Sensory Acceptance and Characterisation of Turmeric- and Black-Pepper-Enriched Ice Cream
Abstract
:1. Introduction
2. Materials and Methods
2.1. Materials
2.2. Preliminary Study
2.2.1. Development of Flavoured Ice Cream Formulations
2.2.2. Pre-Selection of JAR and CATA Terms
2.3. Ice Cream Production
2.4. Sensory Analysis
2.4.1. Participants
2.4.2. Experimental Procedure
2.4.3. Consumer Acceptance
2.4.4. JAR Test
2.4.5. CATA Test
2.4.6. Open-Ended Evaluation
2.4.7. Purchase Intent and Willingness to Consume
2.5. Microbiological Analysis
2.6. Data Analysis
3. Results and Discussion
3.1. Microbiological Safety of Evaluated Samples
3.2. Consumer Acceptance of Turmeric-Flavoured Ice Cream
3.2.1. Sensory Acceptability
3.2.2. Willingness to Buy and Consume
3.3. Sensorial Characterisation of Turmeric-Flavoured Ice Cream
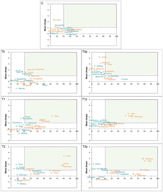
3.3.1. Just-About-Right (JAR) and Penalty Analysis
3.3.2. CATA Sensory Profiling
3.3.3. Open-Ended Comments
3.4. Principal Component Analysis
4. Conclusions
Supplementary Materials
Author Contributions
Funding
Institutional Review Board Statement
Informed Consent Statement
Data Availability Statement
Conflicts of Interest
References
- Goff, H.D. Colloidal aspects of ice cream—A review. Int. Dairy J. 1997, 7, 363–373. [Google Scholar] [CrossRef]
- Marshall, R.T.; Goff, H.D.; Hartel, R.V. Ice Cream, 6th ed.; Springer: New York, NY, USA, 2003; pp. 1–91. [Google Scholar] [CrossRef]
- Soukoulis, C.; Fisk, I.D.; Bohn, T. Ice cream as a vehicle for incorporating health-promoting ingredients: Conceptualization and overview of quality and storage stability. Compr. Rev. Food Sci. Food Saf. 2014, 13, 627–655. [Google Scholar] [CrossRef]
- Hernández, H.; Nunes, M.C.; Prista, C.; Raymundo, A. Innovative and Healthier Dairy Products through the Addition of Microalgae: A Review. Foods 2022, 11, 755. [Google Scholar] [CrossRef]
- Genovese, A.; Balivo, A.; Salvati, A.; Sacchi, R. Functional ice cream health benefits and sensory implications. Food Res. Int. 2022, 161, 111858. [Google Scholar] [CrossRef]
- Afzaal, M.; Saeed, F.; Arshad, M.U.; Nadeem, M.T.; Saeed, M.; Tufail, T. The Effect of Encapsulation on The Stability of Probiotic Bacteria in Ice Cream and Simulated Gastrointestinal Conditions. Probiotics Antimicrob. Proteins 2019, 11, 1348–1354. [Google Scholar] [CrossRef]
- Atallah, A.A.; Morsy, O.M.; Abbas, W.; Khater, E.S.G. Microstructural, Physicochemical, Microbiological, and Organoleptic Characteristics of Sugar-and Fat-Free Ice Cream from Buffalo Milk. Foods 2022, 11, 490. [Google Scholar] [CrossRef]
- Fonseca, F.G.A.; Esmerino, E.A.; Filho, E.R.T.; Ferraz, J.P.; da Cruz, A.G.; Bolini, H.M.A. Novel and successful free comments method for sensory characterization of chocolate ice cream: A comparative study between pivot profile and comment analysis. J. Dairy Sci. 2016, 99, 3408–3420. [Google Scholar] [CrossRef]
- European Ice Cream Market Report 2021: Average Consumption. Available online: http://globenewswire.com (accessed on 30 June 2023).
- Ice Cream Sales & Trends-IDFA. Available online: https://www.idfa.org/ice-cream-sales-trends (accessed on 30 June 2023).
- Arslaner, A.; Salik, M.A. Functional Ice Cream Technology. Akad. Gıda 2020, 18, 180–189. [Google Scholar] [CrossRef]
- Gowda, A.; Sharma, V.; Goyal, A.; Singh, A.K.; Arora, S. Process optimization and oxidative stability of omega-3 ice cream fortified with flaxseed oil microcapsules. J. Food Sci. Technol. 2018, 55, 1705–1715. [Google Scholar] [CrossRef]
- Manoharan, A.P.; Ramasamy, D. Physico-chemical, microbial and sensory analysis of aloe vera (pulp) ice cream with natural colour curcumin in different artificial sweeteners. Indian J. Fundam. Appl. Life Sci. 2013, 3, 106–113. [Google Scholar]
- Jadhao, R.; Chavan, S.D.; Shelke, R.R.; Shegokar, S.R.; Mane, S.S.; Walke, R.D.; Nage, S.P. Effect of assimilation of tulsi juice and turmeric powder on sensory quality of softy ice-cream. J. Pharmacogn. Phytochem. 2020, 9, 1162–1164. [Google Scholar]
- Aumpa, P.; Khawsud, A.; Jannu, T.; Renaldi, G.; Utama-Ang, N.; Bai-Ngew, S.; Walter, P.; Samakradhamrongthai, R.S. Determination for a suitable ratio of dried black pepper and cinnamon powder in the development of mixed-spice ice cream. Sci. Rep. 2022, 12, 15121. [Google Scholar] [CrossRef]
- Khawsud, A.; Aumpa, P.; Junsi, M.; Jannu, T.; Nortuy, N.; Samakradhamrongthai, R.S. Effect of black pepper (Piper nigrum) and cinnamon (Cinnamomum verum) on properties of reduced−fat milk−based ice cream. Food Appl. Biosci. J. 2020, 8, 54–67. [Google Scholar]
- Verma, R.K.; Kumari, P.; Maurya, R.K.; Kumar, V.; Verma, R.B.; Singh, R.K. Medicinal properties of turmeric (Curcuma longa L.): A review. Int. J. Chem. Stud. 2018, 6, 1354–1357. [Google Scholar]
- Razavi, B.M.; Ghasemzadeh Rahbardar, M.; Hosseinzadeh, H. A review of therapeutic potentials of turmeric (Curcuma longa) and its active constituent, curcumin, on inflammatory disorders, pain, and their related patents. Phytother. Res. 2021, 35, 6489–6513. [Google Scholar] [CrossRef]
- Hewlings, S.J.; Kalman, D.S. Curcumin: A review of its effects on human health. Foods 2017, 6, 92. [Google Scholar] [CrossRef]
- Tabanelli, R.; Brogi, S.; Calderone, V. Improving curcumin bioavailability: Current strategies and future perspectives. Pharmaceutics 2021, 13, 1715. [Google Scholar] [CrossRef]
- Sabet, S.; Rashidinejad, A.; Melton, L.D.; McGillivray, D.J. Recent advances to improve curcumin oral bioavailability. Trends Food Sci. Technol. 2021, 110, 253–266. [Google Scholar] [CrossRef]
- Milenković, A.; Stanojević, L. Black pepper: Chemical composition and biological activities. Adv. Technol. 2021, 10, 40–50. [Google Scholar] [CrossRef]
- Takooree, H.; Aumeeruddy, M.Z.; Rengasamy, K.R.R.; Venugopala, K.N.; Jeewon, R.; Zengin, G.; Mahomoodally, M.F. A systematic review on black pepper (Piper nigrum L.): From folk uses to pharmacological applications. Crit. Rev. Food Sci. Nutr. 2019, 59, S210–S243. [Google Scholar] [CrossRef]
- Shoba, G.; Joy, D.; Joseph, T.; Majeed, M.; Rajendran, R.; Srinivas, P.S. Influence of Piperine on the Pharmacokinetics of Curcumin in Animals and Human Volunteers. Planta Med. 1998, 64, 353–356. [Google Scholar] [CrossRef]
- Drake, M.A. Invited review: Sensory analysis of dairy foods. J. Dairy Sci. 2007, 90, 4925–4937. [Google Scholar] [CrossRef]
- Valentin, D.; Chollet, S.; Lelièvre, M.; Abdi, H. Quick and dirty but still pretty good: A review of new descriptive methods in food science. Int. J. Food Sci. Technol. 2012, 47, 1563–1578. [Google Scholar] [CrossRef]
- Singh, R.R.; Singh, R.; Shakya, B.R. Impact of Turmeric addition on the Properties of Paneer, Prepared from different types of Milk. Int. J. Curr. Eng. Technol. 2014, 4, 1874–1883. [Google Scholar]
- Ambhore, S.S.; Padghan, P.V.; Thombre, B.M.; Jamadar, K.S. Studies on turmeric powder (Curcuma longa L.) added ghee. Pharma Innov. 2020, 9, 09–14. [Google Scholar]
- Al-Soudy, M.; E-Batawy, O.I.; Abdel Fattah, A.A.; Gohari, S.T.; El-Dsouky, W.I. Production of function yoghurt drink fortified with different types of herbal extracts and its biological attributes in hepatitis rats. Arab. Univ. J. Agric. Sci. 2020, 28, 217–228. [Google Scholar]
- Seham, K.; Kebary, K.; Shaheen, K.; Mahmood, M. Effect of Adding Bifidobacreria and Turmeric on the Quality of Yoghurt. J. Home Econ. 2015, 25, 151–174. [Google Scholar]
- Guerra, A.S.; Hoyos, C.G.; Velásquez-Cock, J.; Vélez, L.; Gañán, P.; Zuluaga, R. The Effects of Adding a Gel-Alike Curcuma longa L. Suspension as Color Agent on Some Quality and Sensory Properties of Yogurt. Molecules 2022, 27, 946. [Google Scholar] [CrossRef]
- Shalaby, S.M.; Amin, H.H. Red Cabbage and Turmeric Extracts as Potential Natural Colors and Antioxidants Additives in Stirred Yogurt. J. Probiotics Health 2018, 06, 1000206. [Google Scholar] [CrossRef]
- Eze, C.M.; Aremu, K.O.; Nnami, C.L.; Omeje, P.C.; Omelagu, C.A.; Okonkwo, T.M. Effect of the incorporation of graded levels of turmeric (Curcuma longa) on different qualities of stirred yoghurt. Afr. J. Food Sci. 2020, 14, 71–85. [Google Scholar] [CrossRef]
- Rahmatalla, S.A.; Alazeem, L.A.; Abdalla, M.O.M. Microbiological Quality of Set Yoghurt Supplemented with Turmeric Powder (Curcuma longa) During Storage. Asian J. Agric. Food Sci. 2017, 05, 1–6. [Google Scholar]
- Gaur, G.K.; Rani, R.; Dharaiya, C.N.; Solanki, K. Development of herbal milk using tulsi juice, ginger juice and turmeric powder. Int. J. Chem. Stud. 2019, 7, 1150–1157. [Google Scholar]
- Dooley, L.; Lee, Y.-S.; Meullenet, J.F. The application of check-all-that-apply (CATA) consumer profiling to preference mapping of vanilla ice cream and its comparison to classical external preference mapping. Food Qual. Prefer. 2010, 21, 394–401. [Google Scholar] [CrossRef]
- Ares, G.; Varela, P.; Rado, G.; Giménez, A. Identifying ideal products using three different consumer profiling methodologies. Comparison with external preference mapping. Food Qual. Prefer. 2011, 22, 581–591. [Google Scholar] [CrossRef]
- Varela, P.; Pintor, A.; Fiszman, S. How hydrocolloids affect the temporal oral perception of ice cream. Food Hydrocoll. 2014, 36, 220–228. [Google Scholar] [CrossRef]
- Jardines, A.P.; Arjona-Román, J.L.; Severiano-Pérez, P.; Totosaus-Sánchez, A.; Fiszman, S.; Escalona-Buendía, H.B. Agave fructans as fat and sugar replacers in ice cream: Sensory, thermal and texture properties. Food Hydrocoll. 2020, 108, 106032. [Google Scholar] [CrossRef]
- Mendonça, G.M.N.; Oliveira, E.M.D.; Rios, A.O.; Pagno, D.H.; Cavallini, D.C.U. Vegan Ice Cream Made from Soy Extract, Soy Kefir and Jaboticaba Peel: Antioxidant Capacity and Sensory Profile. Foods 2022, 11, 3148. [Google Scholar] [CrossRef]
- Muenprasitivej, N.; Tao, R.; Nardone, S.J.; Cho, S. The Effect of Steviol Glycosides on Sensory Properties and Acceptability of Ice Cream. Foods 2022, 11, 1745. [Google Scholar] [CrossRef]
- Eze, C.M.; Okpala, C.O.R.; Asogwa, I.S.; Nduka, O.C.; Hassani, M.I.; Anchang, M.M.; Okoronkwo, C.N.; Okoyeuzu, C.F. Quality indices of ice cream produced from dairy milk partially substituted with Bambara groundnut (Vigna subterranean (L)Verdc.) beverage. Mljekarstvo 2023, 73, 196–208. [Google Scholar] [CrossRef]
- Goff, H.D. Ice cream and frozen desserts: Manufacture. In Encyclopedia of Dairy Sciences, 2nd ed.; Fuquay, J.W., Fox, P.F., McSweeney, P.L.H., Eds.; Academic Press: San Diego, CA, USA, 2011; Volume 2, pp. 899–904. [Google Scholar]
- Liou, B.K.; Grün, I.U. Effect of Fat Level on the Perception of Five Flavor Chemicals in Ice Cream with or without Fat Mimetics by Using a Descriptive Test. J. Food Sci. 2007, 72, S595–S604. [Google Scholar] [CrossRef]
- Ayed, C.; Martins, S.I.F.S.; Williamson, A.M.; Guichard, E. Understanding fat, proteins and saliva impact on aroma release from flavoured ice creams. Food Chem. 2018, 267, 132–139. [Google Scholar] [CrossRef]
- Soukoulis, C.; Chandrinos, I.; Tzia, C. Study of the functionality of selected hydrocolloids and their blends with κ-carrageenan on storage quality of vanilla ice cream. LWT 2008, 41, 1816–1827. [Google Scholar] [CrossRef]
- Clarke, C. Ice cream: A complex composite material. In The Science of Ice Cream, 1st ed.; Clarke, C., Ed.; Royal Society of Chemistry: London, UK, 2004; pp. 135–165. [Google Scholar] [CrossRef]
- ISO 11136:2014; Sensory Analysis-Methodology-General Guidance for Conducting Hedonic Tests with Consumers in a Controlled Area. ISO (International Organization for Standardization): Geneva, Switzerland, 2014.
- Lučan, M.; Ranilović, J.; Slačanac, V.; Cvetković, T.; Primorac, L.; Gajari, D.; Tomić Obrdalj, H.; Jukić, M.; Lukinac Čačić, J. Physico-chemical properties, spreadability and consumer acceptance of low-sodium cream cheese. Mljekarstvo 2019, 70, 13–27. [Google Scholar] [CrossRef]
- Popper, R. Use of Just-About-Right Scales in Consumer Research. In Novel Techniques in Sensory Characterization and Consumer Profiling, 1st ed.; Varela, P., Ares, G., Eds.; Taylor & Francis Group, LLC: Boca Raton, FL, USA, 2014; pp. 137–154. [Google Scholar]
- Sensory Analysis: Overview of Methods and Application Areas-DLG Expert Report . Available online: https://www.dlg.org/en/food/topics/dlg-expert-reports/sensory-technology/sensory-analysis-overview-of-methods-and-application-areas (accessed on 30 June 2023).
- ISO 21528-2:2017; Microbiology of the Food Chain—Horizontal Method for the Detection and Enumeration of Enterobacteriaceae—Part 2: Colony-Count Technique. ISO (International Organization for Standardization): Geneva, Switzerland, 2017.
- ISO 6579-1:2017; Microbiology of the Food Chain—Horizontal Method for the Detection, Enumeration and Serotyping of Salmonella—Part 1: Detection of Salmonella spp. ISO (International Organization for Standardization): Geneva, Switzerland, 2017.
- ISO 4833:2013; Microbiology of the Food Chain—Horizontal Method for the Enumeration of Microorganisms—Part 1: Colony Count at 30 °C by the Pour Plate Technique. ISO (International Organization for Standardization): Geneva, Switzerland, 2013.
- ISO 11290-1:2017; Microbiology of the Food Chain—Horizontal Method for the Detection and Enumeration of Listeria Monocytogenes and of Listeria spp.—Part 1: Detection Method. ISO (International Organization for Standardization): Geneva, Switzerland, 2017.
- ISO 11290-2:2017; Microbiology of the Food Chain—Horizontal Method for the Detection and Enumeration of Listeria Monocytogenes and of Listeria spp.—Part 2: Enumeration Method. ISO (International Organization for Standardization): Geneva, Switzerland, 2017.
- ISO 6888-1:2021; Microbiology of the Food Chain—Horizontal Method for the Enumeration of Coagulase-Positive Staphylococci (Staphylococcus Aureus and Other Species)—Part 1: Method Using Baird-Parker Agar Medium. ISO (International Organization for Standardization): Geneva, Switzerland, 2021.
- Meyners, M. Testing for differences between impact of attributes in penalty-lift analysis. Food Qual. Prefer. 2016, 47, 29–33. [Google Scholar] [CrossRef]
- Ministry of Agriculture Croatia: Regulation on Microbiological Criteria for Foodstuffs. 2008. Available online: https://narodne-novine.nn.hr/clanci/sluzbeni/2008_06_74_2454.html (accessed on 20 June 2023).
- Ministry of Agriculture Croatia. Guidance on Microbiological Criteria for Foodstuffs, 3rd ed.; 2011. Available online: http://veterinarstvo.hr/default.aspx?id=4548 (accessed on 20 June 2023).
- European Commission. Commission Regulation (EC) No. 2073/2005 of 15 November 2005 on Microbiological Criteria for Foodstuffs. Off. J. Eur. Union 2005, 338, 1–26. Available online: https://eur-lex.europa.eu/legal-content/HR/TXT/?uri=CELEX:32005R2073 (accessed on 20 June 2023).
- Delgado-Vargas, F.; Paredes-Lopez, O. Natural Colorants for Food and Nutraceutical Uses, 1st ed.; Delgado-Vargas, F., Paredes-Lopez, O., Eds.; CRC Press: Boca Raton, FL, USA, 2002. [Google Scholar]
- Hasegawa, T.; Nakatani, K.; Fujihara, T.; Yamada, H. Aroma of Turmeric: Dependence on the Combination of Groups of Several Odor Constituents. Nat. Prod. Commun. 2015, 10, 1047–1050. [Google Scholar]
- Umaraw, P.; Verma, A.K.; Singh, V.P.; Fahim, A. Effect of Turmeric and Aloe Vera Extract on Shelf-Life of Goat and Buffalo Admixture Milk Paneer during Refrigeration Storage. Foods 2022, 11, 3870. [Google Scholar] [CrossRef]
- Ghodekar, K.; Shelke, R.N.; Kahate, P.A.; Ingle, S. Studies on sensory evaluation and shelf-life of herbal softy ice cream. Food Sci. Res. J. 2016, 7, 21–26. [Google Scholar] [CrossRef]
- Yang, J.; Lee, J. Application of sensory descriptive analysis and consumer studies to investigate traditional and authentic foods: A review. Foods 2019, 8, 54. [Google Scholar] [CrossRef]
- Lučan Čolić, M.; Antunović, M.; Lukinac, J.; Babić, J.; Jozinović, A.; Matijević, B.; Nikolić, T.; Jukić, M. Physicochemical Properties of Turmeric and Black Pepper Enriched Ice Cream. Mljekarstvo, 2023; submitted. [Google Scholar]
- Amador, J.; Hartel, R.; Rankin, S. The Effects of Fat Structures and Ice Cream Mix Viscosity on Physical and Sensory Properties of Ice Cream. J. Food Sci. 2017, 82, 1851–1860. [Google Scholar] [CrossRef]
- Laokuldilok, N.; Thakeow, P.; Kopermsub, P.; Utama-ang, N. Optimisation of microencapsulation of turmeric extract for masking flavor. Food Chem. 2016, 194, 695–704. [Google Scholar] [CrossRef]
- Oliveira, A.R.; Ribeiro, A.E.C.; Oliveira, E.R.; Ribeiro, K.O.; Garcia, M.C.; Careli-Gondim, I.; Junior, M.S.S.; Caliari, M. Physicochemical, microbiological and sensory characteristics of snacks developed from broken rice grains and turmeric powder. Int. J. Food Sci. Technol. 2020, 55, 2719–2729. [Google Scholar] [CrossRef]
- Warren, M.M.; Hartel, R.W. Structural, Compositional, and Sensorial Properties of United States Commercial Ice Cream Products. J. Food Sci. 2014, 79, E2005–E2013. [Google Scholar] [CrossRef]
- Guinard, J.-X.; Mazzucchelli, R. The sensory perception of texture and mouthfeel. Trends Food Sci. Technol. 1996, 7, 213–219. [Google Scholar] [CrossRef]
- Higgins, M.J.; Hayes, J.E. Regional variation of bitter taste and aftertaste in humans. Chem. Senses 2019, 44, 721–732. [Google Scholar] [CrossRef]
- Hammouti, B.; Dahmani, M.; Yahyi, A.; Ettouhami, A.; Messali, M.; Asehraou, A.; Bouyanzer, A.; Warad, I.; Touzani, R. Black Pepper, the ‘King of Spices’: Chemical composition to applications. Arab. J. Chem. Environ. Res. 2019, 6, 12–56. [Google Scholar]
- Grasso, S.M. The Effects of Health Information on the Acceptability of a Functional Beverage Containing Fresh Turmeric. Master’s Thesis, Virginia Polytechnic Institute and State University, Blacksburg, VA, USA, 29 June 2018. [Google Scholar]
- Draszanowska, A.; Karpińska-Tymoszczyk, M.; Simões, M.; Olszewska, M.A. The Effect of Turmeric Rhizome on the Inhibition of Lipid Oxidation and the Quality of Vacuum-Packed Pork Meatloaf. Appl. Sci. 2022, 12, 10641. [Google Scholar] [CrossRef]
- Tangkham, W. Sensory Characteristics of Three Different Levels of Turmeric Powder on Beef Stick Product. Act. Sci. Nutr. Health 2020, 4, 14–18. [Google Scholar] [CrossRef]
- Silva, L.V.; Nelson, D.L.; Drummond, M.F.B.; Dufossé, L.; Gloria, M.B.A. Comparison of hydrodistillation methods for the deodorization of turmeric. Food Res. Int. 2005, 38, 1087–1096. [Google Scholar] [CrossRef]
- Partio, E.K.U.; Tedjakusuma, F.; Surya, R. Analysis of antioxidant and hedonic acceptance of turmeric extract-enriched milk. In Proceedings of the 6th International Conference on Eco Engineering Development, Online, 16–17 November 2022. [Google Scholar] [CrossRef]
- Mamatha, B.S.; Prakash, M.; Nagarajan, S.; Bhat, K.K. Evaluation of the flavor quality of pepper (piper nigrum l.) Cultivars by GC-MS, electronic nose and sensory analysis techniques. J. Sens. Stud. 2008, 23, 498–513. [Google Scholar] [CrossRef]
- Ares, G.; Barreiro, C.; Deliza, R.; Giménez, A.; Gámbaro, A. Application of a check-all-that-apply question to the development of chocolate milk desserts. J. Sens. Stud. 2010, 25, 67–86. [Google Scholar] [CrossRef]





| Samples | C | T0 | T1 | T2 | T0p | T1p | T2p |
|---|---|---|---|---|---|---|---|
| Basic ice cream mixture | 53.5% UHT milk; 25.5% cream; 5.5% skim milk powder; 15.0% sucrose; 0.3% soy lecithin; and 0.2% guar gum | ||||||
| Turmeric powder (%) | - | 0.5 | 1.0 | 2.0 | 0.5 | 1.0 | 2.0 |
| Black pepper (%) | - | - | - | - | 0.02 | 0.02 | 0.02 |
| Ice cream mixes | ![]() | ![]() | ![]() | ![]() | ![]() | ![]() | ![]() |
| Texture and Appearance | Taste and Aroma | Mouthfeel |
|---|---|---|
| Smooth | Milky | Burning |
| Foamy | Buttery | Heat sensation |
| Inhomogeneous | Sweet | Tingling |
| Crystalized | Bitter | |
| Sandy | Hot | |
| Grainy | Spicy | |
| Creamy | Peppery | |
| Rough | Pungent | |
| Ginger | ||
| Vanilla | ||
| Off-flavour | ||
| Pleasant | ||
| Unpleasant |
| Ice Cream | Sensory Attributes | Overall Liking | ||||
|---|---|---|---|---|---|---|
| Appearance | Scoopability | Mouthfeel | Taste | Aroma | ||
| C | 4.69 ± 0.54 a | 4.61 ± 0.65 ab | 4.74 ± 0.59 a | 4.46 ± 0.62 a | 4.37 ± 0.77 a | 7.42 ± 1.25 a |
| T0 | 4.27 ± 1.08 bc | 4.71 ± 0.54 a | 4.66 ± 0.59 a | 4.06 ± 1.05 ab | 4.26 ± 0.85 ab | 6.90 ± 1.70 ab |
| T1 | 4.18 ± 1.02 bcd | 4.62 ± 0.67 ab | 4.53 ± 0.65 ab | 3.76 ± 1.22 bc | 3.92 ± 1.06 b | 6.32 ± 1.97 b |
| T2 | 3.99 ± 1.07 cd | 4.50 ± 0.79 ab | 3.90 ± 1.05 c | 2.99 ± 1.22 d | 3.50 ± 1.07 c | 5.31 ± 2.06 c |
| T0p | 4.48 ± 0.88 ab | 4.60 ± 0.75 ab | 4.58 ± 0.72 ab | 4.28 ± 0.91 a | 4.29 ± 0.90 ab | 6.94 ± 1.85 ab |
| T1p | 4.37 ± 0.95 abc | 4.52 ± 0.78 ab | 4.28 ± 0.92 b | 3.54 ± 1.22 c | 3.94 ± 1.06 b | 6.32 ± 2.03 b |
| T2p | 3.85 ± 1.22 d | 4.35 ± 0.89 b | 3.73 ± 1.21 c | 2.86 ± 1.18 d | 3.25 ± 1.19 c | 4.82 ± 2.33 c |
| Ice Cream | Purchase Intention | Intention to Consume (%) |
|---|---|---|
| C | 3.92 ± 1.06 a | 95.15 ± 0.22 a |
| T0 | 3.58 ± 1.19 ab | 84.47 ± 0.36 ab |
| T1 | 3.21 ± 1.27 bc | 76.70 ± 0.42 b |
| T2 | 2.44 ± 1.19 d | 53.40 ± 0.50 c |
| T0p | 3.64 ± 1.20 ab | 82.25 ± 0.38 ab |
| T1p | 3.04 ± 1.36 c | 70.87 ± 0.46 b |
| T2p | 2.33 ± 1.30 d | 44.66 ± 0.50 c |
| Ice Cream | Colour | Scoopability | Melting | Taste | Sweetness | Aftertaste | Bitterness | Aroma |
|---|---|---|---|---|---|---|---|---|
| C | −0.12 ± 0.51 c | 0.26 ± 0.69 a | 0.11 ± 0.56 a | −0.11 ± 0.66 c | 0.04 ± 0.79 ab | −0.20 ± 0.69 d | −0.36 ± 0.68 c | −0.21 ± 0.74 d |
| T0 | −0.46 ± 0.85 d | 0.26 ± 0.69 a | 0.23 ± 0.64 a | 0.19 ± 0.74 c | −0.02 ± 0.66 ab | 0.22 ± 0.78 c | 0.16 ± 0.62 b | 0.01 ± 0.73 cd |
| T1 | 0.22 ± 0.92 b | 0.03 ± 0.59 ab | 0.22 ± 0.66 a | 0.60 ± 0.72 b | −0.16 ± 0.59 ab | 0.35 ± 0.79 bc | 0.23 ± 0.69 b | 0.29 ± 0.85 bc |
| T2 | 0.69 ± 0.78 a | −0.21 ± 0.68 bc | 0.23 ± 0.66a | 1.00 ± 0.84 a | −0.23 ± 0.89 b | 0.92 ± 0.70 a | 0.58 ± 0.80 a | 0.75 ± 0.70 a |
| T0p | −0.49 ± 0.74 d | 0.04 ± 0.59 ab | 0.16 ± 0.46 a | 0.03 ± 0.65 c | 0.11 ± 0.66 a | −0.12 ± 0.66 d | −0.17 ± 0.62 c | −0.08 ± 0.55 d |
| T1p | 0.18 ± 0.68 bc | −0.02 ± 0.58 b | 0.19 ± 0.63 a | 0.54 ± 0.76 b | −0.03 ± 0.88 ab | 0.60 ± 0.76 b | 0.27 ± 0.63 b | 0.42 ± 0.72 b |
| T2p | 0.80 ± 0.76 a | −0.32 ± 0.70 c | 0.21 ± 0.84 a | 0.98 ± 0.90 a | −0.22 ± 0.97 b | 0.95 ± 0.89 a | 0.67 ± 0.83 a | 0.82 ± 0.78 a |
| Attributes | C | T0 | T1 | T2 | T0p | T1p | T2p | |
|---|---|---|---|---|---|---|---|---|
| Appearance and Texture | Smooth *** | 82.52 cd | 78.64 bcd | 77.67 bcd | 64.08 b | 84.47 d | 68.93 bc | 49.51 a |
| Foamy *** | 9.71 a | 13.59 ab | 18.45 ab | 20.39 ab | 26.21 ab | 28.16 b | 27.18 b | |
| Inhomogeneous * | 3.88 a | 0.00 a | 2.91 a | 8.74 a | 1.94 a | 5.83 a | 4.85 a | |
| Crystalized ns | 6.80 a | 3.88 a | 2.91 a | 1.94 a | 1.94 a | 1.94 a | 3.88 a | |
| Sandy *** | 5.83 a | 8.74 a | 11.65 a | 30.10 b | 7.77 a | 28.16 b | 37.86 b | |
| Grainy *** | 0.00 a | 4.85 a | 2.91 a | 25.24 b | 2.91 a | 10.68 ab | 25.24 b | |
| Creamy *** | 87.38 c | 87.38 c | 80.58 bc | 64.08 ab | 85.44 c | 76.70 bc | 59.22 a | |
| Rough * | 0.97 a | 2.91 a | 1.94 a | 7.77 a | 0.97 a | 0.97 a | 8.74 a | |
| Taste and Aroma | Milky *** | 96.12 c | 69.90 b | 67.96 b | 45.63 a | 66.02 b | 61.17 b | 40.78 a |
| Buttery *** | 65.05 c | 29.13 ab | 18.45 a | 16.50 a | 35.92 b | 29.13 ab | 18.45 a | |
| Sweet *** | 60.19 d | 45.63 cd | 38.83 bc | 24.27 ab | 49.51 cd | 35.92 abc | 20.39 a | |
| Bitter *** | 0.00 a | 9.71 ab | 15.53 bc | 16.50 bc | 6.80 ab | 15.53 bc | 26.21 c | |
| Hot *** | 0.00 a | 12.62 bc | 6.80 abc | 12.62 bc | 2.91 ab | 10.68 abc | 19.42 c | |
| Spicy *** | 0.00 a | 22.33 b | 32.04 bc | 43.69 cd | 18.45 b | 40.78 c | 59.22 d | |
| Peppery *** | 0.00 a | 6.80 ab | 11.65 b | 18.45 bc | 16.50 bc | 30.10 cd | 44.66 d | |
| Pungent *** | 0.00 a | 1.94 ab | 12.62 bcd | 23.30 d | 4.85 abc | 8.74 abcd | 15.53 cd | |
| Ginger *** | 0.00 a | 10.68 ab | 23.30 cd | 28.16 d | 14.56 bc | 22.33 bcd | 29.13 d | |
| Vanilla *** | 27.18 b | 15.53 ab | 6.80 a | 7.77 a | 14.56 ab | 10.68 a | 4.85 a | |
| Off flavour *** | 0.00 a | 28.16 bc | 36.89 c | 30.10 bc | 19.42 b | 21.36 b | 27.18 bc | |
| Pleasant *** | 65.05 c | 63.11 c | 42.72 b | 16.50 a | 60.19 c | 37.86 b | 17.48 a | |
| Unpleasant *** | 0.97 a | 4.85 a | 11.65 ab | 22.33 bc | 5.83 a | 10.68 ab | 32.04 c | |
| Mouthfeel | Burning *** | 1.94 a | 0.00 a | 4.85 a | 20.39 bc | 8.74 ab | 18.45 bc | 28.16 c |
| Heat sensation *** | 1.94 a | 8.74 ab | 8.74 ab | 24.27 c | 15.53 bc | 19.42 bc | 19.42 bc | |
| Tingling *** | 10.68 a | 22.33 abc | 25.24 bc | 27.18 bc | 11.65 ab | 22.33 abc | 35.92 c | |
Disclaimer/Publisher’s Note: The statements, opinions and data contained in all publications are solely those of the individual author(s) and contributor(s) and not of MDPI and/or the editor(s). MDPI and/or the editor(s) disclaim responsibility for any injury to people or property resulting from any ideas, methods, instructions or products referred to in the content. |
© 2023 by the authors. Licensee MDPI, Basel, Switzerland. This article is an open access article distributed under the terms and conditions of the Creative Commons Attribution (CC BY) license (https://creativecommons.org/licenses/by/4.0/).
Share and Cite
Lučan Čolić, M.; Antunović, M.; Jukić, M.; Popović, I.; Lukinac, J. Sensory Acceptance and Characterisation of Turmeric- and Black-Pepper-Enriched Ice Cream. Appl. Sci. 2023, 13, 11802. https://doi.org/10.3390/app132111802
Lučan Čolić M, Antunović M, Jukić M, Popović I, Lukinac J. Sensory Acceptance and Characterisation of Turmeric- and Black-Pepper-Enriched Ice Cream. Applied Sciences. 2023; 13(21):11802. https://doi.org/10.3390/app132111802
Chicago/Turabian StyleLučan Čolić, Mirela, Martina Antunović, Marko Jukić, Ivana Popović, and Jasmina Lukinac. 2023. "Sensory Acceptance and Characterisation of Turmeric- and Black-Pepper-Enriched Ice Cream" Applied Sciences 13, no. 21: 11802. https://doi.org/10.3390/app132111802
APA StyleLučan Čolić, M., Antunović, M., Jukić, M., Popović, I., & Lukinac, J. (2023). Sensory Acceptance and Characterisation of Turmeric- and Black-Pepper-Enriched Ice Cream. Applied Sciences, 13(21), 11802. https://doi.org/10.3390/app132111802








