Statistical Modeling of Arctic Sea Ice Concentrations for Northern Sea Route Shipping
Abstract
1. Introduction
2. Interpolation of Sea Ice Concentrations
Statistical Interpolation of SIC
3. Modeling of SIC and Time Series Analysis
3.1. Formulation of the ARIMA Model
- the ARMA model can be written as ARMA , which indicates that the highest order of the auto-regressive (AR) model is p, and the highest order of the moving average (MA) model is q;
- the error is white noise; and
- the error at the current time is independent of past y.
3.2. Model Identification and Forecast
4. Model Implementation and Validation
4.1. Statistical Interpolation in Sub-Regions
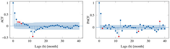
4.2. Arima Modeling of SIC
4.3. Validation of SIC Forecasts
4.4. Estimation of the Transit Navigation Window
5. Conclusions
Author Contributions
Funding
Institutional Review Board Statement
Informed Consent Statement
Data Availability Statement
Conflicts of Interest
References
- Milaković, A.S.; Gunnarsson, B.; Balmasov, S.; Hong, S.; Kim, K.; Schütz, P.; Ehlers, S. Current Status and Future Operational Models for Transit Shipping along the Northern Sea Route. Mar. Policy 2018, 94, 53–60. [Google Scholar] [CrossRef]
- Zhang, C.; Zhang, D.; Zhang, M.; Mao, W. Data-Driven Ship Energy Efficiency Analysis and Optimization Model for Route Planning in Ice-Covered Arctic Waters. Ocean Eng. 2019, 186, 106071. [Google Scholar] [CrossRef]
- Lang, X.; Zhang, C.; Jonasson, L.; Mao, W.; Eriksson, L.; Zhang, D. Comparison between Full-Scale Measurements and Theoretical Fuel Consumption Model in a Real Arctic Ship Navigation. In Proceedings of the 29th International Ocean and Polar Engineering Conference, Honolulu, HI, USA, 15–20 June 2019. [Google Scholar]
- Zhang, C.; Zhang, D.; Zhang, M.; Lang, X.; Mao, W. An Integrated Risk Assessment Model for Safe Arctic Navigation. Transp. Res. Part A Policy Pract. 2020, 142, 101–114. [Google Scholar] [CrossRef]
- Chen, J.; Kang, S.; Du, W.; Guo, J.; Xu, M.; Zhang, Y.; Zhong, X.; Zhang, W.; Chen, J. Perspectives on Future Sea Ice and Navigability in the Arctic. Cryosphere 2021, 15, 5473–5482. [Google Scholar] [CrossRef]
- Liu, X.H.; Ma, L.; Wang, J.Y.; Wang, Y.; Wang, L.N. Navigable Windows of the Northwest Passage. Polar Sci. 2017, 13, 91–99. [Google Scholar] [CrossRef]
- Zhou, X.; Min, C.; Yang, Y.; Landy, J.C.; Mu, L.; Yang, Q. Revisiting Trans-Arctic Maritime Navigability in 2011–2016 from the Perspective of Sea Ice Thickness. Remote Sens. 2021, 13, 2766. [Google Scholar] [CrossRef]
- Inoue, J. Review of Forecast Skills for Weather and Sea Ice in Supporting Arctic Navigation. Polar Sci. 2021, 27, 100523. [Google Scholar] [CrossRef]
- Li, Z.; Ryan, C.; Huang, L.; Ding, L.; Ringsberg, J.W.; Thomas, G. A Comparison of Two Ship Performance Models against Full-Scale Measurements on a Cargo Ship on the Northern Sea Route. Ships Offshore Struct. 2021, 16, 237–244. [Google Scholar] [CrossRef]
- Stark, J.D.; Ridley, J.; Martin, M.; Hines, A. Sea Ice Concentration and Motion Assimilation in a Sea Ice-Ocean Model. J. Geophys. Res. Ocean. 2008, 113, C05S91. [Google Scholar] [CrossRef]
- Ye, Y.; Shokr, M.; Heygster, G.; Spreen, G. Improving Multiyear Sea Ice Concentration Estimates with Sea Ice Drift. Remote Sens. 2016, 8, 397. [Google Scholar] [CrossRef]
- Yu, L.; Zhong, S.; Winkler, J.A.; Zhou, M.; Lenschow, D.H.; Li, B.; Wang, X.; Yang, Q. Possible Connections of the Opposite Trends in Arctic and Antarctic Sea-Ice Cover. Sci. Rep. 2017, 7, 45804. [Google Scholar] [CrossRef] [PubMed]
- Ye, Y.; Shokr, M.; Aaboe, S.; Aldenhoff, W.; Eriksson, L.E.B.; Heygster, G.; Melsheimer, C.; Girard-Ardhuin, F. Inter-Comparison and Evaluation of Sea Ice Type Concentration Algorithms. Cryosphere Discuss. 2019, 1–30. [Google Scholar] [CrossRef]
- Mu, L.; Liang, X.; Yang, Q.; Liu, J.; Zheng, F. Arctic Ice Ocean Prediction System: Evaluating Sea-Ice Forecasts during Xuelong’s First Trans-Arctic Passage in Summer 2017. J. Glaciol. 2019, 65, 813–821. [Google Scholar] [CrossRef]
- Spanos, P.T.D. ARMA Algorithms for Ocean Wave Modeling. J. Energy Resour. Technol. 1983, 105, 300–309. [Google Scholar] [CrossRef]
- Soares, C.G.; Ferreira, A.M.; Cunha, C. Linear Models of the Time Series of Significant Wave Height on the Southwest Coast of Portugal. Coast. Eng. 1996, 29, 149–167. [Google Scholar] [CrossRef]
- Agrawal, J.D.; Deo, M.C. On-Line Wave Prediction. Mar. Struct. 2002, 15, 57–74. [Google Scholar] [CrossRef]
- Jiang, H.; Duan, S.; Huang, L.; Han, Y.; Yang, H.; Ma, Q. Scale Effects in AR Model Real-Time Ship Motion Prediction. Ocean Eng. 2020, 203, 107202. [Google Scholar] [CrossRef]
- Mao, W.; Rychlik, I.; Wallin, J.; Storhaug, G. Statistical Models for the Speed Prediction of a Container Ship. Ocean Eng. 2016, 126, 152–162. [Google Scholar] [CrossRef]
- Piwowar, J.M.; LeDrew, E.F. On the Auto Regressive Nature of Arctic Sea Ice Concentrations. Can. J. Remote Sens. 2001, 27, 517–525. [Google Scholar] [CrossRef]
- Ahn, J.; Hong, S.; Cho, J.; Lee, Y.W.; Lee, H. Statistical Modeling of Sea Ice Concentration Using Satellite Imagery and Climate Reanalysis Data in the Barents and Kara Seas, 1979–2012. Remote Sens. 2014, 6, 5520–5540. [Google Scholar] [CrossRef]
- Copernicus Climate Change Service Climate Data Store (CDS). ERA5: Fifth Generation of ECMWF Atmospheric Reanalyses of the Global Climate. 2023. Available online: https://cds.climate.copernicus.eu (accessed on 6 February 2023).
- Taylor, K.E.; Stouffer, R.J.; Meehl, G.A. An Overview of CMIP5 and the Experiment Design. Bull. Am. Meteorol. Soc. 2012, 93, 485–498. [Google Scholar] [CrossRef]
- Baumohl, E.; Lyocsa, S. Stationarity of Time Series and the Problem of Spurious Regression; SSRN Scholarly Paper ID 1480682; Social Science Research Network: Rochester, NY, USA, 2009. [Google Scholar]
- Mushtaq, R. Augmented Dickey Fuller Test; SSRN Scholarly Paper ID 1911068; Social Science Research Network: Rochester, NY, USA, 2011. [Google Scholar]
- Shiskin, J. The X-11 Variant of the Census Method II Seasonal Adjustment Program; Number 15; US Department of Commerce, Bureau of the Census: Washington, DC, USA, 1967. [Google Scholar]
- Cordeiro, G.M.; Klein, R. Bias Correction in ARMA Models. Stat. Probab. Lett. 1994, 19, 169–176. [Google Scholar] [CrossRef]
- Box, G.E.; Jenkins, G.M.; Reinsel, G.C. Time Series Analysis, Forecasting and Control; Prentice Hall: Englewood Cliffs, NJ, USA, 1994. [Google Scholar]
- Akaike, H. A New Look at the Statistical Model Identification. IEEE Trans. Autom. Control 1974, 19, 716–723. [Google Scholar] [CrossRef]
- Shumway, R.H.; Stoffer, D.S.; Stoffer, D.S. Time Series Analysis and Its Applications; Springer: Cham, Switzerland, 2000; Volume 3. [Google Scholar]
- Khon, V.C.; Mokhov, I.I.; Semenov, V.A. Transit Navigation through Northern Sea Route from Satellite Data and CMIP5 Simulations. Environ. Res. Lett. 2017, 12, 024010. [Google Scholar] [CrossRef]























| Coeff. | Std. Err. | t-Statistic | p-Value | |
|---|---|---|---|---|
| 2.6803 | 0.056 | 47.970 | 0.000 | |
| −0.2203 | 0.025 | −8.899 | 0.000 |
| Region | Linear | Power | Gaussian | Spherical | Exponential | Hole-Effect | Statistical |
|---|---|---|---|---|---|---|---|
| 1 | 0.139 | 0.110 | 0.101 | 0.117 | 0.093 | 0.076 | 0.043 |
| 2 | 0.178 | 0.143 | 0.182 | 0.199 | 0.199 | 0.157 | 0.060 |
| 3 | 0.071 | 0.076 | 0.100 | 0.101 | 0.081 | 0.102 | 0.036 |
| 4 | 0.221 | 0.202 | 0.206 | 0.196 | 0.201 | 0.134 | 0.035 |
| 5 | 0.157 | 0.154 | 0.159 | 0.162 | 0.154 | 0.171 | 0.022 |
| 6 | 0.178 | 0.181 | 0.189 | 0.159 | 0.151 | 0.135 | 0.040 |
| 7 | 0.124 | 0.118 | 0.199 | 0.152 | 0.130 | 0.143 | 0.029 |
| 8 | 0.307 | 0.222 | 0.262 | 0.276 | 0.239 | 0.135 | 0.048 |
| Lags | Ljung-Box Statistic | p-Value |
|---|---|---|
| 1 | 286.935 | 0.0 |
| 6 | 807.854 | 0.0 |
| 12 | 1746.735 | 0.0 |
| Item | Value |
|---|---|
| p-value | 0.019 |
| test statistic | −3.208 |
| critical value (1%) | −3.446 |
| critical value (5%) | −2.868 |
| critical value (10%) | −2.570 |
Disclaimer/Publisher’s Note: The statements, opinions and data contained in all publications are solely those of the individual author(s) and contributor(s) and not of MDPI and/or the editor(s). MDPI and/or the editor(s) disclaim responsibility for any injury to people or property resulting from any ideas, methods, instructions or products referred to in the content. |
© 2023 by the authors. Licensee MDPI, Basel, Switzerland. This article is an open access article distributed under the terms and conditions of the Creative Commons Attribution (CC BY) license (https://creativecommons.org/licenses/by/4.0/).
Share and Cite
Wu, D.; Tian, W.; Lang, X.; Mao, W.; Zhang, J. Statistical Modeling of Arctic Sea Ice Concentrations for Northern Sea Route Shipping. Appl. Sci. 2023, 13, 4374. https://doi.org/10.3390/app13074374
Wu D, Tian W, Lang X, Mao W, Zhang J. Statistical Modeling of Arctic Sea Ice Concentrations for Northern Sea Route Shipping. Applied Sciences. 2023; 13(7):4374. https://doi.org/10.3390/app13074374
Chicago/Turabian StyleWu, Da, Wuliu Tian, Xiao Lang, Wengang Mao, and Jinfen Zhang. 2023. "Statistical Modeling of Arctic Sea Ice Concentrations for Northern Sea Route Shipping" Applied Sciences 13, no. 7: 4374. https://doi.org/10.3390/app13074374
APA StyleWu, D., Tian, W., Lang, X., Mao, W., & Zhang, J. (2023). Statistical Modeling of Arctic Sea Ice Concentrations for Northern Sea Route Shipping. Applied Sciences, 13(7), 4374. https://doi.org/10.3390/app13074374

