The Catalytic Curing Reaction and Mechanical Properties of a New Composite Resin Matrix Material for Rocket Fuel Storage Tanks
Abstract
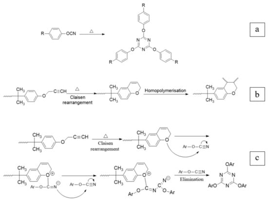
:1. Introduction
2. Experiment
2.1. Materials
2.2. Equipment
2.3. Preparation and Pre-Polymerization of BADPE
2.4. The Blending and Curing of BADPE with BAFDCy/BADCy/BEDCy
3. Results and Discussion
3.1. Thermal Analysis
- Catalytic curing of BAFDCy via individual catalysts
- b.
- Catalytic curing of BAFDCy with different amounts of Cu(acac)2
- c.
- The 0.3% Cu(acac)2-catalyzed curing of BADCy/BEDCy
- d.
- The 0.3% Cu(acac)2-catalyzed curing of BADPE with BAFDCy/BADCy/BEDCy, and its thermal stability study
3.2. Mechanical Analysis
4. Conclusions
Author Contributions
Funding
Institutional Review Board Statement
Informed Consent Statement
Data Availability Statement
Acknowledgments
Conflicts of Interest
References
- Wei, H.; Yu, M.; Haiyang, Z.; Xiaofei, C. Thoughts on the development of the next-generation main launch vehicle. Overall Aerosp. Technol. 2023, 7, 1–12. [Google Scholar]
- Zuo, Z.; Wang, T.; Huang, Y. Interfacial mass and energy transport during steady-state evaporation in liquid oxygen storage tanks. Appl. Energy 2022, 323, 119588. [Google Scholar] [CrossRef]
- Cheng, H.; Yongjun, L. Research progress on the design of cryogenic composite storage tanks for large launch vehicles. Aerosp. Mater. Process 2015, 45, 1–7. [Google Scholar]
- Zhanjun, W.; Duo, C.; Shichao, L.; Yunguang, C.; Juanzi, L.; Yuhuan, Y.; Hongyu, W.; Xin, L. Progress in the research and application of key technology of cryogenic composite storage tank. Aviat. Manuf. Technol. 2021, 64, 14–23. [Google Scholar]
- Davis, S.E.; Herald, S.D.; Stolzfus, J.M.; Engel, C.D.; Bohlen, J.W.; Palm, T.; Robinson, M.J. Potential of organic matrix composites for liquid oxygen tank. In 2005 National Space and Missile Materials Symposium; NASA: Washington, DC, USA, 2005. [Google Scholar]
- Wang, G.; Li, X.; Yan, R.; Xing, S. The study on compatibility of polymer matrix resins with liquid oxygen. Mater. Sci. Eng. B 2006, 132, 70–73. [Google Scholar] [CrossRef]
- Wu, Z.; Li, S.; Liu, M.; Wang, Z.; Liu, X. Liquid oxygen compatible epoxy resin: Modification and characterization. RSC Adv. 2015, 5, 11325–11333. [Google Scholar] [CrossRef]
- Li, C.; Liu, Y.; Chen, Z. Study of Mechanical Properties of Micron Polystyrene-Toughened Epoxy Resin. Appl. Sci. 2023, 13, 3981. [Google Scholar] [CrossRef]
- Xing, L.; Lianhua, S. Research progress and development trend of modification of epoxy resin. Yunnan Chem. Ind. 2017, 44, 13–15. [Google Scholar]
- Osei-Owusu, A.; Martin, G.C.; Gotro, J.T. Analysis of the curing behavior of cyanate ester resin systems. Polym. Eng. Sci. 1991, 31, 1604–1609. [Google Scholar] [CrossRef]
- Lei, Z.; Jiru, M.; Guozheng, L.; Huayu, Q. Research progress of modified cyanate ester resin. FRP Compos. 2000, 5, 38–42. [Google Scholar]
- Goyal, S.; Cochran, E.W. Cyanate ester composites to improve thermal performance: A review. Polym. Int. 2022, 71, 583–589. [Google Scholar] [CrossRef]
- Sheng, X.; Akinc, M.; Kessler, M. Cure kinetics of thermosetting bisphenol E cyanate ester. J. Therm. Anal. Calorim. 2008, 93, 77–85. [Google Scholar] [CrossRef]
- Douglas, W.E.; Overend, A.S. Curing reactions in acetylene terminated resins—I. uncatalyzed cure of arylpropargyl ether terminated monomers. Eur. Polym. J. 1991, 27, 1279–1287. [Google Scholar] [CrossRef]
- Goyal, S.; Forrester, M.J.; Coverdell, D.; Torres, S.; Lee, M.W., Jr.; Cochran, E.W. High-temperature-performance cyanate ester composites with carboranes. Macromolecules 2021, 54, 9155–9164. [Google Scholar] [CrossRef]
- Nair, C.P.R.; Bindu, R.L.; Krishnan, K.; Ninan, K.N. Bis propargyl ether resins: Synthesis and structure–thermal property correlations. Eur. Polym. J. 1999, 35, 235–246. [Google Scholar] [CrossRef]
- Yameen, B.; Duran, H.; Best, A.; Jonas, U.; Steinhart, M.; Knoll, W. Polycyanurate thermoset networks with high thermal, mechanical, and hydrolytic stability based on liquid multifunctional cyanate ester monomers with bisphenol A and AF units. Macromol. Chem. Phys. 2008, 209, 1673–1685. [Google Scholar] [CrossRef]
- Iijima, T.; Kunimi, T.; Oyama, T.; Tomoi, M. Modification of cyanate ester resin by soluble polyarylates. Polym. Int. 2003, 52, 773–782. [Google Scholar] [CrossRef]
- Harismendy, I.; Gomez, C.M.; Del, R.M.; Río, M.D.; Mondragon, I. Cure monitoring of catalyzed cyanate ester resins. Polym. Eng. Sci. 2000, 49, 735–742. [Google Scholar]
- Grenier-Loustalot, M.F.; Sanglar, C. Propargylic-and chromene-terminated prepolymers. 4. Influence of the type of catalyst on reaction mechanisms and kinetics. High Perform. Polym. 1996, 8, 533–554. [Google Scholar] [CrossRef]
- Bauer, J.; Bauer, M. Cyanate ester based resin systems for snap-cureapplications. Microsyst. Technol. 2002, 8, 58–62. [Google Scholar] [CrossRef]
- Cai, M.; Yuan, Q.; Huang, F. Catalytic effect of poly (silicon-containing arylacetylene) with terminal acetylene on the curingreaction and properties of a bisphenol A type cyanate ester. Polym. Int. 2018, 67, 1563–1571. [Google Scholar] [CrossRef]
- Liu, T.; Li, J.; Xiao, J.; Tian, W. Thermal and mechanical evaluation of cyanate ester resin catalyzed by nonylphenol and stannous octoate. J. Appl. Polym. Sci. 2016, 133, 43959. [Google Scholar] [CrossRef]
- Wang, D.; Hou, D.; Chen, Z.; Ma, H.; Huang, C.; Yang, L. Effects of trace phenolic hydroxylgroups on the cure behaviours and properties of cyanate esters. High Perform. Polym. 2020, 32, 775–783. [Google Scholar] [CrossRef]
- Rongrong, L.; Wei, C. Application of flame retardants in epoxy resin systems. Thermosetting Resins 2021, 36, 72–76. [Google Scholar]
- Dexin, T.; Yanli, W.; Xiaole, W.; Jianping, F.; Honglong, X. Non-isothermal thermal decomposition process of dipropargyl bisphenol A ether polymer. Solid Rocket. Technol. 2015, 38, 877–881. [Google Scholar]
- Dirlikov, S.K. Propargy-terminatedresins—A hydrophobicsubstitute for epoxy resins. High Perform. Polym. 1990, 2, 67–77. [Google Scholar] [CrossRef]
- Sreelal, N.; Sunitha, K.; Sreenivas, N.; Mohammad, F.; Satheesh Chandran, M. Investigations on Phthalonitrile-Cyanate ester blends and their light weight composites; Synthesis, thermal, mechanical and ablative characteristics. Mater. Chem. Phys. 2023, 305, 128005. [Google Scholar] [CrossRef]
- Ramdani, N.; Zaimeche, H.; Derradji, M. Biobased thermally-stable aromatic cyanate ester thermosets: A review. React. Funct. Polym. 2021, 168, 105037. [Google Scholar] [CrossRef]
- Zhou, K.; Sun, X.; Wang, Y.; Zhao, W.; Su, T. Research on triazine reaction, heat resistant and dielectric properties of cyanate ester resin catalyzed by bisphenol AF. J. Phys. Conf. Ser. 2022, 1, 012003. [Google Scholar] [CrossRef]
- Van Krevelen, D.W. Some basic aspects of flame resistance of polymeric materials. Polymer 1975, 16, 615–620. [Google Scholar] [CrossRef]








| Mass Fraction/% | Ti/K | Tp/K | Tf/K | ΔH/(J·g−1) |
|---|---|---|---|---|
| None | 470.15 | 521.15 | 569.15 | 404 |
| Cu(acac)2 | 426.15 | 444.15 | 493.15 | 400 |
| Mn(acac)2 | 429.15 | 465.15 | 499.15 | 382 |
| Cr(acac)3 | 453.15 | 492.15 | 539.15 | 352 |
| DBDTL | 435.15 | 465.15 | 481.15 | 363 |
| Mass Fraction/% | Ti/K | Tp/K | Tf/K | ΔH/(J·g−1) |
|---|---|---|---|---|
| 0.1 | 426.15 | 444.15 | 493.15 | 403 |
| 0.2 | 411.15 | 433.15 | 458.15 | 389 |
| 0.3 | 408.15 | 427.15 | 448.15 | 396 |
| 0.5 | 404.15 | 423.15 | 444.15 | 410 |
| Cyanate | Ti/K | Tp/K | Tf/K | ΔH/(J·g−1) |
|---|---|---|---|---|
| BADCy | 520.15 | 563.15 | 628.15 | 871 |
| BADCy + 0.3% Cu(acac)2 | 398.15 | 444.15 | 491.15 | 526 |
| BEDCy | 459.15 | 502.15 | 533.15 | 834 |
| BEDCy + 0.3% Cu(acac)2 | 409.15 | 450.15 | 484.15 | 734 |
| Catalytic Curing Hybrid Resins | T5%/K | Yr673K/% | Yr873K/% |
|---|---|---|---|
| BADPE/BADCy | 652.15 | 81.6 | 35.9 |
| BADPE/BEDCy | 652.15 | 85.5 | 37.9 |
| BADPE/BAFDCy | 647.15 | 88.6 | 0.7 |
| Hybrid Resin Casting Body | Bending Strength/Mpa | Bending Modulus/GPa | Impact Strength/kJ·m−2 |
|---|---|---|---|
| BADPE/BAFDCy | 92 ± 2.11 | 3.6 ± 0.22 | 15.9 ± 0.82 |
| BADPE/BADCy | 79.7 ± 2.41 | 4.1 ± 0.11 | 12.2 ± 1.24 |
| BADPE/BEDCy | 129.4 ± 2.33 | 4.3 ± 0.09 | 27.3 ± 0.62 |
Disclaimer/Publisher’s Note: The statements, opinions and data contained in all publications are solely those of the individual author(s) and contributor(s) and not of MDPI and/or the editor(s). MDPI and/or the editor(s) disclaim responsibility for any injury to people or property resulting from any ideas, methods, instructions or products referred to in the content. |
© 2023 by the authors. Licensee MDPI, Basel, Switzerland. This article is an open access article distributed under the terms and conditions of the Creative Commons Attribution (CC BY) license (https://creativecommons.org/licenses/by/4.0/).
Share and Cite
Li, C.; Liu, Z.; Xue, K.; Huo, Y.; Li, F.; Zhu, X. The Catalytic Curing Reaction and Mechanical Properties of a New Composite Resin Matrix Material for Rocket Fuel Storage Tanks. Appl. Sci. 2023, 13, 11790. https://doi.org/10.3390/app132111790
Li C, Liu Z, Xue K, Huo Y, Li F, Zhu X. The Catalytic Curing Reaction and Mechanical Properties of a New Composite Resin Matrix Material for Rocket Fuel Storage Tanks. Applied Sciences. 2023; 13(21):11790. https://doi.org/10.3390/app132111790
Chicago/Turabian StyleLi, Chuan, Zhengjun Liu, Ke Xue, Yingda Huo, Fubao Li, and Xiaoping Zhu. 2023. "The Catalytic Curing Reaction and Mechanical Properties of a New Composite Resin Matrix Material for Rocket Fuel Storage Tanks" Applied Sciences 13, no. 21: 11790. https://doi.org/10.3390/app132111790
APA StyleLi, C., Liu, Z., Xue, K., Huo, Y., Li, F., & Zhu, X. (2023). The Catalytic Curing Reaction and Mechanical Properties of a New Composite Resin Matrix Material for Rocket Fuel Storage Tanks. Applied Sciences, 13(21), 11790. https://doi.org/10.3390/app132111790
