The Saturation of the Response to an Electron Beam of Ce- and Tb-Doped GYAGG Phosphors for Indirect β-Voltaics
Abstract
1. Introduction
2. Sample Preparation and Measurements
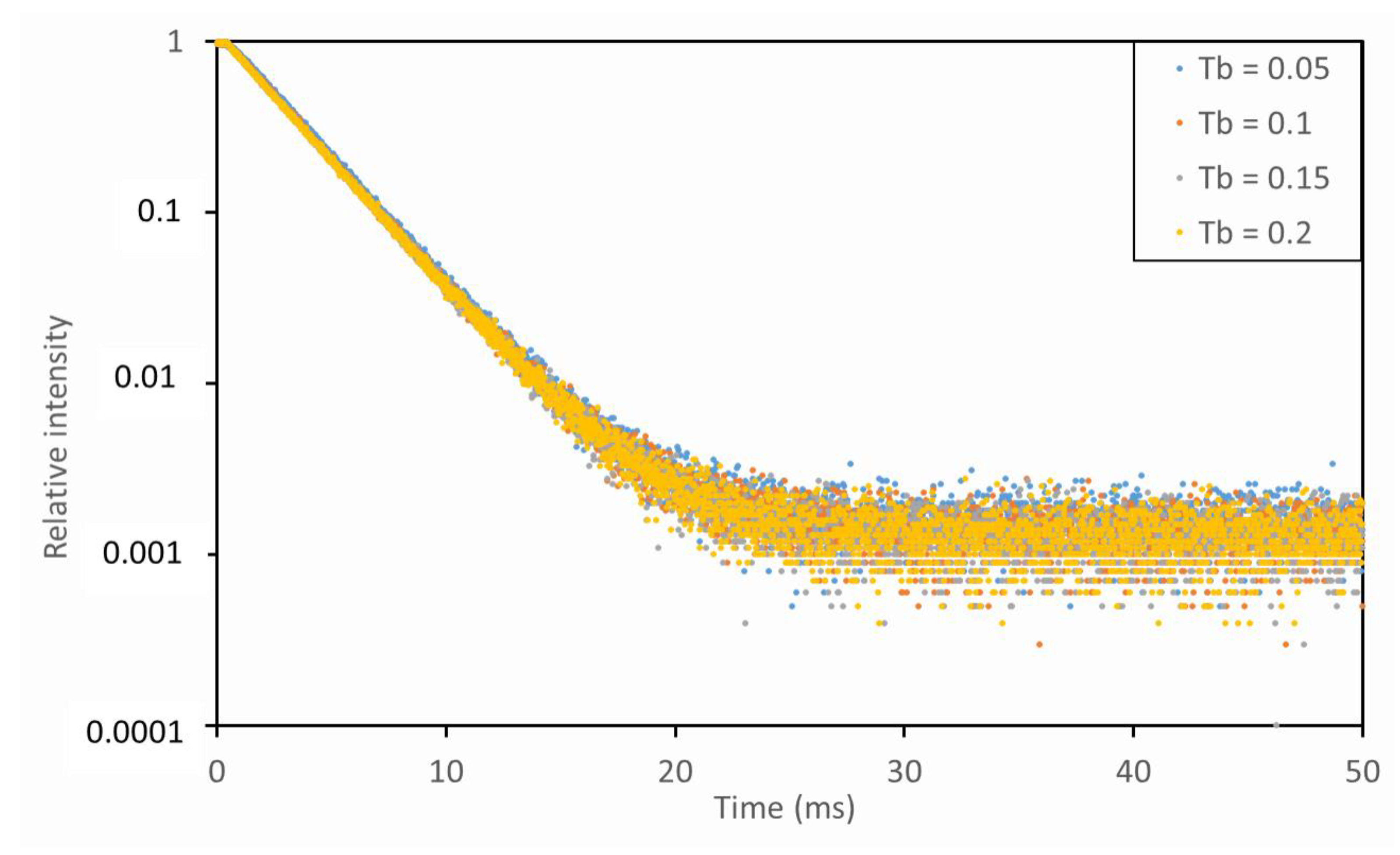
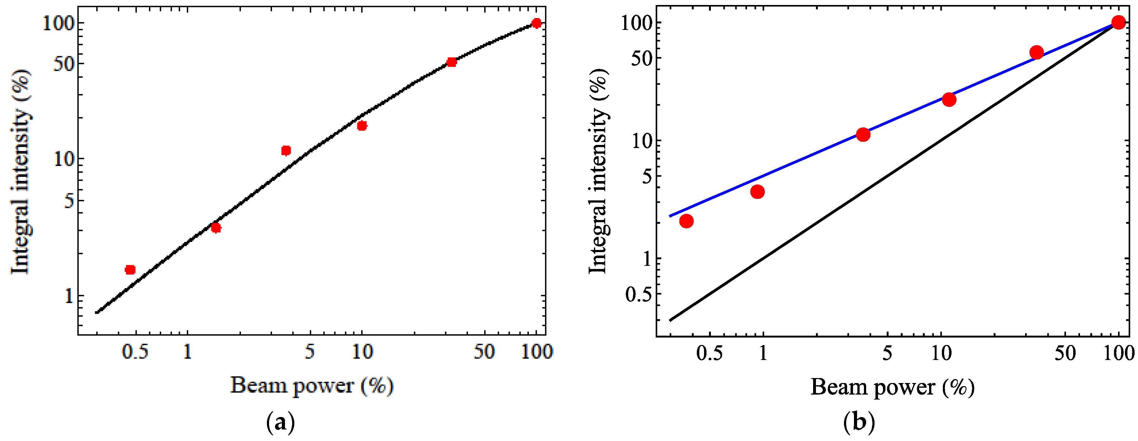
3. Results
4. Discussion
5. Conclusions
Author Contributions
Funding
Institutional Review Board Statement
Informed Consent Statement
Data Availability Statement
Acknowledgments
Conflicts of Interest
References
- Schmidt, G.; Sutliff, T.; Dudzinksi, L. Radioisotope power: A key technology for deep space exploration. Radioisot.–Appl. Phys. Sci. 2011, 419–456. [Google Scholar]
- Datas, A.; Martí, A. Thermophotovoltaic energy in space applications: Review and future potential. Sol. Energy Mater. Sol. Cells 2017, 161, 285–296. [Google Scholar] [CrossRef]
- Olsen, L.; Cabauy, P.; Elkind, B. Betavoltaic power sources. Phys. Today 2012, 65, 35. [Google Scholar] [CrossRef]
- Romer, M.; Miley, G.H.; Luo, N.; Gimlin, R.J. Ragone plot comparison of radioisotope cells and the direct sodium borohydride/hydrogen peroxide fuel cell with chemical batteries. IEEE Trans. Energy Convers. 2008, 23, 171–178. [Google Scholar] [CrossRef]
- Prelas, M.A.; Weaver, C.L.; Watermann, M.L.; Lukosi, E.D.; Schott, R.J.; Wisniewski, D.A. A review of nuclear batteries. Prog. Nucl. Energy 2014, 75, 117–148. [Google Scholar] [CrossRef]
- Spencer, M.; Alam, T. High power direct energy conversion by nuclear batteries. Appl. Phys. Rev. 2019, 6, 031305. [Google Scholar] [CrossRef]
- Steinfelds, E.V.; Ghosh, T.K.; Prelas, M.; Tompson, R.V.; Loyalka, S.K. The Research and Development of the Radioisotope Energy Conversion System; University of Missouri: Columbia, MO, USA, 2001; ISSN 0003-018X. [Google Scholar]
- Green, M.; Bremner, S. Energy conversion approaches and materials for high-efficiency photovoltaics. Nat Mater. 2016, 16, 23–34. [Google Scholar] [CrossRef] [PubMed]
- Prelas, M.; Alam, T.; Tchouaso, M. Photovoltaics and nuclear energy conversion for space power: Background and issues. Photovolt. Space 2023, 157–171. [Google Scholar]
- Maximenko, S.; Moore, J.E.; Affouda, C.A.; Jenkins, P.P. Optimal semiconductors for 3H and 63Ni betavoltaics. Sci. Rep. 2019, 9, 10892. [Google Scholar] [CrossRef]
- Korzhik, M.; Abashev, R.; Fedorov, A.; Dosovitskiy, G.; Gordienko, E.; Kamenskikh, I.; Kazlou, D.; Kuznecova, D.; Mechinsky, V.; Pustovarov, V.; et al. Towards effective indirect radioisotope energy converters with bright and radiation hard scintillators of (Gd, Y)3Al2Ga3O12 family. Nucl. Eng. Technol. 2022, 54, 2579–2585. [Google Scholar] [CrossRef]
- Jarrell, J.; Cherepy, N.; Murphy, J.W.; Nikolic, R.J.; Swanberg, E.L., Jr. Indirect Conversion Nuclear Battery Using Transparent Scintillator Material. U.S. Patent 11415713, 16 August 2022. [Google Scholar]
- Jarrell, J.; Cherepy, N.; Murphy, J.W.; Nikolic, R.J.; Swanberg, E.L., Jr. Indirect Conversion Nuclear Battery Using Transparent Scintillator Material. U.S. Patent 20220350039, 3 November 2022. [Google Scholar]
- Gektin, A.; Korzhik, M. Inorganic Scintillators for Detector Systems; Springer: Berlin/Heidelberg, Germany, 2017. [Google Scholar]
- Karipbayev, Z.T.; Kumarbekov, K.; Manika, I.; Dauletbekova, A.; Kozlovskiy, A.L.; Sugak, D.; Ubizskii, S.B.; Akilbekov, A.; Suchikova, Y.; Popov, A.I. Optical, structural, and mechanical properties of Gd3Ga5O12 single crystals irradiated with 84Kr+ ions. Phys. Status Solidi 2022, 259, 2100415. [Google Scholar] [CrossRef]
- Mironova-Ulmane, N.; Sildos, I.; Vasil’chenko, E.; Chikvaidze, G.; Skvortsova, V.; Kareiva, A.; Muñoz-Santiuste, J.; Pareja, R.; Elsts, E.; Popov, A. Optical absorption and Raman studies of neutron-irradiated Gd3Ga5O12 single crystals. Nucl. Instrum. Methods Phys. Res. Sect. B Beam Interact. Mater. At. 2018, 435, 306–312. [Google Scholar] [CrossRef]
- Pankratova, V.; Skuratov, V.A.; Buzanov, O.A. Radiation effects in Gd3(Al, Ga)5:O12: Ce3+ single crystals induced by swift heavy ions. Opt. Mater. X 2022, 16, 100217. [Google Scholar] [CrossRef]
- Jarrell, J.; Cherepy, N.J.; Seeley, Z.M.; Murphy, J.W.; Swanberg, E.L.; Voss, L.F.; Frye, C.D.; Stoyer, M.A.; Henderson, R.A.; O’Neal, S.P.; et al. Beta radiation hardness of GYGAG (Ce) transparent ceramic scintillators. IEEE Trans. Nucl. Sci. 2022, 69, 938–941. [Google Scholar] [CrossRef]
- Alenkov, V.; Alenkov, V.; Buzanov, O.; Dosovitskiy, G.; Egorychev, V.; Fedorov, A.; Golutvin, A.; Guz, Y.; Jacobsson, R.; Korjik, M.; et al. Irradiation studies of a multi-doped Gd3Al2Ga3O12 scintillator. Nucl. Instrum. Methods Phys. Res. Sect. A 2019, 916, 226–229. [Google Scholar] [CrossRef]
- Auffray, E.; Auffray, E.; Dosovitskiy, G.; Fedorov, A.; Guz, I.; Korjik, M.; Kratochwill, N.; Lucchini, M.; Nargelas, S.; Kozlov, D.; et al. Irradiation effects on Gd3Al2Ga3O12 scintillators prospective for application in harsh irradiation environments. Radiat. Phys. Chem. 2019, 164, 108365. [Google Scholar] [CrossRef]
- Dormenev, V.; Brinkmann, K.T.; Borisevich, A.; Kazlou, D.; Korzhik, M.; Moritz, M.; Novotny, R.W.; Orsich, P.; Gerasymov, I.; Tkachenko, S.; et al. Radiation tolerant YAG: Ce scintillation crystals grown under reducing Ar+ CO atmosphere. Nucl. Instrum. Methods Phys. Res. Sect. A 2021, 1015, 165764. [Google Scholar] [CrossRef]
- Retivov, V.; Dubov, V.; Komendo, I.; Karpyuk, P.; Kuznetsova, D.; Sokolov, P.; Talochka, Y.; Korzhik, M. Compositionally disordered crystalline compounds for next generation of radiation detectors. Nanomaterials 2022, 12, 4295. [Google Scholar] [CrossRef]
- Korjik, M.; Bondarau, A.; Dosovitskiy, G.; Dubov, V.; Gordienko, K.; Karpuk, P.; Komendo, I.; Kuznetsova, D.; Mechinsky, V.; Pustovarov, V.; et al. Lanthanoid-doped quaternary garnets as phosphors for high brightness cathodoluminescence-based light sources. Heliyon 2022, 8, e10193. [Google Scholar] [CrossRef]
- De Leeuw, D.; Hooft, G. Method for the analysis of saturation effects of cathodoluminescence in phosphors; applied to Zn2SiO4: Mn and Y3Al5O12: Tb. J. Lumin. 1983, 28, 275–300. [Google Scholar] [CrossRef]
- Retivov, V.; Dubov, V.; Kuznetsova, D.; Ismagulov, A.; Korzhik, M. Gd3+ content optimization for mastering high light yield and fast GdxAl2Ga3O12: Ce3+ scintillation ceramics. J. Rare Earths 2022. [Google Scholar] [CrossRef]
- Korzhik, M.; Retivov, V.; Bondarau, A.; Dosovitskiy, G.; Dubov, V.; Kamenskikh, I.; Karpuk, P.; Kuznetsova, D.; Smyslova, V.; Mechinsky, V.; et al. Role of the dilution of the Gd sublattice in forming the scintillation properties of quaternary (Gd, Lu)3Al2Ga3O12: Ce ceramics. Crystals 2022, 12, 1196. [Google Scholar] [CrossRef]
- Kamada, K.; Yanagida, T.; Pejchal, J.; Nikl, M.; Endo, T.; Tsutumi, K.; Fujimoto, Y.; Fukabori, A.; Yoshikawa, A. Scintillator-oriented combinatorial search in Ce-doped (Y,Gd)3(Ga,Al)5O12 multicomponent garnet compounds. J. Phys. D Appl. Phys. 2011, 44, 505104. [Google Scholar] [CrossRef]
- Chewpraditkul, W.; Pattanaboonmee, N.; Chewpraditkul, W.; Kamada, K.; Yoshikawa, A.; Nikl, M. Luminescence and scintillation response of YGd2Al2Ga3O12:Ce and LuGd2Al2Ga3O12:Ce scintillators. Radiat. Meas. 2016, 90, 153–156. [Google Scholar] [CrossRef]
- Robbins, D.J.; Cockayne, B.; Lent, B.; Glasper, J.L. The mechanism of 5D3− 5D4 cross-relaxation in Y3Al5O12: Tb3+. Solid State Commun. 1976, 20, 673–676. [Google Scholar] [CrossRef]
- Duan, C.-K.; Ko, C.-C.; Jia, G.; Chen, X.; Tanner, P.A. 5D3–5D4 cross-relaxation of Tb3+ in a cubic host lattice. Chem. Phys. Lett. 2011, 506, 179–182. [Google Scholar] [CrossRef]
- Agostinelli, S.; Allison, J.; Amako, K.A.; Apostolakis, J.; Araujo, H.; Arce, P.; Asai, M.; Axen, D.; Banerjee, S.; Barrand, G.J.N.I.; et al. Geant4—A simulation toolkit. Nucl. Instrum. Methods Phys. Res. Sect. Accel. Spectrometers Detect. Assoc. Equip. 2003, 506, 250–303. [Google Scholar] [CrossRef]
- Korzhik, M.; Alenkov, V.; Buzanov, O.; Dosovitskiy, G.; Fedorov, A.; Kozlov, D.; Mechinsky, V.; Nargelas, S.; Tamulaitis, G.; Vaitkevičius, A. Engineering of a new single-crystal multi-ionic fast and high-light-yield scintillation material (Gd0.5–Y0.5)3Al2Ga3O12: Ce, Mg. CrystEngComm. 2020, 22, 2502–2506. [Google Scholar] [CrossRef]
- Korzhik, M.; Retivov, V.; Dosovitskiy, G.; Dubov, V.; Kamenskikh, I.; Karpuk, P.; Komendo, I.; Kuznetsova, D.; Smyslova, V.; Mechinsky, V.; et al. First Observation of the Scintillation Cascade in Tb3+ Doped Quaternary Garnet Ceramics. Phys. Status Solidi (RRL)–Rapid Res. Lett. 2022, 2200368. [Google Scholar]








| # | Sample Composition | Abbreviation |
|---|---|---|
| 1 | Gd1.175Y1.775Tb0.05Al2Ga3O12 | GYAGG:Tb, Tb = 0.05 |
| 2 | Gd1.160Y1.740Tb0.1Al2Ga3O12 | GYAGG:Tb, Tb = 0.1 |
| 3 | Gd1.120Y1.730Tb0.15Al2Ga3O12 | GYAGG:Tb, Tb = 0.15 |
| 4 | Gd1.100Y1.700Tb0.2Al2Ga3O12 | GYAGG:Tb, Tb = 0.2 |
| 5 | Gd1.4Y1.4Tb0.2Al2Ga3O12 | GYAGG:Tb-2, Tb = 0.2 |
| 6 | Gd1.1Y1.7Tb0.2Al2Ga3O12 | GYAGG:Tb-3, Tb = 0.2 |
| 7 | Gd1.175Y1.777Ce0.03Al2Ga3O12 | GYAGG:Ce, Ce = 0.03 |
Disclaimer/Publisher’s Note: The statements, opinions and data contained in all publications are solely those of the individual author(s) and contributor(s) and not of MDPI and/or the editor(s). MDPI and/or the editor(s) disclaim responsibility for any injury to people or property resulting from any ideas, methods, instructions or products referred to in the content. |
© 2023 by the authors. Licensee MDPI, Basel, Switzerland. This article is an open access article distributed under the terms and conditions of the Creative Commons Attribution (CC BY) license (https://creativecommons.org/licenses/by/4.0/).
Share and Cite
Karpyuk, P.; Korzhik, M.; Fedorov, A.; Kamenskikh, I.; Komendo, I.; Kuznetsova, D.; Leksina, E.; Mechinsky, V.; Pustovarov, V.; Smyslova, V.; et al. The Saturation of the Response to an Electron Beam of Ce- and Tb-Doped GYAGG Phosphors for Indirect β-Voltaics. Appl. Sci. 2023, 13, 3323. https://doi.org/10.3390/app13053323
Karpyuk P, Korzhik M, Fedorov A, Kamenskikh I, Komendo I, Kuznetsova D, Leksina E, Mechinsky V, Pustovarov V, Smyslova V, et al. The Saturation of the Response to an Electron Beam of Ce- and Tb-Doped GYAGG Phosphors for Indirect β-Voltaics. Applied Sciences. 2023; 13(5):3323. https://doi.org/10.3390/app13053323
Chicago/Turabian StyleKarpyuk, Petr, Mikhail Korzhik, Andei Fedorov, Irina Kamenskikh, Ilya Komendo, Daria Kuznetsova, Elena Leksina, Vialy Mechinsky, Vladimir Pustovarov, Valentina Smyslova, and et al. 2023. "The Saturation of the Response to an Electron Beam of Ce- and Tb-Doped GYAGG Phosphors for Indirect β-Voltaics" Applied Sciences 13, no. 5: 3323. https://doi.org/10.3390/app13053323
APA StyleKarpyuk, P., Korzhik, M., Fedorov, A., Kamenskikh, I., Komendo, I., Kuznetsova, D., Leksina, E., Mechinsky, V., Pustovarov, V., Smyslova, V., Retivov, V. M., Talochka, Y., Tavrunov, D., & Vasil’ev, A. (2023). The Saturation of the Response to an Electron Beam of Ce- and Tb-Doped GYAGG Phosphors for Indirect β-Voltaics. Applied Sciences, 13(5), 3323. https://doi.org/10.3390/app13053323

