Defocus Effect Correction for Back Focal Plane Ellipsometry for Antivibration Measurement of Thin Films
Abstract
1. Introduction
2. Method
2.1. Hardware Configuration
2.2. BFP Ellipsometry Principle
3. Defocus Effect Calibration and Compensation
3.1. Defocused BFP Incident Angle Calibration
3.2. Defocused BFP Ellipsometric Error Calibration
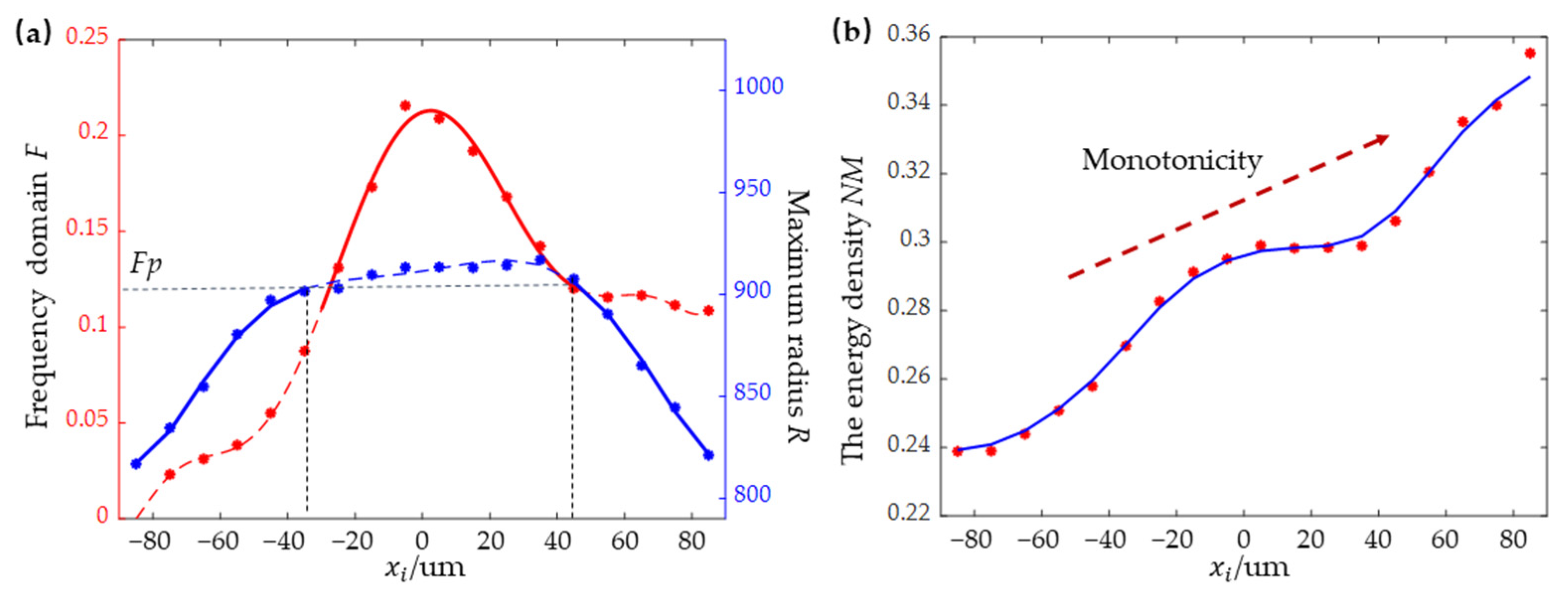
3.3. Defocus Position Determination and Defocus Effect Compensation
4. Experiment and Results
4.1. Experimental Setup
4.2. Calibration and Compensation Results
4.3. Experimental Results
5. Conclusions
Author Contributions
Funding
Institutional Review Board Statement
Informed Consent Statement
Data Availability Statement
Conflicts of Interest
References
- Lee, S.W.; Choi, G.; Lee, S.Y.; Cho, Y.; Pahk, H.J. Coaxial Spectroscopic Imaging Ellipsometry for Volumetric Thickness Measurement. Appl. Opt. 2021, 60, 67–74. [Google Scholar] [CrossRef] [PubMed]
- Lee, S.W.; Lee, S.Y.; Choi, G.; Pahk, H.J. Co-Axial Spectroscopic Snap-Shot Ellipsometry for Real-Time Thickness Measurements with a Small Spot Size. Opt. Express 2020, 28, 25879–25893. [Google Scholar] [CrossRef] [PubMed]
- Ghim, Y.S.; Rhee, H.G. Instantaneous Thickness Measurement of Multilayer Films by Single-Shot Angle-Resolved Spectral Reflectometry. Opt. Lett. 2019, 44, 5418–5421. [Google Scholar] [CrossRef] [PubMed]
- Guo, T.; Yuan, L.; Tang, D.; Chen, Z.; Gao, F.; Jiang, X. Analysis of the Synchronous Phase-Shifting Method in a White-Light Spectral Interferometer. Appl. Opt. 2020, 59, 2983–2991. [Google Scholar] [CrossRef]
- Miao, Z.; Tang, Y.; Wei, K.; Zhang, Y. Optimization of Stepping Mueller Matrix Ellipsometer Configuration Based on Weighed Factor. Opt. Eng. 2022, 61, 044102. [Google Scholar] [CrossRef]
- Jiang, H.; Ma, Z.; Gu, H.; Chen, X.; Liu, S. Characterization of Volume Gratings Based on Distributed Dielectric Constant Model Using Mueller Matrix Ellipsometry. Appl. Sci. 2019, 9, 698. [Google Scholar] [CrossRef]
- Fujiwara, H. Spectroscopic Ellipsometry: Principles and Applications; John Wiley & Sons: Hoboken, NJ, USA, 2007. [Google Scholar]
- Finlayson, C.E.; Rosetta, G.; Tomes, J.J. Spectroscopic Ellipsometry and Optical Modelling of Structurally Colored Opaline Thin-Films. Appl. Sci. 2022, 12, 4888. [Google Scholar] [CrossRef]
- Liu, S.; Du, W.; Chen, X.; Jiang, H.; Zhang, C. Mueller Matrix Imaging Ellipsometry for Nanostructure Metrology. Opt. Express 2015, 23, 17316–17329. [Google Scholar] [CrossRef]
- Ohlídal, I.; Vohánka, J.; Buršíková, V.; Franta, D.; Čermák, M. Spectroscopic Ellipsometry of Inhomogeneous Thin Films Exhibiting Thickness Non-Uniformity and Transition Layers. Opt. Express 2019, 28, 160–174. [Google Scholar] [CrossRef]
- Stenzel, O.; Ohlídal, M. Optical Characterization of Thin Solid Films; Springer Series in Surface Sciences; Springer: Berlin/Heidelberg, Germany, 2018. [Google Scholar]
- Chen, C.; Chen, X.; Xia, Z.; Shi, J.; Sheng, S.; Qiao, W.; Liu, S. Characterization of Pixelated Nanogratings in 3D Holographic Display by an Imaging Mueller Matrix Ellipsometry. Opt. Lett. 2022, 47, 3580–3583. [Google Scholar] [CrossRef]
- Chen, X.; Gu, H.; Liu, J.; Chen, C.; Liu, S. Advanced Mueller Matrix Ellipsometry: Instrumentation and Emerging Applications. Sci. China Technol. Sci. 2022, 65, 2007–2030. [Google Scholar] [CrossRef]
- Fang, M.; Gu, H.; Guo, Z.; Liu, J.; Huang, L.; Liu, S. Temperature and Thickness Dependent Dielectric Functions of Mote2 Thin Films Investigated by Spectroscopic Ellipsometry. Appl. Surf. Sci. 2022, 605, 154813. [Google Scholar] [CrossRef]
- Aspnes, D.E. Spectroscopic Ellipsometry—Past, Present, and Future. Thin Solid Film. 2014, 571, 334–344. [Google Scholar] [CrossRef]
- Losurdo, M.; Bergmair, M.; Bruno, G.; Cattelan, D.; Cobet, C.; de Martino, A.; Fleischer, K.; Dohcevic-Mitrovic, Z.; Esser, N.; Galliet, M.; et al. Spectroscopic Ellipsometry and Polarimetry for Materials and Systems Analysis at the Nanometer Scale: State-of-the-Art, Potential, and Perspectives. J. Nanopart Res. 2009, 11, 1521–1554. [Google Scholar] [CrossRef] [PubMed]
- Likhachev, D.V. Efficient Thin-Film Stack Characterization Using Parametric Sensitivity Analysis for Spectroscopic Ellipsometry in Semiconductor Device Fabrication. Thin Solid Film. 2015, 589, 258–263. [Google Scholar] [CrossRef]
- Zhan, Q.; Leger, J. R Microellipsometer with Radial Symmetry. Appl. Opt. 2002, 41, 4630–4637. [Google Scholar] [CrossRef]
- Zhan, Q.; Leger, J.R. High-Resolution Imaging Ellipsometer. Appl. Opt. 2002, 41, 4443–4450. [Google Scholar] [CrossRef]
- Choi, G.; Lee, S.W.; Lee, S.Y.; Pahk, H.J. Single-Shot Multispectral Angle-Resolved Ellipsometry. Appl. Opt. 2020, 59, 6296–6303. [Google Scholar] [CrossRef] [PubMed]
- Peng, L.; Tang, D.; Wang, J.; Chen, R.; Gao, F.; Zhou, L. Robust Incident Angle Calibration of Angle-Resolved Ellipsometry for Thin Film Measurement. Appl. Opt. 2021, 60, 3971–3976. [Google Scholar] [CrossRef] [PubMed]
- Ye, S.H.; Kim, S.H.; Kwak, Y.K.; Cho, H.M.; Cho, Y.J.; Chegal, W. Angle-Resolved Annular Data Acquisition Method for Microellipsometry. Appl. Opt. 2007, 15, 56–65. [Google Scholar] [CrossRef] [PubMed]
- Fallet, C. Overlay Measurements by Mueller Polarimetry in Back Focal Plane. J. Micro Nanolithography MEMS MOEMS 2011, 10, 033017. [Google Scholar] [CrossRef]
- Otsuki, S.; Murase, N.; Kano, H. Back Focal Plane Microscopic Ellipsometer with Internal Reflection Geometry. Opt. Commun. 2013, 294, 24–28. [Google Scholar] [CrossRef]
- Otsuki, S.; Murase, N.; Kano, H. Mueller Matrix Microscopic Ellipsometer. Opt. Commun. 2013, 305, 194–200. [Google Scholar] [CrossRef]
- Namba, K.; Fukuzawa, K.; Itoh, S.; Zhang, H.; Azuma, N. Extension of Measurement Range of Lubrication Gap Shape Using Vertical-Objective-Type Ellipsometric Microscopy with Two Compensator Angles. Tribol. Int. 2020, 142, 105980. [Google Scholar] [CrossRef]
- Song, Y.; Fukuzawa, K.; Itoh, S.; Zhang, H.; Azuma, N. In-Situ Measurement of Temporal Changes in Thickness of Polymer Adsorbed Films from Lubricant Oil by Vertical-Objective-Based Ellipsometric Microscopy. Tribol. Int. 2022, 165, 107341. [Google Scholar] [CrossRef]
- Chen, L.; Wang, J.; Xu, M. Analysis and Calibration of Defocus Detection System based on Astigmatic Method. Laser Optoelectron. Prog. 2016, 53, 051205. [Google Scholar] [CrossRef]
- Zhao, X.; Suzuki, T.; Sasaki, O. Photothermal Phase-Modulating Laser Diode Interferometer with High-Speed Feedback Control. Opt. Rev. 2002, 9, 13–17. [Google Scholar] [CrossRef]
- Mao, J.; Xu, P.; Yang, J.; Cao, Y. A Vibration Compensation Nethod Based on White-Light Wavelength Scanning Interferometry. China Mechanical Engineering 2015, 26, 1301. [Google Scholar]
- Quinten, M. Appendix D: Downhill Simplex Algorithm. In A Practical Guide to Optical Metrology for Thin Films; Wiley-VCH Verlag GmbH: Weinheim, Germany, 2012; pp. 199–200. [Google Scholar]
- Born, M.; Wolf, E. Principles of Optics: Electromagnetic Theory of Propagation, Interference and Diffraction of Light; Cambridge University Press: Cambridge, UK, 1999. [Google Scholar]
- Linke, F.; Merkel, R. Quantitative Ellipsometric Microscopy at the Silicon–Air Interface. Rev. Sci. Instrum. 2005, 76, 063701. [Google Scholar] [CrossRef]
- Choi, K.S.; Lee, J.S.; Ko, S.J. New Autofocusing Technique Using the Frequency Selective Weighted Median Filter for Video Cameras. IEEE Trans. Consum. Electron. 1999, 45, 820–827. [Google Scholar] [CrossRef]
- Chiang, C.S.; Huang, K.N.; Li, Y.C.; Luo, C.H. Design of a Hand-Held Automatic Focus Digital Microscope by Using Cmos Image Sensor. Measurement 2015, 70, 88–99. [Google Scholar] [CrossRef]









Disclaimer/Publisher’s Note: The statements, opinions and data contained in all publications are solely those of the individual author(s) and contributor(s) and not of MDPI and/or the editor(s). MDPI and/or the editor(s) disclaim responsibility for any injury to people or property resulting from any ideas, methods, instructions or products referred to in the content. |
© 2023 by the authors. Licensee MDPI, Basel, Switzerland. This article is an open access article distributed under the terms and conditions of the Creative Commons Attribution (CC BY) license (https://creativecommons.org/licenses/by/4.0/).
Share and Cite
Wang, J.; Yang, J.; Peng, L.; Tang, D.; Gao, F.; Chen, R.; Zhou, L. Defocus Effect Correction for Back Focal Plane Ellipsometry for Antivibration Measurement of Thin Films. Appl. Sci. 2023, 13, 1738. https://doi.org/10.3390/app13031738
Wang J, Yang J, Peng L, Tang D, Gao F, Chen R, Zhou L. Defocus Effect Correction for Back Focal Plane Ellipsometry for Antivibration Measurement of Thin Films. Applied Sciences. 2023; 13(3):1738. https://doi.org/10.3390/app13031738
Chicago/Turabian StyleWang, Jian, Jun Yang, Lihua Peng, Dawei Tang, Feng Gao, Rong Chen, and Liping Zhou. 2023. "Defocus Effect Correction for Back Focal Plane Ellipsometry for Antivibration Measurement of Thin Films" Applied Sciences 13, no. 3: 1738. https://doi.org/10.3390/app13031738
APA StyleWang, J., Yang, J., Peng, L., Tang, D., Gao, F., Chen, R., & Zhou, L. (2023). Defocus Effect Correction for Back Focal Plane Ellipsometry for Antivibration Measurement of Thin Films. Applied Sciences, 13(3), 1738. https://doi.org/10.3390/app13031738

