mortality. Comparable mortality between C. auris candidemia and non-C. auris candidemia in recent studies requires confirmation in the Middle East after adjustment for confounders. This study aimed to compare mortality rates between patients with candidemia by C. auris and non-C. auris Candida species. We retrospectively analyzed 94 cases with candidemia between January 2019 and October 2025, including C. auris candidemia (n = 30) and non-C. auris candidemia (n = 64). Inverse probability weighting was used to balance baseline confounders between groups. The primary analysis used a weighted Cox proportional hazards model. Patients in the C. auris group had more comorbidities, greater healthcare exposure, and longer hospital stays. Crude 30-day all-cause cumulative mortality was comparable between the C. auris and non-C. auris groups (log-rank test, p = 0.8). The 30-day mortality of C. auris candidemia was similar to that of non-C. auris candidemia (adjusted HR 0.40; 95% CI 0.16–1.04; p = 0.060). Large multicenter studies involving diverse populations across different regions are warranted to validate these findings. Full article
(This article belongs to the Section Fungal Pathogenesis and Disease Control)
Show Figures

Figure 1

24 pages, 3552 KB  
Article
Optimization of the Spatial Position of the Vibration Acceleration Sensor and the Method of Determining Limit Values in the Diagnostics of Combustion Engine Injection System
by Jan Monieta and Lech Władysław Kasyk
Sensors 2026, 26(6), 1981; https://doi.org/10.3390/s26061981 - 22 Mar 2026
Viewed by 402
Abstract
A new procedure for diagnosing damage to the fuel injection system of marine engines, along with vibration acceleration signal symptoms, is explored with a related built, developed, and tested measuring system. This work fills an important gap given the current lack of a [...] Read more.
A new procedure for diagnosing damage to the fuel injection system of marine engines, along with vibration acceleration signal symptoms, is explored with a related built, developed, and tested measuring system. This work fills an important gap given the current lack of a scientific solution to this problem. A vibration acceleration signal sensor, mounted on a holder elaborated on by the authors, is positioned on the injection pipe between the injection pump and the injector. The output signals from the sensor are sent to an acquisition and analysis system, which is used for processing the signals in the time, amplitude, frequency, and time–frequency domains. Experimental choices, using multiple parameters for a given signal analysis field, are based on the location of the optimal sensor, the direction of the sensor mounting, and the selection of a cumulative diagnostic symptom. The vibration acceleration signals recorded along the injection pipe are found to have the strongest magnitude. This article compares diagnostic values from these signals with previously determined upper and lower limits. As a result, the tested fuel injection system is classified as either able or disabled, using unparalleled tolerance ranges given for both the upper and lower limits. The values of the limits are determined based on the average value for an ability state plus or minus three times the standard error of this mean, which has not been reported in the literature previously. Multiple regression models are developed that relate identified symptoms to the state features of the fuel injection system. In addition, artificial neural networks and machine learning are used to detect developing damage. The probability of correctly classifying the states of the diagnostic parameters is 0.467, alongside a diagnostic accuracy of ≤±4%, with the network correctly classifying the state when the testing accuracy is at least 70.0%. Full article
(This article belongs to the Section Fault Diagnosis & Sensors)
Show Figures

Graphical abstract

15 pages, 874 KB  
Article
Cardiorenal Metabolic Modifiers of In-Hospital Outcomes Among Hospitalizations with Acute Kidney Injury
by Brent Tai and Chijioke Okonkwo
J. Clin. Med. 2026, 15(6), 2407; https://doi.org/10.3390/jcm15062407 - 21 Mar 2026
Viewed by 250
Abstract
Background: Acute kidney injury (AKI) is a common and high-risk complication of hospitalization that frequently occurs in patients with chronic cardiometabolic disease. Although heart failure (HF) and diabetes mellitus (DM) are prevalent among hospitalized adults and may differentially modify AKI-associated outcomes, their [...] Read more.
Background: Acute kidney injury (AKI) is a common and high-risk complication of hospitalization that frequently occurs in patients with chronic cardiometabolic disease. Although heart failure (HF) and diabetes mellitus (DM) are prevalent among hospitalized adults and may differentially modify AKI-associated outcomes, their joint impact on in-hospital risk profiles and cumulative burden remains incompletely characterized. Methods: We conducted a retrospective analysis of adult hospitalizations complicated by AKI using a nationally representative inpatient database. Hospitalizations were classified into four cardiorenal metabolic phenotypes: AKI alone, AKI with HF, AKI with DM, and AKI with both HF and DM. Primary outcomes included in-hospital mortality, dialysis initiation, and mechanical ventilation. Survey-weighted multivariable logistic regression models incorporating HF, DM, and their interaction were used to estimate adjusted associations and model-based predicted probabilities. Adjusted risks were visualized across outcomes, and a composite burden metric was constructed to summarize cumulative in-hospital adverse events. Results: AKI outcomes varied substantially across cardiorenal metabolic phenotypes. HF was consistently associated with higher adjusted mortality and mechanical ventilation risk, whereas DM alone was associated with lower adjusted mortality. A significant interaction between HF and DM was observed regarding dialysis initiation, with a disproportionately higher adjusted risk when both conditions coexisted. Integrated visualization across outcomes demonstrated distinct risk profiles by phenotype, with the combined HF and DM group exhibiting the highest cumulative burden of adverse in-hospital events. Conclusions: Among hospitalizations complicated by AKI, the underlying cardiorenal metabolic status is associated with marked heterogeneity in in-hospital outcomes. HF appears to be a dominant modifier of AKI-associated risk, while DM exerts outcome-specific effects and synergistically increases the risk of dialysis initiation when combined with HF. These findings highlight the importance of incorporating cardiometabolic context into AKI risk stratification approaches and underscore the value of multidimensional in-hospital assessments. Full article
(This article belongs to the Section Nephrology & Urology)
Show Figures

Figure 1

23 pages, 1511 KB  
Article
Estimator Statistics from Simulation-Free Dirichlet Block-Bootstrap Resampling
by Tillmann Rosenow
Stats 2026, 9(2), 32; https://doi.org/10.3390/stats9020032 - 20 Mar 2026
Viewed by 321
Abstract
Since the initiation of two variants of the bootstrap method by Efron and Rubin in the late 1970s, a variety of advancements has emerged in the literature. The subsampling of blocks enabled the estimation of the actual variance of the sample mean. The [...] Read more.
Since the initiation of two variants of the bootstrap method by Efron and Rubin in the late 1970s, a variety of advancements has emerged in the literature. The subsampling of blocks enabled the estimation of the actual variance of the sample mean. The equivalence of the data-level and the estimator-level resampling is easily established for the sample mean and estimators alike. For Rubin’s variant of the bootstrap we apply an algorithm by Diniz et al. which allows for the numerically stable computation of the sample-based cumulative distribution function of the estimator under investigation. No actual Monte-Carlo resampling is necessary in this setting and we demonstrate how we get access to the very small probabilities of the tails and moreover to confidence intervals. We do this at the example of a well-known test model that exhibits geometrically decaying spatial correlations. The analysis naturally applies to temporally correlated systems or to the correlations occurring in Markov chains, as well. Full article
(This article belongs to the Section Time Series Analysis)
Show Figures

Figure 1

24 pages, 611 KB  
Article
Discrete Asymmetric Double Lindley Distribution on Z: Theory, Likelihood Inference, and Applications
by Hugo S. Salinas, Hassan S. Bakouch, Sudeep R. Bapat, Amira F. Daghestani and Anhar S. Aloufi
Symmetry 2026, 18(3), 533; https://doi.org/10.3390/sym18030533 - 20 Mar 2026
Viewed by 213
Abstract
We introduce the discrete asymmetric double Lindley distribution, a new two-parameter family on the integer line designed to model signed counts and net changes with flexible asymmetric tail behavior. This statistical model is obtained by merging two Lindley-type linear-geometric kernels on the negative [...] Read more.
We introduce the discrete asymmetric double Lindley distribution, a new two-parameter family on the integer line designed to model signed counts and net changes with flexible asymmetric tail behavior. This statistical model is obtained by merging two Lindley-type linear-geometric kernels on the negative and non-negative half-lines, with tail decay rates that are coupled through a simple two-parameter mechanism. This construction yields an analytically tractable probability mass function with an explicit normalizing constant, as well as closed-form expressions for the cumulative distribution function and one-sided tail probabilities. We further provide a transparent stochastic representation based solely on Bernoulli and geometric random variables, leading to an exact and efficient simulation algorithm that is convenient for Monte Carlo studies and validating numerical likelihood routines. Graphical illustrations highlight the role of the asymmetry parameter in controlling the imbalance between the two tails and the resulting skewness on Z. The proposed family offers a practical and interpretable alternative to existing integer-line models for asymmetric discrete data, with direct applicability to likelihood-based inference and real-world datasets. Full article
(This article belongs to the Section Mathematics)
Show Figures

Figure 1

31 pages, 1687 KB  
Article
A Hybrid Planning–Learning Framework for Autonomous Navigation with Dynamic Obstacles
by Hatice Arslan Öztürk, Sırma Yavuz and Çetin Kaya Koç
Appl. Sci. 2026, 16(6), 2961; https://doi.org/10.3390/app16062961 - 19 Mar 2026
Viewed by 313
Abstract
Traditional navigation methods work well in known, static environments but degrade in real-world settings with dynamic and unpredictable obstacles. This paper presents Double Deep Q-Network with A* guidance (DDQNA), a hybrid navigation algorithm that enables an agent to traverse mazes containing static [...] Read more.
Traditional navigation methods work well in known, static environments but degrade in real-world settings with dynamic and unpredictable obstacles. This paper presents Double Deep Q-Network with A* guidance (DDQNA), a hybrid navigation algorithm that enables an agent to traverse mazes containing static and dynamic obstacles while maintaining a low probability of collision. DDQNA combines A* guidance with Double Deep Q-Network (DDQN) learning using an ϵ-greedy policy, and it introduces a redesigned reward function and an improved action-selection mechanism to better exploit A*’s directional cues during training. We evaluate DDQNA in a custom Pygame simulation across 11 environments of increasing difficulty. Experimental results show that DDQNA consistently outperforms the standard DDQN and other state-of-the-art reinforcement learning baselines, achieving higher goal-reaching rates, fewer visited cells, shorter computation times, and higher cumulative rewards. These results indicate that DDQNA provides both effective navigation and computational efficiency in complex environments with static and dynamic obstacles. Full article
(This article belongs to the Section Computing and Artificial Intelligence)
Show Figures

Figure 1

19 pages, 2370 KB  
Article
Carbon Mitigation Potential of Electric Vehicle Battery Circular Economy Strategies in China: An Integrated Dynamic MFA-LCA Framework
by Shaowei Huo, Xiaojing Yi, Jiahang Zhang and Rui Wang
Sustainability 2026, 18(6), 3013; https://doi.org/10.3390/su18063013 - 19 Mar 2026
Viewed by 256
Abstract
China’s rapid electric vehicle (EV) market expansion—from 331,000 units in 2015 to over 9.5 million in 2023—is generating an unprecedented wave of retired lithium-ion batteries projected to exceed 94 TWh cumulatively by 2060, presenting critical challenges for sustainable resource management. While grid decarbonization [...] Read more.
China’s rapid electric vehicle (EV) market expansion—from 331,000 units in 2015 to over 9.5 million in 2023—is generating an unprecedented wave of retired lithium-ion batteries projected to exceed 94 TWh cumulatively by 2060, presenting critical challenges for sustainable resource management. While grid decarbonization can reduce use-phase emissions, the substantial embodied carbon in battery production (55–130 kg CO2-eq/kWh) remains a critical challenge for achieving carbon neutrality. This study presents an integrated dynamic material flow analysis (MFA) and prospective life cycle assessment (LCA) framework—calibrated against the latest peer-reviewed literature—to quantify the carbon mitigation potential of battery recycling and second-life applications from 2020 to 2060. We evaluate four end-of-life management scenarios: baseline linear economy, enhanced recycling, second-life dominant, and synergistic optimization. Our results reveal that the synergistic scenario achieves the highest cumulative avoided emissions of 3844 Mt CO2-eq, representing a 12.1-fold improvement over the baseline. Monte Carlo uncertainty analysis (n = 10,000) confirms robust scenario differentiation, with 100% probability that synergistic optimization outperforms enhanced recycling alone. Material security analysis shows that recycled supply can meet 100% of lithium, cobalt, nickel, and copper demand by 2060 under optimal management. These findings provide quantitative evidence for chemistry-differentiated battery management policies aligned with China’s dual carbon goals and the transition toward a sustainable circular economy. Full article
Show Figures

Figure 1

14 pages, 294 KB  
Article
Journalists’ Experiences of Online Harassment: Anxiety, Depression, and Posttraumatic Stress
by Margaret R. Grundy, Elana Newman and Autumn Slaughter
Journal. Media 2026, 7(1), 62; https://doi.org/10.3390/journalmedia7010062 - 18 Mar 2026
Viewed by 362
Abstract
Online harassment is a pervasive occupational hazard for journalists, often precipitating psychological distress. However, little is known about the specific clinically significant psychological symptoms journalists may experience following online harassment and how it predicts diagnosable clinical disorders. This study examines the relationship between [...] Read more.
Online harassment is a pervasive occupational hazard for journalists, often precipitating psychological distress. However, little is known about the specific clinically significant psychological symptoms journalists may experience following online harassment and how it predicts diagnosable clinical disorders. This study examines the relationship between online harassment and (1) scores on validated clinical measures of anxiety, depression, and posttraumatic stress symptoms and (2) probable generalized anxiety disorder, depression, and posttraumatic stress disorder using established clinical cutoffs among 282 American women journalists. Journalists were recruited through a series of emails, Facebook advertisements, and Facebook posts. They completed an online survey that included questions about demographics, online harassment experiences, and three standardized measures of anxiety (GAD-7), depression (CES-D-10), and posttraumatic stress symptoms (PCL-5). In this sample, 91.5% of journalists reported experiencing at least one instance of online harassment over the past 12 months; 41.8% reported probable generalized anxiety, 67.8% probable depression, and 15.6% probable PTSD. Cumulative online harassment burden predicted higher anxiety, depression, and posttraumatic stress scores and significantly predicted the odds of meeting the clinical cutoff for probable generalized anxiety disorder and probable PTSD. Interventions designed to target these specific reactions may be useful in treating journalists exposed to online harassment. Full article
(This article belongs to the Special Issue Mental Health in the Headlines)
20 pages, 1672 KB  
Review
Comparative Effects of Dietary Protein, Creatine, and Omega-3 Supplementation on Muscle Strength, Endurance, and Recovery in Trained Athletes: A Systematic Review and Network Meta-Analysis
by Ziyu Wang, Gang Qin and Byung-Min Kim
Nutrients 2026, 18(6), 909; https://doi.org/10.3390/nu18060909 - 13 Mar 2026
Viewed by 1723
Abstract
This systematic review and network meta-analysis aimed to compare the effects of dietary protein, creatine, and omega-3 fatty acid supplementation on muscle strength, endurance performance, and recovery outcomes in trained athletes. A comprehensive literature search across MEDLINE, Embase, Cochrane CENTRAL, Web of Science, [...] Read more.
This systematic review and network meta-analysis aimed to compare the effects of dietary protein, creatine, and omega-3 fatty acid supplementation on muscle strength, endurance performance, and recovery outcomes in trained athletes. A comprehensive literature search across MEDLINE, Embase, Cochrane CENTRAL, Web of Science, SPORTDiscus, and Scopus identified randomized controlled trials evaluating these supplements in individuals engaged in structured training for a minimum of six months. Network meta-analysis employing a frequentist random-effects model synthesized direct and indirect evidence, with treatment rankings determined using Surface Under the Cumulative Ranking curve probabilities. The analysis incorporated 35 trials enrolling 1211 participants. Creatine supplementation demonstrated superior effects for muscle strength (SMD = 0.46, 95% CI: 0.29 to 0.63, SUCRA = 82.4%), protein supplementation proved most effective for endurance performance (SMD = 0.28, 95% CI: 0.08 to 0.48, SUCRA = 85.2%), and omega-3 supplementation yielded the greatest benefits for recovery outcomes (SMD = 0.40, 95% CI: 0.18 to 0.62, SUCRA = 88.7%). Network consistency assessment revealed no significant disagreement between direct and indirect evidence across all outcomes. These findings reveal an outcome-specific efficacy pattern supporting targeted supplementation strategies aligned with primary training objectives in athletic populations. Full article
Show Figures

Figure 1

21 pages, 4169 KB  
Article
Dynamic Security Configuration in China Railway Cloud Center: A Combination of Mobile Target Defense and Q-Learning
by Honglei Yao, Yijie Yang and Wenjia Niu
Appl. Sci. 2026, 16(5), 2626; https://doi.org/10.3390/app16052626 - 9 Mar 2026
Viewed by 351
Abstract
The China Railway Cloud Center, as critical infrastructure, faces escalating cyber threats that demand proactive defense strategies beyond static mechanisms. This paper proposes a dynamic security configuration framework that combines Moving Target Defense (MTD) with Q-learning. We first model the cloud application as [...] Read more.
The China Railway Cloud Center, as critical infrastructure, faces escalating cyber threats that demand proactive defense strategies beyond static mechanisms. This paper proposes a dynamic security configuration framework that combines Moving Target Defense (MTD) with Q-learning. We first model the cloud application as a stack of configurable layers (e.g., OS, Middleware) and formalize vulnerabilities and attackers using Common Vulnerability Scoring System (CVSS) metrics. A transition reward function is then derived, integrating attack probability, security entropy, switching cost, and CVSS-based impact. Finally, the configuration switching problem is formulated as a Markov Decision Process and solved using Q-learning to find the optimal policy. Simulation results demonstrate that the Q-learning strategy converges to configurations yielding higher cumulative rewards and lower costs compared to random, periodic, and greedy baselines, effectively reducing the simulated attack success rate from 34% (random) to 12%. This work provides an adaptive, learning-driven defense framework for railway critical information infrastructure, offering a foundation for automated security orchestration. Full article
(This article belongs to the Section Computing and Artificial Intelligence)
Show Figures

Figure 1

24 pages, 2003 KB  
Article
Multi-Memory Approach for Random Number Generators in FPGA
by Thiago Campos Acácio Paschoalin, Tiago Motta Quirino and Luciano Manhães de Andrade Filho
Appl. Sci. 2026, 16(5), 2537; https://doi.org/10.3390/app16052537 - 6 Mar 2026
Viewed by 296
Abstract
Random number generation is essential in many application domains, including high-energy physics simulations. Implementing Monte Carlo methods that generate samples following a desired probability distribution is particularly challenging on hardware platforms such as FPGAs. Direct implementations of analytical distribution functions are often resource-intensive, [...] Read more.
Random number generation is essential in many application domains, including high-energy physics simulations. Implementing Monte Carlo methods that generate samples following a desired probability distribution is particularly challenging on hardware platforms such as FPGAs. Direct implementations of analytical distribution functions are often resource-intensive, making them impractical for real-time systems. An efficient alternative is the use of the inverse cumulative distribution function (CDF), which can be implemented using look-up tables (LUTs). In this approach, a uniformly distributed random number—generated by Linear Feedback Shift Registers (LFSRs)—is used as an address to access LUTs containing discretized x-axis values of the CDF, thereby yielding the target random variable. However, this method presents limited accuracy in low-probability regions of the distribution. To address this issue, this paper proposes a segmented CDF implementation based on multiple LUTs, improving resolution in poorly sampled regions. A cascade of decision logic selects the appropriate memory output, increasing resolution only where necessary while optimizing memory usage. The proposed method was validated through Monte Carlo simulations in particle physics applications, achieving close agreement with theoretical distributions while requiring limited FPGA resources and no DSP blocks. Full article
Show Figures

Figure 1

Back to TopTop