Multi-Task Aspect-Based Sentiment: A Hybrid Sampling and Stance Detection Approach
Abstract
:1. Introduction
- The proposed hybrid techniques SMOTE-OSS-CNN deal with solving issues when utilizing an imbalanced dataset.
- This paper developed MMS, which combines a conventional instructor-student structure with a novel meta-weightier to achieve self-training. To reduce the effects of noise, coordinate sub-tasks, and balance class labels in MABSA, the meta-weightier can produce weights specific to each subtask.
- To jointly update the meta-weightier and student models, this paper develops a three-step meta-training technique. By using the suggested technique, MMS will be able to use the student model’s most recent feedback to guide MMS in the direction of a temperature gradient.
- In MABSA challenges, this paper outperforms state-of-the-art methods with complete labeled data while using only 40% of the training data to obtain better performance. The experimental findings show how effective the suggested MMS is.
2. Related Work
3. Proposed Method
3.1. Task Description
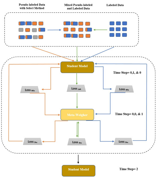
3.2. Self-Train Learning
| Algorithm 1 MMS Self-learning |
| Input: The instructor model, the student model, the meta-weigher; Epoch’s maximum training iterations; the unlabeled data set ; the labeled data set ; Output: A validation set’s predictions. 1: for i = 0 toward Epoch do 2: Setting the instructor model within . 3: Producing pseudo labels for within the prepared instructor model. 4: mingling the and pseudo-labeled toward form . 5: Prepared the student model within . 6: By training the student model and meta-weigher within by using the three-meta-update approach 7: A conclusion based on the set of validation. 8: end for |
3.3. Training Model
| Algorithm 2 The method of 3-step meta-updating for the student model and meta-weigher |
| Input: A prepared the student model, the meta-weigher; the mixed label; the pseudo-labeled dataset ; and the labeled dataset ; Output: Updated parameters in the second time step for the student model and the first time step for the meta-weigher. 1: calculating weighted with . 2: Between time step 0 and the first-time step, updating the student model within . 3: Between time step 0 and the first-time step, update the meta-weigher within , which relies on the student model in the first-time step. 4: Between time step 0 and time step 2, updating the student model within , which relies on the meta-weigher in the first-time step. |
4. Experiments and Results
4.1. Data Collection
4.2. Active Learning Method
4.3. Word Embedding Model
4.4. Lexicon Generation
- (i)
- This section compares the proposed BOW approach with SentWordNet [53] and UMLS [54], VADER [55], and TextBlob lexicon [56], relying on the semantic SA method that suffers from the issue of neglecting a neutral score. This problem is solved by applying the POS (PENN) tagging techniques like (JJ.* |NN.* |RB.* |VB.*) retrieved from www.cs.nyu.edu/grishman/jet/guide/PennPOS.html) (15 May 2023). Next, two lists of the terms were generated, wherein BOW is the first, and four lexicons are fused as the second list that relied on the hypernym’s procedure.
- (ii)
- In the second section, the sentiment-specific word embedding models are proposed to learn the sentimental orientation of features in the existing language models, like GloVe, Word2Vec, FastText, BERT, and TF-IDF, from the global context in a specific domain. Inspired by this intuition, this paper introduces a weak supervised solution to build a domain-specific sentiment lexicon. Specifically, this paper proposes leveraging a small seed of sentiment words with the feature distribution in the embedding space of a specific domain to associate each word with a domain-specific sentiment score. The key idea is to learn a set of cluster embeddings used to build the lexicon by looking at their neighbors in the latent space. To achieve this, this paper introduces an unsupervised neural network trained to minimize the error reconstruction, i.e., analogous to autoencoder, of a given input as a linear combination from the cluster’s matrix. The model does not require labeled data for training purposes, so constructing a sentiment lexicon in the low-resource language is possible. Finally, the obtained results were applied to assign the training dataset relying on the medical documents. The input to the model is a list of sentence indexes in the vocabulary, which is modeled by simply averaging its corresponding features’ vectors. The modeled input dimension is reduced to clusters to compute the relatedness probability to each cluster. The model is trained to approximate the modeled input as a linear combination of cluster embeddings from . An example of the proposed model is shown in Figure 5. The sentiment polarity was estimated via the:
5. Baselines
- IMN-GloVe is a collaborating MTL method for SE, ASC, and ATE, which can be applied at both the token word and document levels. IMN proposed a message transfer system that may change across tasks via shared latent variables. MMS compares their findings utilizing BERT-large for a pre-trained linguistic model for a fair comparison.
- BERT-single, BERT is a primary component of our BERT-based proposed solution. To illustrate the effectiveness of the auxiliary sentence, this paper also compared it with BERT-single, where ACSA is regarded as a text classification problem.
- AEN-BERT is an attentional encoder network for the ATSA task, which models context and target through an attention-based encoder. AEN-BERT is the pre-trained model BERT fine-tuning to tackle ATSA tasks. In our experiment, this paper adopts it to tackle the ACSA task.
- BERT-SPC, a BERT-based approach, introduced concatenating the aspect and sentence in one long text, then fine-tuned BERT to address the ATSA task. In our experiment, this paper adopts it to tackle the ACSA task.
- LCF-BERT proposed a local context focus mechanism that used the context features mask and context dynamic weight layer to capture the local aspect context. An addition layer based on BERT is applied to exploit the connection between the local and global context.
- BERT-Pair, a BERT-based fine-tuning model that considered the aspect category manually annotated as an auxiliary sentence. It introduced different variants to convert ACSA to sentence-pair classification tasks, such as question answering and natural language inference.
6. Evaluation Metrics
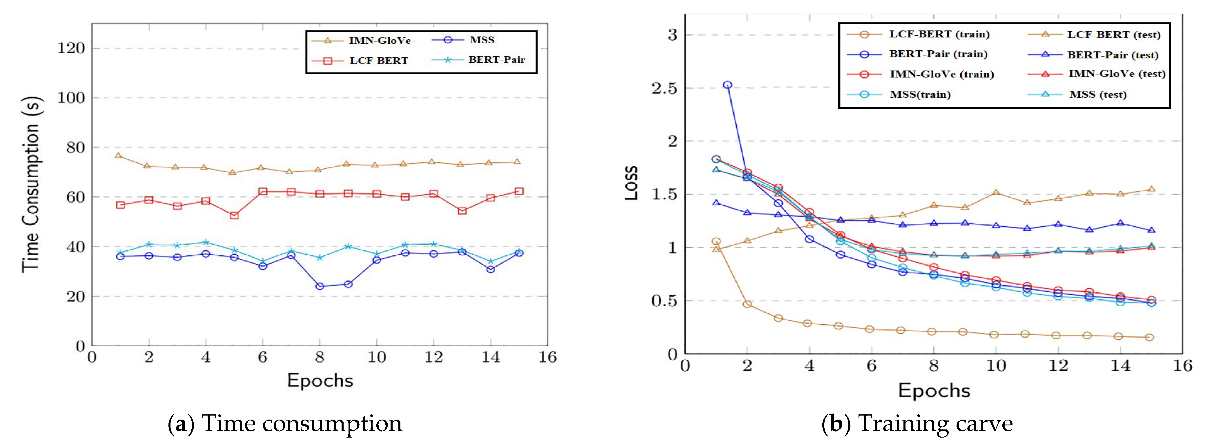
7. Results
8. Conclusions
Funding
Institutional Review Board Statement
Informed Consent Statement
Data Availability Statement
Acknowledgments
Conflicts of Interest
References
- Waheeb, S.A.; Ahmed Khan, N.; Chen, B.; Shang, X. Machine learning based sentiment text classification for evaluating treatment quality of discharge summary. Information 2020, 11, 281. [Google Scholar] [CrossRef]
- Waheeb, S.A.; Khan, N.A.; Shang, X. An efficient sentiment analysis based deep learning classification model to evaluate treatment quality. Malays. J. Comput. Sci. 2022, 35, 1–20. [Google Scholar] [CrossRef]
- Li, Y.; Lin, Y.; Lin, Y.; Chang, L.; Zhang, H. A span-sharing joint extraction framework for harvesting aspect sentiment triplets. Knowl. Based Syst. 2022, 242, 108366. [Google Scholar] [CrossRef]
- Chen, F.; Yang, Z.; Huang, Y. A multi-task learning framework for end-to-end aspect sentiment triplet extraction. Neurocomputing 2022, 479, 12–21. [Google Scholar] [CrossRef]
- Wei, S.; Zhu, G.; Sun, Z.; Li, X.; Weng, T. GP-GCN: Global features of orthogonal projection and local dependency fused graph convolutional networks for aspect-level sentiment classification. Connect. Sci. 2022, 34, 1785–1806. [Google Scholar] [CrossRef]
- Nagra, A.A.; Alissa, K.; Ghazal, T.; Saigeeta, S.; Asif, M.M.; Fawad, M. Deep Sentiments Analysis for Roman Urdu Dataset Using Faster Recurrent Convolutional Neural Network Model. Appl. Artif. Intell. 2022, 36, 2123094. [Google Scholar] [CrossRef]
- Yang, L.; Na, J.-C.; Yu, J. Cross-Modal Multitask Transformer for End-to-End Multimodal Aspect-Based Sentiment Analysis. Inf. Process. Manag. 2022, 59, 103038. [Google Scholar] [CrossRef]
- Blanco, A.; Remmer, S.; Pérez, A. Implementation of specialised attention mechanisms: ICD-10 classification of Gastrointestinal discharge summaries in English, Spanish and Swedish. J. Biomed. Inform. 2022, 130, 104050. [Google Scholar] [CrossRef]
- Trigueros, O.; Blanco, A.; Lebeña, N.; Casillas, A.; Pérez, A. Explainable ICD multi-label classification of EHRs in Spanish with convolutional attention. Int. J. Med. Inform. 2022, 157, 104615. [Google Scholar] [CrossRef]
- Wu, Y.; Zeng, M.; Yu, Y.; Li, Y.; Li, M. A Pseudo Label-wise Attention Network for Automatic ICD Coding. IEEE J. Biomed. Health Inform. 2022, 26, 5201–5212. [Google Scholar] [CrossRef]
- Aviles-Rivero, A.; Sellars, P.; Schönlieb, C.-B.; Papadakis, N. GraphXCOVID: Explainable deep graph diffusion pseudo-labelling for identifying COVID-19 on chest X-rays. Pattern Recognit. 2022, 122, 108274. [Google Scholar] [CrossRef] [PubMed]
- Momma, M.; Dong, C.; Liu, J. A multi-objective/multi-task learning framework induced by Pareto stationarity. In Proceedings of the International Conference on Machine Learning, Baltimore, MD, USA, 17–23 July 2022; pp. 15895–15907. [Google Scholar]
- Yu, W.; Xu, H. Co-attentive multi-task convolutional neural network for facial expression recognition. Pattern Recognit. 2022, 123, 108401. [Google Scholar] [CrossRef]
- Zhang, Z.; Yu, W.; Yu, M.; Guo, Z.; Jiang, M. A survey of multi-task learning in natural language processing: Regarding task relatedness and training methods. arXiv 2022, arXiv:2204.03508. [Google Scholar]
- Han, S.; Mao, R.; Cambria, E. Hierarchical Attention Network for Explainable Depression Detection on Twitter Aided by Metaphor Concept Mappings. arXiv 2022, arXiv:2209.07494. [Google Scholar]
- Mao, R.; Li, X. Bridging towers of multi-task learning with a gating mechanism for aspect-based sentiment analysis and sequential metaphor identification. In Proceedings of the AAAI Conference on Artificial Intelligence, Washington, DC, USA, 7–14 February 2023; pp. 13534–13542. [Google Scholar]
- Wang, X.; Xu, G.; Zhang, Z. End-to-end aspect-based sentiment analysis with hierarchical multi-task learning. Neurocomputing 2021, 455, 178–188. [Google Scholar] [CrossRef]
- Chen, Z.; Qian, T. Relation-aware collaborative learning for unified aspect-based sentiment analysis. In Proceedings of the 58th Annual Meeting of the Association for Computational Linguistics, Online, 5–10 July 2020; pp. 3685–3694. [Google Scholar]
- Chen, S.; Shi, X.; Li, J.; Wu, S.; Fei, H.; Li, F.; Ji, D. Joint Alignment of Multi-Task Feature and Label Spaces for Emotion Cause Pair Extraction. arXiv 2022, arXiv:2209.04112. [Google Scholar]
- Kim, M.; Kang, P. Text Embedding Augmentation Based on Retraining with Pseudo-Labeled Adversarial Embedding. IEEE Access 2022, 10, 8363–8376. [Google Scholar] [CrossRef]
- Xu, L.; Lu, X.; Yuan, C. Few-Shot Learning for Chinese NLP Tasks. In Proceedings of the CCF International Conference on Natural Language Processing and Chinese Computing, Guilin, China, 24–25 September 2022; pp. 412–421. [Google Scholar]
- Chen, Y.; Zhang, Y.; Zhang, C. Revisiting Self-Training for Few-Shot Learning of Language Model. arXiv 2021, arXiv:2110.01256v1. [Google Scholar]
- Du, J.; Grave, E.; Gunel, B.; Chaudhary, V. Self-training improves pre-training for natural language understanding. arXiv 2020, arXiv:2010.02194. [Google Scholar]
- Wang, Y.; Mukherjee, S.; Chu, H. Meta self-training for few-shot neural sequence labeling. In Proceedings of the 27th ACM SIGKDD Conference on Knowledge Discovery & Data Mining, New York, NY, USA, 14–18 August 2021; pp. 1737–1747. [Google Scholar]
- Jayasinghe, K. Bootstrapping Sinhala Named Entities for NLP Applications. Ph.D Thesis, University of Colombo School of Computing, Sri Lanka, 2021. Available online: https://dl.ucsc.cmb.ac.lk/jspui/handle/123456789/4195 (accessed on 28 May 2023).
- Jin, Q.; Yuan, M.; Wang, H.; Wang, M.; Song, Z. Deep active learning models for imbalanced image classification. Knowl. Based Syst. 2022, 257, 109817. [Google Scholar] [CrossRef]
- Ahmed, U.; Lin, J.C.-W.; Srivastava, G. A resource allocation deep active learning based on load balancer for network intrusion detection in SDN sensors. Comput. Commun. 2022, 184, 56–63. [Google Scholar] [CrossRef]
- Alshemali, B.; Kalita, J. Improving the reliability of deep neural networks in NLP: A review. Knowl. Based Syst. 2020, 191, 105210. [Google Scholar] [CrossRef]
- Joshi, V.; Ghongade, R.; Joshi, A.; Kulkarni, R. Deep BiLSTM neural network model for emotion detection using cross-dataset approach. Biomed. Signal Process. Control 2022, 73, 103407. [Google Scholar] [CrossRef]
- Khan, N.S.; Ghani, M.S. A survey of deep learning based models for human activity recognition. Wirel. Pers. Commun. 2021, 120, 1593–1635. [Google Scholar] [CrossRef]
- Ke, J.; Wang, L.; Ye, A. Combating Multi-level Adversarial Text with Pruning based Adversarial Training. In Proceedings of the 2022 International Joint Conference on Neural Networks (IJCNN), Padua, Italy, 18–23 July 2022; pp. 1–8. [Google Scholar]
- Mokhosi, R.; Shikali, C.; Qin, Z.; Liu, Q.J.C.S. Maximal activation weighted memory for aspect based sentiment analysis. Comput. Speech Lang. 2022, 76, 101402. [Google Scholar] [CrossRef]
- Miao, S.; Lu, M. Targeted Aspect-Based Sentiment Analysis by Utilizing Dynamic Aspect Representation. In Proceedings of the International Conference on Artificial Neural Networks, Bristol, UK, 6–9 September 2022; pp. 647–659. [Google Scholar]
- He, K.; Mao, R.; Gong, T. Meta-based self-training and re-weighting for aspect-based sentiment analysis. IEEE Trans. Affect. Comput. 2022, 47, 1–13. [Google Scholar] [CrossRef]
- Zhang, W.; Li, X.; Deng, Y.; Bing, L.; Lam, W. A Survey on Aspect-Based Sentiment Analysis: Tasks, Methods, and Challenges. arXiv 2022, arXiv:2203.01054. [Google Scholar] [CrossRef]
- Liu, W.; Hu, J.; Du, S.; Chen, H.; Teng, F. A Method of Sharing Sentence Vectors for Opinion Triplet Extraction. Neural Process. Lett. 2022, 55, 1–22. [Google Scholar] [CrossRef]
- Liang, B.; Su, H.; Gui, L.; Cambria, E.; Xu, R. Aspect-based sentiment analysis via affective knowledge enhanced graph convolutional networks. Knowl. Based Syst. 2022, 235, 107643. [Google Scholar] [CrossRef]
- Zhou, T.; Law, K.M. Semantic Relatedness Enhanced Graph Network for aspect category sentiment analysis. Expert Syst. Appl. 2022, 195, 116560. [Google Scholar] [CrossRef]
- Zhang, Y.; Peng, T.; Han, R.; Han, J.; Yue, L.; Liu, L. Synchronously tracking entities and relations in a syntax-aware parallel architecture for aspect-opinion pair extraction. Appl. Intell. 2022, 13, 15210–15225. [Google Scholar] [CrossRef]
- Ge, L.; Li, J. MTHGAT: A Neural Multi-task Model for Aspect Category Detection and Aspect Term Sentiment Analysis on Restaurant Reviews. In Proceedings of the International Conference on Artificial Neural Networks, Munich, Germany, 17–19 September 2019; pp. 270–281. [Google Scholar]
- Zhao, Z.; Tang, M.; Tang, W. Graph convolutional network with multiple weight mechanisms for aspect-based sentiment analysis. Neurocomputing 2022, 23, 157. [Google Scholar] [CrossRef]
- Li, G.; Kong, B.; Li, J.; Fan, H.; Zhang, J.; An, Y.; Yang, Z.; Danz, S.; Fan, J. A BERT-based Text Sentiment Classification Algorithm through Web Data. In Proceedings of the 2022 International Conference on Computer Engineering and Artificial Intelligence (ICCEAI), Shijiazhuang, China, 22–24 July 2022; pp. 477–481. [Google Scholar]
- El-Hasnony, I.; Elzeki, O.; Alshehri, A. Multi-label active learning-based machine learning model for heart disease prediction. Sensors 2022, 22, 1184. [Google Scholar] [CrossRef] [PubMed]
- Zhuang, Q.; Dai, Z.; Wu, J. Deep Active Learning Framework for Lymph Node Metastasis Prediction in Medical Support System. Comput. Intell. Neurosci. 2022, 2022, 4601696. [Google Scholar] [CrossRef] [PubMed]
- Peng, X.; Jin, X.; Duan, S.; Sankavaram, C. Active Learning Assisted Semi-Supervised Learning for Fault Detection and Diagnostics with Imbalanced Dataset. IISE Trans. 2022, 55, 672–686. [Google Scholar] [CrossRef]
- Liu, Y.; Ott, M.; Goyal, N.; Du, J.; Joshi, M.; Chen, D.; Levy, O.; Lewis, M.; Zettlemoyer, L.; Stoyanov, V.J.A.P.A. Roberta: A robustly optimized bert pretraining approach. arXiv 2019, arXiv:1907.11692. [Google Scholar]
- Sanh, V.; Debut, L.; Chaumond, J.; Wolf, T.J.A.P.A. DistilBERT, a distilled version of BERT: Smaller, faster, cheaper and lighter. arXiv 2019, arXiv:1910.01108. [Google Scholar]
- Cañete, J.; Chaperon, G.; Fuentes, R.; Ho, J.H.; Kang, H.; Pérez, J. Spanish pre-trained bert model and evaluation data. arXiv 2020, arXiv:2308.02976. [Google Scholar]
- Palani, S.; Rajagopal, P.; Pancholi, S.J.A.P.A. T-BERT--Model for Sentiment Analysis of Micro-blogs Integrating Topic Model and BERT. arXiv 2021, arXiv:2106.01097. [Google Scholar]
- Lee, J.-S.; Hsiang, J.J.A.P.A. Patentbert: Patent classification with fine-tuning a pre-trained bert model. arXiv 2019, arXiv:1906.02124. [Google Scholar]
- Guo, Y.; Zhou, D.; Li, W.; Cao, J. Deep multi-scale Gaussian residual networks for contextual-aware translation initiation site recognition. Expert Syst. Appl. 2022, 207, 118004. [Google Scholar] [CrossRef]
- Pires, T.; Schlinger, E.; Garrette, D.J.A.P.A. How multilingual is multilingual bert? arXiv 2019, arXiv:1906.01502. [Google Scholar]
- Mounica, B.; Lavanya, K. Feature selection method on twitter dataset with part-of-speech (PoS) pattern applied to traffic analysis. Int. J. Syst. Assur. Eng. Manag. 2022. [Google Scholar] [CrossRef]
- Chanda, A.K.; Bai, T.; Yang, Z.; Vucetic, S. Improving medical term embeddings using UMLS Metathesaurus. BMC Med. Inform. Decis. Mak. 2022, 22, 114. [Google Scholar] [CrossRef] [PubMed]
- Tan, J.S.; Chia, W.C. Research Output to Industry Use: A Readiness Study for Topic Modelling with Sentiment Analysis. In Proceedings of the 8th International Conference on Computational Science and Technology, Labuan, Malaysia, 28–29 August 2021; pp. 13–25. [Google Scholar]
- Gupta, I.; Madan, T.K.; Singh, S.; Singh, A.K. HiSA-SMFM: Historical and Sentiment Analysis based Stock Market Forecasting Model. arXiv 2022, arXiv:2203.08143. [Google Scholar]
- Zaghir, J.; Rodrigues, J.F., Jr.; Goeuriot, L.; Amer-Yahia, S. Real-world Patient Trajectory Prediction from Clinical Notes Using Artificial Neural Networks and UMLS-Based Extraction of Concepts. J. Healthc. Inform. Res. 2021, 4, 474–496. [Google Scholar] [CrossRef] [PubMed]
- Bravo-Marquez, F.; Khanchandani, A.; Pfahringer, B.J. Incremental Word Vectors for Time-Evolving Sentiment Lexicon Induction. Cogn. Comput. 2021, 14, 425–441. [Google Scholar] [CrossRef]
- Rupapara, V.; Rustam, F.; Shahzad, H.F.; Mehmood, A.; Ashraf, I.; Choi, G.S.J.I.A. Impact of SMOTE on Imbalanced Text Features for Toxic Comments Classification using RVVC Model. IEEE Access 2021, 9, 78621–78634. [Google Scholar] [CrossRef]
- Li, J.; Sun, H.; Li, J. Beyond confusion matrix: Learning from multiple annotators with awareness of instance features. Mach. Learn. 2022, 112, 1053–1075. [Google Scholar] [CrossRef]
- Theissler, A.; Thomas, M.; Burch, M.; Gerschner, F. ConfusionVis: Comparative evaluation and selection of multi-class classifiers based on confusion matrices. Knowl. Based Syst. 2022, 247, 108651. [Google Scholar] [CrossRef]










| Diseases | Absent | Present | Unmentioned | Questionable | Total |
|---|---|---|---|---|---|
| Asthma | 1 | 75 | 529 | 1 | 606 |
| CHF | 7 | 239 | 344 | 0 | 589 |
| CAD | 16 | 331 | 240 | 4 | 591 |
| Obesity | 3 | 245 | 354 | 4 | 606 |
| Diabetes | 12 | 396 | 181 | 6 | 595 |
| Depression | 0 | 90 | 519 | 0 | 609 |
| GERD | 1 | 98 | 500 | 3 | 602 |
| Gallstones | 3 | 93 | 513 | 0 | 609 |
| Hypercholesterolemia | 9 | 246 | 343 | 1 | 599 |
| Gout | 0 | 73 | 534 | 2 | 609 |
| Hypertriglyceridemia | 0 | 15 | 594 | 0 | 609 |
| Hypertension | 10 | 441 | 149 | 0 | 600 |
| OSA | 0 | 88 | 510 | 7 | 604 |
| OA | 0 | 89 | 513 | 0 | 602 |
| Venous Insufficiency | 0 | 14 | 592 | 0 | 606 |
| PVD | 0 | 83 | 525 | 0 | 608 |
| Sum | 62 | 2616 | 6940 | 28 | 9644 |
| Diseases | Very Positive | Positive | Neutral | Negative | Very Negative | Total |
|---|---|---|---|---|---|---|
| Obesity | 141 | 215 | 180 | 41 | 29 | 606 |
| Asthma | 213 | 150 | 211 | 21 | 11 | 606 |
| Dataset | Statistics | Training | Validation | Testing |
|---|---|---|---|---|
| Obesity | No. Sentence | 2155 | 510 | 990 |
| No. Token | 31,120 | 7240 | 10,560 | |
| Aspect labels (%) | 10.93 | 9.99 | 13.20 | |
| Opinion labels (%) | 9.02 | 7.29 | 8.90 | |
| The ratio of tags (SE) (%) | 7/2/77 | 7/3/79 | 8/3/77 | |
| The ratio of tags (ATE) (%) | 9/2/89 | 9/2/11 | 8/2/88 | |
| The ratio of tags (ASC) (%) | 8/3/3/4/6 | 8/3/3/4/4 | 9/3/3/4/5 | |
| Asthma | No. Sentence | 1160 | 220 | 870 |
| No. Token | 3090 | 8210 | 9620 | |
| Aspect labels (%) | 9.89 | 10.01 | 12.41 | |
| Opinion labels (%) | 9.15 | 7.40 | 8.97 | |
| The ratio of tags (SE) (%) | 9/3/80 | 9/4/90 | 9/4/79 | |
| The ratio of tags (ATE) (%) | 8/3/90 | 9/3/12 | 9/2/80 | |
| The ratio of tags (ASC) (%) | 8/3/3/4/6 | 8/3/3/4/7 | 9/3/3/4/6 |
| Hyperparameter | Value |
|---|---|
| Maximum sequence length | 128 |
| Parameters | 110 M |
| Hidden size | 768 |
| Learning rate | 0.00003 |
| Epochs | 8 |
| Gradient accumulation steps | 16 |
| Attention heads | 12 |
| Hidden layers | 12 |
| Model | Asthma | Obesity | ||||||
|---|---|---|---|---|---|---|---|---|
| SE-F1 | ASC-F1 | ATE-F1 | ABSA-F1 | SE-F1 | ASC-F1 | ATE-F1 | ABSA-F1 | |
| IMN-GloVe | 82.0% | 84.0% | 87.3% | 88.67% | 86.9% | 88.56% | 85.5% | 93.3% |
| BERT-Single | 85.14% | 87.25% | 90.14% | 90.07% | 86.87% | 87.98% | 86,68% | 92.06% |
| AEN-BERT | 88.3% | 89.9% | 93.83% | 80.74% | 88.08% | 90.0% | 92.28% | 93.93% |
| BERT-SPC | 89.9% | 91.6% | 93.3% | 90.11% | 88.83% | 88.55% | 92.51% | 93.89% |
| LCF-BERT | 88.7% | 91.1% | 92.8% | 91.72% | 89.3% | 89.86% | 93.6% | 94.4% |
| BERT-Pair | 91.37% | 91.1% | 92.67% | 93.60% | 88.7% | 86.82% | 92.1% | 92.4% |
| MMS (our) | 87.85% | 89.05% | 95.94% | 96.4% | 94.45% | 86.64% | 89.35% | 93.0% |
| MMS (10%) | 87.92% | 84.61% | 85.26% | 92.74% | 91.04% | 86.24% | 88.58% | 86.4% |
| MMS (20%) | 91.82% | 89.25% | 89.87% | 93.76% | 92.78% | 89.07% | 90.89% | 89.05% |
| MMS (40%) | 92.07% | 90.86% | 91.25% | 93.39% | 92.78% | 90.24% | 91.54% | 89.35% |
| MMS (70%) | 93.78% | 91.37% | 91.77% | 90.07% | 93.04% | 89.95% | 91.47% | 93.60% |
| MMS (100%) | 91.37% | 91.77% | 86.82% | 96.90% | 93.72% | 93.78% | 93.43% | 94.76% |
Disclaimer/Publisher’s Note: The statements, opinions and data contained in all publications are solely those of the individual author(s) and contributor(s) and not of MDPI and/or the editor(s). MDPI and/or the editor(s) disclaim responsibility for any injury to people or property resulting from any ideas, methods, instructions or products referred to in the content. |
© 2023 by the author. Licensee MDPI, Basel, Switzerland. This article is an open access article distributed under the terms and conditions of the Creative Commons Attribution (CC BY) license (https://creativecommons.org/licenses/by/4.0/).
Share and Cite
Waheeb, S.A. Multi-Task Aspect-Based Sentiment: A Hybrid Sampling and Stance Detection Approach. Appl. Sci. 2024, 14, 300. https://doi.org/10.3390/app14010300
Waheeb SA. Multi-Task Aspect-Based Sentiment: A Hybrid Sampling and Stance Detection Approach. Applied Sciences. 2024; 14(1):300. https://doi.org/10.3390/app14010300
Chicago/Turabian StyleWaheeb, Samer Abdulateef. 2024. "Multi-Task Aspect-Based Sentiment: A Hybrid Sampling and Stance Detection Approach" Applied Sciences 14, no. 1: 300. https://doi.org/10.3390/app14010300
APA StyleWaheeb, S. A. (2024). Multi-Task Aspect-Based Sentiment: A Hybrid Sampling and Stance Detection Approach. Applied Sciences, 14(1), 300. https://doi.org/10.3390/app14010300

