Electrophysical Properties of PZT-Type Ceramics Obtained by Two Sintering Methods
Abstract
:1. Introduction
2. Experiment
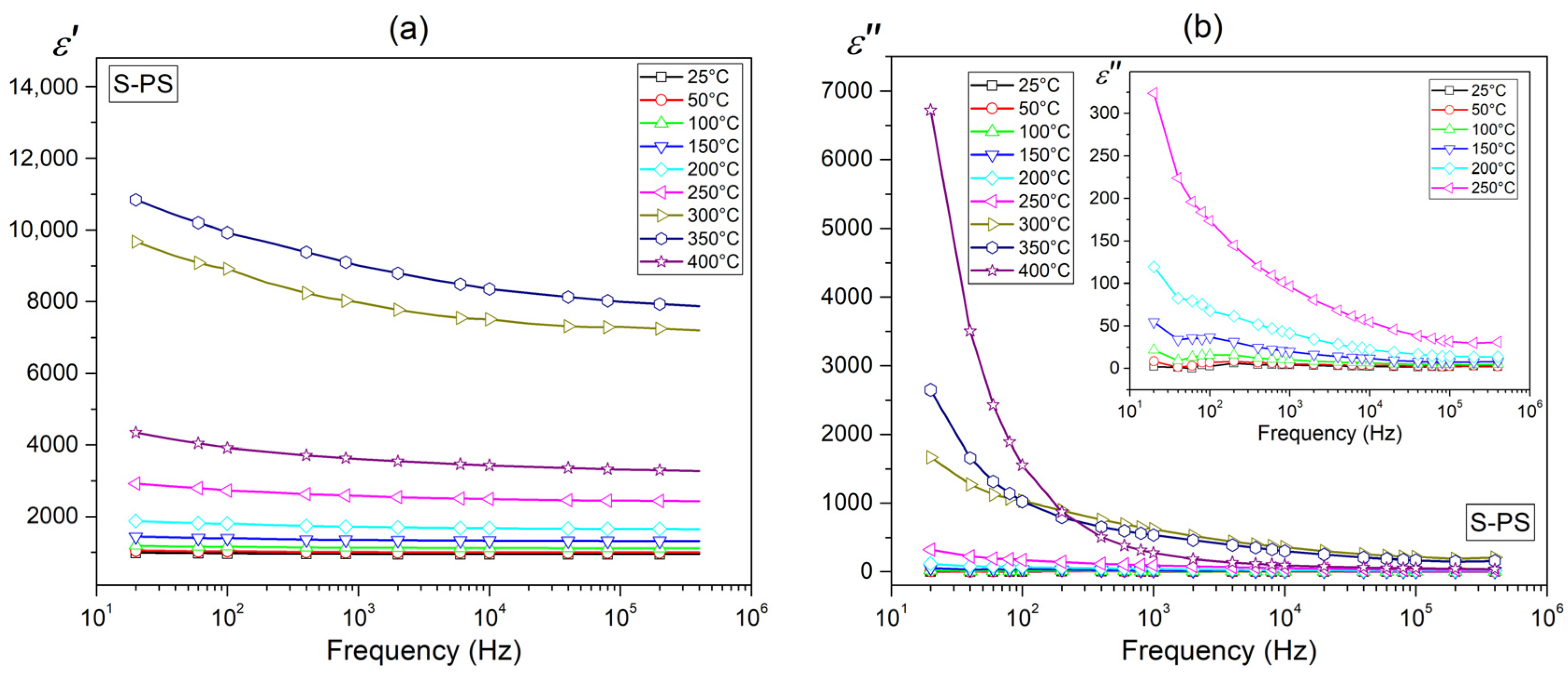
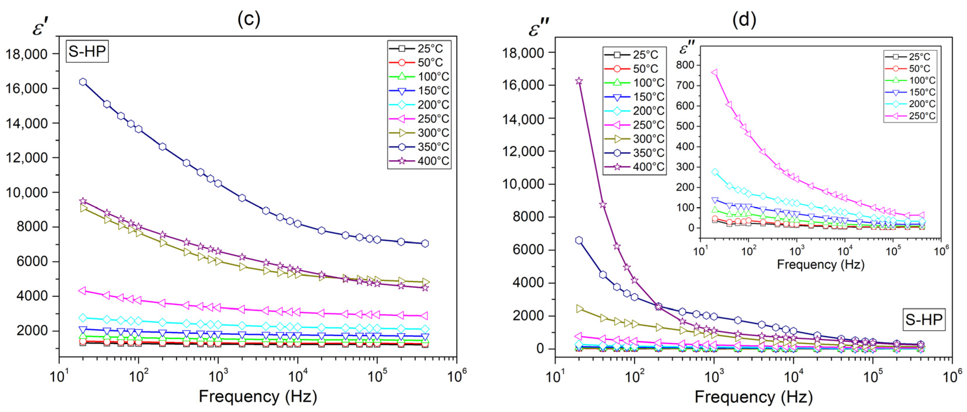
3. Results and Discussion
4. Conclusions
Author Contributions
Funding
Institutional Review Board Statement
Informed Consent Statement
Data Availability Statement
Acknowledgments
Conflicts of Interest
References
- Jaffe, B.; Cook, W.R.; Jaffe, H. Piezoelectric Ceramics; Academic Press: New York, NY, USA, 1971. [Google Scholar]
- Panda, P.K.; Sahoo, B. PZT to lead free piezo ceramics: A review. Ferroelectrics 2015, 474, 128–143. [Google Scholar] [CrossRef]
- Jiang, X.-J.; Liu, M.-W.; Shi, F.-F.; Wang, W.; Wu, X.-M.; Chen, J.-Y. A microscale linear phased-array ultrasonic transducer based on PZT ceramics. Sensors 2019, 19, 1244. [Google Scholar] [CrossRef] [PubMed]
- Hirsch, S.; Doerner, S.; Schimpf, S.; Lucklum, R.; Hauptmann, P.; Schmidt, B. A new device with PZT ultrasonic transducers in MEMS technology. J. Physics Conf. Ser. 2006, 34, 475–480. [Google Scholar] [CrossRef]
- Liu, H.; Geng, J.; Zhu, Q.; Zhang, L.; Wang, F.; Chen, T.; Sum, L. Flexible ultrasonic transducer array with bulk PZT for adjuvant treatment of bone injury. Sensors 2019, 20, 86. [Google Scholar] [CrossRef] [PubMed]
- Wang, Z.; Wang, C.; Liu, L. Design and analysis of a PZT-based micromachined acoustic sensor with increased sensitivity. IEEE Trans. Ultrason. Ferroelectr. Freq. Control 2005, 52, 1840–1850. [Google Scholar] [CrossRef] [PubMed]
- Polcawich, R.G.; Scanlon, M.; Pulskamp, J.; Clarkson, J.; Conrad, J.; Washington, D.; Piekarz, R.; Trolier-McKinstry, S.; Dubey, M. Design and fabrication of a lead zirconate titanate (PZT) thin film acoustic sensor. Integr. Ferroelectr. 2003, 54, 595–606. [Google Scholar] [CrossRef]
- Liang, R.; Wang, Q.M. High sensitivity piezoelectric sensors using flexible PZT thick-film for shock tube pressure testing. Sens. Actuat. A-Phys. 2015, 235, 317–327. [Google Scholar] [CrossRef]
- Wang, L.P.; Wolf, R.A., Jr.; Wang, Y.; Deng, K.; Zou, L.; Davis, R.J.; Troiler-McKinstry, S. Design, fabrication, and measurement of high-sensitivity piezoelectric microelectromechanical systems accelerometers. J. Microelectromech. Syst. 2003, 12, 433–439. [Google Scholar] [CrossRef]
- Ghoneim, M.T.; Zidan, M.Y.; Alnassar, M.Y.; Hanna, A.N.; Kosel, J.; Salama, K.N.; Hussain, M.M. Thin PZT-based ferroelectric capacitors on flexible silicon for nonvolatile memory applications. Adv. Electron. Mater. 2015, 1, 1500045. [Google Scholar] [CrossRef]
- Niwa, K.; Kotaka, Y.; Tomotani, M.; Ashida, H.; Goto, Y.; Otani, S. Interface between electrode and PZT memory device. Acta Mater. 2000, 48, 4755–4762. [Google Scholar] [CrossRef]
- Tressler, J.F.; Alkoy, S.; Newnham, R.E. Piezoelectric sensors and sensor materials. J. Electroceram. 1998, 2, 257–272. [Google Scholar] [CrossRef]
- Tsurumi, T.; Sasaki, T.; Kakemoto, H.; Harigai, T.; Wada, S. Domain Contribution to Direct and Converse Piezoelectric Effects of PZT Ceramics. Jpn. J. Appl. Phys. 2004, 43, 7618–7622. [Google Scholar] [CrossRef]
- Kungl, H.; Theissmann, R.; Knapp, M.; Baehtz, C.; Fuess, H.; Wagner, S.; Fett, T.; Hoffmann, M.J. Estimation of strain from piezoelectric effect and domain switching in morphotropic PZT by combined analysis of macroscopic strain measurements and synchrotron X-ray data. Acta Mater. 2007, 55, 1849–1861. [Google Scholar] [CrossRef]
- Peng, G.G.; Zheng, D.Y.; Cheng, C.; Zhang, J.; Zhang, H. Effect of rare-earth addition on morphotropic phase boundary and relaxation behavior of the PNN-PZT ceramics. J. Alloys Compd. 2017, 693, 1250–1256. [Google Scholar] [CrossRef]
- Zhu, M.M.; Du, Z.H.; Ma, J. Influence of crystal phase and transparent substrates on electro-optic properties of lead zirconate titanate films. J. Appl. Phys. 2010, 108, 113119. [Google Scholar] [CrossRef]
- Karapuzha, A.S.; James, N.K.; Khanbareh, H.; van der Zwaag, S.; Groen, W.A. Structure, dielectric and piezoelectric properties of donor doped PZT ceramics across the phase diagram. Ferroelectrics 2016, 504, 160–171. [Google Scholar] [CrossRef]
- Khacheba, M.; Abdessalem, N.; Hamdi, A.; Khemakhem, H. Effect of acceptor and donor dopants (Na, Y) on the microstructure and dielectric characteristics of high Curie point PZT-modified ceramics. J. Mater. Sci. Mater. Electron. 2020, 31, 61–372. [Google Scholar] [CrossRef]
- Texier, N.; Courtois, C.; Traianidis, M.; Leriche, A. Powder process influence on the characteristics of Mn, W, Sb, Ni-doped PZT. J. Eur. Ceram. Soc. 2001, 21, 1499–1502. [Google Scholar] [CrossRef]
- Uchino, K. Ferroelectric Devices, 2nd ed.; CRC Press: Boca Raton, FL, USA; Taylor and Francis: Boca Raton, FL, USA, 2010. [Google Scholar]
- Yousefi, F.; Esfahani, H. Role of Nb5+-Nd3+ co-dopant in morphotropic boundary of electrospun PZT nanoneedles: Study on dielectric and piezoelectric sensitivity. J. Alloys Compd. 2023, 966, 171531. [Google Scholar] [CrossRef]
- Kingon, A.I.; Clark, J.B. Sintering of PZT ceramics: I, atmosphere control. J. Am. Ceram. Soc. 1983, 66, 253–256. [Google Scholar] [CrossRef]
- Lucuta, P.G.; Constantinescu, F.L.; Barb, D. Structural dependence on sintering temperature of lead zirconate-titanate solid solutions. J. Am. Ceram. Soc. 1985, 68, 533–537. [Google Scholar] [CrossRef]
- Baumgartner, C.E. Fast firing and conventional sintering of lead zirconate titanate ceramic. J. Am. Ceram. Soc. 1988, 71, C-350–C-353. [Google Scholar] [CrossRef]
- Mazumder, R.; Sen, A. ‘Ultra’-low-temperature sintering of PZT: A synergy of nano-powder synthesis and addition of a sintering aid. J. Eur. Ceram. Soc. 2008, 28, 2731–2737. [Google Scholar] [CrossRef]
- Sharma, P.K.; Ounaies, Z.; Varadan, V.V.; Varadan, V.K. Dielectric and piezoelectric properties of microwave sintered PZT. Smart Mater. Struct. 2001, 10, 878. [Google Scholar] [CrossRef]
- Oghbaei, M.; Mirzaee, O. Microwave versus conventional sintering: A review of fundamentals, advantages and applications. J. Alloys Compd. 2010, 494, 175–189. [Google Scholar] [CrossRef]
- Gureev, D.M.; Ruzhechko, R.V.; Shishkovskii, I.V. Selective laser sintering of PZT ceramic powders. Technol. Phys. Lett. 2000, 26, 262–264. [Google Scholar] [CrossRef]
- Kumar, S. Selective laser sintering: A qualitative and objective approach. JOM 2003, 55, 43–47. [Google Scholar] [CrossRef]
- Ewsuk, K.G.; Messing, G.L. Densification of sintered lead zirconate titanate by hot isostatic pressing. J. Mater. Sci. 1984, 19, 1530–1534. [Google Scholar] [CrossRef]
- Zhou, L.; Zhao, Z.; Zimmermann, A.; Aldinger, F.; Nygren, M. Preparation and properties of lead zirconate stannate titanate sintered by spark plasma sintering. J. Am. Ceram. Soc. 2004, 87, 606–611. [Google Scholar] [CrossRef]
- Li, J.F.; Wang, S.; Wakabayashi, K.; Esashi, M.; Watanabe, R. Properties of modified lead zirconate titanate ceramics prepared at low temperature (800 °C) by hot isostatic pressing. J. Am. Ceram. Soc. 2000, 83, 955–957. [Google Scholar] [CrossRef]
- Pereira, M.; Peixoto, A.G.; Gomes, M.J.M. Effect of Nb doping on the microstructural and electrical properties of the PZT ceramics. J. Eur. Ceram. Soc. 2001, 21, 1353–1356. [Google Scholar] [CrossRef]
- Goel, P.; Yadav, K.L.; James, A.R. Double doping effect on the structural and dielectric properties of PZT ceramics. J. Phys. D Appl. Phys. 2004, 37, 3174. [Google Scholar] [CrossRef]
- Slouka, C.; Kainz, T.; Navickas, E.; Walch, G.; Hutter, H.; Reichmann, K.; Fleigh, J. The effect of acceptor and donor doping on oxygen vacancy concentrations in lead zirconate titanate (PZT). Materials 2016, 9, 945. [Google Scholar] [CrossRef] [PubMed]
- Lee, B.W.; Lee, E.J. Effects of complex doping on microstructural and electrical properties of PZT ceramics. J. Electroceram. 2006, 17, 597–602. [Google Scholar] [CrossRef]
- Chen, J.G.; Xu, Z.; Yao, X. Effect of bismuth doping on dielectric, piezoelectric and ferroelectric properties of PZT ceramics. Mater. Res. Innov. 2010, 14, 234–237. [Google Scholar] [CrossRef]
- Bochenek, D.; Niemiec, P.; Dercz, G. The effect of mixed doping on the microstructure and electrophysical parameters of the multicomponent PZT-type ceramics. Materials 2020, 13, 1996. [Google Scholar] [CrossRef] [PubMed]
- Bochenek, D.; Niemiec, P.; Szafraniak-Wiza, I.; Dercz, G. Comparison of electrophysical properties of PZT-type ceramics obtained by conventional and mechanochemical methods. Materials 2019, 12, 3301. [Google Scholar] [CrossRef] [PubMed]
- Li, Q.; Ju, T.; Li, R.; Wang, S.; Yang, Y.; Ishida, H.; Harn, Y.-W.; Chen, J.; Hirt, B.; Sehirlioglu, A.; et al. Investigation into the crystal structure–dielectric property correlation in barium titanate nanocrystals of different sizes. Nanoscale 2023, 15, 7829. [Google Scholar] [CrossRef]
- Liu, K.; Xia, Y.; Zhang, Q.; Du, Y.; Shi, Y.; Joshi, S.; Yan, C.; Wu, Y.; Huang, S.; Sun, H. Effect of the slurry composition on the piezoelectric properties of PZT ceramics fabricated via materials extrusion 3D printing. Ceram. Int. 2023, 49, 20024–20033. [Google Scholar] [CrossRef]
- Ng, Y.S.; Alexander, S.M. Structural studies of manganese stabilised lead-zirconate-titanate. Ferroelectrics 1983, 51, 81–86. [Google Scholar] [CrossRef]
- Kamiya, T.; Suzuki, T.; Tsurumi, T.; Daimon, M. Effects of manganese addition on piezoelectric properties of Pb(Zr0.5Ti0.5)O3. Jpn. J. Appl. Phys. 1992, 31, 3058. [Google Scholar] [CrossRef]
- Amarande, L.; Cioangher, M.C.; Toma, V.; Miclea, C.F.; Stefan, M.; Pasuk, I.; Iuga, A.R.; Negrila, C.; Matei, E.; Palici, A.M.; et al. Hard/soft effects of multivalence co-dopants in correlation with their location in PZT ceramics. Ceram. Int. 2021, 47, 33382–33389. [Google Scholar] [CrossRef]
- Hu, S.M.; Peng, G.G.; Zheng, D.Y. Effects of Sb or Ba addition on the piezoelectric properties of PZT. Appl. Mech. Mater. 2015, 700, 121–124. [Google Scholar] [CrossRef]
- Panigrahi, S.C.; Das, P.R.; Parida, B.N.; Padhee, R.; Choudhary, R.N.P. Dielectric and electrical properties of gadolinium-modified lead-zirconate-titanate system. J. Alloys Compd. 2014, 604, 73–82. [Google Scholar] [CrossRef]
- Jiansirisomboon, S.; Sreesattabud, T.; Watcharapasorn, A. Electrical and mechanical properties of ferroelectric lead zirconate titanate/tungsten oxide ceramics. Ceram. Int. 2008, 34, 719–722. [Google Scholar] [CrossRef]
- Bochenek, D.; Zachariasz, R. Structure and physical properties of PZT-type ceramics with cadmium and tungsten dopants. Phase Transit. 2015, 88, 799–810. [Google Scholar] [CrossRef]
- Santos, D.M.; Simoes, A.Z.; Zaghete, M.A.; Paiva-Santos, C.O.; Varela, J.A.; Longo, E. Synthesis and electrical characterization of tungsten doped Pb(Zr0.53Ti0.47)O3 ceramics obtained from a hybrid process. Mater. Chem. Phys. 2007, 103, 371–374. [Google Scholar] [CrossRef]
- Bochenek, D.; Niemiec, P.; Szafraniak-Wiza, I.; Dercz, G. Multi-component PZT ceramics obtained by mechanochemical activation and conventional ceramic technology. J. Therm. Anal. Calorim. 2020, 142, 5–17. [Google Scholar] [CrossRef]
- Tiwari, B.; Babu, T.; Choudhary, R.N.P. Dielectric response of Mn and Ce substituted PZT ferroelectric ceramics. Mater. Today Proc. 2021, 43, 535–540. [Google Scholar] [CrossRef]
- Nayak, P.; Badapanda, T.; Singh, A.K.; Panigrahi, S. An approach for correlating the structural and electrical properties of Zr4+-modified SrBi4Ti4O15/SBT ceramic. RSC Adv. 2017, 7, 16319–16331. [Google Scholar] [CrossRef]
- Mao, C.; Yana, S.; Cao, S.; Yao, S.; Cao, F.; Wang, G.; Dong, X.; Hu, X.; Yang, C. Effect of grain size on phase transition, dielectric and pyroelectric properties of BST ceramics. J. Eur. Ceram. Soc. 2014, 34, 2933–2939. [Google Scholar] [CrossRef]
- Mondal, R.A.; Murty, B.S.; Murthy, V.R.K. Maxwell-Wagner polarization in grain boundary segregated NiCuZn ferrite. Curr. Appl. Phys. 2014, 14, 1727–1733. [Google Scholar] [CrossRef]
- Ashima; Sanghi, S.; Agarwal, A.; Reetu; Ahlawat, N.; Monica. Structure refinement and dielectric relaxation of M-type Ba, Sr, Ba-Sr, and Ba-Pb hexaferrites. J. Appl. Phys. 2012, 112, 014110. [Google Scholar] [CrossRef]
- Kaur, R.; Sharma, V.; Kumar, M.; Singh, M.; Singh, A. Conductivity relaxation in Pb0.9Sm0.10Zr0.405Ti0.495Fe0.10O3 solid solution. J. Alloys Compd. 2018, 735, 1472–1479. [Google Scholar] [CrossRef]
- Dagar, S.; Hooda, A.; Khasa, S.; Malik, M. Structural refinement, investigation of dielectric and magnetic properties of NBT doped BaFe12O19 novel composite system. J. Alloys Compd. 2020, 826, 154214. [Google Scholar] [CrossRef]
- Barick, B.K.; Mishra, K.K.; Arora, A.K.; Choudhary, R.N.P.; Pradhan, D.K. Impedance and Raman spectroscopic studies of (Na0.5Bi0.5)TiO3. J. Phys. D Appl. Phys. 2011, 44, 355402. [Google Scholar] [CrossRef]
- Dwivedi, S.; Badole, M.; Vasavan, H.N.; Kumar, S. Influence of annealing environments on the conduction behaviour of KNN-based ceramics. Ceram. Int. 2022, 48, 18057–18066. [Google Scholar] [CrossRef]
- Laidler, K.J. The development of the Arrhenius equation. J. Chem. Educ. 1984, 61, 494–498. [Google Scholar] [CrossRef]










| Parameter | S-PS | S-HP |
|---|---|---|
| Tm (°C) a | 316 | 349 |
| ε a,b | 959 | 1245 |
| εm a | 14,018 | 10,516 |
| tanδ a,b | 0.004 | 0.011 |
| tanδ at Tm a | 0.095 | 0.191 |
| ρDC (Ωm) b | 1.20 × 109 | 1.51 × 109 |
| Ea in I (eV) | 0.13 | 0.15 |
| Ea in II (eV) | 0.71 | 0.82 |
| Pr (μC/cm2) b | 3.93 | 3.63 |
| Pm (μC/cm2) b | 12.24 | 13.47 |
| Ec (kV/mm) b | 0.83 | 0.79 |
Disclaimer/Publisher’s Note: The statements, opinions and data contained in all publications are solely those of the individual author(s) and contributor(s) and not of MDPI and/or the editor(s). MDPI and/or the editor(s) disclaim responsibility for any injury to people or property resulting from any ideas, methods, instructions or products referred to in the content. |
© 2023 by the authors. Licensee MDPI, Basel, Switzerland. This article is an open access article distributed under the terms and conditions of the Creative Commons Attribution (CC BY) license (https://creativecommons.org/licenses/by/4.0/).
Share and Cite
Niemiec, P.; Bochenek, D.; Dercz, G. Electrophysical Properties of PZT-Type Ceramics Obtained by Two Sintering Methods. Appl. Sci. 2023, 13, 11195. https://doi.org/10.3390/app132011195
Niemiec P, Bochenek D, Dercz G. Electrophysical Properties of PZT-Type Ceramics Obtained by Two Sintering Methods. Applied Sciences. 2023; 13(20):11195. https://doi.org/10.3390/app132011195
Chicago/Turabian StyleNiemiec, Przemysław, Dariusz Bochenek, and Grzegorz Dercz. 2023. "Electrophysical Properties of PZT-Type Ceramics Obtained by Two Sintering Methods" Applied Sciences 13, no. 20: 11195. https://doi.org/10.3390/app132011195
APA StyleNiemiec, P., Bochenek, D., & Dercz, G. (2023). Electrophysical Properties of PZT-Type Ceramics Obtained by Two Sintering Methods. Applied Sciences, 13(20), 11195. https://doi.org/10.3390/app132011195

