Kinetic, Physiological and Fatigue Level Differences Depending on the Menstrual Cycle Phase and Running Intensity
Abstract
:1. Introduction
2. Materials and Methods
2.1. Participants
2.2. Study Design
2.3. Materials and Measurements
2.4. Data Analysis
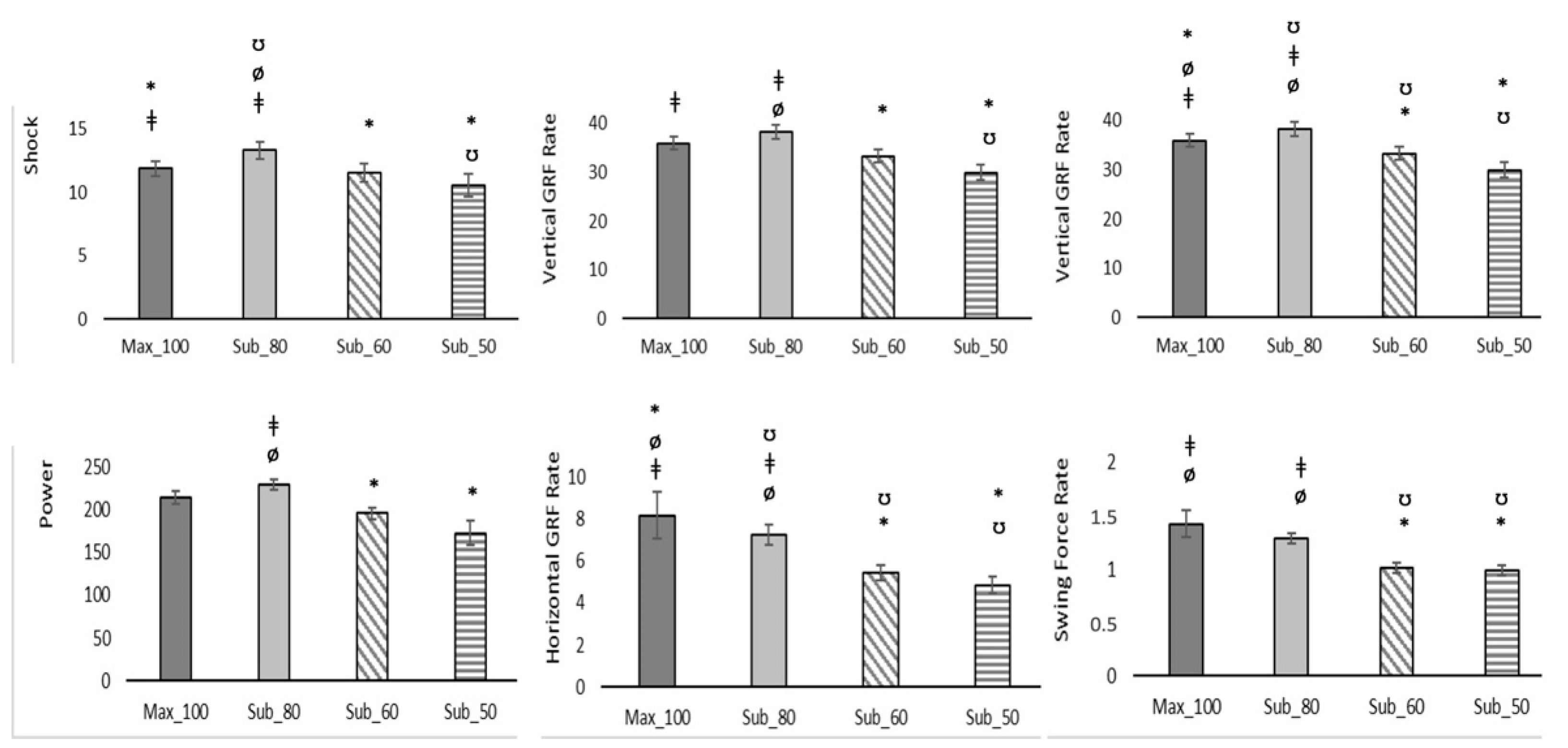
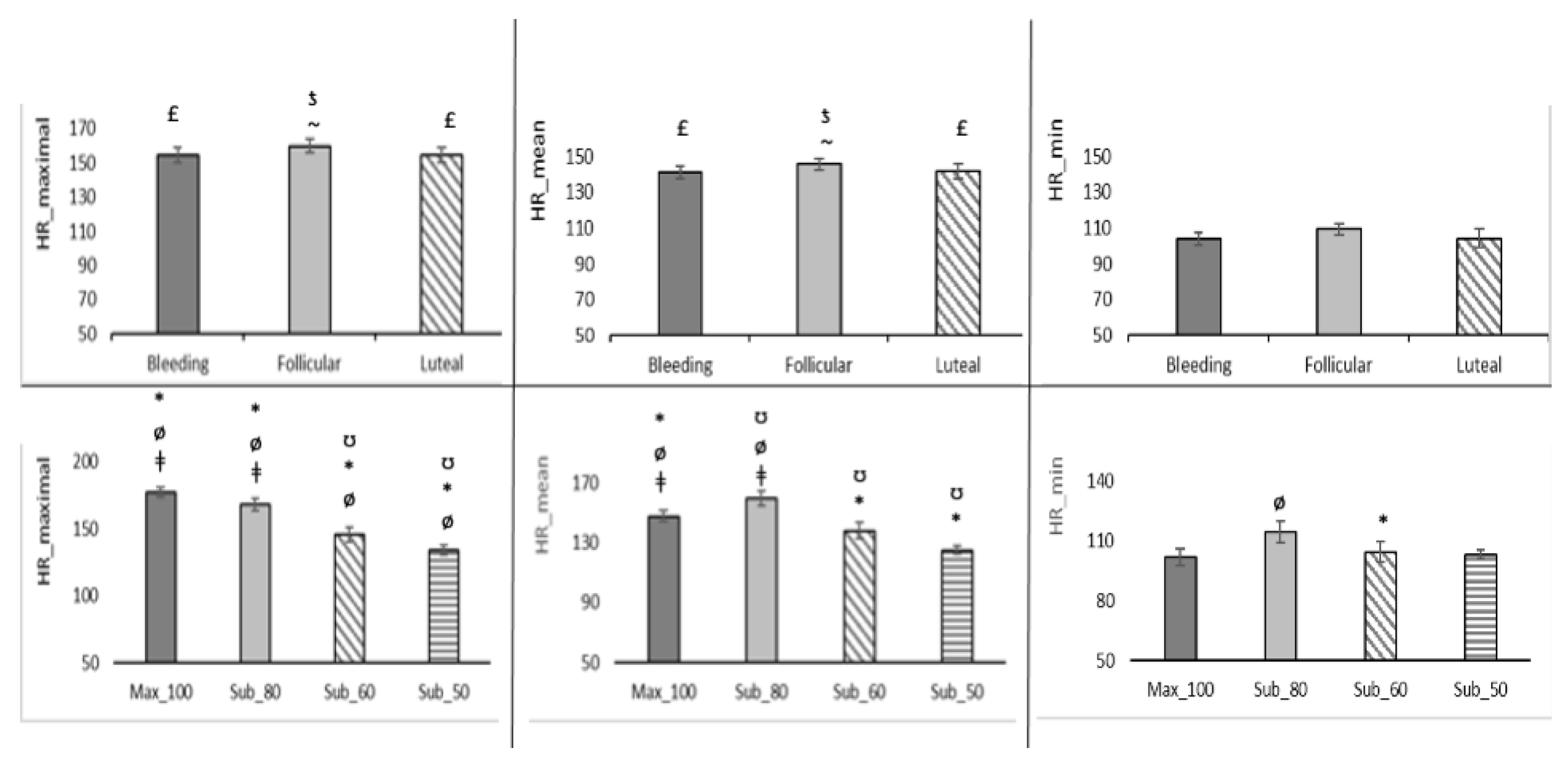
3. Results
4. Discussion
4.1. Kinetic Variables
4.2. Physiological Variables
4.3. Fatigue Variables
5. Conclusions
Author Contributions
Funding
Institutional Review Board Statement
Informed Consent Statement
Data Availability Statement
Conflicts of Interest
References
- Martínez, S.; Martín, G.; Martínez, J. The gender gap in sport: The case of a historically and socially consented marginalisation. Interdisciplinaria 2021, 38, 73–86. [Google Scholar]
- Hidalgo, J. International Comparative Study of High-Level Sport Models. 2018. Available online: https://www2.deloitte.com/content/dam/Deloitte/es/Documents/tecnologia-media-telecomunicaciones/Deloitte-ES-TMT-estudio-modelos-deporte.pdf (accessed on 24 February 2023).
- Marín, S.; Martínez, J.; Núñez, C. Actividad Física, Salud y Mujer. In El Deporte Femenino, Ese Gran Desconocido; Marugán Pintos, B., Ed.; Instituto de Estudios de Género, Universidad Carlos III de Madrid: Madrid, Spain, 2019; Available online: http://hdl.handle.net/10016/28386 (accessed on 12 February 2023).
- García, A. Specific Training for Women. El Deporte Femenino, Ese Gran Desconocido; Marugán Pintos, B., Ed.; Instituto de Estudios de Género, Universidad Carlos III de Madrid: Madrid, Spain, 2019. Available online: http://hdl.handle.net/10016/28386 (accessed on 12 February 2023).
- Meignié, A.; Duclos, M.; Carling, C.; Orhant, E.; Provost, P.; Toussaint, J.F.; Antero, J. The Effects of Menstrual Cycle Phase on Elite Athlete Performance: A Critical and Systematic Review. Front. Physiol. 2021, 12, 654585. [Google Scholar] [CrossRef]
- McNulty, K.L.; Elliott-Sale, K.J.; Dolan, E.; Swinton, P.A.; Ansdell, P.; Goodall, S.; Thomas, K.; Hicks, K.M. The Effects of Menstrual Cycle Phase on Exercise Performance in Eumenorrheic Women: A Systematic Review and Meta-Analysis. Sports Med. 2020, 50, 1813–1827. [Google Scholar] [CrossRef] [PubMed]
- Morin, J.-B.; Dalleau, G.; Belli, A. A Simple Method for Measuring Stiffness during Running. J. Appl. Biomech. 2005, 21, 167–180. [Google Scholar] [CrossRef] [PubMed]
- Moore, I.S.; Ashford, K.J.; Cross, C.; Hope, J.; Jones, H.S.; McCarthy-Ryan, M. Humans Optimize Ground Contact Time and Leg Stiffness to Minimize the Metabolic Cost of Running. Front. Sports Act. Living 2019, 1, 53. [Google Scholar] [CrossRef]
- Ham, S.; Kim, S.; Choi, H.; Lee, Y.; Lee, H. Greater Muscle Stiffness during Contraction at Menstruation as Measured by Shear-Wave Elastography. Tohoku J. Exp. Med. 2020, 250, 207–213. [Google Scholar] [CrossRef] [PubMed]
- Mohler, F.; Fadillioglu, C.; Stein, T. Fatigue-Related Changes in Spatiotemporal Parameters, Joint Kinematics and Leg Stiffness in Expert Runners During a Middle-Distance Run. Front. Sports Act. Living 2021, 3, 634258. [Google Scholar] [CrossRef]
- Adams, D.; Pozzi, F.; Willy, R.W.; Carrol, A.; Zeni, J. Altering Cadence or vertical oscillation during running: Effects on running related injury factors. Int. J. Sports Phys. Ther. 2018, 13, 633. [Google Scholar] [CrossRef]
- Long, T.; Pavicic, P.; Stapleton, D. Kinetic and Kinematic Characteristics of Running During Regular Training Sessions for Collegiate Distance Runners Using Shoe Based Wearable Sensors. J. Athl. Train. 2022, 58, 338–344. [Google Scholar] [CrossRef] [PubMed]
- Novacheck, T.F. The biomechanics of running. Gait Posture 1998, 7, 77–95. [Google Scholar] [CrossRef]
- Pardo Albiach, J.; Mir-Jimenez, M.; Hueso Moreno, V.; Nácher Moltó, I.; Martínez-Gramage, J. The Relationship between VO2max, Power Management, and Increased Running Speed: Towards Gait Pattern Recognition through Clustering Analysis. Sensors 2021, 21, 2422. [Google Scholar] [CrossRef]
- Cartón-Llorente, A.; Roche-Seruendo, L.E.; Mainer-Pardos, E.; Nobari, H.; Rubio-Peirotén, A.; Jaén-Carrillo, D.; García-Pinillos, F. Acute effects of a 60-min time trial on power-related parameters in trained endurance runners. BMC Sports Sci. Med. Rehabil. 2022, 14, 142. [Google Scholar] [CrossRef]
- Janse de Jonge, X.A.K. Effects of the Menstrual Cycle on Exercise Performance. Sports Med. 2003, 33, 833–851. [Google Scholar] [CrossRef] [PubMed]
- Dean, T.M.; Perreault, L.; Mazzeo, R.S.; Horton, T.J. No effect of menstrual cycle phase on lactate threshold. J. Appl. Physiol. 2003, 95, 2537–2543. [Google Scholar] [CrossRef] [PubMed]
- Nose, Y.; Fujita, K.; Wada, T.; Nishimura, K.; Hakoda, M. Effects of Menstrual Cycle Phase on Fluid Regulation during Walking Exercise. J. Sports Sci. Med. 2020, 19, 556–563. [Google Scholar] [PubMed]
- Alzueta, E.; de Zambotti, M.; Javitz, H.; Dulai, T.; Albinni, B.; Simon, K.C.; Sattari, N.; Zhang, J.; Shuster, A.; Mednick, S.C.; et al. Tracking Sleep, Temperature, Heart Rate, and Daily Symptoms Across the Menstrual Cycle with the Oura Ring in Healthy Women. Int. J. Women’s Health 2022, 14, 491–503. [Google Scholar] [CrossRef] [PubMed]
- Paludo, A.C.; Paravlic, A.; Dvořáková, K.; Gimunová, M. The Effect of Menstrual Cycle on Perceptual Responses in Athletes: A Systematic Review With Meta-Analysis. Front. Psychol. 2022, 13, 926854. [Google Scholar] [CrossRef] [PubMed]
- McNamara, A.; Harris, R.; Minahan, C. ‘That time of the month’… for the biggest event of your career! Perception of menstrual cycle on performance of Australian athletes training for the 2020 Olympic and Paralympic Games. BMJ Open Sport Exerc. Med. 2022, 8, e001300. [Google Scholar] [CrossRef]
- Jones, A.M.; Doust, J.H.A. 1% treadmill grade most accurately reflects the energetic cost of outdoor running. J. Sports Sci. 1996, 14, 321–327. [Google Scholar] [CrossRef] [PubMed]
- Koldenhoven, R.M.; Hertel, J. Validation of a Wearable Sensor for Measuring Running Biomechanics. Digit. Biomark. 2018, 2, 74–78. [Google Scholar] [CrossRef]
- De Jong, A.F.; Hertel, J. Validation of Foot-Strike Assessment Using Wearable Sensors During Running. J. Athl. Train. 2020, 55, 1307–1310. [Google Scholar] [CrossRef] [PubMed]
- Napier, C.; Willy, R.W.; Hannigan, B.C.; McCann, R.; Menon, C. The Effect of Footwear, Running Speed, and Location on the Validity of Two Commercially Available Inertial Measurement Units During Running. Front. Sports Act. Living 2021, 3, 102. [Google Scholar] [CrossRef]
- Li, K.; Urteaga, I.; Wiggins, C.H.; Druet, A.; Shea, A.; Vitzthum, V.J.; Elhadad, N. Characterizing physiological and symptomatic variation in menstrual cycles using self-tracked mobile-health data. NPJ Digit. Med. 2020, 3, 79. [Google Scholar] [CrossRef] [PubMed]
- Urteaga, I.; Li, K.; Shea, A.; Vitzthum, V.J.; Wiggins, C.H.; Elhadad, N. A Generative Modeling Approach to Calibrated Predictions: A Use Case on Menstrual Cycle Length Prediction. Proc. Mach. Learn. Res. 2021, 149, 535–566. [Google Scholar]
- Li, K.; Urteaga, I.; Shea, A.; Vitzthum, V.J.; Wiggins, C.H.; Elhadad, N. A predictive model for next cycle start date that accounts for adherence in menstrual self-tracking. J. Am. Med. Inform. Assoc. 2022, 29, 3–11. [Google Scholar] [CrossRef]
- Peltonen, H.; Mikkonen-Taipale, R.; Uimonen, T.; Walker, S.; Hackney, A.C.; Valtonen, M.; Kyröläinen, H.; Ihalainen, J.K. Power Loading–Induced Fatigue Is Influenced by Menstrual Cycle Phase. Med. Sci. Sports Exerc. 2022, 54, 1190. [Google Scholar] [CrossRef] [PubMed]
- Forsyth, J.J.; Reilly, T. The effect of menstrual cycle on 2000-m rowing ergometry performance. Eur. J. Sport Sci. 2008, 8, 351–357. [Google Scholar] [CrossRef]
- Julian, R.; Hecksteden, A.; Fullagar, H.H.; Meyer, T. The Effects of Menstrual Cycle Phase Onmphysical Performance in Female Soccer Players. 2017. Available online: http://plosone.org (accessed on 12 February 2023).
- Koifman, R.; Dayan, L.; Ablin, J.N.; Jacob, G. Cardiovascular Autonomic Profile in Women With Premenstrual Syndrome. Front. Physiol. 2018, 9, 1384. [Google Scholar] [CrossRef]
- Schmalenberger, K.M.; Eisenlohr-Moul, T.A.; Würth, L.; Schneider, E.; Thayer, J.F.; Ditzen, B.; Jarczok, M.N. A Systematic Review and Meta-Analysis of Within-Person Changes in Cardiac Vagal Activity across the Menstrual Cycle: Implications for Female Health and Future Studies. J. Clin. Med. 2019, 8, 1946. [Google Scholar] [CrossRef]




| Intensity 50% Vmax. | Intensity 60% Vmax. | Intensity 80% Vmax. | Intensity 100% Vmax. | |||||||||||
|---|---|---|---|---|---|---|---|---|---|---|---|---|---|---|
| Bleed | Follic | Lutea | Bleed | Follic | Lutea | Bleed | Follic | Lutea | Bleed | Follic | Luteal | |||
| Variable | R or Rho with Vmax. | Rho or Tau with Mean FC | M (DT) | M (DT) | M (DT) | M (DT) | M (DT) | M (DT) | M (DT) | M (DT) | M (DT) | M (DT) | M (DT) | M (DT) |
| Kinetics | ||||||||||||||
| Shock (G) | 0.379 ** | 0.103 | 11.68 (2) | 10.01 (3.1) | 10.01 (3.1) | 12.02 (1.8) | 11.31 (2.4) | 11.29 (2.3) | 13.49 (1.7) | 13.45 (2.3) | 13.05 (2.3) | 11.84 (1.4) | 12.01 (1.9) | 11.85 (1.8) |
| Braking (G) | 0.422 ** | −0.027 | 8.98 (2.7) | 8.2 (3.2) | 8.31 (3.3) | 9.34 (2.7) | 8.8 (3) | 8.88 (3) | 9.58 (2.55) | 9.91 (2.3) | 10.08 (2.1) | 9.3 (2) | 9.82 (2.1) | 9.49 (2) |
| Peak Vertical GRF (F(Bw)) | 0.560 ** | 0.394 *** | 2.68 (0.59) | 2.39 (0.8) | 2.53 (0.7) | 2.88 (0.6) | 2.93 (0.5) | 2.94 (0.5) | 3.38 (0.7) | 3.44 (0.6) | 3.43 (0.6) | 3.2 (0.7) | 3.16 (0.6) | 3.06 (0.7) |
| V GRF Rate (N/kg/s) | 0.694 ** | 0.509 *** | 30.7 (3.4) | 29.4 (5.9) | 29.6 (5.5) | 33.06 (4.1) | 33.78 (3.4) | 33.15 (3.6) | 37.92 (4.5) | 38.84 (3.8) | 38.24 (3.9) | 36.6 (4.6) | 36.39 (3.5) | 34.95 (4.4) |
| Power (w) | 0.649 ** | 0.413 *** | 176.9 (9.9) | 179.7 (14.5) | 160.9 (21.1) | 195.3 (6.1) | 199.1 (6) | 191.7 (8.1) | 223.4 (6.6) | 235 (5.8) | 227.1 (7.1) | 206 (15.7) | 221.3 (4.6) | 215.1 (17.5) |
| H GRF Rate (N/kg/s) | 0.703 ** | 0.318 *** | 4.91 (0.41) | 4.96 (0.54) | 4.73 (0.33) | 5.41 (0.42) | 5.58 (0.36) | 5.31 (0.36) | 7.05 (0.51) | 7.40 (0.43) | 7.3 (0.5) | 9.8 (3.11) | 6.63 (0.33) | 8.05 (1.13) |
| Swing Force Rate (N/kg/s) | 0.671 *** | 0.302 *** | 0.99 (0.04) | 1.04 (0.06) | 0.93 (0.07) | 1.01 (0.06) | 1.05 (0.04) | 0.98 (0.06) | 1.25 (0.06) | 1.34 (0.05) | 1.29 (0.06) | 1.56 (0.34) | 1.25 (0.04) | 1.46 (0.18) |
| Total Force Rate (N/kg/s) | 0.790 ** | 0.390 *** | 79.9 (3.2) | 79.9 (5.3) | 76.3 (4) | 84.8 (3.7) | 87.6 (2.6) | 83.7 (3.2) | 103.9 (4.4) | 109.1 (3.6) | 106 (4.2) | 123.7 (23.2) | 100 (2.4) | 111.3 (10) |
| V Spring Stiffness (KN/m) | 0.030 | −0.169 | 29.33 (20.2) | 44.01 (48.5) | 25.73 (20.9) | 17.76 (6.6) | 16.36 (3.3) | 15.7 (3.3) | 16.98 (1.6) | 17.34 (1.4) | 16.94 (1.8) | 21.45 (7) | 27.86 (18.9) | 23.13 (8.4) |
| Physiological | ||||||||||||||
| HR_max (bpm) | 0.691 *** | 0.881 *** | 129.9 (3.7) | 144.9 (6.8) | 127 (3.5) | 144.2 (5.5) | 147.4 (5.1) | 144.7 (6.2) | 167 (4.5) | 169.6 (4.4) | 167.4 (4.7) | 176.4 (3.1) | 177.4 (4.3) | 178.7 (3) |
| HR_mean (bpm) | 0.516 *** | 1 | 121.7 (2.7) | 133.1 (4.8) | 120.4 (3.2) | 137.1 (4.4) | 139.4 (4.8) | 137.7 (5.8) | 158.4 (4.8) | 161.9 (4.4) | 158.6 (4.9) | 146.4 (3.8) | 148.1 (3.7) | 149 (4.1) |
| HR_min (bpm) | 0.049 | 0.520 *** | 104.7 (3.7) | 104.8 (2.4) | 100.3 (2.9) | 102.6 (5.4) | 108.6 (5.3) | 101.7 (7.8) | 111.3 (6.6) | 123.1 (3.8) | 109.3 (8.1) | 98 (6.7) | 101.3 (3.4) | 105.8 (4.8) |
| Final_lactate (mmol/L) | 0.680 *** | 0.607 *** | 1.35 (0.24) | 1.08 (0.32) | 1.38 (0.25) | 1.03 (0.16) | 1.13 (0.35) | 1.32 (0.33) | 2.42 (0.29) | 4.08 (1.08) | 4.15 (1.22) | 5.15 (2.07) | 6.1 (0.88) | 5.4 (0.87) |
| Perceived effort | Rho with Vmax | |||||||||||||
| Before the test | −0.017 | −0.254 ** | 3 (1.7) | 1.5 (1.2) | 1.75 (1.6) | 1.63 (1.3) | 1 (1.3) | 1.5 (1.3) | ||||||
| During the test | 0.274 ** | −0.028 | 3 (0.6) | 2.25 (0.2) | 2.25 (0.5) | 3.37 (0.4) | 2.75 (0.5) | 2.25 (0.6) | ||||||
| After the test | 0.354 *** | 0.140 | 3.25 (0.5) | 2.5 (0.4) | 2.6 (0.4) | 3.75 (0.5) | 4 (0.4) | 3.6 (0.4) | ||||||
Disclaimer/Publisher’s Note: The statements, opinions and data contained in all publications are solely those of the individual author(s) and contributor(s) and not of MDPI and/or the editor(s). MDPI and/or the editor(s) disclaim responsibility for any injury to people or property resulting from any ideas, methods, instructions or products referred to in the content. |
© 2023 by the authors. Licensee MDPI, Basel, Switzerland. This article is an open access article distributed under the terms and conditions of the Creative Commons Attribution (CC BY) license (https://creativecommons.org/licenses/by/4.0/).
Share and Cite
Domínguez-Muñoz, C.; del Campo, J.; García, A.; Guzmán, J.; Martínez-Gallego, R.; Ramón-Llin, J. Kinetic, Physiological and Fatigue Level Differences Depending on the Menstrual Cycle Phase and Running Intensity. Appl. Sci. 2023, 13, 10879. https://doi.org/10.3390/app131910879
Domínguez-Muñoz C, del Campo J, García A, Guzmán J, Martínez-Gallego R, Ramón-Llin J. Kinetic, Physiological and Fatigue Level Differences Depending on the Menstrual Cycle Phase and Running Intensity. Applied Sciences. 2023; 13(19):10879. https://doi.org/10.3390/app131910879
Chicago/Turabian StyleDomínguez-Muñoz, Carolina, Juan del Campo, Alberto García, José Guzmán, Rafael Martínez-Gallego, and Jesús Ramón-Llin. 2023. "Kinetic, Physiological and Fatigue Level Differences Depending on the Menstrual Cycle Phase and Running Intensity" Applied Sciences 13, no. 19: 10879. https://doi.org/10.3390/app131910879
APA StyleDomínguez-Muñoz, C., del Campo, J., García, A., Guzmán, J., Martínez-Gallego, R., & Ramón-Llin, J. (2023). Kinetic, Physiological and Fatigue Level Differences Depending on the Menstrual Cycle Phase and Running Intensity. Applied Sciences, 13(19), 10879. https://doi.org/10.3390/app131910879

