Photo-Stimulated Luminescence Approach for Effective Identification of Irradiated Fruit
Abstract
1. Introduction
2. Materials and Methods
2.1. Samples and Participants
2.2. PSL Method
3. Results and Discussion
3.1. Preliminary Tests
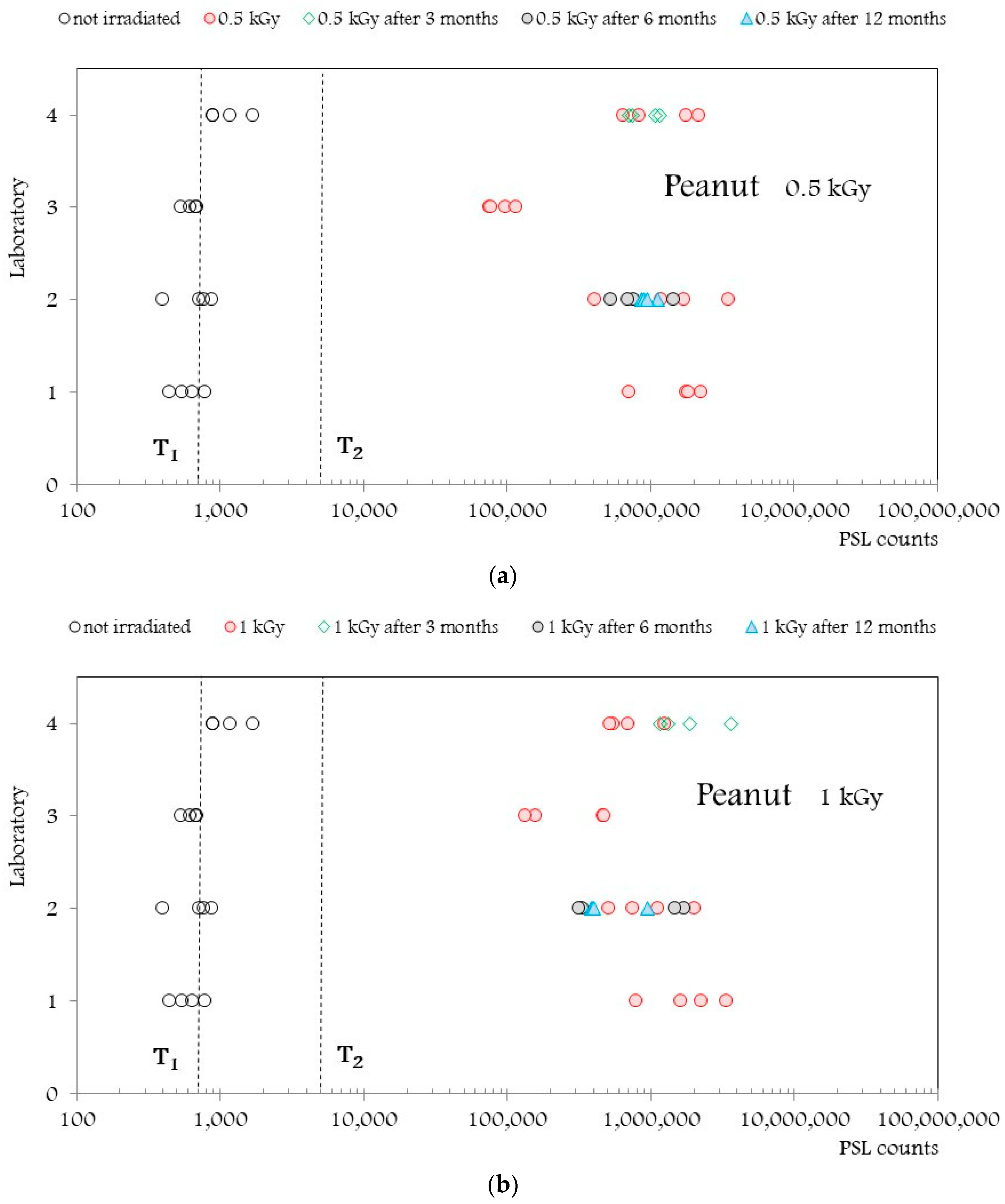
3.2. Inter-Laboratory Validation
4. Conclusions
Author Contributions
Funding
Institutional Review Board Statement
Informed Consent Statement
Data Availability Statement
Acknowledgments
Conflicts of Interest
References
- World Health Organization. High Dose Irradiation: Wholesomeness of Food Irradiated with Doses above 10 kGy; WHO Technical Report Series 890; World Health Organization: Geneva, Switzerland, 1999.
- FAO/WHO. Codex Alimentarius Commission, Joint FAO/WHO Food Standards Programme. In Proceedings of the Codex Committee on Methods of Analysis and Sampling, Budapest, Hungary, 22 November 2002. [Google Scholar]
- FAO/WHO. Fruit and Vegetable for Health; Report of a Joint FAO/WHO Workshop, Kobe, Japan, 2004; World Health Organization and Food and Agriculture Organization of the United Nations: Kobe, Japan, 2005.
- Piniero, M.; Diaz, L.B. Improving the safety and quality of fresh fruit and vegetables (FFV): A practical approach. Acta Hortic. 2007, 741, 19–24. [Google Scholar] [CrossRef]
- Kume, T.; Furuta, M.; Todoriki, S.; Uenoyama, N.; Kobayashi, Y. Status of food irradiation in the world. Radiat. Phys. Chem. 2009, 78, 222–226. [Google Scholar] [CrossRef]
- Kume, T.; Todoriki, S. Food irradiation in Asia, the European Union, and the United States: A status update. Radioisotopes 2013, 62, 291–299. [Google Scholar] [CrossRef]
- Roberts, P.B. Food irradiation is safe: Half a century of studies. Radiat. Phys. Chem. 2014, 105, 78–82. [Google Scholar] [CrossRef]
- Ihsanullah, I.; Rashid, A. Current activities in food irradiation as a sanitary and phytosanitary treatment in the Asia and Pacific Region and a comparison with advanced countries. Food Control 2017, 72, 345–359. [Google Scholar] [CrossRef]
- Directive 1999/2/EC of the European Parliament and of the Council of 22 February 1999 on the approximation of the laws of the member states concerning foods and food ingredients treated with ionizing radiation. Off. J. Eur. Communities 1999, L 66, 16–22.
- Directive 1999/3/EC of the European Parliament and of the Council of 22 February 1999 on the establishment of a Community list of the laws of foods and food ingredients treated with ionizing radiation. Off. J. Eur. Communities 1999, L 66, 24–25.
- EN 1788; Thermoluminescence Detection of Irradiated Food from Which Silicate Minerals Can Be Isolated. European Committee for Standardization: Brussels, Belgium, 2001.
- EN 1787; Detection of Irradiated Food Containing Cellulose by ESR Spectroscopy. European Committee for Standardisation: Brussels, Belgium, 2000.
- EN 13708; Detection of Irradiated Food Containing Crystalline Sugar by ESR Spectroscopy. European Committee for Standardisation: Brussels, Belgium, 2002.
- EN 1785; Detection of Irradiated Food Containing Fat. Gas Chromatographic Analysis of 2-Alkylcyclobutanones. European Committee for Standardisation: Brussels, Belgium, 1997.
- EN 13784; DNA Comet Assay for the Detection of Irradiated Foodstuffs. European Committee for Standardisation: Brussels, Belgium, 2002.
- EN 13751; Detection of Irradiated Food Using Photostimulated Luminescence. European Committee for Standardization: Brussels, Belgium, 2009.
- Sanderson, D.C.W. Photostimulated luminescence (PSL): A new approach to identifying irradiated food. In Potential New Methods of Detection of Irradiated Food; Raffi, J.J., Belliardo, J.J., Eds.; Report Number 13332; Commission of the European Communities: Brussels, Belgium, 1991; p. 159. [Google Scholar]
- Sanderson, D.C.W.; Carmichael, L.A.; Naylor, J.D. Recent advances in thermoluminescence and photostimulated luminescencedetection methods for irradiated foods. In Detection Methods for Irradiated Foods; McMurray, C.H., Stewart, E.M., Gray, R., Pearce, J., Eds.; The Royal Society of Chemistry: Cambridge, UK, 1996; pp. 124–138. [Google Scholar]
- Sanderson, D.C.W.; Carmichael, L.A.; Fisk, S. Photostimulated Luminescence Detection of Irradiated Herbs, Spices and Seasonings: An International Collaborative Trial. AOAC Int. 2003, 5, 990–997. [Google Scholar] [CrossRef]
- Bortolin, E.; Carratù, B.; Chiaravalle, A.E.; Dischiavi, M.T.; Gargiulo, R.; Mangiacotti, M.; Marchesani, G.; Quattrini, M.C.; Tomaiuolo, M.; Boniglia, C. Detection of irradiated plant foods by photo- and thermally-stimulated Luminescence. Food Control 2019, 105, 113–122. [Google Scholar] [CrossRef]
- Chung, H.W.; Delincé, H.; Han, S.B.; Hong, J.H.; Kim, H.Y.; Kim, M.C.; Byun, M.W.; Kwon, J.H. Trials to identify irradiated chestnut (Castanea bungena) with different analytical techniques. Radiat. Phys. Chem. 2004, 71, 179–182. [Google Scholar] [CrossRef]
- Mangiacotti, M.; Chiaravalle, A.E.; Marchesani, G.; De Sio, A.; Boniglia, C.; Bortolin, E.; Onori, S. Detection of irradiated chestnuts: Preliminary study using three analytical techniques. Radiat. Phys. Chem. 2009, 78, 695–698. [Google Scholar] [CrossRef]
- Shahbaz, H.M.; Akram, K.; Ahn, J.J.; Kwon, J.H. Investigation of Radiation-Induced Free Radicals and Luminescence Properties in Fresh Pomegranate Fruits. J. Agric. Food Chem. 2013, 61, 4019–4025. [Google Scholar] [CrossRef] [PubMed]
- Jo, Y.; Ameer, K.; Chung, N.; Kang, Y.H.; Ahn, D.U.; Kwon, J.H. E-sensing, calibrated PSL, and improved ESR techniques discriminate irradiated fresh grapefruits and lemons. J. Food Sci. Technol. 2020, 57, 364–374. [Google Scholar] [CrossRef] [PubMed]
- Jo, Y.; Sanyal, B.; Chung, N.; Lee, H.G.; Park, Y.; Park, H.J.; Kwon, J.H. Calibrated photostimulated luminescence is an effective approach to identify irradiated orange during storage. Radiat. Phys. Chem. 2015, 111, 81–86. [Google Scholar] [CrossRef]
- Jo, Y.; Kyung, H.K.; Park, H.J.; Kwon, J.H. Irradiated fruits can be identified by detecting radiation-induced markers with luminescence and ESR analyses for different trading fruits. Appl. Biol. Chem. 2016, 59, 59–65. [Google Scholar] [CrossRef]
- Jo, D.; Kwon, J.H. Detection of radiation-induced markers from parts of irradiated kiwifruits. Food Control 2006, 17, 617–621. [Google Scholar] [CrossRef]
- Jo, D.; Kim, B.K.; Kausar, T.; Kwon, J.H. Study of Photostimulated- and Thermo-luminescence Characteristics for Detecting Irradiated Kiwifruit. J. Agric. Food Chem. 2008, 56, 1180–1183. [Google Scholar] [CrossRef] [PubMed]









| Total Count | Response | Classification |
|---|---|---|
| total counts < T1 | negative | not irradiated |
| T1 < total counts < T2 | intermediate | indeterminate |
| total counts > T2 | positive | probably irradiated |
| (a) | |||
| Fruit | 0 kGy | 0.5 kGy | 1 kGy |
| kiwi | 396 ± 54 | 35,483 ± 195 | 15,121 ± 133 |
| 357 ± 54 | 55,697 ± 241 | 30,808 ± 182 | |
| lemon | 397 ± 54 | 3005 ± 74 | 3691 ± 79 |
| 435 ± 55 | 2473 ± 71 | 2221 ± 69 | |
| mango peel | 258 ± 53 | 7378 ± 100 | 17,802 ± 143 |
| 489 ± 55 | 7918 ± 102 | 82,463 ± 292 | |
| mango stem | 269,364 ± 521 | ||
| orange | 478 ± 55 | 31,536 ± 185 | 25,453 ± 167 |
| 491 ± 55 | 27,947 ± 175 | 75,104 ± 288 | |
| papaya | 249 ± 53 | 1327 ± 62 | 4265 ± 83 |
| 232 ± 53 | 4532 ± 84 | 3261 ± 76 | |
| pineapple peel | 370 ± 54 | 780 ± 58 | 712 ± 57 |
| 286 ± 53 | 754 ± 57 | 558 ± 56 | |
| pineapple leave | 401 ± 54 | 545 ± 56 | 1069 ± 60 |
| 388 ± 54 | 541 ± 56 | 802 ± 58 | |
| tangerine | 375 ± 54 | 3235 ± 76 | 1138 ± 61 |
| 343 ± 54 | 465 ± 55 | 2985 ± 74 | |
| (b) | |||
| Fruit | 0 kGy | 0.5 kGy | 1 kGy |
| dried date | 456 ± 55 | 3988 ± 81 | 15,827 ± 136 |
| 183 ± 52 | 5737 ± 91 | 7280 ± 99 | |
| dried prune | 494 ± 55 | 857 ± 58 | 1774 ± 66 |
| 366 ± 54 | 1152 ± 61 | 3618 ± 78 | |
| raisin | 501 ± 55 | 538,058 ± 735 | 878,725 ± 939 |
| 442 ± 55 | 725,344 ± 853 | 839,301 ± 917 | |
| Fruit | 0 kGy | 0.5 kGy | 1 kGy | ||||||
|---|---|---|---|---|---|---|---|---|---|
| % N | % I | % P | % N | % I | % P | % N | % I | % P | |
| kiwis | 100 | 0 | 0 | 0 | 50 | 50 | 0 | 12.5 | 87.5 |
| oranges | 100 | 0 | 0 | 6.25 | 87.5 | 6.25 | 0 | 93.75 | 6.25 |
| dried figs | 75 | 25 | 0 | 0 | 0 | 100 | 0 | 0 | 100 |
| raisins | 93.75 | 6.25 | 0 | 0 | 0 | 100 | 0 | 0 | 100 |
| hazelnuts | 87.5 | 12.5 | 0 | 0 | 25 | 75 | 0 | 25 | 75 |
| walnuts | 93.75 | 6.25 | 0 | 0 | 25 | 75 | 0 | 0 | 100 |
| peanuts | 50 | 50 | 0 | 0 | 0 | 100 | 0 | 0 | 100 |
| pistachios | 56.25 | 43.75 | 0 | 0 | 0 | 100 | 0 | 0 | 100 |
| Fruit | Aliquot | Lab1 | Lab2 | Lab3 | Lab4 |
|---|---|---|---|---|---|
| kiwi 0.5 kGy | A | 4571 | 6760 | 1509 | 6257 |
| B | 7427 | 2767 | 810 | 5083 | |
| C | 4700 | 3093 | 2120 | 67,091 | |
| D | 41,768 | 11,481 | 1904 | 5369 | |
| kiwi 1 kGy | A | 8517 | 7070 | 8019 | A |
| B | 3779 | 7822 | 5503 | B | |
| C | 6225 | 5528 | 23,458 | C | |
| D | 19,146 | 18,850 | 21,408 | D | |
| A | 891 | ||||
| orange 0.5 Gy | B | 1487 | |||
| C | 1284 | ||||
| D | 7738 | ||||
| A | 3983 | 1086 | 3983 | ||
| orange 1 Gy | B | 2360 | 2522 | 2360 | |
| C | 1184 | 2022 | 1184 | ||
| D | 12,390 | 1614 | 12,390 |
Disclaimer/Publisher’s Note: The statements, opinions and data contained in all publications are solely those of the individual author(s) and contributor(s) and not of MDPI and/or the editor(s). MDPI and/or the editor(s) disclaim responsibility for any injury to people or property resulting from any ideas, methods, instructions or products referred to in the content. |
© 2023 by the authors. Licensee MDPI, Basel, Switzerland. This article is an open access article distributed under the terms and conditions of the Creative Commons Attribution (CC BY) license (https://creativecommons.org/licenses/by/4.0/).
Share and Cite
Bortolin, E.; Boniglia, C.; Campaniello, M.; Chiappinelli, A.; Foti, M.; Iammarino, M.; Lai, O.; Nardelli, V.; Nardoni, A.; Palermo, I.; et al. Photo-Stimulated Luminescence Approach for Effective Identification of Irradiated Fruit. Appl. Sci. 2023, 13, 5767. https://doi.org/10.3390/app13095767
Bortolin E, Boniglia C, Campaniello M, Chiappinelli A, Foti M, Iammarino M, Lai O, Nardelli V, Nardoni A, Palermo I, et al. Photo-Stimulated Luminescence Approach for Effective Identification of Irradiated Fruit. Applied Sciences. 2023; 13(9):5767. https://doi.org/10.3390/app13095767
Chicago/Turabian StyleBortolin, Emanuela, Concetta Boniglia, Maria Campaniello, Andrea Chiappinelli, Marina Foti, Marco Iammarino, Olga Lai, Valeria Nardelli, Antonella Nardoni, Irene Palermo, and et al. 2023. "Photo-Stimulated Luminescence Approach for Effective Identification of Irradiated Fruit" Applied Sciences 13, no. 9: 5767. https://doi.org/10.3390/app13095767
APA StyleBortolin, E., Boniglia, C., Campaniello, M., Chiappinelli, A., Foti, M., Iammarino, M., Lai, O., Nardelli, V., Nardoni, A., Palermo, I., Quattrini, M. C., & Tomaiuolo, M. (2023). Photo-Stimulated Luminescence Approach for Effective Identification of Irradiated Fruit. Applied Sciences, 13(9), 5767. https://doi.org/10.3390/app13095767

