The Determination of Combustion for Different Pellets Based on Ostwald Diagrams in a Domestic Stove under Experimental Conditions
Abstract
:Featured Application
Abstract
1. Introduction
1.1. Global Energy Scenario
1.2. Combustion: Foundations and Optimization
- hh—ha represents the enthalpy change in the exhaust gases.
- mh is the exhaust flow.
- Cph is the average specific heat of the exhaust gases.
- Th—Ta are the inlet and outlet temperature, respectively, of the exhaust gases and the air.
- Vh and ρh are the total volume generated and the exhaust gas density, respectively.
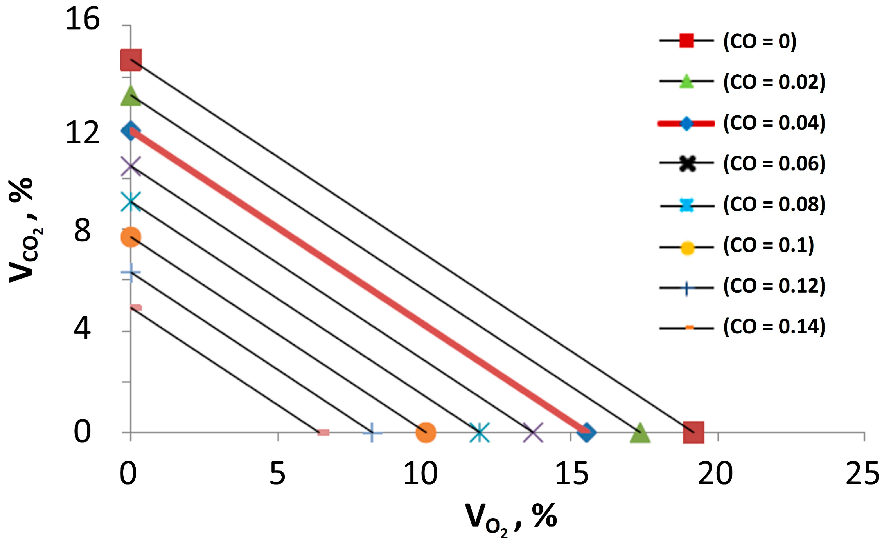
1.3. Ostwald Diagram: Theoretical Foundations
1.4. Novelty and Aim of This Work
2. Materials and Methods
2.1. Facilities, Raw Materials, and Their Characterization
2.2. Combustion System and Equipment
- Pellet stove, where the different biomass pellets were fed to carry out their combustion at different feed ratios and power.
- Gas analyzer for the combustion flue gas (Testo 335), placed in the chimney once to analyze the main components included in the combustion exhaust gas, such as O2, CO2, or CO. Also, an excess air coefficient (λ), which will be compared to the calculated excess air coefficient (n) in further sections, is provided using the gas analyzer.
- Temperature probe for flue gas.
- Temperature probe for inlet air.
2.3. Experimental Procedure
2.4. Ostwald Diagram
- VCO2max, VO2 = 0, with n = 1 and x = 1. VCO2max was obtained from Equation (10), resulting in a value of 0.161.
- VCO2 = 0, VO2max, with n = 1 and x = 1. VO2max was obtained from Equation (11), resulting in a value of 0.074.
3. Results and Discussion
3.1. Pellet Characterization and Experiments Selected for Combustion Tests
3.2. Pine Pellet Combustion
3.3. Plum Tree Pellet Combustion
3.4. Poplar Pellet Combustion
4. Conclusions
- Combustion was more complete when power and feed increased, decreasing energy loss except with poplar pellets. Regarding pine and plum tree pellets, thermal efficiency increased with a rise in pellet feed and power, as opposed to poplar pellets, for which this efficiency improved by modifying excess air.
- Some solutions to losses were proposed, such as sample homogenization to make the feeding rate more stable, a reduction in the excess air coefficient, and the implementation of an economizer (to reduce the exhaust gas temperature, which is a good step from both environmental and economic points of view).
- The optimum combustion conditions for pine pellets were obtained by selecting Position 5 and +25% biomass feed, with the highest yield, 92.34%, obtained with an excess air coefficient of 2.23, a burned gas ratio of 0.994, and flue gas and inlet air temperatures of 113.14 °C and 90.57 °C, respectively. Regarding plum tree pellets, Position 4 and +25% biomass feed were the optimum conditions, with the highest yield, 91.58%, obtained with an excess air coefficient of 2.91, a burned gas ratio of 0.993, and flue gas and inlet air temperatures of 91.71 °C and 49.14 °C, respectively. For poplar pellets, these conditions were P = 3 and +25% biomass supply, with the highest yield, 91.1%, obtained with an excess air coefficient of 3.18, and flue gas and inlet air temperatures of 87.66 °C and 84.66 °C, respectively.
- For this combustion chamber, it can be concluded that the three fuels studied are suitable for this facility in order to achieve optimum conditions, that is, an efficient combustion process, not showing considerable differences among the products to be selected as the ideal biomass for this experiment.
Author Contributions
Funding
Institutional Review Board Statement
Informed Consent Statement
Data Availability Statement
Acknowledgments
Conflicts of Interest
Nomenclature
| Symbol | Meaning |
| CO2 | Carbon dioxide content in fumes measured with the gas analyzer |
| λ | Excess air coefficient directly obtained with the gas analyzer |
| n | Excess air coefficient |
| η | Thermal efficiency |
| qA | Loss through sensitive enthalpy in flue gas |
| Slope of complete combustion line | |
| LHV | Low heating value |
| x | Burned gas ratio |
| y | Theoretical carbon dioxide content in fumes according to Ostwald diagram |
References
- Högselius, P.; Kaijser, A. Energy Dependence in Historical Perspective: The Geopolitics of Smaller Nations. Energy Policy 2019, 127, 438–444. [Google Scholar] [CrossRef]
- Vakulchuk, R.; Overland, I.; Scholten, D. Renewable Energy and Geopolitics: A Review. Renew. Sustain. Energy Rev. 2020, 122, 109547. [Google Scholar] [CrossRef]
- Bricout, A.; Slade, R.; Staffell, I.; Halttunen, K. From the Geopolitics of Oil and Gas to the Geopolitics of the Energy Transition: Is There a Role for European Supermajors? Energy Res. Soc. Sci. 2022, 88, 102634. [Google Scholar] [CrossRef]
- Scholten, D.; Bosman, R. The Geopolitics of Renewables; Exploring the Political Implications of Renewable Energy Systems. Technol. Forecast. Soc. Chang. 2016, 103, 273–283. [Google Scholar] [CrossRef]
- Carfora, A.; Pansini, R.V.; Scandurra, G. Energy Dependence, Renewable Energy Generation and Import Demand: Are EU Countries Resilient? Renew. Energy 2022, 195, 1262–1274. [Google Scholar] [CrossRef]
- UN Sustainable Development Goals. Available online: https://www.un.org/sustainabledevelopment/ (accessed on 29 July 2023).
- Singh, A.; Christensen, T.; Panoutsou, C. Policy Review for Biomass Value Chains in the European Bioeconomy. Glob. Transit. 2021, 3, 13–42. [Google Scholar] [CrossRef]
- Vitoussia, T.; Leyssens, G.; Trouvé, G.; Brillard, A.; Kemajou, A.; Njeugna, E.; Brilhac, J.F. Analysis of the Combustion of Pellets Made with Three Cameroonian Biomass in a Domestic Pellet Stove. Fuel 2020, 276, 118105. [Google Scholar] [CrossRef]
- Bioenergy Europe Wood Pellet Production Worldwide from 2000 to 2018. Available online: https://www.statista.com/statistics/509075/global-wood-pellet-production/ (accessed on 18 September 2023).
- EurObserv’ER Solid Biomass Primary Energy Production in the European Union 2000–2021. Available online: https://www.statista.com/statistics/799329/solid-biomass-energy-production-european-union-eu/ (accessed on 18 September 2023).
- Federal Network Agency Number of Biomass Power Plants in Germany from 2011 to 2022. Available online: https://www.statista.com/statistics/457781/biomass-plants-in-germany/ (accessed on 18 September 2023).
- Energy Information Administration Electricity Generation from Biomass and Waste in Africa from 2000 to 2020. Available online: https://www.statista.com/statistics/1276088/electricity-generation-from-biomass-and-waste-in-africa/ (accessed on 18 September 2023).
- EurObserv’ER Biomass Energy Production and Consumption in Finland 2015–2016. Available online: https://www.statista.com/statistics/799434/solid-biomass-production-consumption-finland/ (accessed on 18 September 2023).
- EurObserv’ER Biomass Energy Production and Consumption in Sweden 2016–2021. Available online: https://www.statista.com/statistics/799426/solid-biomass-production-consumption-sweden/ (accessed on 18 September 2023).
- EurObserv’ER Biomass Energy Production and Consumption in Portugal 2016–2021. Available online: https://www.statista.com/statistics/799491/solid-biomass-production-consumption-portugal/ (accessed on 18 September 2023).
- EurObserv’ER Biomass Energy Production and Consumption in Italy 2016–2018. Available online: https://www.statista.com/statistics/799429/solid-biomass-production-consumption-italy/ (accessed on 18 September 2023).
- EurObserv’ER Biomass Energy Production and Consumption in Spain 2015–2021. Available online: https://www.statista.com/statistics/799448/solid-biomass-production-consumption-spain/ (accessed on 18 September 2023).
- Moayedi, H.; Aghel, B.; Abdullahi, M.M.; Nguyen, H.; Safuan A Rashid, A. Applications of Rice Husk Ash as Green and Sustainable Biomass. J. Clean. Prod. 2019, 237, 117851. [Google Scholar] [CrossRef]
- Lewandowski, W.M.; Ryms, M.; Kosakowski, W. Thermal Biomass Conversion: A Review. Processes 2020, 8, 516. [Google Scholar] [CrossRef]
- Hustad, J.E.; Wnju, O.K. Biomass Combustion in IEA Countries. Biomass Bioenergy 1992, 2, 239–261. [Google Scholar] [CrossRef]
- Oladosu, K.O.; Babalola, S.A.; Kareem, M.W.; Ajimotokan, H.A.; Kolawole, M.Y.; Issa, W.A.; Olawore, A.S.; Ponle, E.A. Optimization of Fuel Briquette Made from Bi-Composite Biomass for Domestic Heating Applications. Sci. Afr. 2023, 21, e01824. [Google Scholar] [CrossRef]
- Pokhrel, R.P.; Gordon, J.; Fiddler, M.N.; Bililign, S. Determination of Emission Factors of Pollutants From Biomass Burning of African Fuels in Laboratory Measurements. J. Geophys. Res. Atmos. 2021, 126, e2021JD034731. [Google Scholar] [CrossRef]
- Labbé, R.; Paczkowski, S.; Knappe, V.; Russ, M.; Wöhler, M.; Pelz, S. Effect of Feedstock Particle Size Distribution and Feedstock Moisture Content on Pellet Production Efficiency, Pellet Quality, Transport and Combustion Emissions. Fuel 2020, 263, 116662. [Google Scholar] [CrossRef]
- Brandelet, B.; Rose, C.; Landreau, J.; Druette, L.; Rogaume, Y. Toward a Cleaner Domestic Wood Heating by the Optimization of Firewood Stoves? J. Clean. Prod. 2021, 325, 129338. [Google Scholar] [CrossRef]
- Han, J.; Liu, X.; Hu, S.; Zhang, N.; Wang, J.; Liang, B. Optimization of Decoupling Combustion Characteristics of Coal Briquettes and Biomass Pellets in Household Stoves. Chin. J. Chem. Eng. 2023, 59, 182–192. [Google Scholar] [CrossRef]
- Shaisundaram, V.S.; Chandrasekaran, M.; Sujith, S.; Praveen Kumar, K.J.; Shanmugam, M. Design and Analysis of Novel Biomass Stove. In Materials Today: Proceedings; Elsevier Ltd.: Amsterdam, The Netherlands, 2020; Volume 46, pp. 4054–4058. [Google Scholar]
- Zhang, H.; Zhang, X.; Wang, Y.; Bai, P.; Hayakawa, K.; Zhang, L.; Tang, N. Characteristics and Influencing Factors of Polycyclic Aromatic Hydrocarbons Emitted from Open Burning and Stove Burning of Biomass: A Brief Review. Int. J. Environ. Res. Public Health 2022, 19, 3944. [Google Scholar] [CrossRef]
- Qi, J.; Liu, L.; Wu, J. Improving Combustion Technology for Cooking Activities for Pollutant Emission Reduction and Carbon Neutrality. Atmosphere 2022, 13, 561. [Google Scholar] [CrossRef]
- Huang, Y.; Partha, D.B.; Harper, K.; Heyes, C. Impacts of Global Solid Biofuel Stove Emissions on Ambient Air Quality and Human Health. Geohealth 2021, 5, e2020GH000362. [Google Scholar] [CrossRef]
- Lustenberger, D.; Strassburg, J.; Strebel, T.; Mangold, F.; Griffin, T. Simulation Tool for the Development of a Staged Combustion Pellet Stove Controller. Energies 2022, 15, 6969. [Google Scholar] [CrossRef]
- Al-Kassir, A.; Coelho, P.; García-Sanz-Calcedo, J.; Moral, F.J.; Al-Karany, R.K.; Yusaf, T. An Experimental Technology of Drying and Clean Combustion of Biomass Residues. Appl. Sci. 2018, 8, 905. [Google Scholar] [CrossRef]
- Maxwell, D.; Gudka, B.A.; Jones, J.M.; Williams, A. Emissions from the Combustion of Torrefied and Raw Biomass Fuels in a Domestic Heating Stove. Fuel Process. Technol. 2020, 199, 106266. [Google Scholar] [CrossRef]
- Prapas, J.; Baumgardner, M.E.; Marchese, A.J.; Willson, B.; DeFoort, M. Influence of Chimneys on Combustion Characteristics of Buoyantly Driven Biomass Stoves. Energy Sustain. Dev. 2014, 23, 286–293. [Google Scholar] [CrossRef]
- Sungur, B.; Basar, C.; Kaleli, A. Multi-Objective Optimisation of the Emission Parameters and Efficiency of Pellet Stove at Different Supply Airflow Positions Based on Machine Learning Approach. Energy 2023, 278, 127896. [Google Scholar] [CrossRef]
- Schmidt, G.; Trouvé, G.; Leyssens, G.; Schönnenbeck, C.; Genevray, P.; Cazier, F.; Dewaele, D.; Vandenbilcke, C.; Faivre, E.; Denance, Y.; et al. Wood Washing: Influence on Gaseous and Particulate Emissions during Wood Combustion in a Domestic Pellet Stove. Fuel Process. Technol. 2018, 174, 104–117. [Google Scholar] [CrossRef]
- Vicente, E.D.; Duarte, M.A.; Calvo, A.I.; Nunes, T.F.; Tarelho, L.; Alves, C.A. Emission of Carbon Monoxide, Total Hydrocarbons and Particulate Matter during Wood Combustion in a Stove Operating under Distinct Conditions. Fuel Process. Technol. 2015, 131, 182–192. [Google Scholar] [CrossRef]
- Toscano, G.; Duca, D.; Amato, A.; Pizzi, A. Emission from Realistic Utilization of Wood Pellet Stove. Energy 2014, 68, 644–650. [Google Scholar] [CrossRef]
- UNE 32004:1984; Solid Mineral Fuels. Determination of Ash. UNE Normalización Española: Madrid, Spain, 1984.
- UNE 32001:1981; Hard Coal and Anthracite. Determination of Total Moisture. UNE Normalización Española: Madrid, Spain, 1981.
- UNE 32019:1984; Hard Coal and Coke. Determination of Volatile Matter Content. UNE Normalización Española: Madrid, Spain, 1984.
- Yao, W.; Zhao, Y.; Chen, R.; Wang, M.; Song, W.; Yu, D. Emissions of Toxic Substances from Biomass Burning: A Review of Methods and Technical Influencing Factors. Processes 2023, 11, 853. [Google Scholar] [CrossRef]
- Deng, M.; Li, P.; Shan, M.; Yang, X. Optimizing Supply Airflow and Its Distribution between Primary and Secondary Air in a Forced-Draft Biomass Pellet Stove. Environ. Res. 2020, 184, 109301. [Google Scholar] [CrossRef]
- Zhang, Y.; Zhang, Z.; Zhou, Y.; Dong, R. The Influences of Various Testing Conditions on the Evaluation of Household Biomass Pellet Fuel Combustion. Energies 2018, 11, 1131. [Google Scholar] [CrossRef]
- Holubčík, M.; Čajová Kantová, N.; Jandačka, J.; Čaja, A. The Performance and Emission Parameters Based on the Redistribution of the Amount of Combustion Air of the Wood Stove. Processes 2022, 10, 1570. [Google Scholar] [CrossRef]
- Wang, X.; Niu, B.; Deng, S.; Liu, Y.; Tan, H. Optimization Study on Air Distribution of an Actual Agriculture Up-Draft Biomass Gasification Stove. Energy Procedia 2014, 61, 2335–2338. [Google Scholar] [CrossRef]
- Lasek, J.A.; Matuszek, K.; Hrycko, P.; Głód, K.; Li, Y.H. The Combustion of Torrefied Biomass in Commercial-Scale Domestic Boilers. Renew. Energy 2023, 216, 119065. [Google Scholar] [CrossRef]
- Costa, M.A.M.; Schiavon, N.C.B.; Felizardo, M.P.; Souza, A.J.D.; Dussán, K.J. Emission Analysis of Sugarcane Bagasse Combustion in a Burner Pilot. Sustain. Chem. Pharm. 2023, 32, 101028. [Google Scholar] [CrossRef]
- Kougioumtzis, M.A.; Kanaveli, I.P.; Karampinis, E.; Grammelis, P.; Kakaras, E. Combustion of Olive Tree Pruning Pellets versus Sunflower Husk Pellets at Industrial Boiler. Monitoring of Emissions and Combustion Efficiency. Renew. Energy 2021, 171, 516–525. [Google Scholar] [CrossRef]



















| Authors | Details and Findings | Reference |
|---|---|---|
| Maxwell et al. | Analysis of the emissions of three different biomass products, and their torrefied counterparts, in a domestic wood stove. After torrefaction, lower emissions (CO and CH4) were found. | [32] |
| Prapas et al. | Study of the influence of a chimney on the combustion characteristics of a stove, observing changes in CO production. | [33] |
| Sungur et al. | Optimization of the effects of burner pot design by changing supply airflow position in a pellet stove through machine learning. | [34] |
| Schmidt et al. | Influence of wood washing on emissions during wood combustion in a domestic pellet stove, with an observed decrease in pollutants. | [35] |
| Vicente et al. | Wood combustion experiments were carried out to determine the effects of different factors, like biomass load. | [36] |
| Toscano et al. | Combustion tests were carried out, simulating domestic utilization conditions of a pellet stove. Higher emissions (for instance, CO) were found in the steady state condition. | [37] |
| Parameter | Details |
|---|---|
| Proximate analysis | Biomass composition with regards to ash, moisture, volatile content, and fixed carbon. |
| Ash content | The solid waste after incineration. High-quality fuels present low ash content. Determination according to UNE 32004:1984 standard [38]. |
| Moisture content | High moisture reduces energy potential, as some energy will be used to evaporate and remove moisture. According to UNE 32001:1981 standard [39]. |
| Volatile matter | Weight loss of a fuel during heating in the absence of oxygen (apart from moisture content). According to UNE 32019:1984 standard [40]. |
| Fixed carbon | Obtained according to the previous values, as follows: Fixed carbon = 100 − (% ash + % moisture + % volatile matter). |
| Ultimate analysis | The qualitative and quantitative determination of certain chemical elements, such as C, H, N, S and O, mainly. |
| Parameter | Result |
|---|---|
| Weight, kg | 110 |
| Height, mm | 864 |
| Width, mm | 453 |
| Depth, mm | 497 |
| Flue gas pipe diameter, mm | 80 |
| Air suction pipe diameter, mm | 50 |
| Maximum heating volume, m3 | 115 |
| Maximum thermal power, kW | 5.8 |
| Maximum useful thermal power, kW | 5.0 |
| Minimum useful thermal power, kW | 2.5 |
| Maximum hourly fuel consumption, kg/h | 1.2 |
| Minimum hourly fuel consumption, kg/h | 0.6 |
| Tank capacity, kg | 11 |
| Nominal electric power, W | 300 |
| Recommended flue gas pressure, Pa | 10 |
| Flue gas pressure at maximum thermal power, Pa | 12 |
| Flue gas pressure at minimum thermal power, Pa | 10 |
| Raw Material | Position or Level Selected | Pellet Feed |
|---|---|---|
| Pine | ||
| Poplar | 1, 2, 3, 4 and 5 | Normal (100%) Extra (125%) |
| Plum tree |
| VO2, % (X) | VCO2, % (Y) | VO2, % (X) | VCO2, % (Y) |
|---|---|---|---|
| 0.00 | 0.161 | 0.11 | 0.077 |
| 0.01 | 0.153 | 0.12 | 0.069 |
| 0.02 | 0.145 | 0.13 | 0.061 |
| 0.03 | 0.138 | 0.14 | 0.054 |
| 0.04 | 0.130 | 0.15 | 0.046 |
| 0.05 | 0.122 | 0.16 | 0.038 |
| 0.06 | 0.115 | 0.17 | 0.031 |
| 0.07 | 0.107 | 0.18 | 0.023 |
| 0.08 | 0.099 | 0.19 | 0.015 |
| 0.09 | 0.092 | 0.20 | 0.008 |
| 0.10 | 0.084 | 0.21 | 0.000 |
| Proximate Analysis (Dry Basis) | |||||
|---|---|---|---|---|---|
| Sample | Ash, % | Moisture, % | Volatile matter, % | Fixed carbon, % | |
| Pine | 0.50 | 6.42 | 84.01 | 15.49 | |
| Poplar | 1.79 | 6.61 | 78.24 | 13.36 | |
| Plum tree | 0.83 | 6.90 | 78.37 | 13.90 | |
| Ultimate analysis (Dry Basis) | |||||
| Sample | C, % | H, % | N, % | S, % | O, % |
| Pine | 47.70 | 6.12 | 0.33 | 0.004 | 45.85 |
| Poplar | 46.40 | 6.01 | 0.52 | 0.028 | 47.04 |
| Plum tree | 47.50 | 6.23 | 0.38 | 0.093 | 45.80 |
| Pine | Poplar | Plum Tree |
|---|---|---|
| P1I vs. P5I | P3I vs. P5I | P2I vs. P4I |
| P1I vs. P5II | P3I vs. P5II | P2I vs. P4II |
| P1II vs. P5II | P3II vs. P5II | P2II vs. P4II |
| P5I vs. P5II | P5I vs. P5II | P4I vs. P4II |
| P1 | P5 | |||
|---|---|---|---|---|
| Parameter | Average | Average Deviation | Average | Average Deviation |
| O2, % | 18 | 0.01 | 14.8 | 0.006 |
| Air supply temperature, °C | 46.7 | 1.9 | 68.4 | 0.4 |
| Flue gas temperature, °C | 74.7 | 0.5 | 107 | 0.3 |
| Ambient temperature, °C | 20.9 | 0.6 | 20.5 | 0.2 |
| CO, ppm | 700.1 | 214.1 | 445.2 | 126.4 |
| CO, % | 0.070 | 0.021 | 0.045 | 0.013 |
| y, % | 2.27 | 0.46 | 4.75 | 0.44 |
| CO2, % | 2.93 | 0.58 | 6.12 | 0.56 |
| λ | 7.19 | 1.38 | 3.36 | 0.29 |
| η, % | 85.82 | 3.00 | 89.74 | 0.78 |
| qA, % | 14.18 | 3.00 | 10.26 | 0.78 |
| NO, ppm | 17.9 | 6.7 | 43.2 | 6.0 |
| Calculated n | 6.94 | 1.33 | 3.26 | 0.28 |
| X (x = [VCO2/(VCO2 + VCO)]) | 0.966 | 0.016 | 0.991 | 0.002 |
| Test Parameter | Pine Pellets (P = 1, 100% Feed) | Pine Pellets (P = 5, 125% Feed) | Comparison |
|---|---|---|---|
| O2, % | 18 | 11.9 | |
| Air supply temperature, °C | 46.7 | 90.6 | |
| Flue gas temperature, °C | 74.7 | 113.1 | |
| Ambient temperature, °C | 20.9 | 20.8 | Constant |
| CO, ppm | 700.1 | 364.4 | |
| CO, % | 0.070 | 0.036 | |
| y, % | 2.27 | 6.96 | |
| CO2, % | 2.93 | 8.96 | |
| λ | 7.19 | 2.29 | |
| η, % | 85.82 | 92.34 | |
| qA, % | 14.18 | 7.66 | |
| NO, ppm | 17.9 | 65.1 | Negligible |
| Calculated n | 6.94 | 2.24 | |
| x (x = [VCO2/(VCO2 + VCO)]) | 0.966 | 0.995 |
| P2 | P4 | |||
|---|---|---|---|---|
| Parameter | Average | Average Deviation | Average | Average Deviation |
| O2, % | 18.9 | 0.4 | 18.0 | 0.7 |
| Air supply temperature, °C | 43.6 | 0.7 | 52 | 0.4 |
| Flue gas temperature, °C | 69.2 | 0.6 | 90.2 | 1.1 |
| Ambient temperature, °C | 18.8 | 0.4 | 18.7 | 0.5 |
| CO, ppm | 1378.0 | 240.8 | 1372.6 | 533.1 |
| CO, % | 0.138 | 0.024 | 0.137 | 0.053 |
| y, % | 1.50 | 0.35 | 2.22 | 0.57 |
| CO2,% | 1.98 | 0.45 | 2.91 | 0.73 |
| λ | 10.05 | 1.92 | 7.06 | 1.46 |
| η, % | 79.98 | 4.42 | 81.26 | 4.69 |
| qA, % | 20.02 | 4.42 | 18.74 | 4.69 |
| NO, ppm | 40 | 11.2 | 61.4 | 12.9 |
| Calculated n | 9.72 | 1.87 | 6.82 | 1.42 |
| X (x = [VCO2/(VCO2 + VCO)]) | 0.908 | 0.029 | 0.932 | 0.038 |
| Test Parameter | Plum Tree Pellets (P = 2, 100% Feed) | Plum Tree Pellets (P = 4, 125% Feed) | Comparison |
|---|---|---|---|
| O2, % | 18.9 | 14.1 | |
| Air supply temperature, °C | 43.6 | 49.1 | |
| Flue gas temperature, °C | 69.2 | 91.7 | |
| Ambient temperature, °C | 18.8 | 18.9 | Constant |
| CO, ppm | 1378 | 329.3 | |
| CO, % | 0.138 | 0.033 | |
| y, % | 1.50 | 5.26 | |
| CO2, % | 1.98 | 6.71 | |
| λ | 10.05 | 3.01 | |
| η, % | 79.98 | 91.53 | |
| qA, % | 20.02 | 8.41 | |
| NO, ppm | 40 | 115.9 | Negligible |
| Calculated n | 9.72 | 2.92 | |
| x (x = [VCO2/(VCO2 + VCO)]) | 0.908 | 0.994 |
| P3 | P5 | |||
|---|---|---|---|---|
| Parameter | Average | Average Deviation | Average | Average Deviation |
| O2, % | 17.1 | 1.1 | 16.6 | 0.6 |
| Air supply temperature, °C | 60.7 | 1.0 | 58.8 | 1.1 |
| Flue gas temperature, °C | 78.8 | 1.2 | 96.6 | 1.3 |
| Ambient temperature, °C | 14.2 | 0.5 | 18.9 | 0.5 |
| CO, ppm | 806.7 | 182.4 | 1047.1 | 158.5 |
| CO, % | 0.081 | 0.018 | 0.105 | 0.016 |
| y, % | 2.90 | 0.85 | 3.28 | 0.45 |
| CO2,% | 3.76 | 1.09 | 4.26 | 0.57 |
| λ | 5.76 | 1.33 | 4.77 | 0.61 |
| η, % | 85.62 | 3.46 | 85.47 | 1.85 |
| qA, % | 14.38 | 3.46 | 14.57 | 1.85 |
| NO, ppm | 73.7 | 15.6 | 114.7 | 13.6 |
| Calculated n | 5.56 | 1.28 | 4.62 | 0.58 |
| x (x = [VCO2/(VCO2 + VCO)]) | 0.969 | 0.012 | 0.968 | 0.009 |
| Test Parameter | Poplar Pellet (P = 3, 100% Feed) | Poplar Pellet (P = 5, 125% Feed) | Comparison |
|---|---|---|---|
| O2, % | 17.1 | 12.5 | |
| Air supply temperature, °C | 60.7 | 77 | |
| Flue gas temperature, °C | 78.8 | 115.6 | |
| Ambient temperature, °C | 14.2 | 21 | |
| CO, ppm | 806.7 | 1058.6 | Constant |
| CO, % | 0.081 | 0.106 | Constant |
| y, % | 2.90 | 6.40 | |
| CO2, % | 3.76 | 8.28 | |
| λ | 5.76 | 2.45 | |
| η, % | 85.62 | 90.53 | |
| qA, % | 14.38 | 9.47 | |
| NO, ppm | 73.7 | 165.4 | Negligible |
| Calculated n | 5.56 | 2.39 | |
| x (x = [VCO2/(VCO2 + VCO)]) | 0.969 | 0.984 |
Disclaimer/Publisher’s Note: The statements, opinions and data contained in all publications are solely those of the individual author(s) and contributor(s) and not of MDPI and/or the editor(s). MDPI and/or the editor(s) disclaim responsibility for any injury to people or property resulting from any ideas, methods, instructions or products referred to in the content. |
© 2023 by the authors. Licensee MDPI, Basel, Switzerland. This article is an open access article distributed under the terms and conditions of the Creative Commons Attribution (CC BY) license (https://creativecommons.org/licenses/by/4.0/).
Share and Cite
González, J.F.; Álvarez Murillo, A.; Díaz García, D.; Nogales-Delgado, S. The Determination of Combustion for Different Pellets Based on Ostwald Diagrams in a Domestic Stove under Experimental Conditions. Appl. Sci. 2023, 13, 12007. https://doi.org/10.3390/app132112007
González JF, Álvarez Murillo A, Díaz García D, Nogales-Delgado S. The Determination of Combustion for Different Pellets Based on Ostwald Diagrams in a Domestic Stove under Experimental Conditions. Applied Sciences. 2023; 13(21):12007. https://doi.org/10.3390/app132112007
Chicago/Turabian StyleGonzález, Juan Félix, Andrés Álvarez Murillo, Diego Díaz García, and Sergio Nogales-Delgado. 2023. "The Determination of Combustion for Different Pellets Based on Ostwald Diagrams in a Domestic Stove under Experimental Conditions" Applied Sciences 13, no. 21: 12007. https://doi.org/10.3390/app132112007
APA StyleGonzález, J. F., Álvarez Murillo, A., Díaz García, D., & Nogales-Delgado, S. (2023). The Determination of Combustion for Different Pellets Based on Ostwald Diagrams in a Domestic Stove under Experimental Conditions. Applied Sciences, 13(21), 12007. https://doi.org/10.3390/app132112007

