Image Scanning Microscopy to Investigate Polycomb Protein Colocalization onto Chromatin
Abstract
1. Introduction
2. Materials and Methods
2.1. Primary Antibodies
- Mouse anti-human EZH2 monoclonal antibody (3147S, Cell Signaling Technologies): 1/100 dilution.
- Rabbit anti-human BMI1 monoclonal antibody (6964S, Cell Signaling Technologies): 1/600 dilution.
- Rabbit anti-human RING1b monoclonal antibody (5694S, Cell Signaling Technologies): 1/250 dilution.
- Rabbit anti-human H3K27me3 monoclonal antibody (ab192985, AbCam): 1/1000 dilution.
2.2. Secondary Antibodies
- Donkey anti-mouse IgG AlexaFluor 488 (A32766, Life Technologies): 1/400 dilution.
- Donkey anti-rabbit IgG AlexaFluor 647 (A32795, Life Technologies): 1/400 dilution.
- Goat anti-rabbit IgG Abberior StarRed (41699, Merck Italia): 1/400 dilution.
2.3. Cell Culture
2.4. Cell Indirect Immunofluorescence Protocol
2.5. Confocal Fluorescence Microscopy
- Blurring (Gaussian, 1 pixel standard deviation) of the blue channel image.
- Background subtraction routine of Fiji (rolling ball radius: 50 pixels) of the blue channel image.
- Thresholding [22], filling holes and watershed separation of the blue channel image to yield an 8-bit mask of single nuclei.
- Particle analysis routine of Fiji of the green and red channels by using the mask of single nuclei.
2.6. Image Scanning Microscopy Setup
2.7. Image Scanning Microscopy Data Analysis
2.8. Determination of Image Resolution
2.9. Colocalization Analysis
2.10. Statistical Data Analysis and Fitting
3. Results and Discussion
3.1. Immunolabeling and Confocal Imaging of PcG Proteins and H3K27me3
3.2. Spatial Resolution Improvement by Image Scanning Microscopy
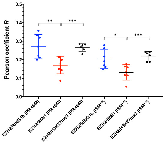
3.3. Colocalization by ISM
3.4. Single-cell Analysis of EZH2/H3K27me3 Correlation
5. Conclusions
Author Contributions
Funding
Institutional Review Board Statement
Informed Consent Statement
Data Availability Statement
Acknowledgments
Conflicts of Interest
References
- Bonev, B.; Cavalli, G. Organization and function of the 3D genome. Nat. Rev. Genet. 2016, 17, 661–678. [Google Scholar] [CrossRef] [PubMed]
- Szabo, Q.; Donjon, A.; Jerkovic, I.; Papadopoulos, G.L.; Cheutin, T.; Bonev, B.; Nora, E.P.; Bruneau, B.G.; Bantignies, F.; Cavalli, G. Regulation of single-cell genome organization into TADs and chromatin nanodomains. Nat. Genet. 2020, 52, 1151–1157. [Google Scholar] [CrossRef] [PubMed]
- Blackledge, N.P.; Klose, R.J. The molecular principles of gene regulation by Polycomb repressive complexes. Nat. Rev. Mol. Cell Biol. 2021, 22, 815–833. [Google Scholar] [CrossRef] [PubMed]
- Giner-Laguarda, N.; Vidal, M. Functions of Polycomb Proteins on Active Targets. Epigenomes 2020, 4, 17. [Google Scholar] [CrossRef]
- Loubiere, V.; Martinez, A.M.; Cavalli, G. Cell Fate and Developmental Regulation Dynamics by Polycomb Proteins and 3D Genome Architecture. BioEssays News Rev. Mol. Cell Dev. Biol. 2019, 41, 15. [Google Scholar] [CrossRef]
- Yong, K.J.; Basseres, D.S.; Welner, R.S.; Zhang, W.C.; Yang, H.; Yan, B.; Alberich-Jorda, M.; Zhang, J.Y.; de Figueiredo-Pontes, L.L.; Battelli, C.; et al. Targeted BMI1 inhibition impairs tumor growth in lung adenocarcinomas with low CEBP alpha expression. Sci. Transl. Med. 2016, 8, 350ra104. [Google Scholar] [CrossRef]
- Maroni, G.; Bassal, M.A.; Krishnan, I.; Fhu, C.W.; Savova, V.; Zilionis, R.; Maymi, V.A.; Pandell, N.; Csizmadia, E.; Zhang, J.Y.; et al. Identification of a targetable KRAS-mutant epithelial population in non-small cell lung cancer. Commun. Biol. 2021, 4, 370. [Google Scholar] [CrossRef]
- Cao, L.X.; Bombard, J.; Cintron, K.; Sheedy, J.; Weetall, M.L.; Davis, T.W. BMI1 As a Novel Target for Drug Discovery in Cancer. J. Cell. Biochem. 2011, 112, 2729–2741. [Google Scholar] [CrossRef]
- Rose, N.R.; King, H.W.; Blckledge, N.P.; Fursova, N.A.; Ember, K.J.I.; Fischer, R.; Kessler, B.M.; Klose, R.J. RYBP stimulates PRC1 to shape chromatin-based communication between Polycomb repressive complexes. Elife 2016, 5, e18591. [Google Scholar] [CrossRef]
- Pachano, T.; Crispatzu, G.; Rada-Iglesias, A. Polycomb proteins as organizers of 3D genome architecture in embryonic stem cells. Brief. Funct. Genom. 2019, 18, 358–366. [Google Scholar] [CrossRef]
- Gil, J.; O’Loghlen, A. PRC1 complex diversity: Where is it taking us? Trends Cell Biol. 2014, 24, 632–641. [Google Scholar] [CrossRef] [PubMed]
- Loh, C.H.; Veenstra, G.J.C. The Role of Polycomb Proteins in Cell Lineage Commitment and Embryonic Development. Epigenomes 2022, 6, 23. [Google Scholar] [CrossRef] [PubMed]
- Illingworth, R.S. Chromatin folding and nuclear architecture: PRC1 function in 3D. Curr. Opin. Genet. Dev. 2019, 55, 82–90. [Google Scholar] [CrossRef] [PubMed]
- Boettiger, A.N.; Bintu, B.; Moffitt, J.R.; Wang, S.Y.; Beliveau, B.J.; Fudenberg, G.; Imakaev, M.; Mirny, L.A.; Wu, C.T.; Zhuang, X.W. Super-resolution imaging reveals distinct chromatin folding for different epigenetic states. Nature 2016, 529, 418–422. [Google Scholar] [CrossRef] [PubMed]
- Wani, A.H.; Boettiger, A.N.; Schorderet, P.; Ergun, A.; Munger, C.; Sadreyev, R.I.; Zhuang, X.; Kingston, R.E.; Francis, N.J. Chromatin topology is coupled to Polycomb group protein subnuclear organization. Nat. Commmun. 2016, 7, 10291. [Google Scholar] [CrossRef]
- Boettiger, A.; Murphy, S. Advances in Chromatin Imaging at Kilobase-Scale Resolution. Trends Genet. 2020, 36, 273–287. [Google Scholar] [CrossRef]
- Storti, B.; Civita, S.; Faraci, P.; Maroni, G.; Krishnan, I.; Levantini, E.; Bizzarri, R. Fluorescence imaging of biochemical relationship between ubiquitinated histone 2A and Polycomb complex protein BMI1. Biophys. Chem. 2019, 253, 12. [Google Scholar] [CrossRef]
- Adler, J.; Parmryd, I. Quantifying Colocalization by Correlation: The Pearson Correlation Coefficient is Superior to the Mander’s Overlap Coefficient. Cytom. Part A 2010, 77A, 733–742. [Google Scholar] [CrossRef]
- Storti, B.; Quaranta, P.; Di Primio, C.; Clementi, N.; Mancini, N.; Criscuolo, E.; Spezia, P.G.; Carnicelli, V.; Lottini, G.; Paolini, E.; et al. A spatial multi-scale fluorescence microscopy toolbox discloses entry checkpoints of SARS-CoV-2 variants in Vero E6 cells. Comput. Struct. Biotechnol. J. 2021, 19, 6140–6156. [Google Scholar] [CrossRef]
- Choi, K.; Creighton, C.J.; Stivers, D.; Fujimoto, N.; Kurie, J.M. Transcriptional Profiling of Non-Small Cell Lung Cancer Cells with Activating EGFR Somatic Mutations. PLoS ONE 2007, 2, e1226. [Google Scholar] [CrossRef]
- Schindelin, J.; Arganda-Carreras, I.; Frise, E.; Kaynig, V.; Longair, M.; Pietzsch, T.; Preibisch, S.; Rueden, C.; Saalfeld, S.; Schmid, B.; et al. Fiji: An open-source platform for biological-image analysis. Nat. Methods 2012, 9, 676–682. [Google Scholar] [CrossRef] [PubMed]
- Huang, L.K.; Wang, M.J.J. Image thresholding by minimizing the measures of fuzziness. Pattern Recognit. 1995, 28, 41–51. [Google Scholar] [CrossRef]
- Castello, M.; Tortarolo, G.; Buttafava, M.; Deguchi, T.; Villa, F.; Koho, S.; Pesce, L.; Oneto, M.; Pelicci, S.; Lanzano, L.; et al. A robust and versatile platform for image scanning microscopy enabling super-resolution FLIM. Nat. Methods 2019, 16, 175–178. [Google Scholar] [CrossRef] [PubMed]
- Zunino, A.; Castello, M.; Vicidomini, G. Reconstructing the Image Scanning Microscopy Dataset: An Inverse Problem. arXiv 2022, arXiv:2211.12510. [Google Scholar]
- Tortarolo, G.; Castello, M.; Diaspro, A.; Koho, S.; Vicidomini, G. Evaluating image resolution in stimulated emission depletion microscopy. Optica 2018, 5, 32–35. [Google Scholar] [CrossRef]
- Costes, S.V.; Daelemans, D.; Cho, E.H.; Dobbin, Z.; Pavlakis, G.; Lockett, S. Automatic and quantitative measurement of protein-protein colocalization in live cells. Biophys. J. 2004, 86, 3993–4003. [Google Scholar] [CrossRef]
- Bolte, S.; Cordelieres, F.P. A guided tour into subcellular colocalization analysis in light microscopy. J. Microsc. 2006, 224, 213–232. [Google Scholar] [CrossRef]
- Sheppard, C.J.R. Super-Resolution in Confocal Imaging. Optik 1988, 80, 53–54. [Google Scholar]
- Xu, L.; Ronnlund, D.; Aspenstrom, P.; Braun, L.J.; Gad, A.K.B.; Widengren, J. Resolution, target density and labeling effects in colocalization studies—Suppression of false positives by nanoscopy and modified algorithms. Febs. J. 2016, 283, 882–898. [Google Scholar] [CrossRef]
- Huseyin, M.K.; Klose, R.J. Live-cell single particle tracking of PRC1 reveals a highly dynamic system with low target site occupancy. Nat. Commmun. 2021, 12, 887. [Google Scholar] [CrossRef]





Disclaimer/Publisher’s Note: The statements, opinions and data contained in all publications are solely those of the individual author(s) and contributor(s) and not of MDPI and/or the editor(s). MDPI and/or the editor(s) disclaim responsibility for any injury to people or property resulting from any ideas, methods, instructions or products referred to in the content. |
© 2023 by the authors. Licensee MDPI, Basel, Switzerland. This article is an open access article distributed under the terms and conditions of the Creative Commons Attribution (CC BY) license (https://creativecommons.org/licenses/by/4.0/).
Share and Cite
Nepita, I.; Piazza, S.; Ruglioni, M.; Cristiani, S.; Bosurgi, E.; Salvadori, T.; Vicidomini, G.; Diaspro, A.; Castello, M.; Bianchini, P.; et al. Image Scanning Microscopy to Investigate Polycomb Protein Colocalization onto Chromatin. Appl. Sci. 2023, 13, 1556. https://doi.org/10.3390/app13031556
Nepita I, Piazza S, Ruglioni M, Cristiani S, Bosurgi E, Salvadori T, Vicidomini G, Diaspro A, Castello M, Bianchini P, et al. Image Scanning Microscopy to Investigate Polycomb Protein Colocalization onto Chromatin. Applied Sciences. 2023; 13(3):1556. https://doi.org/10.3390/app13031556
Chicago/Turabian StyleNepita, Irene, Simonluca Piazza, Martina Ruglioni, Sofia Cristiani, Emanuele Bosurgi, Tiziano Salvadori, Giuseppe Vicidomini, Alberto Diaspro, Marco Castello, Paolo Bianchini, and et al. 2023. "Image Scanning Microscopy to Investigate Polycomb Protein Colocalization onto Chromatin" Applied Sciences 13, no. 3: 1556. https://doi.org/10.3390/app13031556
APA StyleNepita, I., Piazza, S., Ruglioni, M., Cristiani, S., Bosurgi, E., Salvadori, T., Vicidomini, G., Diaspro, A., Castello, M., Bianchini, P., Storti, B., & Bizzarri, R. (2023). Image Scanning Microscopy to Investigate Polycomb Protein Colocalization onto Chromatin. Applied Sciences, 13(3), 1556. https://doi.org/10.3390/app13031556

