Numerical Simulation Research on Aerodynamic Characteristics during Take-Off Phase in Ski Jumping
Abstract
1. Introduction
2. Methodology
2.1. Research Subject
2.2. Research Methodology
2.2.1. Simulation Model
2.2.2. Validation of Model Independence from the Grid
2.2.3. Boundary Conditions and Computational Conditions
3. Results
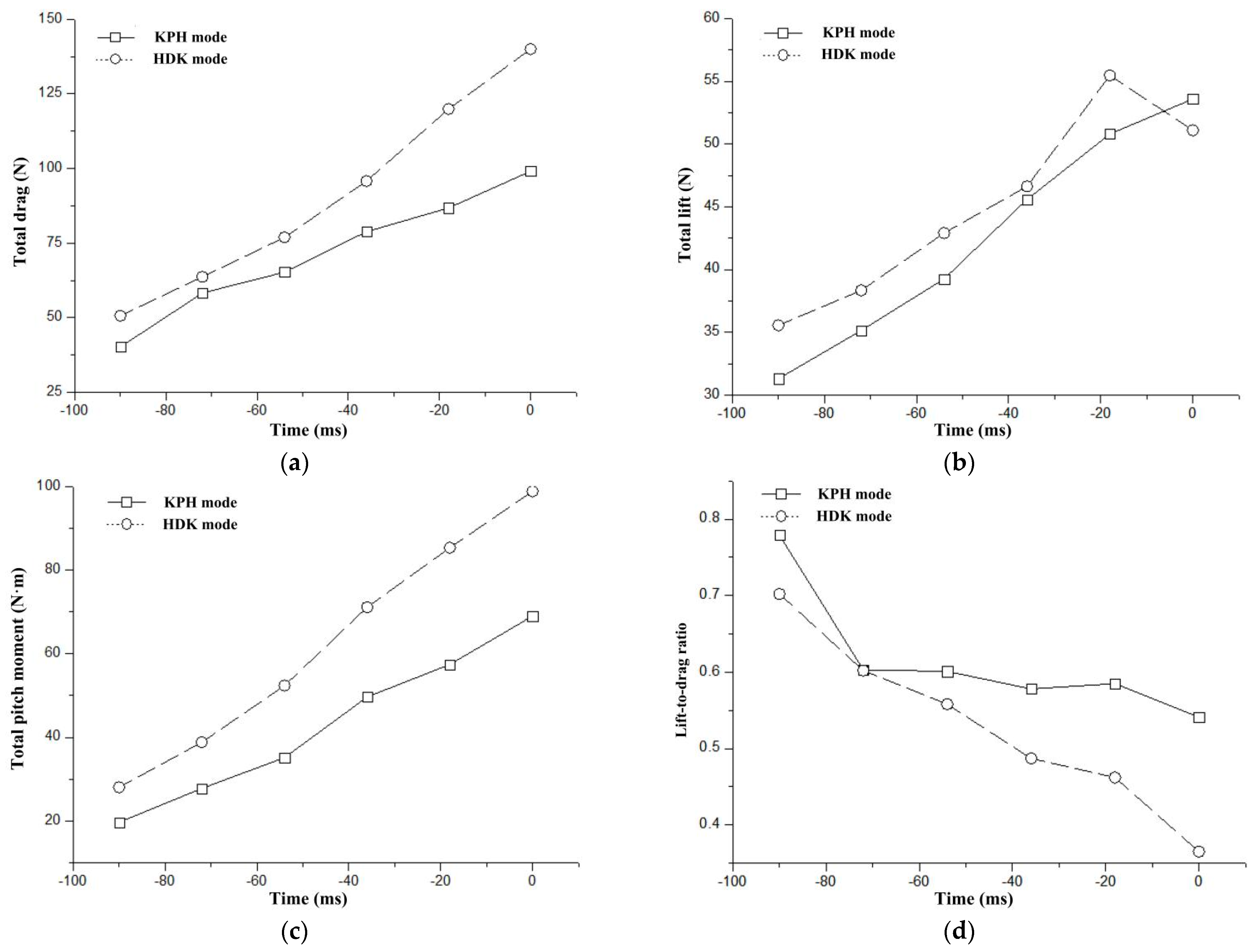
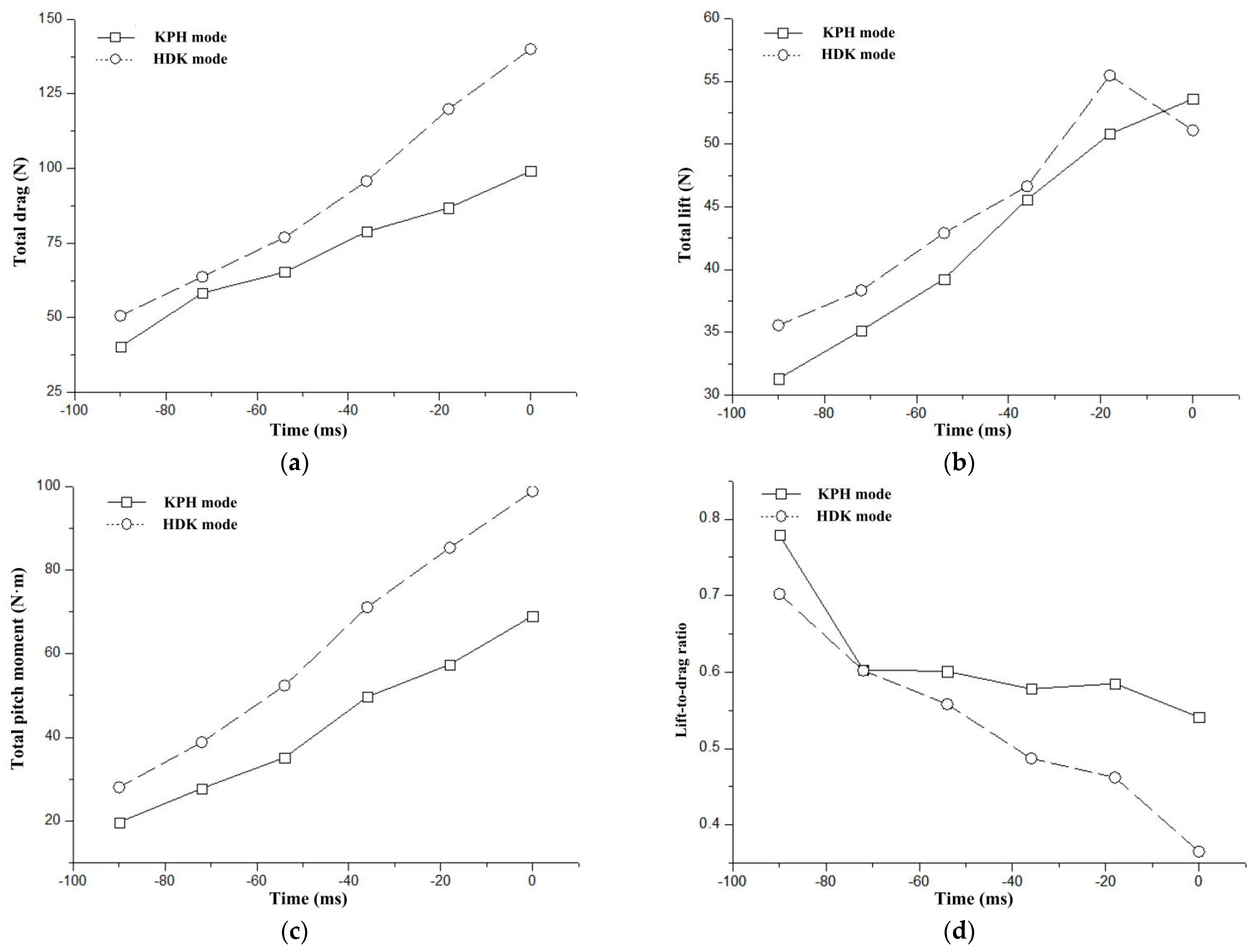
3.1. Aerodynamic Forces and Moments
3.2. Flow Field Morphology
4. Discussion
4.1. The Numerical Simulation Results’ Validity Verification
4.2. Aerodynamic Characteristics of Different Body Parts
4.3. Aerodynamic Characteristics of Different Take-Off Postures
4.4. Limitations
5. Conclusions
- (1)
- Through numerical simulations using CFD, the aerodynamic characteristics and differences in various postures in the take-off phase in ski jumping have been analyzed. This study focuses on comparing the effects of two take-off modes on aerodynamic characteristics. The aerodynamic characteristics change dramatically during the take-off phase, and the aerodynamic characteristics of the two take-off modes are quite different, and these changes and differences are difficult to observe during real training and at the competition site.
- (2)
- The aerodynamic forces on the athlete’s torso and legs are significantly larger, while the contribution of the arms may be less pronounced. However, the position of the arms should not be ignored as it can still have a considerable impact on the overall aerodynamic characteristics of the athlete. The KPH mode demonstrates clear aerodynamic advantages. During the take-off process, the athlete should increase the force generated by the knee joint extension and appropriately reduce the speed of the hip joint extension, control the using force order of the lower limb joints, and push the hip joint extension by knee joint extension in order to avoid issues such as the hip joint angle being too large, the hip joint extension angle being too fast, the center of gravity being too far back, and other problems, and to avoid the adverse impact of the aerodynamic drag on take-off. This creates favorable aerodynamic conditions for the early flight phase.
- (3)
- Numerical simulations of the aerodynamics in the take-off phase of ski jumping can accurately capture the aerodynamic characteristics. Numerical simulations combined with repeated training in a wind tunnel to simulate competition scenarios help athletes improve their subjective perceptions and adaptability to aerodynamic forces during the take-off phase. It also enables athletes to utilize aerodynamic forces to achieve favorable flight postures after the take-off phase. This research provides important scientific guidance for athletes to improve their take-off and flight technique training strategies and enhance their competitive performance.
- (4)
- Computational fluid dynamics (CFD) techniques can be employed to model and simulate the flow of air around athletes, sports equipment, or sports facilities. These simulations can provide valuable insights into aerodynamic forces, drag, lift, and other relevant parameters, aiding in the design and optimization of sports equipment, training techniques, and performance analysis. CFD simulations can also help increase understanding of the impact of wind conditions on sports performance, enabling athletes to make informed decisions and improve their strategies.
Author Contributions
Funding
Institutional Review Board Statement
Informed Consent Statement
Data Availability Statement
Acknowledgments
Conflicts of Interest
References
- Hu, Q.; Liu, Y. A Review of Wind Tunnel Experimental Research on Aerodynamic Drag Reduction in Winter Sports. China Sport Sci. 2022, 42, 55–67. [Google Scholar]
- Virmavirta, M. Aerodynamics of ski jumping. In The Engineering Approach to Winter Sports, 6th ed.; Braghin: New York, NY, USA, 2016; pp. 153–181. [Google Scholar]
- Elfmark, O.; Ettema, G. Aerodynamic investigation of the inrun position in Ski jumping. Sports Biomech. 2021, 19, 1. [Google Scholar] [CrossRef]
- Hu, Q.; Liu, Y. Effects of Athlete’s Posture on Aerodynamic Characteristics during Flight in Ski Jumping. J. Med. Biomech. 2021, 36, 407–414. [Google Scholar]
- Gardan, N.; Schneider, A.; Polidori, G.; Trenchard, H.; Seigneur, J.M.; Beaumont, F.; Fourchet, F.; Taiar, R. Numerical investigation of the early flight phase in ski-jumping. J. Biomech. 2017, 50, 29–34. [Google Scholar] [CrossRef]
- Murakami, M.; Iwase, M.; Seo, K.; Ohgi, Y.; Koyanagi, R. High-speed video image analysis of ski jumping flight posture. Sports Eng. 2014, 17, 217–225. [Google Scholar] [CrossRef]
- Tang, W.D.; Suo, X.; Yang, C.H.; Cao, F.R.; Wu, X.; Liu, Y. Computational Fluid Dynamics Simulation and Optimization of In-run Stage in Ski-Jumping. China Sport Sci. 2022, 42, 62–70. [Google Scholar]
- Ryu, M.; Cho, L.; Cho, J. Aerodynamic analysis on postures of ski jumpers during flight using computational fluid dynamics. Trans. Jpn. Soc. Aeronaut. Space Sci. 2015, 58, 204–212. [Google Scholar] [CrossRef][Green Version]
- Chen, Z.F. Numerical Study of the Aerodynamical Parameters During the Flying Stage of Ski Jumping. Zhejiang Sport Sci. 2014, 36, 121–124. [Google Scholar]
- Lee, K.D.; Park, M.J.; Kim, K.Y. Optimization of ski jumper’s posture considering lift-to-drag ratio and stability. J. Biomech. 2012, 45, 2125–2132. [Google Scholar] [CrossRef] [PubMed]
- Nørstrud, H.; Øye, I.J. On CFD simulation of ski jumping. Comput. Fluid Dyn. Sport Simul. 2009, 72, 63–82. [Google Scholar]
- Meile, W.; Reisenberger, E.; Mayer, M.; Schmolzer, B.; Muller, W.; Brenn, G. Aerodynamics of ski jumping: Experiments and CFD simulations. Exp. Fluids 2006, 41, 949–964. [Google Scholar] [CrossRef]
- Virmavirta, M.; Isolehto, J.; Komi, P.; Schwameder, H.; Pigozzi, F.; Massazza, G. Take-off analysis of the Olympic ski jumping competition (HS-106 m). J. Biomech. 2009, 42, 1095–1101. [Google Scholar] [CrossRef]
- Virmavirta, M.; Komi, P.V. Measurements of the take-off forces in ski-jumping Part I and II. Scand. J. Med. Sci. Sports 1993, 3, 229–243. [Google Scholar] [CrossRef]
- Virmavirta, M.; Kivekas, J.; Komi, P.V. Take-off aerodynamics in ski jumping. J. Biomech. 2001, 34, 465–470. [Google Scholar] [CrossRef]
- Virmavirta, M. Ski Jumping: Aerodynamics and Kinematics of Take-Off and Flight. In Handbook of Human Motion, 1st ed.; Springer: New York, NY, USA, 2017; pp. 1–21. [Google Scholar]
- Virmavirta, M.; Kivekas, J.; Komi, P.V. Ski jumping take-off in a wind tunnel with skis. J. Appl. Biomech. 2011, 27, 375–379. [Google Scholar] [CrossRef][Green Version]
- Muller, W. Performance factors in ski jumping. J. Biomech. 2006, 39, 192–213. [Google Scholar] [CrossRef]
- Wang, Z.X.; Li, R.; Guan, Z.H.; Wu, D.Y. Experimental study on the initial attitude during Flight in Ski Jumping. China Sport Sci. 1998, 18, 121–124. [Google Scholar]
- Zhang, D.; Zou, X.S.; Liu, Y.; Xu, J.C.; Cao, C.M. Effects of Movement and Postures on Aerodynamic Drag during Ski Jumping In-Run and Take-off Phases in Nordic Combined Athletes. China Sport Sci. Technol. 2023, 59, 3–12. [Google Scholar]
- Tan, X.N.; Zhou, Y.; Qu, F.; Huo, B.; Fu, Y.; Jiang, L. Analysis of Take-off Factors Affecting the Flying Distance of Chinese Elite Male Ski Jumpers. China Sport Sci. Technol. 2022, 58, 38–45. [Google Scholar]
- Cao, F.R.; Wu, X.; Tang, W.D.; Suo, X.; Yang, C.H.; Liu, Y. A systematic review of research on the biomechanics of take-off and early flight of ski jumping. J. Beijing Univ. Sport. 2022, 45, 35–44. [Google Scholar]
- Liu, J.T.; Zuo, Z.G.; Liu, S.H.; Wu, Y.L.; Wang, L.Q. A nonlinear partially-averaged Namer-Stokes model for turbulence flow simulations. J. Drain. Irrig. Mach. Eng. 2015, 33, 572–576. [Google Scholar]
- Keizo, Y.; Makoto, T.; Jun, I.; Keiji, O.; Sophie, B. Effect of posture on the aerodynamic characteristics during take-off in ski jumping. J. Biomech. 2016, 49, 3688–3696. [Google Scholar]
- Schmolzer, B.; Muller, W. The importance of being light: Aerodynamic forces and weight in ski jumping. J. Biomech. 2002, 36, 1059–1069. [Google Scholar] [CrossRef] [PubMed]
- Schwameder, H. Biomechanics research in ski jumping: 1991–2006. Sports Biomech. 2008, 7, 114–136. [Google Scholar] [CrossRef]









| Grid Partitioning Strategy 1 | Grid Partitioning Strategy 2 | Grid Partitioning Strategy 3 | Grid Partitioning Strategy 4 | |
|---|---|---|---|---|
| Total (gridmillion) | 12.47 | 16.26 | 20.03 | 23.21 |
| Lift-to-drag | 0.749 | 0.715 | 0.708 | 0.708 |
| Time (ms) | φ1 (°) | φ2 (°) | φ3 (°) | |
|---|---|---|---|---|
| KPH Mode | HDK Mode | |||
| −90 | 60 | 82 | 38 | 55 |
| −72 | 64 | 93 | 47 | 81 |
| −54 | 68 | 105 | 61 | 97 |
| −36 | 72 | 115 | 75 | 109 |
| −18 | 76 | 124 | 81 | 120 |
| 0 | 80 | 132 | 99 | 130 |
| Time (ms) | Total Drag (N) | Total Lift (N) | Total Pitch Moment (N·m) | Lift-to-Drag Ratio | ||||
|---|---|---|---|---|---|---|---|---|
| KPH Mode | HDK Mode | KPH Mode | HDK Mode | KPH Mode | HDK Mode | KPH Mode | HDK Mode | |
| −90 | 40.20 | 50.66 | 31.31 | 35.56 | 19.69 | 28.06 | 0.779 | 0.702 |
| −72 | 58.28 | 63.67 | 35.15 | 38.34 | 27.80 | 38.84 | 0.603 | 0.602 |
| −54 | 65.27 | 76.91 | 39.26 | 42.91 | 35.14 | 52.42 | 0.601 | 0.558 |
| −36 | 78.81 | 95.78 | 45.58 | 46.62 | 49.69 | 71.09 | 0.578 | 0.487 |
| −18 | 86.78 | 119.90 | 50.79 | 55.45 | 57.47 | 85.31 | 0.585 | 0.462 |
| 0 | 99.05 | 140.01 | 53.58 | 51.09 | 69.05 | 98.82 | 0.541 | 0.365 |
Disclaimer/Publisher’s Note: The statements, opinions and data contained in all publications are solely those of the individual author(s) and contributor(s) and not of MDPI and/or the editor(s). MDPI and/or the editor(s) disclaim responsibility for any injury to people or property resulting from any ideas, methods, instructions or products referred to in the content. |
© 2024 by the authors. Licensee MDPI, Basel, Switzerland. This article is an open access article distributed under the terms and conditions of the Creative Commons Attribution (CC BY) license (https://creativecommons.org/licenses/by/4.0/).
Share and Cite
Hu, Q.; Tang, W.; Liu, Y. Numerical Simulation Research on Aerodynamic Characteristics during Take-Off Phase in Ski Jumping. Appl. Sci. 2024, 14, 1221. https://doi.org/10.3390/app14031221
Hu Q, Tang W, Liu Y. Numerical Simulation Research on Aerodynamic Characteristics during Take-Off Phase in Ski Jumping. Applied Sciences. 2024; 14(3):1221. https://doi.org/10.3390/app14031221
Chicago/Turabian StyleHu, Qi, Weidi Tang, and Yu Liu. 2024. "Numerical Simulation Research on Aerodynamic Characteristics during Take-Off Phase in Ski Jumping" Applied Sciences 14, no. 3: 1221. https://doi.org/10.3390/app14031221
APA StyleHu, Q., Tang, W., & Liu, Y. (2024). Numerical Simulation Research on Aerodynamic Characteristics during Take-Off Phase in Ski Jumping. Applied Sciences, 14(3), 1221. https://doi.org/10.3390/app14031221

