Identification and Control of Flexible Joint Robots Based on a Composite-Learning Optimal Bounded Ellipsoid Algorithm and Prescribe Performance Control Technique
Abstract
1. Introduction
- An adaptive prescribed performance controller for the FJR is formulated, leveraging the SPT framework and continuous terminal sliding mode control technique. This simplifies the controller design process and ensures that the transient and steady-state behavior meets the pre-established specifications.
- A composite-learning OBE-based identification algorithm is introduced, aiming to boost NN training performance by incorporating both identification and tracking errors.
2. Preliminaries and Problem Formulation
3. Continuous Terminal Sliding Mode Control of the Flexible Joint Robotic Manipulator
3.1. Controller Design of the Reduced Slow Subsystem
3.2. Controller Design of the Reduced Fast Subsystem
4. Training of NN Weights
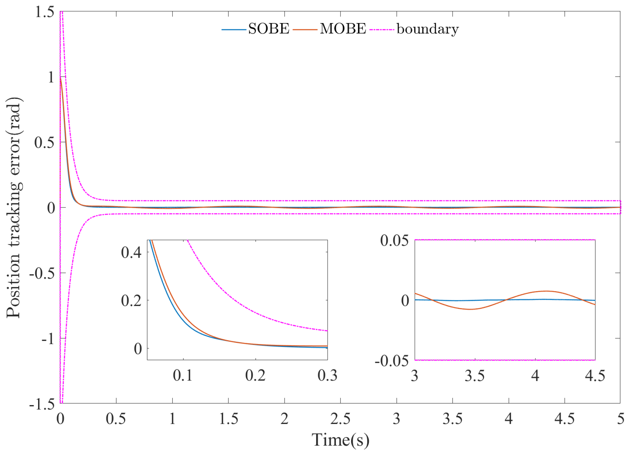
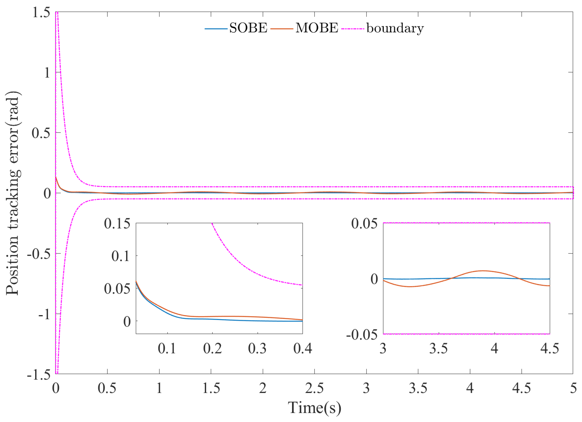
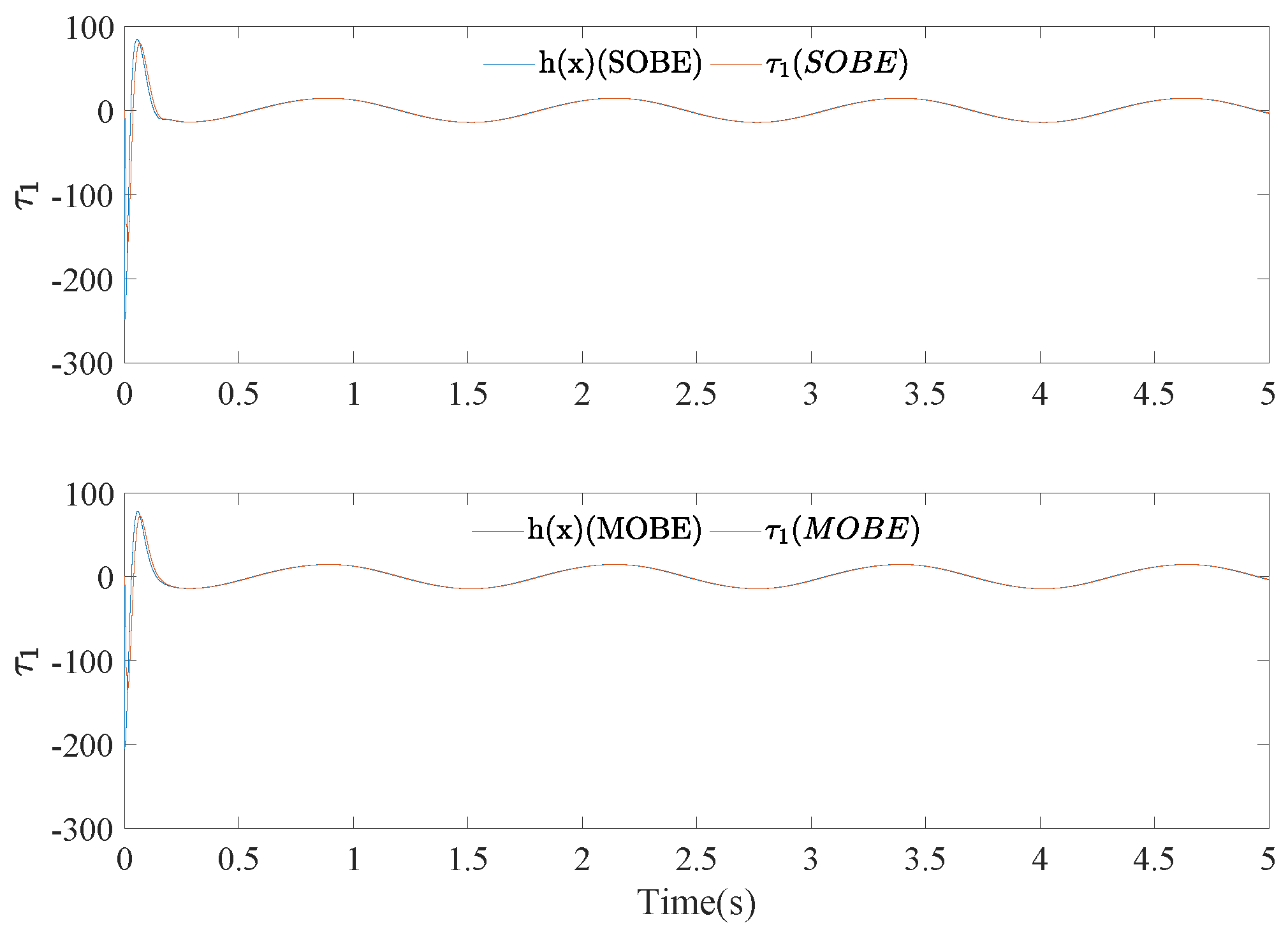
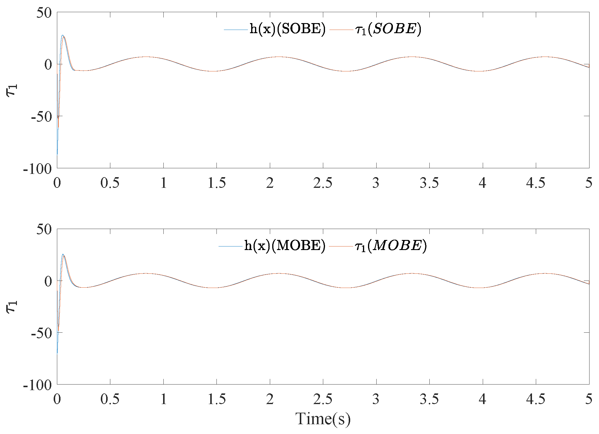
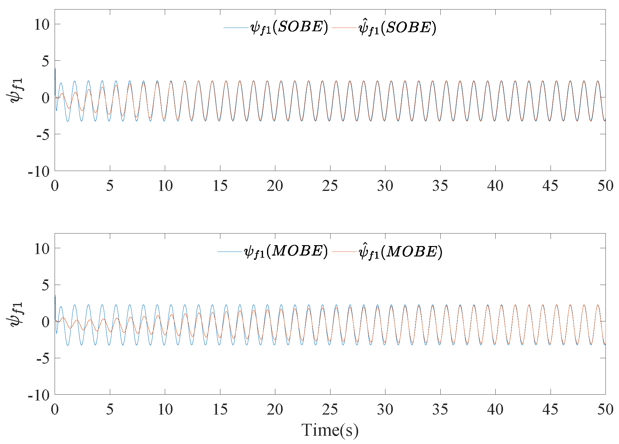
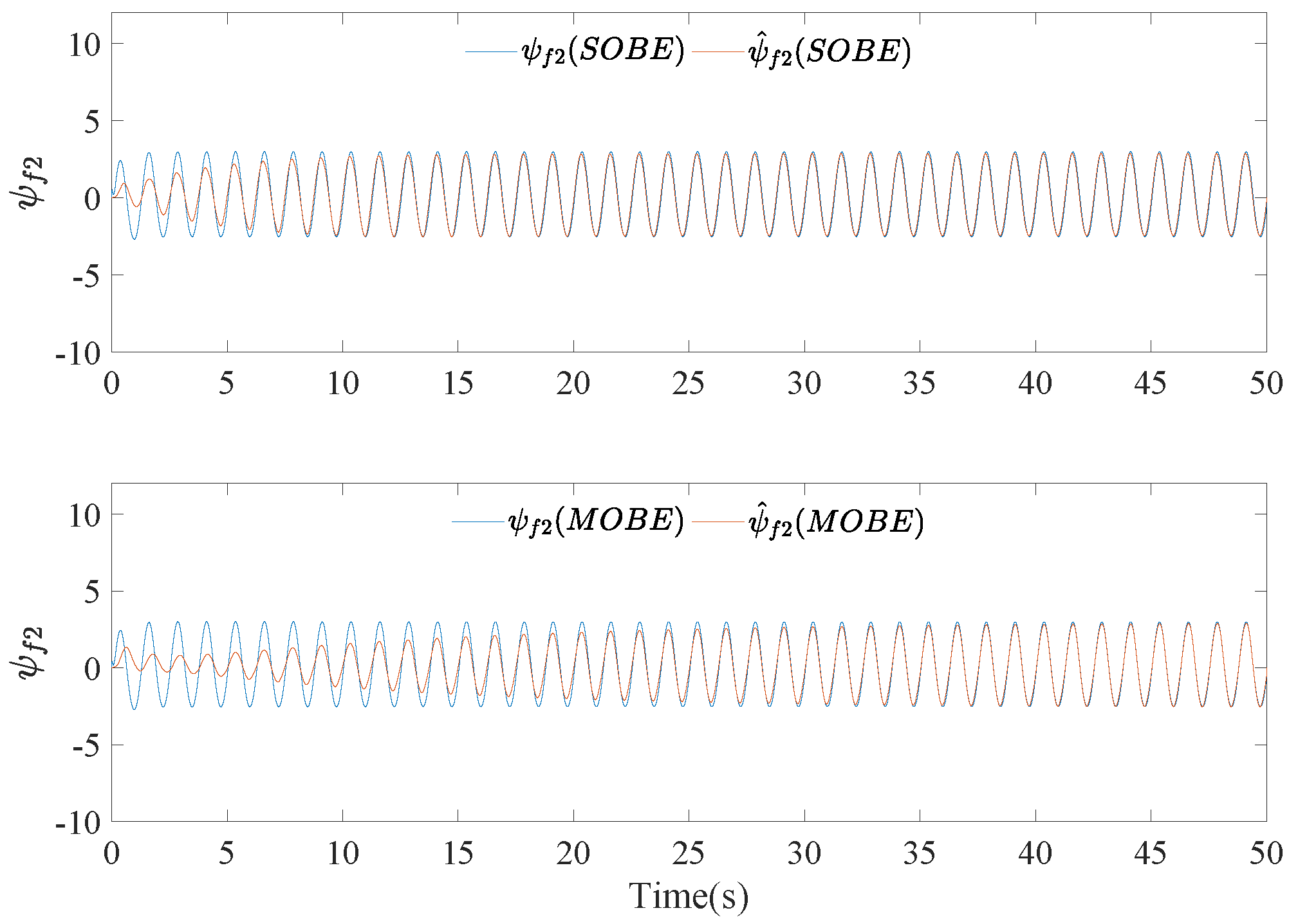
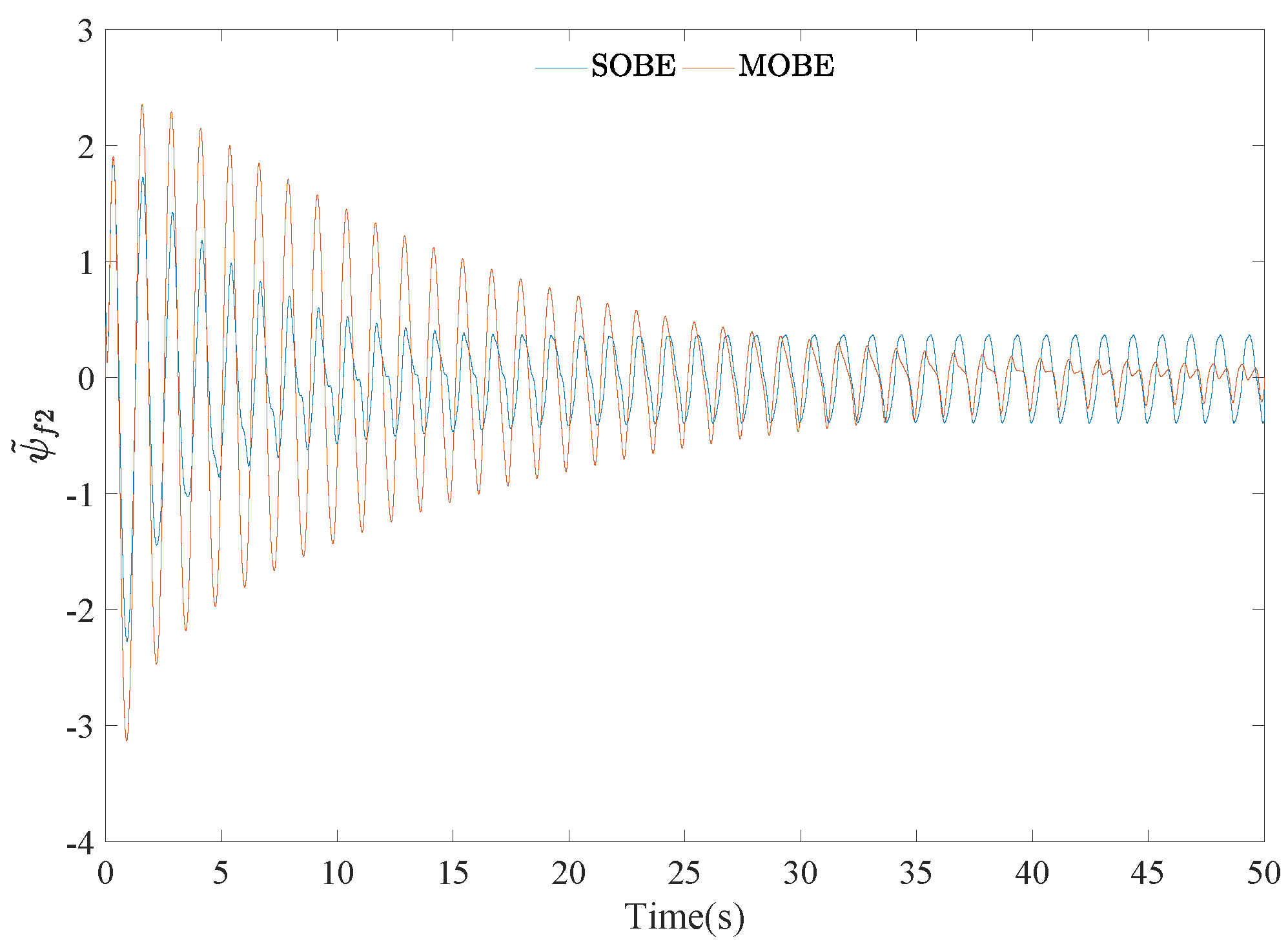
5. Simulation Study
6. Conclusions
Author Contributions
Funding
Institutional Review Board Statement
Informed Consent Statement
Data Availability Statement
Conflicts of Interest
Notations
| q, | angular position and velocity of the joint |
| , | angular position and velocity of the motor |
| the inertia matrix | |
| the centripetal/Coriolis matrix | |
| the friction torque vector | |
| the gravity torque vector | |
| the aggregate disturbance | |
| u, , | the system input vector, control command of the reduced slow subsystem and control command of the reduced fast subsystem |
| K | the stiffness matrix of the spring between the motor and the link |
| J | the inertia matrix of the motors |
| q and | |
| the elastic torque and its derivative with respect to | |
| the equilibrium of | |
| the difference between and | |
| , | the NN weight matrix and regression functions vector |
| N | the number of neurons used in the hidden layer |
| the NN approximation error | |
| the fast time scale | |
| , | the position tracking error and the velocity tracking error |
| the prescribed performance function | |
| the transformed tracking error of | |
| , | the slow sliding manifold and the fast sliding manifold |
| , , | the feedback gain matrices of |
| the feedback gain matrices of | |
| preset compact sets for | |
| the ellipsoid set of | |
| , , , and | filtered results of , , , and |
| the learning gain matrix of the NN weight’s updating law | |
| the filtered output of the NN |
Appendix A. Proof of Theorem 1
References
- Iskandar, M.; van Ommeren, C.; Wu, X.; Albu-Schäffer, A.; Dietrich, A. Model predictive control applied to different time-scale dynamics of flexible joint robots. IEEE Rob. Autom. Lett. 2023, 8, 672–679. [Google Scholar] [CrossRef]
- Zhu, Y.; Liu, J.; Yu, J.; Wang, Q.G. Command filtering-based adaptive fuzzy control of flexible-joint robots with time-varying full-state constraints. IEEE Trans. Circuits Syst. II 2024, 71, 682–686. [Google Scholar] [CrossRef]
- Xu, X.; Xu, S. Event-triggered adaptive neural tracking control of flexible-joint robot systems with input saturation. IEEE Access 2022, 10, 43367–43375. [Google Scholar] [CrossRef]
- Moyrón, J.; Moreno-Valenzuela, J.; Sandoval, J. Nonlinear PI “D”-type control of flexible joint robots by using motor position measurements is globally asymptotically stable. IEEE Trans. Autom. Control 2023, 68, 3648–3655. [Google Scholar] [CrossRef]
- Bu, X.; Qi, Q.; Jiang, B. A simplified finite-time fuzzy neural controller with prescribed performance applied to waverider aircraft. IEEE Trans. Fuzzy Syst. 2022, 30, 2529–2537. [Google Scholar] [CrossRef]
- Li, J.; Ma, K.; Wu, Z. Prescribed performance control for uncertain flexible-joint robotic manipulators driven by DC motors. Int. J. Control Autom. 2021, 19, 1640–1650. [Google Scholar] [CrossRef]
- Liu, L.; Yao, W.H.; Guo, Y. Prescribed performance tracking control of a free-flying flexible-joint space robot with disturbances under input saturation. J. Franklin Inst. 2021, 358, 4571–4601. [Google Scholar] [CrossRef]
- Ma, H.; Zhou, Q.; Li, H.; Lu, R. Adaptive prescribed performance control of a flexible-joint robotic manipulator with dynamic uncertainties. IEEE Trans. Cybern. 2022, 52, 12905–12915. [Google Scholar] [CrossRef]
- Atawnih, A.; Doulgeri, Z.; Rovithakis, G.A. Operational space prescribed tracking performance and compliance in flexible joint robots. ASME J. Dyn. Syst. Meas. Control 2015, 137, 074503. [Google Scholar] [CrossRef]
- Kim, D.; Koh, K.; Cho, G.R.; Zhang, L.Q. A robust impedance controller design for series elastic actuators using the singular perturbation theory. IEEE/ASME Trans. Mechatronics 2020, 25, 164–174. [Google Scholar] [CrossRef]
- Sun, T.; Liang, D.; Song, Y. Singular-perturbation-based nonlinear hybrid control of redundant parallel robot. IEEE Trans. Ind. Electron. 2018, 65, 3326–3336. [Google Scholar] [CrossRef]
- Chen, H.Y.; Dong, X.C.; Yang, Y.; Liu, J.T. Fixed-time tracking control for flexible joint manipulator with prescribed performance constraint. IEEE Access 2021, 9, 99388–99397. [Google Scholar] [CrossRef]
- Guo, K.; Zheng, D.D.; Li, J. Optimal bounded ellipsoid identification with deterministic and bounded learning gains: Design and application to Euler-Lagrange systems. IEEE Trans. Cybern. 2022, 52, 10800–10813. [Google Scholar] [CrossRef]
- Dai, W.; Zhang, L.; Fu, J.; Chai, T.; Ma, X. Dual-rate adaptive optimal tracking control for dense medium separation process using neural networks. IEEE Trans. Neural Netw. Learn. Syst. 2021, 32, 4202–4216. [Google Scholar] [CrossRef]
- Shen, J.; Khodak, M.; Talwalkar, A. Efficient architecture search for diverse tasks. Adv. Neural Inf. Process. Syst. 2022, 35, 16151–16164. [Google Scholar]
- Shen, J.; Yang, L.F. Theoretically principled deep RL acceleration via nearest neighbor function approximation. Proc. AAAI Conf. Artif. Intell. 2021, 35, 9558–9566. [Google Scholar] [CrossRef]
- Shen, J.; Li, L.; Dery, L.M.; Staten, C.; Khodak, M.; Neubig, G.; Talwalkar, A. Cross-modal fine-tuning: Align then refine. In Proceedings of the 40th International Conference on Machine Learning, Honolulu, HI, USA, 23–29 July 2023; Volume 202, pp. 31030–31056. [Google Scholar]
- Ioannou, P.A.; Sun, J. Robust Adaptive Control; Prentice-Hall, Inc.: Upper Saddle River, NJ, USA, 1996. [Google Scholar]
- Liu, Y.J.; Zeng, Q.; Tong, S.; Chen, C.P.; Liu, L. Actuator failure compensation-based adaptive control of active suspension systems with prescribed performance. IEEE Trans. Ind. Electron. 2020, 67, 7044–7053. [Google Scholar] [CrossRef]
- Yang, Q.; Zhang, F.; Sun, Q.; Wang, C. Dynamic learning from adaptive neural control for full-state constrained strict-feedback nonlinear systems. Neural Netw. 2024, 170, 596–609. [Google Scholar] [CrossRef]
- Rout, R.; Cui, R.; Yan, W. Sideslip-compensated guidance-based adaptive neural control of marine surface vessels. IEEE Trans. Cybern. 2022, 52, 2860–2871. [Google Scholar] [CrossRef]
- Pan, Y.; Guo, K.; Bobtsov, A.; Yang, C.; Yu, H. Composite error learning robot control using discontinuous Lyapunov analysis. IEEE Trans. Autom. Control 2023, 69, 1705–1712. [Google Scholar] [CrossRef]
- Patre, P.M.; MacKunis, W.; Johnson, M.; Dixon, W.E. Composite adaptive control for Euler–Lagrange systems with additive disturbances. Automatica 2010, 46, 140–147. [Google Scholar] [CrossRef]
- Zhang, H.; Zhou, X.; Wang, Z.; Yan, H.; Sun, J. Adaptive consensus-based distributed target tracking with dynamic cluster in sensor networks. IEEE Trans. Cybern. 2018, 49, 1580–1591. [Google Scholar] [CrossRef]
- Du, G.L.; Zhang, P.; Liu, X. Markerless human-manipulator interface using leap motion with interval Kalman filter and improved particle filter. IEEE Trans. Ind. Inform. 2016, 12, 694–704. [Google Scholar] [CrossRef]
- de Jesús Rubio, J.; Yu, W.; Ferreyra, A. Neural network training with optimal bounded ellipsoid algorithm. Neural Comput. Appl. 2009, 18, 623–631. [Google Scholar] [CrossRef]
- Ge, X.H.; Han, Q.L.; Wang, Z. A dynamic event-triggered transmission scheme for distributed set-membership estimation over wireless sensor networks. IEEE Trans. Cybern. 2019, 49, 171–183. [Google Scholar] [CrossRef]
- Alexander, P.; Andrey, P.; Vadim, A. Attractive Ellipsoids in Robust Control; Birkhauser: Boston, MA, USA, 2014. [Google Scholar]
- Jorge, D.; Alexander, P. Dynamic sliding mode control design using attracting ellipsoid method. Automatica 2011, 47, 1467–1472. [Google Scholar]
- Cao, L.Y.; Schwartz, H. A directional forgetting algorithm based on the decomposition of the information matrix. Automatica 2000, 36, 1725–1731. [Google Scholar] [CrossRef]
- Ordaz, P.; Poznyak, A. ‘KL’-gain adaptation for attractive ellipsoid method. IMA J. Math. Control. Inf. 2015, 32, 447–469. [Google Scholar] [CrossRef]
- Guo, K.; Zhang, Z.; Zheng, D.D.; Sun, J. Set-membership adaptive robot control with deterministically bounded learning gains. IEEE Trans. Ind. Informat. 2023, 19, 8564–8574. [Google Scholar] [CrossRef]
- Zheng, D.D.; Xie, W.F.; Chai, T. Identification and trajectory tracking control of nonlinear singularly perturbed system. IEEE Trans. Ind. Electron. 2017, 64, 3737–3747. [Google Scholar] [CrossRef]
- Zheng, D.D.; Xie, W.F.; Ren, X.; Na, J. Identification and control for singularly perturbed systems using multitime-scale neural networks. IEEE Trans. Neural Netw. Learn. Syst. 2017, 28, 321–333. [Google Scholar] [CrossRef] [PubMed]
- Sun, W.; Su, S.; Xia, J.; Nguyen, V. Adaptive fuzzy tracking control of flexible-joint robots with full-state constraints. IEEE Trans. Syst. Man Cybern. Syst. 2019, 49, 2201–2209. [Google Scholar] [CrossRef]
- Khalil, H.K. Nonlinear Systems, 3rd ed.; Prentice Hall: Upper Saddle River, NJ, USA, 2002. [Google Scholar]
- Chang, Y.Z.; Daniel, R.W. On the adaptive control of flexible joint robots. Automatica 1992, 28, 969–974. [Google Scholar] [CrossRef]
- Zhang, C.; Na, J.; Wu, J.; Chen, Q.; Huang, Y. Proportional-integral approximation-free control of robotic systems with unknown dynamics. IEEE/ASME Trans. Mechatronics 2021, 26, 2226–2236. [Google Scholar] [CrossRef]
- Bechlioulis, C.P.; Rovithakis, G.A. Robust adaptive control of feedback linearizable MIMO nonlinear systems with prescribed performance. IEEE Trans. Autom. Control 2008, 53, 2090–2099. [Google Scholar] [CrossRef]
- Guo, K.; Pan, Y.; Yu, H. Composite learning robot control with friction compensation: A neural network-based approach. IEEE Trans. Ind. Electron. 2019, 66, 7841–7851. [Google Scholar] [CrossRef]
- Wu, Z.; Guo, J.; Liu, B.; Ni, J.; Bu, X. Composite learning adaptive dynamic surface control for uncertain nonlinear strict-feedback systems with fixed-time parameter estimation under sufficient excitation. Int. J. Robust Nonlinear Control 2021, 31, 5865–5889. [Google Scholar] [CrossRef]

















| Parameter | Value | Unit |
|---|---|---|
| 0.1 | kg | |
| 0.4 | m | |
| 0.02 | kg·m2 | |
| 0.2 | m | |
| 0.01 | kg·m2 | |
| K | 9 | N·m/rad |
Disclaimer/Publisher’s Note: The statements, opinions and data contained in all publications are solely those of the individual author(s) and contributor(s) and not of MDPI and/or the editor(s). MDPI and/or the editor(s) disclaim responsibility for any injury to people or property resulting from any ideas, methods, instructions or products referred to in the content. |
© 2024 by the authors. Licensee MDPI, Basel, Switzerland. This article is an open access article distributed under the terms and conditions of the Creative Commons Attribution (CC BY) license (https://creativecommons.org/licenses/by/4.0/).
Share and Cite
Li, X.; Zheng, D.; Guo, K.; Ren, X. Identification and Control of Flexible Joint Robots Based on a Composite-Learning Optimal Bounded Ellipsoid Algorithm and Prescribe Performance Control Technique. Appl. Sci. 2024, 14, 4030. https://doi.org/10.3390/app14104030
Li X, Zheng D, Guo K, Ren X. Identification and Control of Flexible Joint Robots Based on a Composite-Learning Optimal Bounded Ellipsoid Algorithm and Prescribe Performance Control Technique. Applied Sciences. 2024; 14(10):4030. https://doi.org/10.3390/app14104030
Chicago/Turabian StyleLi, Xianyan, Dongdong Zheng, Kai Guo, and Xuemei Ren. 2024. "Identification and Control of Flexible Joint Robots Based on a Composite-Learning Optimal Bounded Ellipsoid Algorithm and Prescribe Performance Control Technique" Applied Sciences 14, no. 10: 4030. https://doi.org/10.3390/app14104030
APA StyleLi, X., Zheng, D., Guo, K., & Ren, X. (2024). Identification and Control of Flexible Joint Robots Based on a Composite-Learning Optimal Bounded Ellipsoid Algorithm and Prescribe Performance Control Technique. Applied Sciences, 14(10), 4030. https://doi.org/10.3390/app14104030

