Dynamical Neural Network Based Dynamic Inverse Control Method for a Flexible Air-Breathing Hypersonic Vehicle
Abstract
Featured Application
Abstract
1. Introduction
- (1)
- A DNN is used to identify the FAHV model. The weighted parameters of the neural network are updated by the adaptive law and compared with conventional system identification techniques, such as maximum likelihood estimation method [31,32] and Kalman filtering method [33], this approach does not require the exact mathematical model of the object.
- (2)
- (3)
- A dynamic inverse controller is designed based on the identification model, which avoids complex model transformations; thus, the controller design process is simplified.
2. Problem Description
2.1. FAHV Model Description
2.2. Model Conversion and Control Objective
3. Establishment of Adaptive Identification Model for Flexible Air-Breathing Hypersonic Vehicle
3.1. Dynamical Neural Network
3.2. Online Updating for DNN
4. Dynamic Inverse Controller Design Based on the DNN Model
5. Simulation Results and Analysis
5.1. System Identification under Stochastic Constant Control
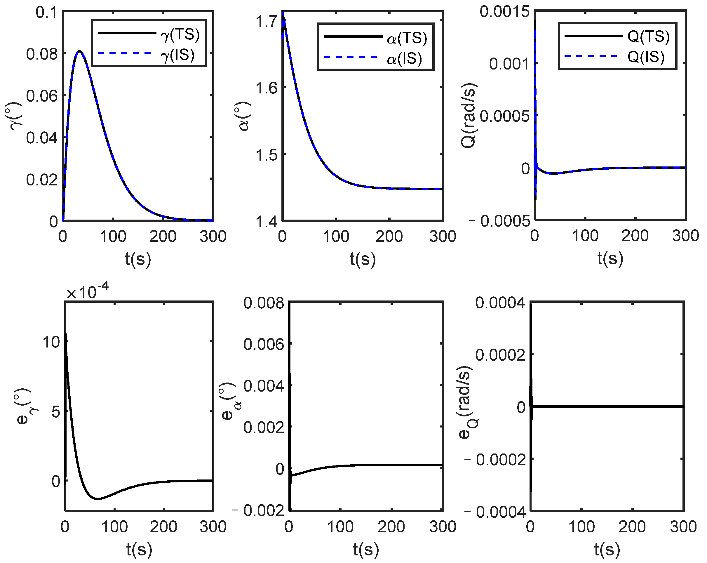
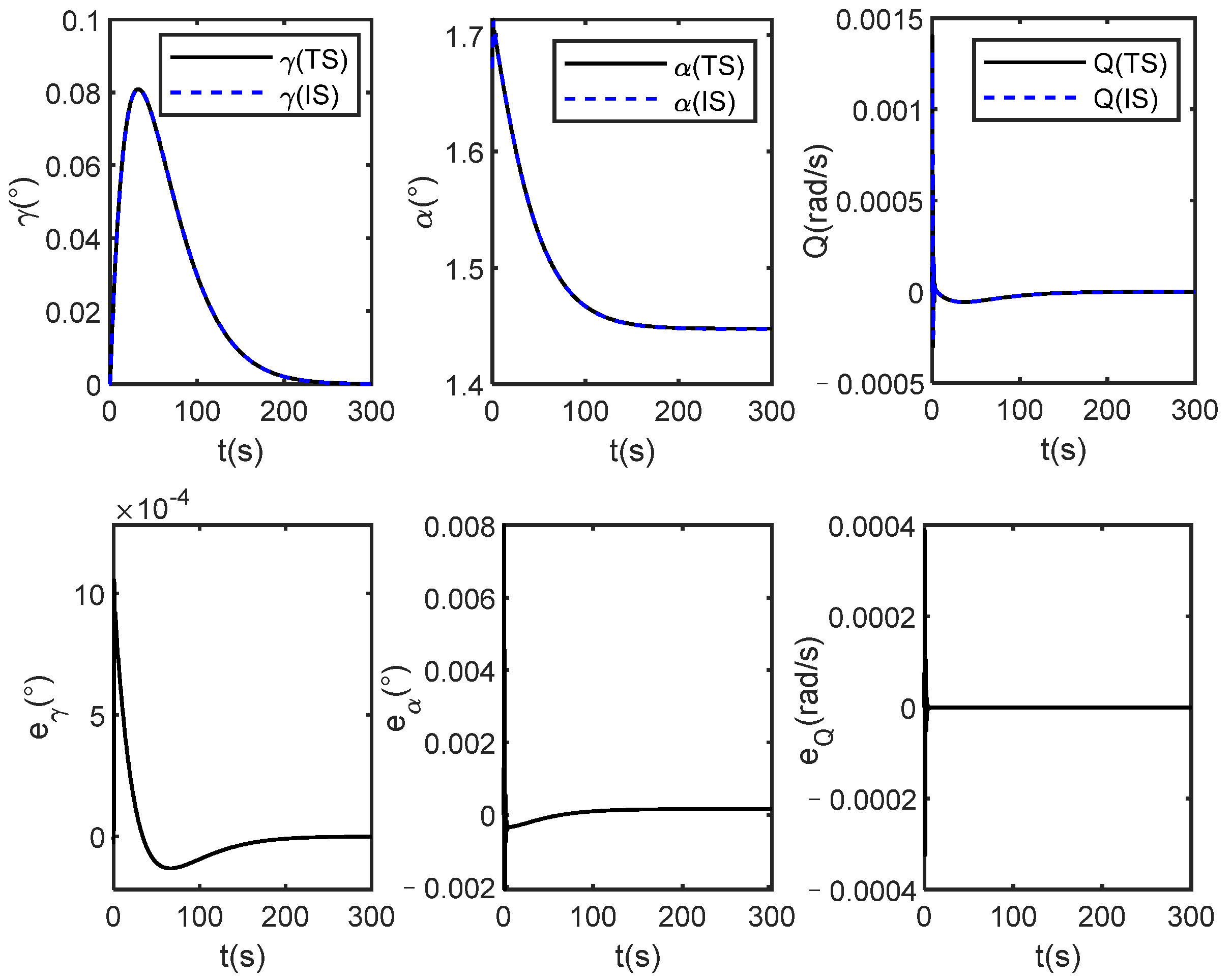
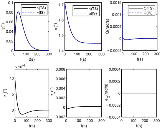
5.2. System Identification and Tracking under Dynamic Inverse Control
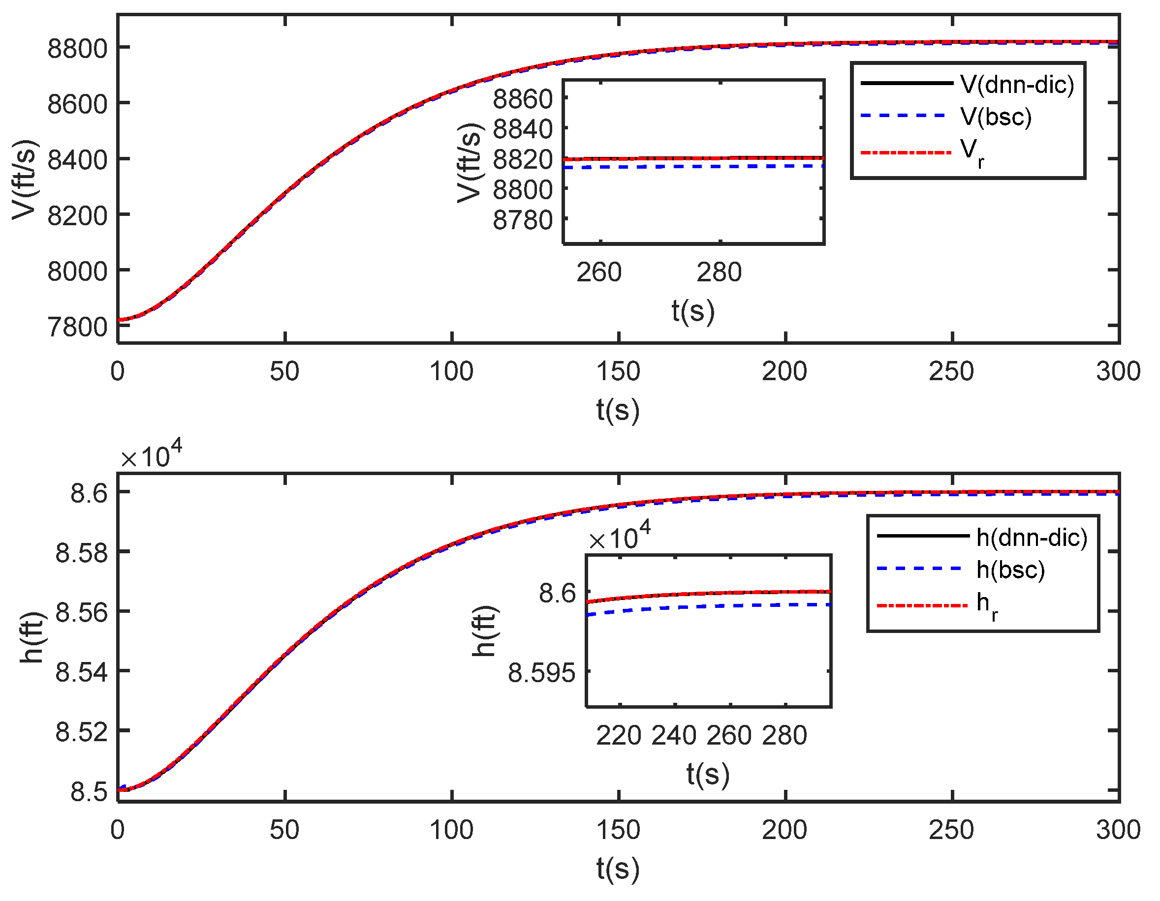
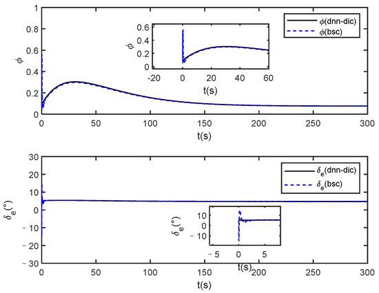
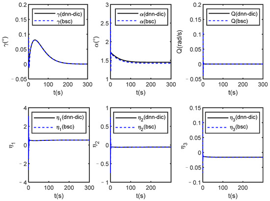
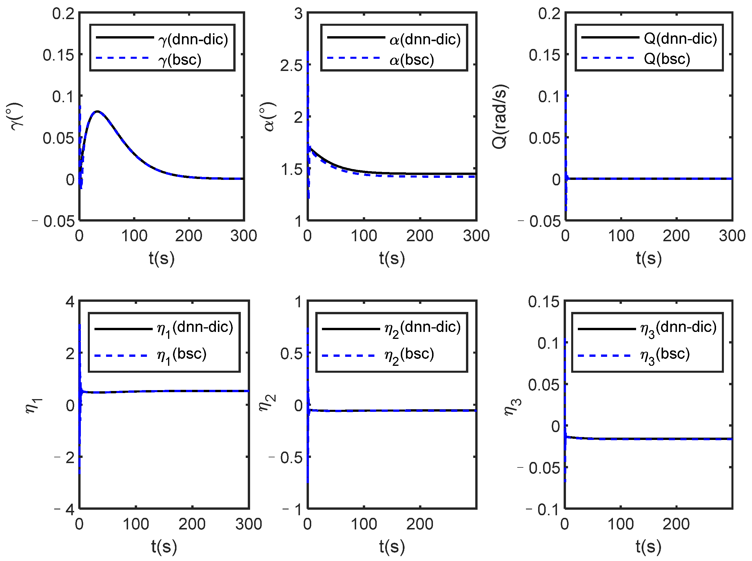
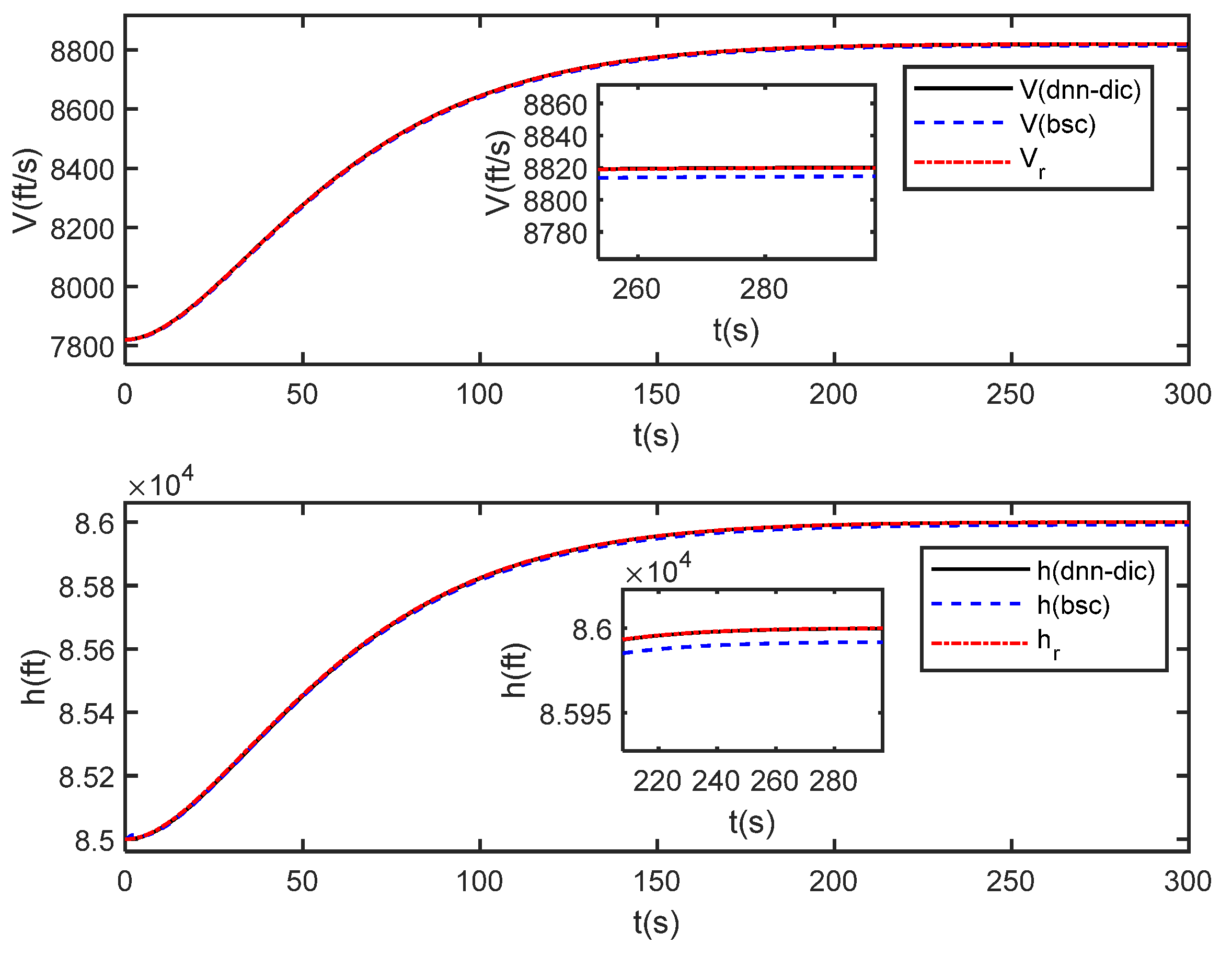
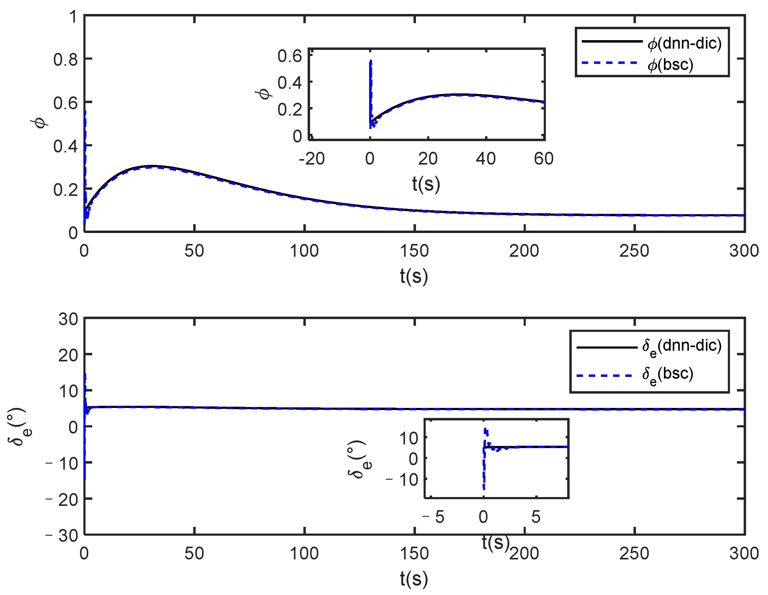
5.3. Comparison with Back-Stepping Control Method
6. Conclusions
Author Contributions
Funding
Institutional Review Board Statement
Informed Consent Statement
Data Availability Statement
Conflicts of Interest
References
- Zehong, D.; Yinghui, L.; Maolong, L.; Renwei, Z. Adaptive accurate tracking control of HFVs in the presence of dead-zone and hysteresis input nonlinearities. Chin. J. Aeronaut. 2021, 34, 642–651. [Google Scholar]
- Parker, J.T.; Serrani, A.; Yurkovich, S.; Bolender, M.A.; Doman, D.B. Control-oriented modeling of an air-breathing hypersonic vehicle. J. Guid. Control Dyn. 2007, 30, 856–869. [Google Scholar] [CrossRef]
- Hewei, Z.; Rui, L. Typical adaptive neural control for hypersonic vehicle based on higher-order filters. J. Syst. Eng. Electron. 2020, 31, 1031–1040. [Google Scholar] [CrossRef]
- Xu, B.; Wang, X.; Shi, Z. Robust adaptive neural control of nonminimum phase hypersonic vehicle model. IEEE Trans. Syst. Man Cybern. Syst. 2019, 51, 1107–1115. [Google Scholar] [CrossRef]
- Bu, X.; Lei, H.; Gao, Y. Robust tracking control of hypersonic flight vehicles: A continuous model-free control approach. Acta Astronaut. 2019, 161, 234–240. [Google Scholar] [CrossRef]
- Lee, Y.-I.; Kim, S.-H.; Tahk, M.-J. Optimality of linear time-varying guidance for impact angle control. IEEE Trans. Aerosp. Electron. Syst. 2012, 48, 2802–2817. [Google Scholar] [CrossRef]
- Dou, L.; Dou, J. The design of optimal guidance law with multi-constraints using block pulse functions. Aerosp. Sci. Technol. 2012, 23, 201–205. [Google Scholar] [CrossRef]
- Yibo, D.; Xiaokui, Y.; Guangshan, C.; Jiashun, S. Review of control and guidance technology on hypersonic vehicle. Chin. J. Aeronaut. 2022, 35, 1–18. [Google Scholar]
- Wang, X.; Li, B.; Su, X.; Peng, H.; Wang, L.; Lu, C.; Wang, C. Autonomous dispatch trajectory planning on flight deck: A search-resampling-optimization framework. Eng. Appl. Artif. Intell. 2023, 119, 105792. [Google Scholar] [CrossRef]
- Xinwei, W.; Jie, L.; Xichao, S.; Haijun, P.; Xudong, Z.; Chen, L. A review on carrier aircraft dispatch path planning and control on deck. Chin. J. Aeronaut. 2020, 33, 3039–3057. [Google Scholar]
- Yang, X.; Lv, W.; Mi, H.; Hu, C.; Hu, Y. Tube-MPC Control via Notch Filter for Flexible Air-Breathing Hypersonic Vehicle with Actuator Fault. Math. Probl. Eng. 2022, 2022, 4474884. [Google Scholar] [CrossRef]
- Gao, H.; Zhang, J.; Tang, W. Offset-free trajectory tracking control for hypersonic vehicle under external disturbance and parametric uncertainty. J. Franklin Inst. 2018, 355, 997–1017. [Google Scholar] [CrossRef]
- Ma, Y.; Cai, Y. A fuzzy model predictive control based upon adaptive neural network disturbance observer for a constrained hypersonic vehicle. IEEE Access 2017, 6, 5927–5938. [Google Scholar] [CrossRef]
- Sheng, Y.; Bai, W.; Xie, Y. Fractional-order PI λ D sliding mode control for hypersonic vehicles with neural network disturbance compensator. Nonlinear Dyn. 2021, 103, 849–863. [Google Scholar] [CrossRef]
- Shou, Y.; Xu, B.; Liang, X.; Yang, D. Aerodynamic/reaction-jet compound control of hypersonic reentry vehicle using sliding mode control and neural learning. Aerosp. Sci. Technol. 2021, 111, 106564. [Google Scholar] [CrossRef]
- Zhang, X.; Hu, W.; Wei, C.; Xu, T. Nonlinear disturbance observer based adaptive super-twisting sliding mode control for generic hypersonic vehicles with coupled multisource disturbances. Eur. J. Control 2021, 57, 253–262. [Google Scholar] [CrossRef]
- Liu, C.; Dong, C.; Zhou, Z.; Wang, Z. Barrier Lyapunov function based reinforcement learning control for air-breathing hypersonic vehicle with variable geometry inlet. Aerosp. Sci. Technol. 2020, 96, 105537. [Google Scholar] [CrossRef]
- Han, X.; Zheng, Z.; Liu, L.; Wang, B.; Cheng, Z.; Fan, H.; Wang, Y. Online policy iteration ADP-based attitude-tracking control for hypersonic vehicles. Aerosp. Sci. Technol. 2020, 106, 106233. [Google Scholar] [CrossRef]
- Mu, C.; Ni, Z.; Sun, C.; He, H. Air-breathing hypersonic vehicle tracking control based on adaptive dynamic programming. IEEE Trans. Neural Netw. Learn. Syst. 2016, 28, 584–598. [Google Scholar] [CrossRef]
- Wang, P.F.; Wang, J.; Bu, X.W.; Jia, Y.J. Adaptive fuzzy tracking control for a constrained flexible air-breathing hypersonic vehicle based on actuator compensation. Int. J. Adv. Rob. Syst. 2016, 13, 1729881416671115. [Google Scholar] [CrossRef]
- Bu, X.; Wu, X.; Ma, Z.; Zhang, R.; Huang, J. Novel auxiliary error compensation design for the adaptive neural control of a constrained flexible air-breathing hypersonic vehicle. Neurocomputing 2016, 171, 313–324. [Google Scholar] [CrossRef]
- Bu, X.; Wu, X.; Ma, Z.; Zhang, R. Novel adaptive neural control of flexible air-breathing hypersonic vehicles based on sliding mode differentiator. Chin. J. Aeronaut. 2015, 28, 1209–1216. [Google Scholar] [CrossRef]
- Bu, X.; Wu, X.; He, G.; Huang, J. Novel adaptive neural control design for a constrained flexible air-breathing hypersonic vehicle based on actuator compensation. Acta Astronaut. 2016, 120, 75–86. [Google Scholar] [CrossRef]
- Luo, C.; Lei, H.; Li, J.; Zhou, C. A new adaptive neural control scheme for hypersonic vehicle with actuators multiple constraints. Nonlinear Dyn. 2020, 100, 3529–3553. [Google Scholar] [CrossRef]
- Bu, X.; Qi, Q.; Jiang, B. A simplified finite-time fuzzy neural controller with prescribed performance applied to waverider aircraft. IEEE Trans. Fuzzy Syst. 2021, 30, 2529–2537. [Google Scholar] [CrossRef]
- Bu, X.; Jiang, B.; Lei, H. Nonfragile quantitative prescribed performance control of waverider vehicles with actuator saturation. IEEE Trans. Aerosp. Electron. Syst. 2022, 58, 3538–3548. [Google Scholar] [CrossRef]
- Rovithakis, G.A.; Christodoulou, M.A. Adaptive control of unknown plants using dynamical neural networks. IEEE Trans. Syst. Man Cybern. Syst. 1994, 24, 400–412. [Google Scholar] [CrossRef]
- Rovithakis, G.A.; Christodoulou, M.A. Direct adaptive regulation of unknown nonlinear dynamical systems via dynamic neural networks. IEEE Trans. Syst. Man Cybern. Syst. 1995, 25, 1578–1594. [Google Scholar] [CrossRef]
- Zhang, B.; Sun, X.; Liu, S.; Deng, X. Recurrent neural network-based model predictive control for multiple unmanned quadrotor formation flight. Int. J. Aerosp. Eng. 2019, 2019, 7272387. [Google Scholar] [CrossRef]
- Petre, E.; Selişteanu, D.; Şendrescu, D.; Ionete, C. Neural networks-based adaptive control for a class of nonlinear bioprocesses. Neural Comput Appl. 2010, 19, 169–178. [Google Scholar] [CrossRef]
- Zhao, J.; Mili, L. Sparse state recovery versus generalized maximum-likelihood estimator of a power system. IEEE Trans. Power Syst. 2017, 33, 1104–1106. [Google Scholar] [CrossRef]
- Thüne, P.; Enzner, G. Maximum-likelihood approach with Bayesian refinement for multichannel-Wiener postfiltering. IEEE Trans. Signal Process. 2017, 65, 3399–3413. [Google Scholar] [CrossRef]
- Feng, G.; Lai, C.; Kar, N.C. Expectation-maximization particle-filter-and Kalman-filter-based permanent magnet temperature estimation for PMSM condition monitoring using high-frequency signal injection. IEEE Trans. Ind. Inf. 2016, 13, 1261–1270. [Google Scholar] [CrossRef]
- Bolender, M.A.; Doman, D.B. Nonlinear longitudinal dynamical model of an air-breathing hypersonic vehicle. J. Spacecr Rockets 2007, 44, 374–387. [Google Scholar] [CrossRef]
- Fiorentini, L. Nonlinear Adaptive Controller Design for Air-Breathing Hypersonic Vehicles. Ph.D. Thesis, The Ohio State University, Columbus, OH, USA, 2010. [Google Scholar]
- Ma, Y.; Cai, Y.; Yu, Z. Adaptive neural network disturbance observer based nonsingular fast terminal sliding mode control for a constrained flexible air-breathing hypersonic vehicle. Proc. Inst. Mech. Eng. Part G J. Aerosp. Eng. 2019, 233, 2642–2662. [Google Scholar] [CrossRef]
- Pu, Z.; Yuan, R.; Tan, X.; Yi, J. Active robust control of uncertainty and flexibility suppression for air-breathing hypersonic vehicles. Aerosp. Sci. Technol. 2015, 42, 429–441. [Google Scholar] [CrossRef]
- Sundararajan, N.; Saratchandran, P.; Li, Y. Fully Tuned Radial Basis Function Neural Networks for Flight Control; Springer Science & Business Media: Berlin/Heidelberg, Germany, 2013; Volume 12. [Google Scholar]
- Wang, L.-X. Stable adaptive fuzzy control of nonlinear systems. IEEE Trans. Fuzzy Syst. 1993, 1, 146–155. [Google Scholar] [CrossRef]
- Goodwin, G.C.; Mayne, D.Q. A parameter estimation perspective of continuous time model reference adaptive control. Automatica 1987, 23, 57–70. [Google Scholar] [CrossRef]
- Sun, J.; Yi, J.; Pu, Z.; Tan, X. Fixed-time sliding mode disturbance observer-based nonsmooth backstepping control for hypersonic vehicles. IEEE Trans. Syst. Man Cybern. Syst. 2018, 50, 4377–4386. [Google Scholar] [CrossRef]














| Fuel Level | 0% | 30% | 50% | 70% | 100% |
|---|---|---|---|---|---|
| (slug/ft) | 93.57 | 126.1 | 147.9 | 169.6 | 202.2 |
| (rad/s) | 22.78 | 21.71 | 21.17 | 20.73 | 20.17 |
| (rad/s) | 68.94 | 57.77 | 53.92 | 51.24 | 48.4 |
| (rad/s) | 140 | 117.8 | 109.1 | 102.7 | 95.6 |
| State | Value | State | Value |
|---|---|---|---|
| V (ft/s) | 7820 | 0.5099 | |
| (deg) | 0 | 0 | |
| h (ft) | 85,000 | −0.0493 | |
| (deg) | 1.6444 | 0 | |
| Q (rad/s) | 0 | −0.0136 | |
| 0 |
Disclaimer/Publisher’s Note: The statements, opinions and data contained in all publications are solely those of the individual author(s) and contributor(s) and not of MDPI and/or the editor(s). MDPI and/or the editor(s) disclaim responsibility for any injury to people or property resulting from any ideas, methods, instructions or products referred to in the content. |
© 2023 by the authors. Licensee MDPI, Basel, Switzerland. This article is an open access article distributed under the terms and conditions of the Creative Commons Attribution (CC BY) license (https://creativecommons.org/licenses/by/4.0/).
Share and Cite
Gao, H.; Chen, Z.; Tang, W. Dynamical Neural Network Based Dynamic Inverse Control Method for a Flexible Air-Breathing Hypersonic Vehicle. Appl. Sci. 2023, 13, 5154. https://doi.org/10.3390/app13085154
Gao H, Chen Z, Tang W. Dynamical Neural Network Based Dynamic Inverse Control Method for a Flexible Air-Breathing Hypersonic Vehicle. Applied Sciences. 2023; 13(8):5154. https://doi.org/10.3390/app13085154
Chicago/Turabian StyleGao, Haiyan, Zhichao Chen, and Weiqiang Tang. 2023. "Dynamical Neural Network Based Dynamic Inverse Control Method for a Flexible Air-Breathing Hypersonic Vehicle" Applied Sciences 13, no. 8: 5154. https://doi.org/10.3390/app13085154
APA StyleGao, H., Chen, Z., & Tang, W. (2023). Dynamical Neural Network Based Dynamic Inverse Control Method for a Flexible Air-Breathing Hypersonic Vehicle. Applied Sciences, 13(8), 5154. https://doi.org/10.3390/app13085154

