A Study of Constitutive Model of Rock Damage under the Joint Effect of Load and Moisture
Abstract
1. Introduction
2. Damage Constitutive Model of Waterstone
2.1. The Mechanical Damage Characteristics of Rock
- (1)
- Uniaxial compression status
- (2)
- Conventional Triaxial Compression Status
2.2. The Rock Damage Constitutive Model under the Joint Effect of Moisture and Load
3. The Mechanical Test of Sandrock Containing Water
3.1. Experimental Overviews
- (1)
- Single Axis Compression Test: The test samples are numbered from Ai-j, with i = 1~6 (1 refers to the sample in dry status, sample 2 to 6 refer to the samples submerged for 0.75 h, 1.5 h, 6 h, 24 h, and 720 h, respectively) and j = 1~3 (three samples in one test group). The test adopted the displacement control, with the load increased at a rate of 0.5 mm/min until sample failure.
- (2)
- Conventional Three-axis Compression Test: The test samples are numbered from Bi-j, with i = 1~6 (1 refers to the sample in dry status, sample 2 to 6 refer to the samples submerged for 0.75 h, 1.5 h, 6 h, 24 h, and 720 h, respectively) and j = 1~9 (The surrounding pressure is categorized into three sections, with 3 samples in each section). The test adopted the stress control, with the surrounding pressure increased at a rate of 0.05 MPa/s, along with the axial pressure. The initial pressure settings are 10 MPa, 20 MPa, and 30 Mpa, respectively. During the later phases, the control is switched to the displacement control, with a constant surrounding pressure and an increasing axial pressure at a rate of 0.5 mm/min.
3.2. The Water Content Test
3.3. The Mechanical Test Results of Sandrock Containing Water
3.4. The Impacts of Water Content on the Mechanical Characteristics of Sandrock
4. The Damage Constitutive Model of Water Containing Sandrock Specimens
4.1. The Impact of Moisture on the Specimen Damage
4.2. The Rock Damage Constitutive Model of Water-Bearing Rock
- Uniaxial compression status
- 2.
- Conventional Triaxial Compression Status
4.3. The Verification of Damage Evolution Law of Water-Bearing Rock
- (1)
- Uniaxial compression status
- (2)
- Conventional Triaxial Compression Status
5. Discussion
- The compaction stage of the theoretical damage curve is not obvious, with the curve value higher than the experimental value;
- The stress of the theoretical damage curve shows a deceleration increase before the peak value, which continues to decrease at an accelerated rate after the peak value, while the stress change rate in the actual compression process is more complicated.
- ①
- In this study, the researchers assume that the damage value of the dry sandstone specimen is zero (0), and the damage value increases continuously with the accumulation of water content and strain. However, in the compaction stage, the damage value is, in fact, almost unchanged or even reduced, which leads to the stress value of the theoretical curve being larger than the experimental value in the first part of the peak front region.
- ②
- Since the theoretical model is a continuously changing function, it is difficult to reflect the localized process in rock failure. Therefore, in order to establish a damage constitutive model that is more in line with the actual deformation of the rock, the theoretical model needs to be further improved to reflect the actual damage evolution process more accurately.
6. Conclusions
- In the initial stage of immersion, the relationship between the immersion time and the water content of the rock specimen demonstrates exponential growth as a whole. In addition, the water content of the rock remained basically constant after the time threshold t0 is reached.
- Under both uniaxial compression and conventional triaxial compression, the failure strength and elastic modulus of the sandstone specimens decrease linearly with the increase in water content.
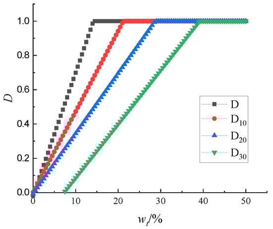
- As the confining pressure increases, the rate of damage evolution becomes lower, indicating that the increase of the confining pressure tends to reduce the weakening effect of water on rock mass, and demonstrates a positive effect on restraining rock mass damage.
- The overall shape of the theoretical prediction curve is similar to the loading mechanics curve, indicating that the model can better reflect the stress-strain behavior of sandrock under different water content and uniaxial/triaxial loading conditions.
Author Contributions
Funding
Institutional Review Board Statement
Informed Consent Statement
Data Availability Statement
Acknowledgments
Conflicts of Interest
References
- Cai, M.; He, M.; Li, D. Rock Mechanics and Engineering; Science Press: Beijing, China, 2002. [Google Scholar]
- Xie, H. Rock Mechanics; Science Press: Beijing, China, 2004. [Google Scholar]
- Kang, H. Damage of water to rock. Hydrogeol. Eng. Geol. 1994, 3, 39–41. [Google Scholar]
- Liu, X.; Fu, Y.; Zheng, Y.; Liang, N. A Review on Deterioration of Rock Caused by Water-Rock Interaction. Chin. J. Undergr. Space Eng. 2012, 8, 77–82+88. [Google Scholar]
- Toeroek, A.; Vasarhelyi, B. The influence of fabric and water content on selected rock mechanical parameters of travertine, examples from Hungary. Eng. Geol. 2010, 115, 237–245. [Google Scholar] [CrossRef]
- Shi, D.; Xie, C.; Xiong, L. Changes in the Structures and Directions of Rock Excavation Research from 1999 to 2020: A Bibliometric Study. Adv. Civ. Eng. 2021, 2021, 9274918. [Google Scholar] [CrossRef]
- Zhu, W.; Zhao, C.; Zhou, H.; Li, B. Discussion on several key issues in current rock mechanics. Chin. J. Rock Mech. Eng. 2015, 34, 649–658. [Google Scholar]
- Zhao, Y. Retrospection on the development of rock mass mechanics and the summary of some unsolved centennial problems. Chin. J. Rock Mech. Eng. 2021, 40, 1297–1336. [Google Scholar]
- Louis, C. Introduction to Rock Hydraulics; Bull Brgm III; Institut Francais des Sciences et Technologies des Transports, de l’Aménagement et des Réseaux (IFSTTAR): Champs-sur-Marne, France, 1974. [Google Scholar]
- Liu, J.; Sheng, J.; Polak, A.; Elsworth, D.; Yasuhara, H.; Grader, A. A fully-coupled hydrological-mechanical-chemical model for fracture sealing and preferential opening. Int. J. Rock Mech. Min. 2006, 43, 23–36. [Google Scholar] [CrossRef]
- Zhao, Z.; Yan, J.; Zhang, D.; Peng, H. Effects of wetting and cyclic wetting-drying on tensile strength of sandstone with a low clay mineral conten. Rock Mech. Rock Eng. 2017, 50, 485–491. [Google Scholar] [CrossRef]
- Hosseini, M. Estimation of mean pore-size using formation evaluation and Stoneley slowness. J. Nat. Gas Sci. Eng. 2016, 33, 898–907. [Google Scholar] [CrossRef]
- Kachanov, L. Time to Rupture Process Under Creep Conditions, Izy Akad. Nank SSR Otd. Tech. Nauk. 1958, 8, 26–31. [Google Scholar]
- Dougill, J.; Al, E. Mechanics in Engineering. In Proceedings of the ASCE EMD, Waterloo, ON, Canada, 26–28 May 1976; pp. 333–355. [Google Scholar]
- Lemaitre, J. How to use damage mechanics. Nucl. Eng. Des. 1984, 80, 233–245. [Google Scholar] [CrossRef]
- Chaboehe, J. Continuous damage mechanics: A tool to describe phenomena before crack initiation. Nucl. Eng. Des. 1981, 64, 233–247. [Google Scholar] [CrossRef]
- Krajcinove, D.; Fonseka, G. The continuous damage theory of brittle aterials. Int. J. Appl. Mech. 1981, 48, 809–815. [Google Scholar]
- Park, T.; Voyiadjis, G. Kinematic deseription of damage. J. Appl. Mech. 1986, 65, 93–97. [Google Scholar] [CrossRef]
- Murakami, S. Mechanical modeling of material damage. J. Appl. Mech. 1988, 55, 280–286. [Google Scholar] [CrossRef]
- Xie, H. Damage Mechanics of Rock and Concrete; China University of Mining and Technology Press: Xuzhou, China, 1990. [Google Scholar]
- Zhou, W.; Yang, Y. A damage fracture mechanics model for jointed rock masses and its verification. Chin. J. Rock Mech. Eng. 1991, 10, 43–54. [Google Scholar]
- Cao, W.; Fang, Z.; Tang, X. A study of statistical constitutive model for soft and damage rocks. Chin. J. Rock Mech. Eng. 1998, 17, 43–54. [Google Scholar]
- Wu, G.; Sun, J. Damage mechanical analysis of unloading failure of intact rock mass under complex stress state. J. Hohai Univ. (Nat. Sci.) 1997, 17, 44–49. [Google Scholar]
- Chen, Z.; Lin, Z.; Xie, H. Damage study on brittle rock failure under complicated stress. J. China Coal Soc. 2004, 29, 31–35. [Google Scholar]
- Chen, K. Constitutive model of rock triaxial damage based on the rock strength statistics. Int. J. Damage Mech. 2020, 29, 1487–1511. [Google Scholar] [CrossRef]
- Zhang, C.; Wang, Y.; Ruan, H.; Ke, B.; Lin, H. The strain characteristics and corresponding model of rock materials under uniaxial cyclic load/unload compression and their deformation and fatigue damage analysis. Arch. Appl. Mech. 2021, 91, 2481–2496. [Google Scholar]
- Cao, W.; Li, X. A new discussion on damage softening statistical constitutive model for rocks and method for determining its parameters. Rock Soil Mech. 2008, 29, 2952–2956. [Google Scholar]
- Li, X.; Cao, W.; Su, Y. A statistical damage constitutive model for softening behavior of rocks. Eng. Geo. 2012, 143–144, 1–17. [Google Scholar] [CrossRef]
- Cao, W.; Yang, S.; Zhang, C. A statistical damage constitutive model of rocks considering the variation of the elastic modulus. Hydroge. Eng. Geo. 2017, 44, 42–48. [Google Scholar]
- Zhang, C.; Cao, W.; Zhao, H.; He, M. Statistical damage simulation method for complete stress-strain path of rocks considering confining pressure effect and strength brittle drop. Chin. J. Rock Mech. Eng. 2022, 44, 936–944. [Google Scholar]
- Ji, M.; Chen, K.; Guo, H. Constitutive Model of Rock Uniaxial Damage Based on Rock Strength Statistics. Adv. Civ. Eng. 2018, 2018, 5047834. [Google Scholar] [CrossRef]
- Erguler, Z.; Ulusay, R. Water-induced variations in mechanical properties of clay-bearing rocks. Int. J. Rock Mech. Min. 2009, 46, 355–370. [Google Scholar] [CrossRef]
- Cao, W.; Zhang, C.; He, M.; Liu, T. Statistical damage simulation method of strain softening deformation process for rocks considering characteristics of void compaction stage. Chin. J. Geotech. Eng. 2016, 38, 1754–1761. [Google Scholar]
- Conil, N.; Djeran-Maiger, I.; Cabrillar, R. Poroplastic damage model for claystones. Appl. Clay. 2004, 26, 473–487. [Google Scholar] [CrossRef]
- Wang, J.; Liu, X.; Li, P. Statistical damage softening constitutive model for rock. J. Lanzhou Univ. (Nat. Sci.) 2011, 47, 24–28. [Google Scholar]
- Jia, S.; Gao, M.; Yu, H.; Gao, M.; Gong, J. A coupled damage-permeability model of clay stone with high porosity and low permeability and its numerical implementation. J. Cent. South Univ. (Sci. Tech.) 2016, 47, 558–568. [Google Scholar]
- Hu, X.; Qu, S.; Li, K. Study of rock elastoplastic constitutive damage model based on the unified strength theory. J. China Univ. Min. Technol. 2019, 48, 305–312. [Google Scholar]
- Hu, X.; Li, K.; Qu, S. The elastoplastic constitutive model of rock and its numerical implementation based on unified strength theory. Explos. Shock 2019, 39, 130–138. [Google Scholar]
- Zhang, X.; Cai, J.; Tang, N.; Li, Q.; Sun, C. Experimental study on mechanical properties of deep sandstone and its constitutive model. J. China Coal Soc. 2019, 44, 2087–2093. [Google Scholar]
- Gao, W.; Hu, C.; He, T.; Chen, X.; Zhou, C.; Cui, S. Study on constitutive model of fractured rock mass based on statistical strength theory. Rock Soil Mech. 2020, 41, 2179–2188. [Google Scholar]
- Liu, D.; He, M.; Cai, M. A damage model for modeling the complete stress–strain relations of brittle rocks under uniaxial compression. Int. J. Damage Mech. 2018, 27, 1000–1019. [Google Scholar] [CrossRef]
- Hosseini, M. Formation evaluation of a clastic gas reservoir: Presentation of a solution to a fundamentally difficult problem. J. Geo. Eng. 2018, 15, 2418–2432. [Google Scholar] [CrossRef]










| t/h | ωt/% | σc/MPa | t/h | ωt/% | σc/MPa | ||
|---|---|---|---|---|---|---|---|
| A1-1 | Dry | 0 | 91.789 | A4-1 | 6 | 2.742 | 57.172 |
| A1-2 | Dry | 0 | 81.508 | A4-2 | 6 | 2.709 | 59.629 |
| A1-3 | Dry | 0 | 92.376 | A4-3 | 6 | 2.834 | 57.153 |
| A2-1 | 0.75 | 1.611 | 68.809 | A5-1 | 24 | 2.811 | 56.808 |
| A2-2 | 0.75 | 1.561 | 64.340 | A5-2 | 24 | 2.960 | 52.465 |
| A2-3 | 0.75 | 1.638 | 68.704 | A5-3 | 24 | 2.912 | 58.207 |
| A3-1 | 1.5 | 1.977 | 65.309 | A6-1 | 720 | 2.692 | 55.681 |
| A3-2 | 1.5 | 1.970 | 65.609 | A6-2 | 720 | 2.824 | 55.135 |
| A3-3 | 1.5 | 2.158 | 68.540 | / | / | / | / |
| t h | σ2 = σ3 MPa | ωt % | σc Mpa | E Gpa | t h | σ2 = σ3 Mpa | ωt % | σc Mpa | E Gpa | ||
|---|---|---|---|---|---|---|---|---|---|---|---|
| B1-1 | Dry | 10 | 0 | 154.15 | 20.30 | B3-7 | 1.5 | 30 | 2.16 | 214.34 | 21.80 |
| B1-2 | Dry | 10 | 0 | 150.60 | 20.10 | B3-8 | 1.5 | 30 | 2.03 | 216.48 | 21.79 |
| B1-3 | Dry | 10 | 0 | 150.88 | 19.87 | B3-9 | 1.5 | 30 | 2.08 | 222.14 | 21.97 |
| B1-4 | Dry | 20 | 1.61 | 181.22 | 21.68 | B4-1 | 6 | 10 | 2.22 | 124.26 | 18.39 |
| B1-5 | Dry | 20 | 1.56 | 179.99 | 21.51 | B4-2 | 6 | 10 | 2.21 | 127.32 | 18.55 |
| B1-6 | Dry | 20 | 1.64 | 183.04 | 22.06 | B4-3 | 6 | 10 | 2.33 | 121.27 | 17.32 |
| B1-7 | Dry | 30 | 1.98 | 219.49 | 8.92 | B4-4 | 6 | 20 | 2.33 | 165.87 | 19.75 |
| B1-8 | Dry | 30 | 1.97 | 222.95 | 23.38 | B4-5 | 6 | 20 | 2.30 | 165.25 | 19.89 |
| B1-9 | Dry | 30 | 2.16 | 227.46 | 23.13 | B4-6 | 6 | 20 | 2.12 | 165.71 | 20.06 |
| B2-1 | 0.75 | 10 | 1.17 | 121.27 | 17.28 | B4-7 | 6 | 30 | 2.04 | 209.42 | 21.42 |
| B2-2 | 0.75 | 10 | 1.88 | 124.04 | 18.48 | B4-8 | 6 | 30 | 2.13 | 206.37 | 21.15 |
| B2-3 | 0.75 | 10 | 1.59 | 130.86 | 18.69 | B4-9 | 6 | 30 | 2.24 | 202.24 | 20.21 |
| B2-4 | 0.75 | 20 | 1.87 | 171.26 | 20.51 | B5-1 | 24 | 10 | 2.62 | 120.25 | 17.39 |
| B2-5 | 0.75 | 20 | 1.81 | 169.96 | 20.60 | B5-2 | 24 | 10 | 2.52 | 123.23 | 17.77 |
| B2-6 | 0.75 | 20 | 1.74 | 174.25 | 21.04 | B5-3 | 24 | 10 | 2.64 | 116.84 | 17.05 |
| B2-7 | 0.75 | 30 | 1.75 | 213.35 | 22.10 | B5-4 | 24 | 20 | 2.60 | 169.22 | 19.89 |
| B2-8 | 0.75 | 30 | 1.78 | 207.89 | 21.66 | B5-5 | 24 | 20 | 2.52 | 167.53 | 19.73 |
| B2-9 | 0.75 | 30 | 1.58 | 210.74 | 21.56 | B5-6 | 24 | 20 | 2.60 | 164.73 | 19.39 |
| B3-1 | 1.5 | 10 | 1.97 | 125.76 | 18.24 | B5-7 | 24 | 30 | 2.65 | 210.15 | 20.66 |
| B3-2 | 1.5 | 10 | 2.04 | 126.82 | - | B5-8 | 24 | 30 | 2.67 | 217.90 | 21.70 |
| B3-3 | 1.5 | 10 | 1.86 | 129.50 | 18.94 | B5-9 | 24 | 30 | 2.76 | 215.53 | 21.39 |
| B3-4 | 1.5 | 20 | 1.97 | 177.60 | 20.75 | B6-1 | 720 | 20 | 2.80 | 158.82 | 20.46 |
| B3-5 | 1.5 | 20 | 1.93 | 175.70 | 20.88 | B6-2 | 720 | 30 | 2.70 | 191.88 | 20.84 |
| B3-6 | 1.5 | 20 | 2.03 | 174.54 | 20.61 |
| A1 | A2 | A3 | A4 | A5 | A6 | |
|---|---|---|---|---|---|---|
| t/h | Dry | 0.75 | 1.5 | 6 | 24 | 720 |
| /MPa | 89.065 | 67.837 | 65.391 | 58.892 | 56.270 | 54.893 |
| /GPa | 15.431 | 13.359 | 12.994 | 13.282 | 11.805 | 13.247 |
| /% | 0 | 1.603 | 2.035 | 2.762 | 2.894 | 2.758 |
| 8.627 | 6.795 | 7.643 | 7.313 | 6.100 | 8.627 | |
| 2.953 | 1.686 | 1.405 | 1.725 | 1.344 | 1.898 |
| B1 | B2 | B3 | B4 | B5 | B6 | |
|---|---|---|---|---|---|---|
| t/h | Dry | 0.75 | 1.5 | 6 | 24 | 720 |
| /% | 0 | 1.688 | 2.007 | 2.212 | 2.619 | 2.749 |
| 11.243 | 10.759 | 11.148 | 11.343 | 11.582 | / | |
| 5.184 | 2.911 | 2.713 | 2.393 | 2.097 | / | |
| 13.445 | 13.793 | 14.137 | 13.890 | 15.424 | 13.050 | |
| 3.628 | 3.004 | 2.958 | 2.550 | 2.351 | 2.839 | |
| 15.637 | 15.691 | 16.922 | 17.725 | 18.333 | 14.760 | |
| 4.471 | 3.294 | 2.925 | 2.237 | 2.596 | 2.962 |
Disclaimer/Publisher’s Note: The statements, opinions and data contained in all publications are solely those of the individual author(s) and contributor(s) and not of MDPI and/or the editor(s). MDPI and/or the editor(s) disclaim responsibility for any injury to people or property resulting from any ideas, methods, instructions or products referred to in the content. |
© 2023 by the authors. Licensee MDPI, Basel, Switzerland. This article is an open access article distributed under the terms and conditions of the Creative Commons Attribution (CC BY) license (https://creativecommons.org/licenses/by/4.0/).
Share and Cite
Sun, Z.; Zhang, Q.; Zhang, J.; Zhang, Y.; Wang, P. A Study of Constitutive Model of Rock Damage under the Joint Effect of Load and Moisture. Appl. Sci. 2023, 13, 1224. https://doi.org/10.3390/app13021224
Sun Z, Zhang Q, Zhang J, Zhang Y, Wang P. A Study of Constitutive Model of Rock Damage under the Joint Effect of Load and Moisture. Applied Sciences. 2023; 13(2):1224. https://doi.org/10.3390/app13021224
Chicago/Turabian StyleSun, Zhongguang, Qinghua Zhang, Jun Zhang, Yi Zhang, and Pengfei Wang. 2023. "A Study of Constitutive Model of Rock Damage under the Joint Effect of Load and Moisture" Applied Sciences 13, no. 2: 1224. https://doi.org/10.3390/app13021224
APA StyleSun, Z., Zhang, Q., Zhang, J., Zhang, Y., & Wang, P. (2023). A Study of Constitutive Model of Rock Damage under the Joint Effect of Load and Moisture. Applied Sciences, 13(2), 1224. https://doi.org/10.3390/app13021224

