Piplartine Synthetic Analogs: In Silico Analysis and Antiparasitic Study against Trypanosoma cruzi
Abstract
1. Introduction
2. Results
3. Discussion
4. Materials and Methods
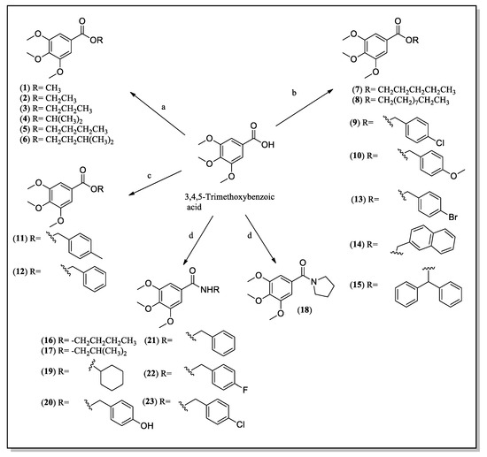
4.1. Chemistry
4.1.1. Preparation of Compounds 1–6
4.1.2. Preparation of Compounds 7–10 and 13–15
4.1.3. Preparation of Compounds 11 and 12
4.1.4. Preparation of Compounds 16–23
4.2. Cytotoxic Activity
4.2.1. Collection and Preparation of Cells
4.2.2. Trypanocidal Action of Compounds 15–18 and 20
4.2.3. Cell Death Pathway
4.2.4. Measurement of the Mitochondrial Transmembrane Potential
4.3. In Silico Study
4.3.1. Molecular Targets
4.3.2. Molecular Docking
4.3.3. Molecular Dynamics Simulations and Free Energies of Binding
5. Conclusions
Supplementary Materials
Author Contributions
Funding
Institutional Review Board Statement
Informed Consent Statement
Data Availability Statement
Conflicts of Interest
Sample Availability
References
- Winkler, A.S.; Klohe, K.; Schmidt, V.; Haavardsson, I.; Abraham, A.; Prodjinotho, U.F.; Ngowi, B.; Sikasunge, C.; Noormahomed, E.; Amuasi, J.; et al. Neglected tropical diseases—The present and the future. Tidsskr. Nor. Laegeforen 2018, 2, 138. [Google Scholar] [CrossRef] [PubMed]
- Molyneux, D.H.; Savioli, L.; Engels, D. Neglected tropical diseases: Progress towards addressing the chronic pandemic. Lancet 2017, 389, 312–325. [Google Scholar] [CrossRef]
- Chao, C.; Leone, J.L.; Vigliano, C.A. Chagas disease: Historic perspective. Mol. Basis Dis. 2020, 1866, 165689. [Google Scholar] [CrossRef]
- World Health Organization (WHO). Available online: https://www.who.int/health-topics/chagas-disease#tab=tab_1 (accessed on 27 October 2021).
- Kropf, S.P. Chagas Disease, Disease in Brazil: Science, Health and Nation, 1909–1962; Fiocruz Publisher: Rio de Janeiro, Brazil, 2009; pp. 1–600. [Google Scholar]
- Rassi, A., Jr.; Rassi, A.; Marin-Neto, J.A. Chagas disease. Lancet 2010, 375, 1388–1402. [Google Scholar] [CrossRef] [PubMed]
- Souza, W.D. Structural organization of Trypanosoma cruzi. Mem. Oswaldo Cruz Inst. 2009, 104 (Suppl. S1), 89–100. [Google Scholar] [CrossRef] [PubMed]
- Mesa-Arciniegas, P.; Parra-Henao, G.; Carrión-Bonifacio, Á.; Casas-Cruz, A.; Patiño-Cuellar, A.; Díaz-Rodríguez, K.; Garzón-Jiménez, S.; Almansa-Manrique, J.; Bernal-Rosas, Y.; Hernández-Lamus, C.; et al. Trypanosoma cruzi infection in naturally infected dogs from an endemic region of Cundinamarca, Colombia. Veter Parasitol. Reg. Stud. Rep. 2018, 14, 212–216. [Google Scholar] [CrossRef]
- Pérez-Molina, J.A.; Molina, I. Chagas disease. Lancet 2018, 391, 82–94. [Google Scholar] [CrossRef]
- Nóbrega, F.R.; Silva, L.V.; Bezerra Filho, C.D.; Lima, T.C.; Castillo, Y.P.; Bezerra, D.P.; Lima, T.K.; Sousa, D.P. Design, Antileishmanial Activity, and QSAR Studies of a Series of Piplartine Analogues. J. Chem. 2019, 2019, 1–12. [Google Scholar] [CrossRef]
- Silva, R.H.N.; Machado, T.Q.; da Fonseca, A.C.C.; Tejera, E.; Perez-Castillo, Y.; Robbs, B.K.; de Sousa, D.P. Molecular Modeling and In Vitro Evaluation of Piplartine Analogs against Oral Squamous Cell Carcinoma. Molecules 2023, 28, 1675. [Google Scholar] [CrossRef]
- Regasini, L.O.; Cotinguiba, F.; Morandim, A.D.A.; Kato, M.J.; Scorzoni, L.; Mendes-Giannini, M.J.; Bolzani, V.S.; Furlan, M. Antimicrobial activity of Piper arboretum and Piper tuberculatum (Piperaceae) against opportunistic yeasts. Afr. J. Biotechnol. 2009, 8, 2866–2870. [Google Scholar]
- Bezerra, D.P.; Pessoa, C.; de Moraes, M.O.; Saker-Neto, N.; Silveira, E.R.; Costa-Lotufo, L.V. Overview of the therapeutic potential of piplartine (piperlongumine). Eur. J. Pharm. Sci. 2013, 48, 453–463. [Google Scholar] [CrossRef]
- Lopes, S.P.; Castillo, Y.P.; Monteiro, M.L.; de Menezes, R.R.; Almeida, R.N.; Martins, A.; Sousa, D.P. Trypanocidal mechanism of action and in silico studies of p-coumaric acid derivatives. Int. J. Mol. Sci. 2019, 20, 5916. [Google Scholar] [CrossRef] [PubMed]
- Steverding, D.; da Nóbrega, F.R.; Rushworth, S.A.; de Sousa, D.P. Trypanocidal and cysteine protease inhibitory activity of isopentyl caffeate is not linked in Trypanosoma brucei. Parasitol. Res. 2016, 115, 4397–4403. [Google Scholar] [CrossRef] [PubMed]
- Kumar, G.; Degheidy, H.; Casey, B.J.; Goering, P.L. Flow cytometry evaluation of in vitro cellular necrosis and apoptosis induced by silver nanoparticles. Food Chem. Toxicol. 2015, 85, 45–51. [Google Scholar] [CrossRef] [PubMed]
- Krysko, D.V.; Berghe, T.V.; D’herde, K.; Vandenabeele, P. Apoptosis and necrosis: Detection, discrimination and phagocytosis. Methods 2008, 44, 205–221. [Google Scholar] [CrossRef] [PubMed]
- Escudero-Martínez, J.M.; Pérez-Pertejo, Y.; Reguera, R.M.; Castro, M.; Rojo, M.V.; Santiago, C.; Abad, A.; García, P.A.; López-Pérez, J.L.; Feliciano, A.S.; et al. Antileishmanial activity and tubulin polymerization inhibition of podophyllotoxin derivatives on Leishmania infantum. Int. J. Parasitol. Drugs Drug Resist. 2017, 7, 272–285. [Google Scholar] [CrossRef]
- Pettersen, E.F.; Goddard, T.D.; Huang, C.C.; Couch, G.S.; Greenblatt, D.M.; Meng, E.C.; Ferrin, T.E. UCSF Chimera—A visualization system for exploratory research and analysis. J. Comput. Chem. 2004, 5, 1605–1612. [Google Scholar] [CrossRef]
- Laskowski, R.A.; Swindells, M.B. LigPlot+: Multiple ligand-protein interaction diagrams for drug discovery. J. Chem. Inf. Model. 2011, 24, 2778–2786. [Google Scholar] [CrossRef]
- Daina, A.; Michielin, O.; Zoete, V. SwissADME: A free web tool to evaluate pharmacokinetics, drug-likeness and medicinal chemistry friendliness of small molecules. Sci. Rep. 2017, 7, 42717. [Google Scholar] [CrossRef]
- Mengarda, A.; Mendonça, P.S.; Morais, C.S.; Cogo, R.M.; Mazloum, S.F.; Salvadori, M.C.; Teixeira, F.S.; Morais, T.R.; Antar, G.M.; Lago, J.H.G.; et al. Antiparasitic activity of piplartine (piperlongumine) in a mouse model of schistosomiasis. Acta Tropica. 2020, 205, 105350. [Google Scholar] [CrossRef]
- Cotinguiba, F.; Regasini, L.O.; da Silva Bolzani, V.; Debonsi, H.M.; Passerini, G.D.; Cicarelli, R.M.B.; Kato, M.J.; Furlan, M. Piperamides and their derivatives as potential anti-trypanosomal agents. Med. Chem. Res. 2009, 18, 703–711. [Google Scholar] [CrossRef]
- A Zuma, A.; de Souza, W. Histone deacetylases as targets for antitrypanosomal drugs. Future Sci. OA 2018, 4, FSO325. [Google Scholar] [CrossRef] [PubMed]
- Di Bello, E.; Noce, B.; Fioravanti, R.; Zwergel, C.; Valente, S.; Rotili, D.; Fianco, G.; Trisciuoglio, D.; Mourão, M.M.; Sales, P.; et al. Effects of Structurally Different HDAC Inhibitors against Trypanosoma cruzi, Leishmania, and Schistosoma mansoni. ACS Infect. Dis. 2022, 8, 1356–1366. [Google Scholar] [CrossRef] [PubMed]
- Da Nóbrega, F.R.; Ozdemir, O.; Sousa, S.C.S.N.; Barboza, J.N.; Turkez, H.; De Sousa, D.P. Piplartine Analogues and Cytotoxic Evaluation against Glioblastoma. Molecules 2018, 23, 1382. [Google Scholar] [CrossRef]
- Green, R.A.; Pletcher, D.; Leach, S.G.; Brown, R.C.D. N-Heterocyclic Carbene-Mediated Oxidative Electrosynthesis of Esters in a Microflow Cell. Org. Lett. 2015, 17, 3290–3293. [Google Scholar] [CrossRef] [PubMed]
- Iranpoor, N.; Firouzabadi, H.; Riazi, A.; Pedrood, K. Regioselective hydrocarbonylation of phenylacetylene to α,β-unsaturated esters and thioesters with Fe(CO)5 and Mo(CO)6. J. Organomet. Chem. 2016, 822, 67–73. [Google Scholar] [CrossRef]
- Nareddy, P.; Jordan, F.; Brenner-Moyer, S.E.; Szostak, M. Ruthenium (II)-catalyzed regioselective C–H arylation of cyclic and N, N-dialkyl benzamides with boronic acids by weak coordination. ACS Catal. 2016, 6, 4755–4759. [Google Scholar] [CrossRef]
- Zinchenko, A.N.; Muzychka, L.V.; Smolii, O.; Bdzhola, V.G.; Protopopov, M.V.; Yarmoluk, S.M. Synthesis and biological evaluation of novel amino-substituted derivatives of pyrido [2,3-d]pyrimidine as inhibitors of protein kinase CK2. Biopolym. Cell 2017, 33, 367–378. [Google Scholar] [CrossRef][Green Version]
- Obrecht, D.; Bohdal, U.; Broger, C.; Bur, D.; Lehmann, C.; Ruffieux, R.; Schönholzer, P.; Spiegler, C.; Müller, K. L-Phenylalanine Cyclohexyl amide: A simple and convenient auxiliary for the synthesis of optically pure α,α-disubstituted (R)- and (S)-amino acids. Helv. Chim. Acta 1995, 78, 563–580. [Google Scholar] [CrossRef]
- Araújo-Jorge, T.C.; De Castro, S.L. Design of Experiments and Choice of Models: Host and Parasite. Chagas Disease: Manual for Animal Experimentation; Fiocruz Publisher: Rio de Janeiro, Brazil, 2000; pp. 175–196. [Google Scholar]
- Lima, D.B.; Sousa, P.L.; Torres, A.F.C.; Rodrigues, K.A.d.F.; Mello, C.P.; de Menezes, R.R.P.P.B.; Tessarolo, L.D.; Quinet, Y.P.; de Oliveira, M.R.; Martins, A.M.C. Antiparasitic effect of Dinoponera quadriceps giant ant venom. Toxicon 2016, 120, 128–132. [Google Scholar] [CrossRef]
- Johnson, L.V.; Walsh, M.L.; Chen, L.B. Localization of mitochondria in living cells with rhodamine 123. Proc. Natl. Acad. Sci. USA 1980, 77, 990–994. [Google Scholar] [CrossRef] [PubMed]
- O’Connor, J.E.; Vargas, J.L.; Kimler, B.F.; Hernandez-Yago, J.; Grisolia, S. Use of rhodamine 123 to investigate alterations in mitochondrial activity in isolated mouse liver mitochondria. Biochem. Biophys. Res. Commun. 1988, 151, 568–573. [Google Scholar] [CrossRef]
- Filho, C.S.M.B.; de Menezes, R.R.P.P.B.; Magalhães, E.P.; Castillo, Y.P.; Martins, A.M.C.; de Sousa, D.P. Piplartine-Inspired 3,4,5-Trimethoxycinnamates: Trypanocidal, Mechanism of Action, and In Silico Evaluation. Molecules 2023, 28, 4512. [Google Scholar] [CrossRef]
- Keiser, M.J.; Roth, B.L.; Armbruster, B.N.; Ernsberger, P.; Irwin, J.J.; Shoichet, B.K. Relating protein pharmacology by ligand chemistry. Nat. Biotechnol. 2007, 25, 197–206. [Google Scholar] [CrossRef]
- Altschul, S.F.; Madden, T.L.; Schäffer, A.A.; Zhang, J.; Zhang, Z.; Miller, W.; Lipman, D.J. Gapped BLAST and PSI-BLAST: A new generation of protein database search programs. Nucleic Acids Res. 1997, 25, 3389–3402. [Google Scholar] [CrossRef] [PubMed]
- OMEGA. Open Eye Scientific Software, Santa Fe, NM, USA. Available online: https://www.eyesopen.com/omega (accessed on 16 February 2023).
- Hawkins, P.C.D.; Skillman, A.G.; Warren, G.L.; Ellingson, B.A.; Stahl, M.T. Conformer generation with OMEGA: Algorithm and validation using high quality structures from the Protein Databank and Cambridge Structural Database. J. Chem. Inf. Model. 2010, 50, 572–584. [Google Scholar] [CrossRef] [PubMed]
- QUACPAC. Open Eye Scientific Software, Santa Fe, NM, USA. Available online: https://www.eyesopen.com/quacpac (accessed on 16 February 2023).
- Webb, B.; Sali, A. Comparative Protein Structure Modeling Using MODELLER. Curr. Protoc. Bioinform. 2016, 54, 5.6.1–5.6.37. [Google Scholar] [CrossRef]
- Bienert, S.; Waterhouse, A.; de Beer, T.A.P.; Tauriello, G.; Studer, G.; Bordoli, L.; Schwede, T. The SWISS-MODEL Repository-new features and functionality. Nucleic Acids Res. 2017, 45, D313–D319. [Google Scholar] [CrossRef] [PubMed]
- Jones, G.; Willett, P.; Glen, R.C.; Leach, A.R.; Taylor, R. Development and validation of a genetic algorithm for flexible docking. J. Mol. Biol. 1997, 267, 727–748. [Google Scholar] [CrossRef]
- Case, D.A.; Aktulga, H.M.; Belfon, K.; Ben-Shalom, I.Y.; Berryman, J.T.; Brozell, S.R.; Cerutti, D.S.; Cheatham, T.E.; Cisneros, G.A., III; Cruzeiro, V.W.D.; et al. AMBER 2022; University of California: San Francisco, CA, USA, 2022. [Google Scholar]
- Pang, Y.P.; Xu, K.; E Yazal, J.; Prendergas, F.G. Successful molecular dynamics simulation of the zinc-bound farnesyltransferase using the cationic dummy atom approach. Protein Sci. 2000, 9, 1857–1865. [Google Scholar]
- Pang, Y.-P. Novel Zinc Protein Molecular Dynamics Simulations: Steps Toward Antiangiogenesis for Cancer Treatment. J. Mol. Model. 1999, 5, 196–202. [Google Scholar] [CrossRef]
- Miller, B.R., 3rd; McGee, T.D., Jr.; Swails, J.M.; Homeyer, N.; Gohlke, H.; Roitberg, A.E. MMPBSA.py: An Efficient Program for End-State Free Energy Calculations. J. Chem. Theory Comput. 2012, 8, 3314–3321. [Google Scholar] [CrossRef] [PubMed]






| Compound | Y Strain (Trypomastigotes) (IC50 µM) | Y Strain (Epimastigotes) (IC50 µM) | Y Strain (Amastigotes) (IC50 µM) | Cell Viability (LLC-MK2) (CC50 µM) | S.I. (Trypomastigotes) | S.I. (Amastigotes) |
|---|---|---|---|---|---|---|
| 1 | - | - | - | 155.56 ± 25.20 | - | - |
| 2 | - | - | - | 294.65 ± 37.79 | - | - |
| 3 | - | - | - | 144.41 ± 14.20 | - | - |
| 4 | - | - | - | >488.70 | - | - |
| 5 | - | - | - | 380.16 ± 63.17 | - | - |
| 6 | - | - | - | 81.89 ± 11.12 | - | - |
| 7 | - | - | - | 296.63 ± 63.33 | - | - |
| 8 | - | - | - | 291.09 ± 38.92 | - | - |
| 9 | - | - | - | 375.98 ± 141.08 | - | - |
| 10 | - | - | - | 118.73 ± 24.46 | - | - |
| 11 | - | - | - | 37.06 ± 18.97 | - | - |
| 12 | - | - | - | 154.11 ± 20.51 | - | - |
| 13 | - | - | - | 141.47 ± 30.22 | - | - |
| 14 | - | - | - | 225.90 ± 72.40 | - | - |
| 15 | 35.30 ± 6.18 | 24.47 ± 2.96 | 4.30 ± 3.69 | >528.51 | >14.97 | 290.43 |
| 16 | 6.21 ± 0.86 | 10.66 ± 3.40 | 5.72 ± 1.61 | 659.13 ± 222.57 | 106.14 | 115.16 |
| 17 | 2.21 ± 0.37 | 8.71 ± 2.24 | 1.72 ± 0.15 | 659.13 ± 195.27 | 298.64 | 383.04 |
| 18 | 8.14 ± 1.70 | 34.30 ± 12.89 | 3.96 ± 0.22 | 676.59 ± 142.10 | 83.10 | 170.95 |
| 19 | - | - | - | 513.02 ± 177.32 | - | - |
| 20 | 8.95 ± 1.98 | 4.06 ± 0.63 | 3.06 ± 0.53 | >630.26 | >70.42 | 279.17 |
| 21 | - | - | - | 305.58 ± 45.63 | - | - |
| 22 | - | - | - | 343.13 ± 121.03 | - | - |
| 23 | - | - | - | 157.78 ± 22.22 | - | - |
| Benznidazole | 161.40 ± 31.80 | 115.10 ± 16.32 | - | 502.60 ± 57.80 | 3.11 | - |
| UniProt Accession | ID | Description |
|---|---|---|
| Q4DFL5 | PPI-1 | Peptidylprolyl isomerase |
| Q4D5W5 | PPI-2 | Peptidylprolyl isomerase |
| Q4DQU7 | HDAC | Histone deacetylase |
| Q4D3A0 | MAPK-1 | Mitogen-activated protein kinase |
| A0A2V2VTR7 | MAPK-2 | Mitogen-activated protein kinase |
| Q4D2F2 | IleRS | Isoleucine-tRNA ligase |
| Q4DQP2 | TUB-B | Tubulin beta chain |
| Q4CLA1 | TUB-A | Tubulin alpha chain |
| Q4D397 | PDE | Phosphodiesterase |
| Q4DLS1 | DHFR–TS | Bifunctional dihydrofolate reductase–thymidylate synthase |
| Target | Pose | PLP (a) | Z_PLP (b) | GS (c) | Z_GS (d) | CS (e) | Z_CS (f) | ASP (g) | Z_ASP (h) | Aggregated Score |
|---|---|---|---|---|---|---|---|---|---|---|
| PPI-1 | 1 | 56.15 | 2.28 | 18.93 | 0.54 | 26.55 | 1.85 | 32.06 | 1.31 | 1.49 |
| 2 | 48.94 | 0.22 | 17.9 | 0.46 | 26.35 | 1.78 | 33.92 | 1.88 | 1.08 | |
| 3 | 49.73 | 0.45 | 22.1 | 0.79 | 22.96 | 0.51 | 35.91 | 2.5 | 1.06 | |
| PPI-2 | 1 | 59.08 | 0.99 | 25.08 | 0.72 | 25.82 | 0.65 | 40.92 | 0.89 | 0.81 |
| HDAC | 1 | 69.37 | 2.25 | 16.18 | 0.75 | 23.07 | 2.13 | 30.07 | 0.65 | 1.44 |
| 2 | 66.41 | 1.66 | 14.14 | 0.68 | 22.5 | 1.92 | 30.99 | 0.81 | 1.27 | |
| 3 | 66.06 | 1.6 | 30.16 | 1.25 | 20.27 | 1.11 | 31.16 | 0.84 | 1.2 | |
| MAPK-1 | 1 | 55.16 | 3.18 | 15.68 | 0.81 | 18.62 | 1.44 | 29.28 | 3.12 | 2.14 |
| MAPK-2 | 1 | 59.91 | 2.29 | 25.5 | 1.09 | 23.16 | 1.58 | 30.56 | 1.42 | 1.6 |
| 2 | 57.54 | 1.79 | 23.44 | 0.96 | 22.64 | 1.41 | 33.64 | 2.16 | 1.58 | |
| 3 | 54.12 | 1.06 | 22.41 | 0.89 | 21.46 | 1.04 | 34.22 | 2.29 | 1.32 | |
| 4 | 55.86 | 1.43 | 24.66 | 1.04 | 21.02 | 0.9 | 27.56 | 0.71 | 1.02 | |
| IleRS | 1 | 44.64 | 2.02 | −1.38 | 0.43 | 18.5 | 3.24 | 29.06 | 1.55 | 1.81 |
| TUB | 1 | 36.01 | 1.69 | −11.12 | 0.37 | 12.91 | 2.03 | 18.36 | 1.99 | 1.52 |
| PDE | 1 | 61.37 | 2.72 | 13.71 | 0.59 | 21.22 | 0.45 | 32.11 | 0.82 | 1.15 |
| 2 | 52.05 | 0.48 | 18.63 | 0.75 | 24.07 | 2.3 | 31.82 | 0.73 | 1.06 | |
| DHFR–TS (folate site) | 1 | 55.63 | 1.91 | 13.93 | 0.96 | 20.24 | 1.79 | 29.19 | 2.49 | 1.79 |
| 2 | 56.42 | 2.2 | −23.3 | −0.98 | 20.91 | 2.18 | 27.15 | 1.88 | 1.32 | |
| DHFR–TS (dUMP site) | 1 | 35.43 | 0.69 | 8.3 | 0.69 | 8.18 | 0.25 | 22.22 | 2.99 | 1.15 |
| 2 | 37.56 | 1.24 | 18.44 | 1.4 | 12.49 | 1.9 | 11.47 | 0.01 | 1.14 |
| Parameter | Compound 17 | Benznidazole |
|---|---|---|
| Physiochemical properties | ||
| Molecular weight (g/mol) | 267.32 | 260.25 |
| Rotatable bonds | 7 | 6 |
| H-bond acceptors | 4 | 4 |
| H-bond donors | 1 | 1 |
| Fraction Csp3 | 0.5 | 0.17 |
| TSPA (A2) | 56.79 | 92.74 |
| Lipophilicity (Log Po/w) | ||
| iLOGP | 3.01 | 1.15 |
| XLOBP3 | 2.44 | 0.91 |
| MLOGP | 1.5 | 0.37 |
| Consensus | 2.31 | 0.49 |
| Solubility | ||
| Water solubility | Moderately soluble | Soluble |
| Pharmacokinetics | ||
| Gastrointestinal absorption | High | High |
| Skin permeability (Log KP, cm/s) | −6.2 | −7.24 |
| Blood–brain permeability | Yes | No |
| P-gp substrate | No | No |
| CYP1A2 inhibitor | Yes | No |
| CYP2C19 inhibitor | No | No |
| CYP2C9 inhibitor | No | No |
| CYP2D6 inhibitor | Yes | No |
| CYP3A4 inhibitor | No | No |
Disclaimer/Publisher’s Note: The statements, opinions and data contained in all publications are solely those of the individual author(s) and contributor(s) and not of MDPI and/or the editor(s). MDPI and/or the editor(s) disclaim responsibility for any injury to people or property resulting from any ideas, methods, instructions or products referred to in the content. |
© 2023 by the authors. Licensee MDPI, Basel, Switzerland. This article is an open access article distributed under the terms and conditions of the Creative Commons Attribution (CC BY) license (https://creativecommons.org/licenses/by/4.0/).
Share and Cite
Silva, R.H.N.; Magalhães, E.P.; Gomes, R.C.; Perez-Castillo, Y.; Martins, A.M.C.; de Sousa, D.P. Piplartine Synthetic Analogs: In Silico Analysis and Antiparasitic Study against Trypanosoma cruzi. Appl. Sci. 2023, 13, 11585. https://doi.org/10.3390/app132011585
Silva RHN, Magalhães EP, Gomes RC, Perez-Castillo Y, Martins AMC, de Sousa DP. Piplartine Synthetic Analogs: In Silico Analysis and Antiparasitic Study against Trypanosoma cruzi. Applied Sciences. 2023; 13(20):11585. https://doi.org/10.3390/app132011585
Chicago/Turabian StyleSilva, Rayanne H. N., Emanuel P. Magalhães, Rebeca C. Gomes, Yunierkis Perez-Castillo, Alice M. C. Martins, and Damião P. de Sousa. 2023. "Piplartine Synthetic Analogs: In Silico Analysis and Antiparasitic Study against Trypanosoma cruzi" Applied Sciences 13, no. 20: 11585. https://doi.org/10.3390/app132011585
APA StyleSilva, R. H. N., Magalhães, E. P., Gomes, R. C., Perez-Castillo, Y., Martins, A. M. C., & de Sousa, D. P. (2023). Piplartine Synthetic Analogs: In Silico Analysis and Antiparasitic Study against Trypanosoma cruzi. Applied Sciences, 13(20), 11585. https://doi.org/10.3390/app132011585

