Polarization Transmission of Visible Light in Inhomogeneous Sea Fog Particle Environment
Abstract
1. Introduction
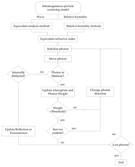
2. Establishment of an Inhomogeneous Particle Scattering Model
2.1. Equivalent Analysis Method
2.2. Relative Humidity Formula
2.3. Model Building Based on Polarization Monte Carlo Method
3. Indoor Simulation Experiment under Inhomogeneous Sea Fog Particle Environment
3.1. Experimental Setup
3.2. Experiment Procedure
4. Results and Discussion
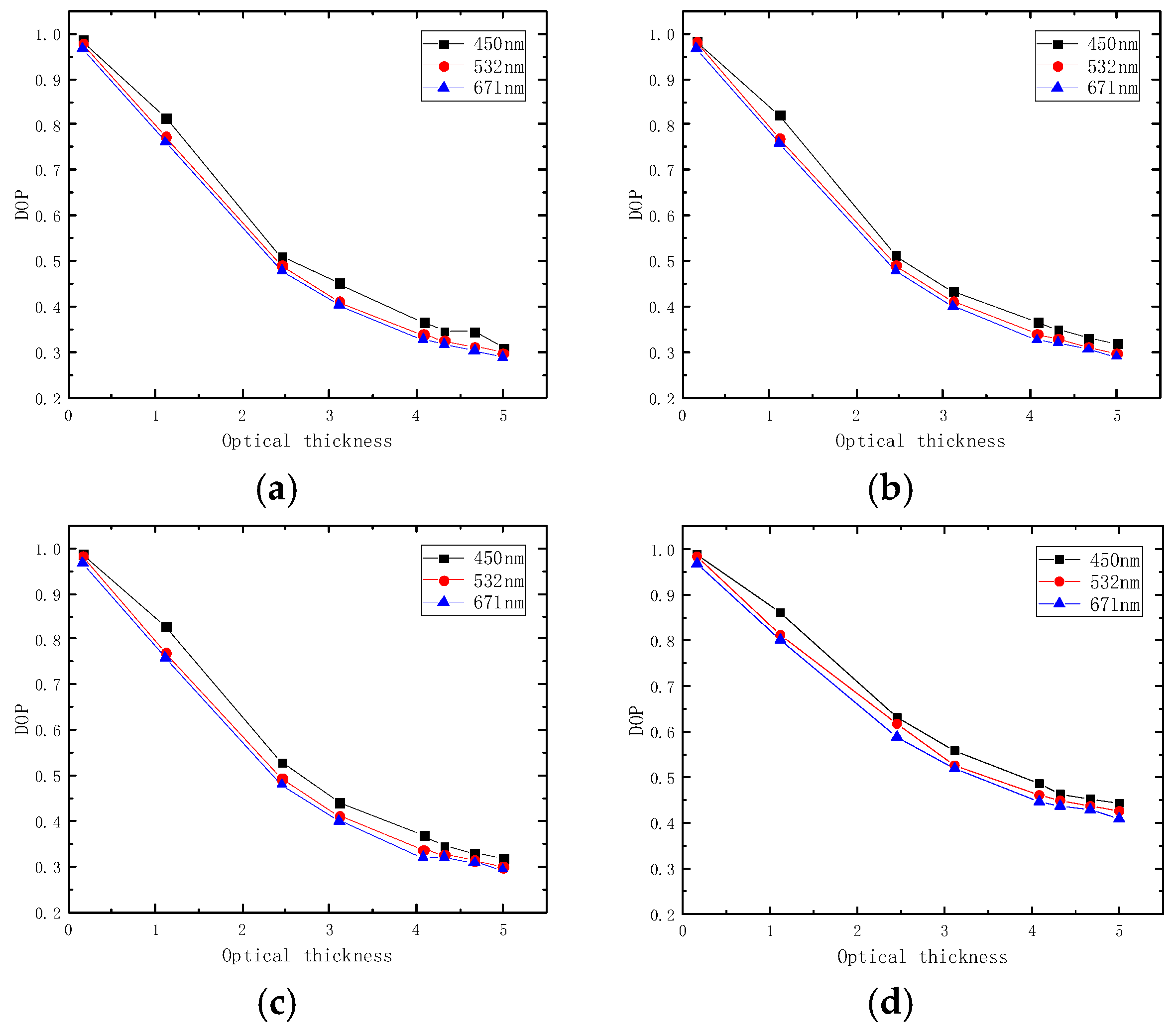
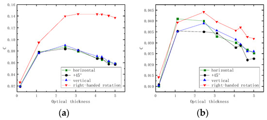
4.1. Simulation Results and Analysis
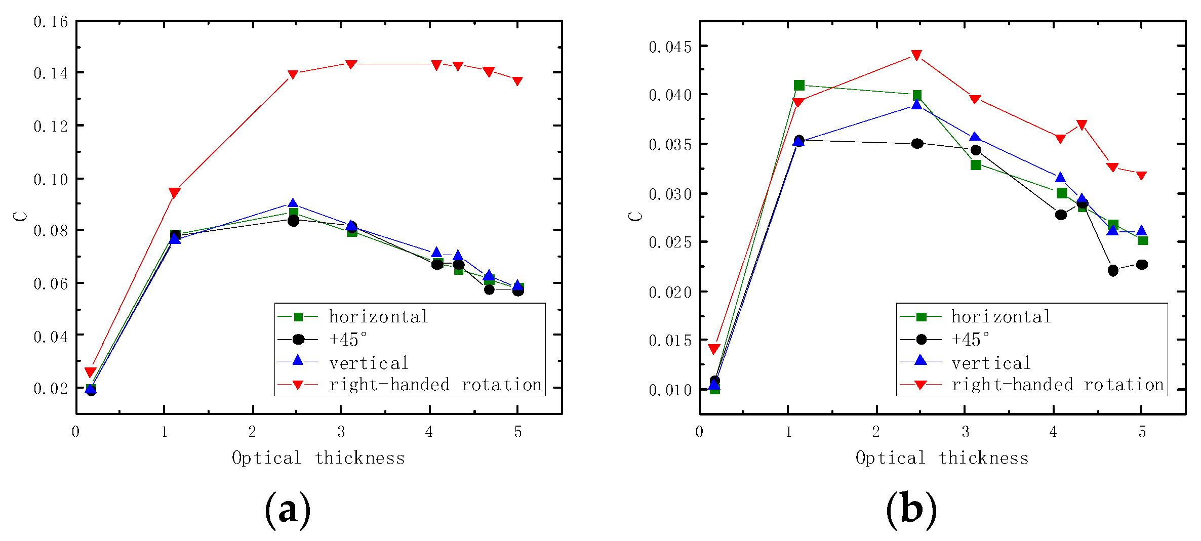
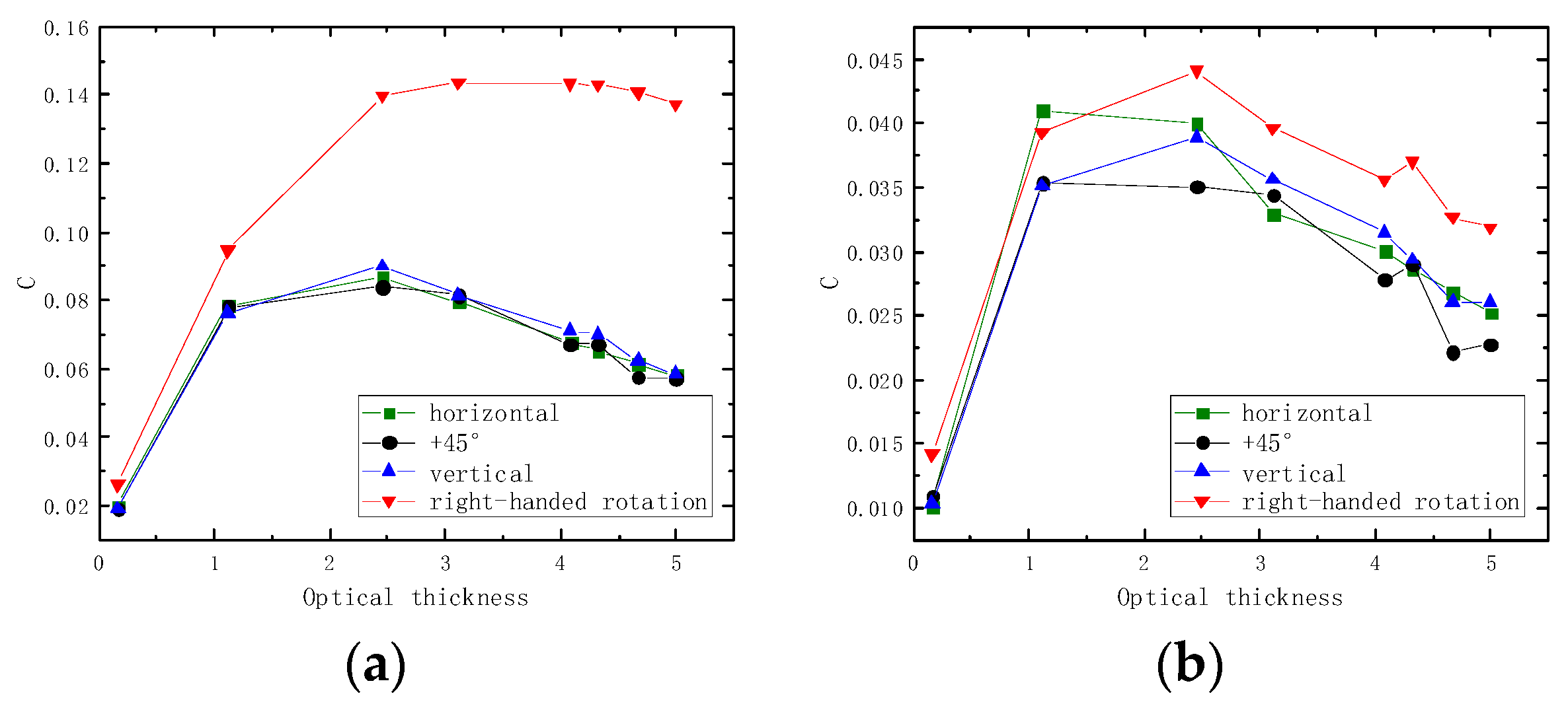
4.2. Experimental Results and Discussion
4.3. Comparative Analysis of the Polarization Characteristics of Inhomogeneous Particles and Homogeneous Particles
5. Conclusions
Author Contributions
Funding
Institutional Review Board Statement
Informed Consent Statement
Data Availability Statement
Conflicts of Interest
References
- Wang, X.B.; Zhao, H.K.; Zhou, Y.D.; Zhang, F.; Xu, P.T.; Liu, Q.; Liu, C.; Liu, D. Characteristics of jellyfish in the Yellow Sea detected by polarized oceanic lidar. Infrared Laser Eng. 2021, 50, 122–128. [Google Scholar]
- Taylor, J.S.; Davis, P.S.; Wolff, L.B. Underwater partial polarization signatures from the shallow water real-time imaging polarimeter (SHRIMP). Phys. A 2003, 5089, 296–311. [Google Scholar]
- Zhang, C.; Zhang, J.Q.; Wu, X.; Huang, M.L. Numerical analysis of light reflection and transmission in poly-disperse sea fog. Opt. Express 2020, 28, 25410–25430. [Google Scholar] [CrossRef] [PubMed]
- Lewis, J.M.; Korain, D.; Redmond, K.T. Sea Fog Research in the United Kingdom and United States: A Historical Essay Including Outlook. Bull. Am. Meteorol. Soc. 2004, 85, 395–408. [Google Scholar] [CrossRef]
- Ni, X.Y.; Yu, S.T.; Tang, Y.J.; Chen, F.S. The research on polarimetric detection capability of ship targets in the sea fog. J. Infrared Millim. Waves 2021, 40, 96–101. [Google Scholar]
- Sakai, T.; Nagai, T.; Zaizen, Y. Backscattering linear depolarization ratio measurements of mineral, sea-salt, and ammonium sulfate particles simulated in a laboratory chamber. Appl. Opt. 2010, 49, 4441–4449. [Google Scholar] [CrossRef] [PubMed]
- Bi, L.; Lin, W.S.; Wang, Z.; Tang, X.Y.; Zhang, X.Y.; Yi, B.Q. Optical Modeling of Sea Salt Aerosols: The Effects of Nonsphericity and Inhomogeneity. J. Geophys. 2018, 123, 543–558. [Google Scholar] [CrossRef]
- Huang, H.L.; Huang, Y.B.; Han, Y.; Rao, R.Z. Light Extinction Properties of Marine Aerosol Particles in Internal Mixing State. J. Atmos. Environ. Opt. 2007, 3, 180–184. [Google Scholar]
- Zhang, X.L.; Huang, Y.B.; Rao, R.Z. Equivalence of light scattering in an intermixed aerosol particle model. Acta Opt. Sin. 2012, 32, 260–266. [Google Scholar]
- Jiang, H.F. Study on Light Scattering Properties and Refractive Index Distribution Measurement of Inhomogeneous Particles. Ph.D. Thesis, Xidian University, Xi’an, China, 2007. [Google Scholar]
- Li, Y.; Xue, R.; Michael, J.E.; Barbara, J.F. Theoretical and Experimental Investigation of Scattering Property of Airborne Sea Salt Particle. J. Atmos. Environ. Opt. 2014, 3, 215–222. [Google Scholar]
- Zhang, Y.H.; Lu, T.F.; Liu, Y.X.; Chen, Z.Y.; Sun, S.H. Intensities of non-uniformly polarized beams in the oceanic turbulence. Laser Technol. 2020, 3, 310–314. [Google Scholar]
- Vermote, E.F.; Tanre, D. Second Simulation of the Satellite Signal in the Solar Spectrum, 6S: An overview. IEEE Trans. Geosci. Remote Sens. 1997, 35, 675–686. [Google Scholar] [CrossRef]
- Sun, Y.H.; Dong, H.; Bi, C.H.; Li, Z.P. Inter-comparison of models for radiative transfer in the atmosphere. High Power Laser Part Beams 2004, 2, 149–153. [Google Scholar]
- Wang, W.T.; Wang, S.X.; Wang, L.X. Study on the Streetlight Transmissivity in Fog Based on MODTRAN Model. China Illum. Eng. J. 2018, 2, 95–99. [Google Scholar]
- Li, S.; Sun, X.B.; Ti, R.F.; Huang, H.L.; Chen, Z.T.; Qiao, Y.L. Influence of Scattering Model and Effective Particle Radius on Cirrus Cloud Optical Thickness Retrieval. Acta Opt. Sin. 2018, 7, 1–10. [Google Scholar]
- Zhang, X.H.; Dai, C.M.; Zhang, X.; Wei, H.L.; Zhu, X.J.; Ma, J. Effect of relative humidity and particle shape on the scattering properties of sea salt aerosols. Infrared Laser Eng. 2019, 8, 245–252. [Google Scholar]
- Liao, Y.B. Polarization Optics; China Science Press: Beijing, China, 2003. [Google Scholar]
- Van der Laan, J.D.; Wright, J.B.; Scrymgeour, D.A.; Kemme, S.A.; Dereniak, E.L. Evolution of circular and linear polarization in scattering environments. Opt. Express 2015, 23, 31874–31888. [Google Scholar] [CrossRef] [PubMed]
- Van der Laan, J.D.; Wright, J.B.; Kemme, S.A.; Scrymgeour, D.A. Superior signal persistence of circularly polarized light in polydisperse, real-world fog environments. Appl. Opt. 2018, 57, 5464–5473. [Google Scholar] [CrossRef] [PubMed]
- Zhang, S.; Zhan, J.T.; Fu, Q.; Duan, J.; Li, Y.C.; Jiang, H.L. Propagation of linear and circular polarization in a settling smoke environment: Theory and experiment. Appl. Opt. 2019, 58, 4687–4694. [Google Scholar] [CrossRef] [PubMed]














| Mixing ratio | 0.1 | 0.3 | 0.4 | 0.5 | 0.7 | 0.9 | 0.99 |
| Equivalent refractive index | 1.492+ i0.00214 | 1.37+ i0.00034 | 1.345+ i0.000178 | 1.421+ i0.00024 | 1.494+ i0.000236 | 1.44+ i0.00154 | 1.49+ i0.00138 |
| Wavelength/nm | 450 | 532 | 671 |
| Equivalent refractive index | 1.358 + i0.000268 | 1.405 + i0.00167 | 1.455 + i0.001699 |
| Relative humidity | 45% | 55% | 65% | 75% | 85% |
| Equivalent Refractive Index | 1.4585+ i0.0001 | 1.4518+ i0.0001 | 1.4459+ i0.0001 | 1.4405+ i0.0001 | 1.4355+ i0.0001 |
| Fog filling time/min | 1 | 2 | 3 | 4 | 5 | 6 | 7 | 8 |
| Optical thickness | 0.16 | 1.12 | 2.45 | 3.12 | 4.08 | 4.32 | 4.67 | 5 |
| Wavelength/nm | Polarization State | M/% |
|---|---|---|
| Horizontal | 77.95 | |
| 450 | Vertical | 84.39 |
| 45° | 75.9 | |
| Right-hand rotation | 80.71 | |
| Horizontal | 80.61 | |
| 532 | Vertical | 80.68 |
| 45° | 79.01 | |
| Right-hand rotation | 88.62 | |
| Horizontal | 80.12 | |
| 671 | Vertical | 81.36 |
| 45° | 82.35 | |
| Right-hand rotation | 79.42 |
| Relative Humidity/% | Polarization State | M/% |
|---|---|---|
| Horizontal | 77.75 | |
| 45 | Vertical | 75.29 |
| 45° | 79.47 | |
| Right-hand rotation | 79.15 | |
| Horizontal | 76.69 | |
| 55 | Vertical | 75.45 |
| 45° | 76.21 | |
| Right-hand rotation | 79.62 | |
| Horizontal | 81.12 | |
| 65 | Vertical | 84.6 |
| 45° | 79.29 | |
| Right-hand rotation | 83.01 | |
| Horizontal | 84.84 | |
| 75 | Vertical | 82.89 |
| 45° | 83.66 | |
| Right-hand rotation | 82.45 | |
| Horizontal | 79.78 | |
| 85 | Vertical | 79.97 |
| 45° | 77.47 | |
| Right-hand rotation | 83.56 |
Disclaimer/Publisher’s Note: The statements, opinions and data contained in all publications are solely those of the individual author(s) and contributor(s) and not of MDPI and/or the editor(s). MDPI and/or the editor(s) disclaim responsibility for any injury to people or property resulting from any ideas, methods, instructions or products referred to in the content. |
© 2023 by the authors. Licensee MDPI, Basel, Switzerland. This article is an open access article distributed under the terms and conditions of the Creative Commons Attribution (CC BY) license (https://creativecommons.org/licenses/by/4.0/).
Share and Cite
Zhan, J.; Bao, S.; Zhang, S.; Li, Y.; Fu, Q.; Duan, J.; Zhang, W. Polarization Transmission of Visible Light in Inhomogeneous Sea Fog Particle Environment. Appl. Sci. 2023, 13, 905. https://doi.org/10.3390/app13020905
Zhan J, Bao S, Zhang S, Li Y, Fu Q, Duan J, Zhang W. Polarization Transmission of Visible Light in Inhomogeneous Sea Fog Particle Environment. Applied Sciences. 2023; 13(2):905. https://doi.org/10.3390/app13020905
Chicago/Turabian StyleZhan, Juntong, Shicheng Bao, Su Zhang, Yingchao Li, Qiang Fu, Jin Duan, and Wei Zhang. 2023. "Polarization Transmission of Visible Light in Inhomogeneous Sea Fog Particle Environment" Applied Sciences 13, no. 2: 905. https://doi.org/10.3390/app13020905
APA StyleZhan, J., Bao, S., Zhang, S., Li, Y., Fu, Q., Duan, J., & Zhang, W. (2023). Polarization Transmission of Visible Light in Inhomogeneous Sea Fog Particle Environment. Applied Sciences, 13(2), 905. https://doi.org/10.3390/app13020905
