Anthropometric vs. Dental Variables of the Ageing Face: A Clinical Study
Abstract
:1. Introduction
2. Materials and Methods
2.1. Participants
2.2. Inclusion and Exclusion Criteria
2.3. Data Collection
2.4. Statistical Analysis
3. Results
3.1. Descriptive Statistics
3.2. Correlations
3.2.1. Correlations between Age, Sex, and the Participants’ Profiles and Intraoral Variables
3.2.2. Facial Variables Correlations with Sex
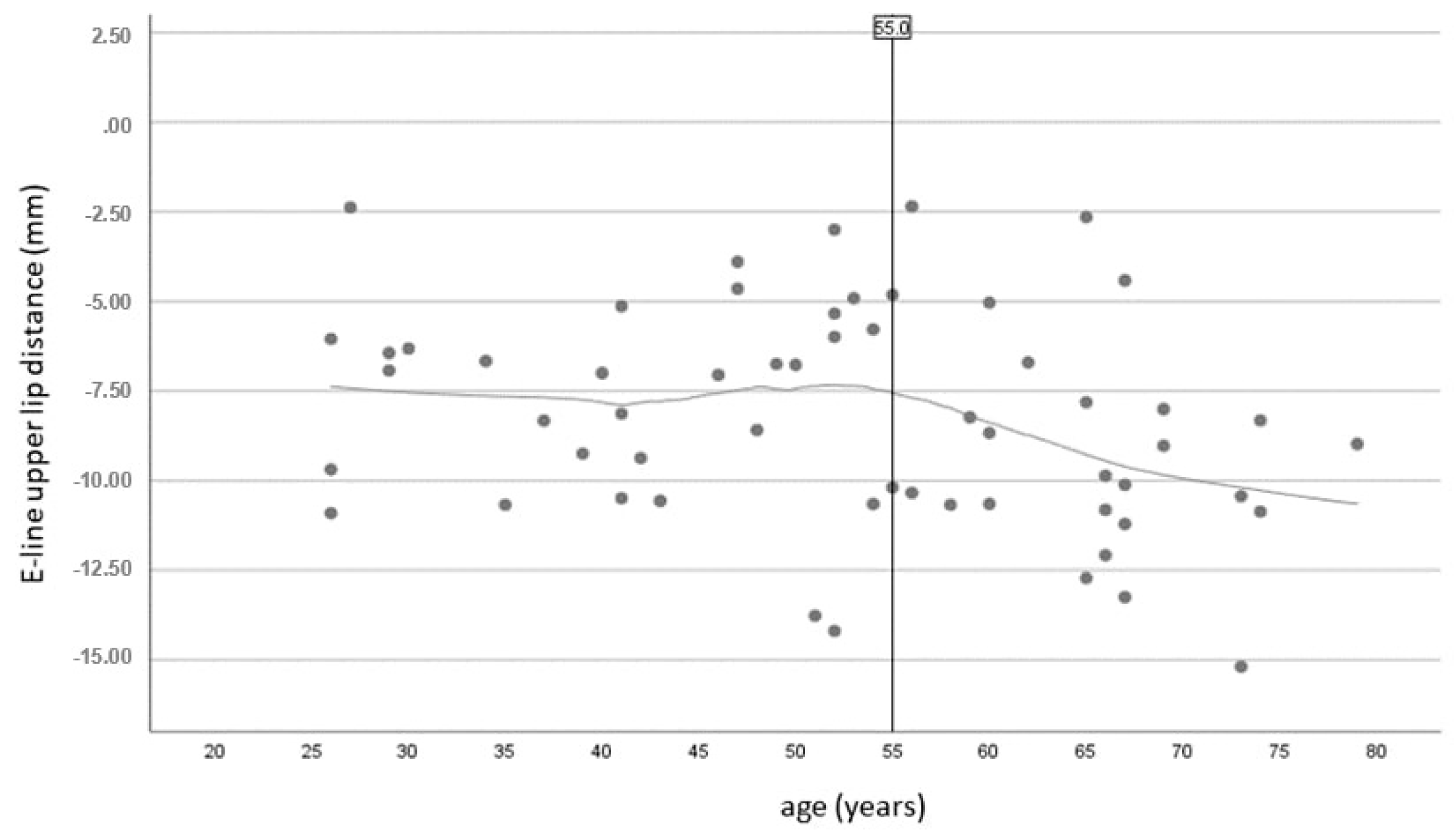
3.2.3. Facial Variables’ Correlation with Age




4. Discussion
5. Conclusions
Author Contributions
Funding
Informed Consent Statement
Data Availability Statement
Conflicts of Interest
References
- Laughter, M.R.; Anderson, J.B.; Maymone, M.B.C.; Kroumpouzos, G. Psychology of Aesthetics: Beauty, Social Media, and Body Dysmorphic Disorder. Clin. Dermatol. 2023, 41, 28–32. [Google Scholar] [CrossRef]
- Reilly, M.J.; Tomsic, J.A.; Fernandez, S.J.; Davison, S.P. Effect of Facial Rejuvenation Surgery on Perceived Attractiveness, Femininity, and Personality. JAMA Facial Plast. Surg. 2015, 17, 202–207. [Google Scholar] [CrossRef]
- Swift, A.; Liew, S.; Weinkle, S.; Garcia, J.K.; Silberberg, M.B. The Facial Aging Process From the “Inside Out”. Aesthetic Surg. J. 2021, 41, 1107–1119. [Google Scholar] [CrossRef]
- Coleman, S.R.; Grover, R. The anatomy of the aging face: Volume loss and changes in 3-dimensional topography. Aesthetic Surg. J. 2006, 26, S4–S9. [Google Scholar] [CrossRef]
- Bishara, S.E.; Treder, J.E.; Jakobsen, J.R. Facial and dental changes in adulthood. Am. J. Orthod. Dentofac. Orthop. 1994, 106, 175–186. [Google Scholar] [CrossRef]
- Albert, A.M.; Ricanek, K., Jr.; Patterson, E. A review of the literature on the aging adult skull and face: Implications for forensic science research and applications. Forensic Sci. Int. 2007, 172, 1–9. [Google Scholar] [CrossRef]
- Koudelová, J.; Hoffmannová, E.; Dupej, J.; Velemínská, J. Simulation of facial growth based on longitudinal data: Age progression and age regression between 7 and 17 years of age using 3D surface data. PLoS ONE 2019, 14, e0212618. [Google Scholar] [CrossRef]
- Cotofana, S.; Fratila, A.A.M.; Schenck, T.L.; Redka-Swoboda, W.; Zilinsky, I.; Pavicic, T. The Anatomy of the Aging Face: A Review. Facial Plast. Surg. 2016, 32, 253–260. [Google Scholar]
- Ilankovan, V. Anatomy of ageing face. Br. J. Oral Maxillofac. Surg. 2014, 52, 195–202. [Google Scholar] [CrossRef]
- Gierloff, M.; Stöhring, C.; Buder, T.; Gassling, V.; Açil, Y.; Wiltfang, J. Aging changes of the midfacial fat compartments: A computed tomographic study. Plast. Reconstr. Surg. 2012, 129, 263–273. [Google Scholar] [CrossRef]
- Shaw, R.B.; Kahn, D.M. Aging of the Midface Bony Elements: A Three-Dimensional Computed Tomographic Study. Plast. Reconstr. Surg. 2007, 119, 675–681. [Google Scholar] [CrossRef] [PubMed]
- Morera Serna, E.; Serna Benbassat, M.; Terré Falcón, R.; Murillo Martín, J. Anatomy and Aging of the Perioral Region. Facial Plast. Surg. 2021, 37, 176–193. [Google Scholar] [CrossRef] [PubMed]
- Pecora, N.G.; Baccetti, T.; McNamara, J.A. The aging craniofacial complex: A longitudinal cephalometric study from late adolescence to late adulthood. Am. J. Orthod. Dentofac. Orthop. 2008, 134, 496–505. [Google Scholar] [CrossRef] [PubMed]
- Pessa, J.E. An Algorithm of Facial Aging: Verification of Lambros’s Theory by Three-Dimensional Stereolithography, with Reference to the Pathogenesis of Midfacial Aging, Scleral Show, and the Lateral Suborbital Trough Deformity. Plast. Reconstr. Surg. 2000, 106, 479–488. [Google Scholar] [CrossRef] [PubMed]
- Shaw, R.B.; Katzel, E.B.; Koltz, P.F.; Kahn, D.M.; Girotto, J.A.; Langstein, H.N. Aging of the Mandible and Its Aesthetic Implications. Plast. Reconstr. Surg. 2010, 125, 332–342. [Google Scholar] [CrossRef] [PubMed]
- Munn, L.; Stephan, C.N. Changes in Face Topography from Supine-to-Upright Position—And Soft Tissue Correction Values for Craniofacial Identification. Forensic Sci. Int. 2018, 289, 40–50. [Google Scholar] [CrossRef]
- Stephan, C.N.; Preisler, R. In Vivo Facial Soft Tissue Thicknesses of Adult Australians. Forensic Sci. Int. 2018, 282, 220.e1–220.e12. [Google Scholar] [CrossRef]
- Švábová, P.; Matláková, M.; Beňuš, R.; Chovancová, M.; Masnicová, S. The Relationship between Biological Parameters and Facial Soft Tissue Thickness Measured by Ultrasound and Its Forensic Implications. Med. Sci. Law 2023, 20, 258024231182360. [Google Scholar] [CrossRef]
- Meikle, B.; Stephan, C.N. B-Mode Ultrasound Measurement of Facial Soft Tissue Thickness for Craniofacial Identification: A Standardized Approach. J. Forensic Sci. 2020, 65, 939–947. [Google Scholar] [CrossRef]
- El Rhazi, M.; Zarghili, A.; Majda, A.; Bouzalmat, A.; Oufkir, A.A. Facial Beauty Analysis by Age and Gender. Int. J. Intell. Syst. Technol. Appl. 2019, 18, 179–203. [Google Scholar] [CrossRef]
- Czumbel, L.M.; Farkasdi, S.; Gede, N.; Mikó, A.; Csupor, D.; Lukács, A.; Gaál, V.; Kiss, S.; Hegyi, P.; Varga, G. Hyaluronic Acid Is an Effective Dermal Filler for Lip Augmentation: A Meta-Analysis. Front. Surg. 2021, 8, 681028. [Google Scholar] [CrossRef] [PubMed]
- Li, X.; Sui, C.; Xia, X.; Chen, X. Efficacy and Safety of Botulinum Toxin Type A for Treatment of Glabellar Lines: A Network Meta-Analysis of Randomized Controlled Trials. Aesthetic Plast. Surg. 2023, 47, 365–377. [Google Scholar] [CrossRef] [PubMed]
- Choe, K.S.; Sclafani, A.P.; Litner, J.A.; Yu, G.-P.; Romo, T. The Korean American woman’s face: Anthropometric measurements and quantitative analysis of facial aesthetics. Arch. Facial Plast. Surg. 2004, 6, 244–252. [Google Scholar] [CrossRef] [PubMed]
- Farkas, L.G.; Katic, M.J.; Forrest, C.R. Comparison of craniofacial measurements of young adult African-American and North American white males and females. Ann. Plast. Surg. 2007, 59, 692–698. [Google Scholar] [CrossRef]
- Husein, O.F.; Sepehr, A.; Garg, R.; Sina-Khadiv, M.; Gattu, S.; Waltzman, J.; Wu, E.C.; Shieh, M.; Heitmann, G.M.; Galle, S.E. Anthropometric and aesthetic analysis of the Indian American woman’s face. J. Plast. Reconstr. Aesthetic Surg. 2010, 63, 1825–1831. [Google Scholar] [CrossRef]
- Naka, O.; Anastassiadou, V.; Pissiotis, A. Association between functional tooth units and chewing ability in older adults: A systematic review. Gerodontology 2012, 31, 166–177. [Google Scholar] [CrossRef]
- Edelstein, D.R. Aging of the Normal Nose in Adults. Laryngoscope 1996, 106, 1–25. [Google Scholar] [CrossRef]
- Glass, L.R.D.; Lira, J.; Enkhbold, E.; Dimont, E.; Scofield, S.; Sherwood, P.R.; Winn, B.J. The lateral brow: Position in relation to age, gender, and ethnicity. Ophthalmic Plast. Reconstr. Surg. 2014, 30, 295–300. [Google Scholar] [CrossRef]
- Lee, M.; Chung, D.H.; Lee, J.; Cha, K. Assessing soft-tissue characteristics of facial asymmetry with photographs. Am. J. Orthod. Dentofac. Orthop. 2010, 138, 23–31. [Google Scholar] [CrossRef]
- Meneghini, F.; Biondi, P. Clinical Facial Analysis. In Clinical Facial Analysis: Elements, Principles, and Techniques, 2nd ed.; Springer: Berlin/Heidelberg, Germany, 2012. [Google Scholar]
- Prokopakis, E.P.; Vlastos, I.M.; Picavet, V.A.; Nolst Trenite, G.; Thomas, R.; Cingi, C.; Hellings, P.W. The Golden Ratio in Facial Symmetry. Rhinology 2013, 51, 18–21. [Google Scholar] [CrossRef]
- Kaya, K.S.; Türk, B.; Cankaya, M.; Seyhun, N.; Coşkun, B.U. Assessment of Facial Analysis Measurements by Golden Proportion. Braz. J. Otorhinolaryngol. 2019, 85, 494–501. [Google Scholar] [CrossRef] [PubMed]
- Bidra, A.S.; Uribe, F.; Taylor, T.D.; Agar, J.R.; Rungruanganunt, P.; Neace, W.P. The Relationship of Facial Anatomic Landmarks with Midlines of the Face and Mouth. J. Prosthet. Dent. 2009, 102, 94–103. [Google Scholar] [CrossRef] [PubMed]
- Lambros, V. Observations on Periorbital and Midface Aging. Plast. Reconstr. Surg. 2007, 120, 1367–1376. [Google Scholar] [CrossRef] [PubMed]
- Rasband, W.S. ImageJ; U.S. National Institutes of Health: Bethesda, MD, USA, 1997–2015. Available online: https://imagej.nih.gov/ij/ (accessed on 15 March 2023).
- Jacoby, W.G. Loess: A nonparametric, graphical tool for depicting relationships between variables. Elect. Stud. 2000, 19, 577–613. [Google Scholar] [CrossRef]
- Mehta, C.R.; Patel, N.R. A network algorithm for performing fisher’s exact test in r × c contingency tables. J. Am. Stat. Assoc. 1983, 78, 427–434. [Google Scholar] [CrossRef]
- Mehta, C.R.; Patel, N.R.; SPSS Inc. SPSS Exact Tests 7.0 for Windows; Educational Gerontology; SPSS Incorporated: Chicago, IL, USA, 1996; Volume 37. [Google Scholar]
- Maalman, R.S.-E.; Abaidoo, C.S.; Darko, D.N.; Tetteh, J. Facial Types and Morphology: A study among Sisaala and Dagaaba adult population in the Upper West Region, Ghana. Sci. Afr. 2019, 3, e00071. [Google Scholar] [CrossRef]
- Shetti, V.R.; Pai, S.R.; Sneha, G.K.; Gupta, C.; Chethan, P.; Soumya. Study of Prosopic (Facial) Index of Indian and Malaysian Students. Int. J. Morphol. 2011, 29, 1018–1021. [Google Scholar] [CrossRef]
- Arnett, G.W.; Bergman, R.T. Facial keys to orthodontic diagnosis and treatment planning. Part I. Am. J. Orthod. Dentofac. Orthop. 1993, 103, 299–312. [Google Scholar] [CrossRef]
- Farkas, L.G.; Katic, M.J.; Forrest, C.R. International Anthropometric Study of Facial Morphology in Various Ethnic Groups/Races. J. Craniofacial Surg. 2005, 16, 615–646. [Google Scholar] [CrossRef]
- Rifkin, R. Facial analysis: A comprehensive approach to treatment planning in aesthetic dentistry. Pract. Periodontics Aesthetic Dent. 2000, 12, 865–871. [Google Scholar]
- Amini, F.; Mashayekhi, Z.; Rahimi, H.; Morad, G. Craniofacial morphologic parameters in a Persian population: An anthropometric study. J. Craniofacial Surg. 2014, 25, 1874–1881. [Google Scholar] [CrossRef] [PubMed]
- Bozkir, M.G.; Karakas, P.; Oguz, Ö.; Oguz, O.; Oguz, Ö. Vertical and horizontal neoclassical facial canons in Turkish young adults. Surg. Radiol. Anat. 2004, 26, 212–219. [Google Scholar] [CrossRef] [PubMed]
- Hossain, M.G.; Lestrel, P.E.; Ohtsuki, F. Secular changes in head dimensions of Japanese adult male students over eight decades. HOMO 2005, 55, 239–250. [Google Scholar] [CrossRef] [PubMed]
- Sadacharan, C.M. Vertical and horizontal facial proportions of Indian American men. Anat. Cell Biol. 2016, 49, 125. [Google Scholar] [CrossRef]
- van den Bosch, W.A.; Leenders, I.; Mulder, P. Topographic anatomy of the eyelids, and the effects of sex and age. Br. J. Ophthalmol. 1999, 83, 347–352. [Google Scholar] [CrossRef]
- Bishara, S.E.; Jakobsen, J.R.; Hession, T.J.; Treder, J.E. Soft tissue profile changes from 5 to 45 years of age. Am. J. Orthod. Dentofac. Orthop. 1998, 114, 698–706. [Google Scholar] [CrossRef]
- Owens, E.G.; Goodacre, C.J.; Loh, P.L.; Hanke, G.; Okamura, M.; Jo, K.; Muñoz, C.A.; Naylor, W.P. A multicenter interracial study of facial appearance. Part 1: A comparison of extraoral parameters. Int. J. Prosthodont. 2002, 15, 273–282. [Google Scholar]
- Kahn, D.M.; Shaw, R.B. Aging of the bony orbit: A three-dimensional computed tomographic study. Aesthetic Surg. J. 2008, 28, 258–264. [Google Scholar] [CrossRef]
- Helal, H.A.; Ghanem, M.A.M.; Al-Badawy, A.M.; Abdel Haleem, M.M.; Mousa, M.H. Histological and Anthropometric Changes in the Aging Nose. Aesthetic Surg. J. 2019, 39, 943–952. [Google Scholar] [CrossRef]
- Towfighi, P.P.; Brunsvold, M.A.; Storey, A.T.; Arnold, R.M.; Willman, D.E.; McMahan, C.A. Pathologic Migration of Anterior Teeth in Patients With Moderate to Severe Periodontitis. J. Periodontol. 1997, 68, 967–972. [Google Scholar] [CrossRef]
- Doll, C.; Nahles, G.; Voss, J.O.; Sachse, C.; Nelson, K.; Damaskos, W.; Nahles, S. Age-Related Changes of the Orolabial Region in Caucasian Women: An Anthropometric Analysis. J. Oral Maxillofac. Surg. 2016, 74, 2497–2503. [Google Scholar] [CrossRef] [PubMed]
- Iblher, N.; Kloepper, J.; Penna, V.; Bartholomae, J.P.; Stark, G.B. Changes in the aging upper lip—A photomorphometric and MRI-based study (on a quest to find the right rejuvenation approach). J. Plast. Reconstr. Aesthetic Surg. 2008, 61, 1170–1176. [Google Scholar] [CrossRef] [PubMed]
- Modabber, A.; Peters, F.; Galster, H.; Kniha, K.; Bock, A.; Ghassemi, M.; Hölzle, F.; Möhlhenrich, S.C. Gender-dependent impact of aging on facial proportions. J. Orofac. Orthop. 2019, 80, 165–173. [Google Scholar] [CrossRef] [PubMed]
- Berneburg, M.; Dietz, K.; Niederle, C.; Göz, G. Changes in esthetic standards since 1940. Am. J. Orthod. Dentofac. Orthop. 2010, 137, 450.e1–450.e9. [Google Scholar] [CrossRef]
- Farkas, L.G.; Katic, M.J.; Hreczko, T.A.; Deutsch, C.; Munro, I.R. Anthropometric proportions in the upper lip-lower lip-chin area of the lower face in young white adults. Am. J. Orthod. 1984, 86, 52–60. [Google Scholar] [CrossRef]
- Zacharopoulos, G.V.; Manios, A.; Kau, C.H.; Velagrakis, G.; Tzanakakis, G.N.; De Bree, E. Anthropometric Analysis of the Face. J. Craniofacial Surg. 2016, 27, e71–e75. [Google Scholar] [CrossRef]
- Zacharopoulos, G.V.; Manios, A.; De Bree, E.; Kau, C.H.; Petousis, M.; Zacharopoulou, I.; Kouremenos, N. Neoclassical facial canons in young adults. J. Craniofacial Surg. 2012, 23, 1693–1698. [Google Scholar] [CrossRef]
- World Health Organization; Regional Office for Europe. Nutrition, Physical Activity and Obesity Greece. 2013. Available online: http://www.euro.who.int/en/nutrition-country-profiles (accessed on 20 May 2023).



| Min | Max | Mean (SD) | |
|---|---|---|---|
| Facial index (%) | 73.93 | 95.39 | 83.94 (±5.09) |
| Middle vertical facial proportion (%) | 38.58 | 50.69 | 46.15 (±2.63) |
| Lower vertical facial proportion (%) | 49.31 | 61.42 | 53.85 (±2.63) |
| Nose-to-mouth distance (mm) | 18.81 | 35 | 24.36 (±3.23) |
| Mouth width (mm) | 42.07 | 70 | 52.53 (±4.86) |
| Pupil-to-orbital height (mm) | 14.56 | 29.27 | 20.96 (±2.70) |
| Height of the lower lip (mm) | 8.86 | 18.73 | 14.14 (±2.21) |
| Min | Max | Mean (SD) | |
|---|---|---|---|
| Frankfort plane (degrees) | −5.77 | 20.25 | 10.15 (±5.42) |
| Nasolabial angle (degrees) | 71.14 | 122.22 | 95.99 (±12.35) |
| Po-N-A angle (degrees) | 69.23 | 91.35 | 78.50 (±4.76) |
| Po-N-B angle (degrees) | 62.24 | 79.22 | 71.97 (±4.24) |
| ANB angle (degrees) | 0.98 | 13.02 | 6.53 (±2.14) |
| E-line upper lip distance (mm) | −15.19 | −2.35 | −8.26 (±3.03) |
| E-line lower lip distance (mm) | −13.97 | 2.61 | −5.77 (±3.61) |
| Male | Female | Mann–Whitney Test p-Value | |
|---|---|---|---|
| N (%) | 33 (57%) | 25 (43%) | |
| Age (mean ± SD) | 53.00 (±15.01) | 51.88 (±13.46) | 0.702 |
| Height in meters (mean ± SD) | 1.77 (±0.07) | 1.62 (±0.06) | <0.001 * |
| Weight in Kg (mean ± SD) | 87.73 (±12.55) | 72.04 (±15.20) | <0.001 * |
| BMI (mean ± SD) | 27.84 (±3.54) | 27.39 (±6.09) | 0.402 |
| Male | Female | ||||
|---|---|---|---|---|---|
| Mean (SD) | Range | Mean (SD) | Range | Mann–Whitney Test p-Value | |
| Facial index (%) | 84.84 (±5.51) | 75.05–95.39 | 82.76 (±4.30) | 73.93–92.46 | 0.147 |
| Middle vertical facial proportion (%) | 45.42 (±2.63) | 38.58–50.52 | 47.12 (±2.34) | 43.00–50.69 | 0.011 * |
| Lower vertical facial proportion (%) | 54.58 (±2.63) | 49.78–61.42 | 58.88 (±2.34) | 49.31–57.00 | 0.011 * |
| Nose-to-mouth distance (mm) | 24.53 (±2.86) | 18.81–30.69 | 24.14 (±3.71) | 19.30–35.00 | 0.588 |
| Mouth width (mm) | 53.36 (±4.26) | 46.80–66.53 | 51.43 (±5.46) | 42.07–70.00 | 0.061 |
| Pupil-to-orbital height (mm) | 21.31 (±2.31) | 16.70–26.04 | 20.49 (±3.12) | 14.56–29.27 | 0.154 |
| Height of the lower lid (mm) | 14.62 (±2.06) | 11.19–18.29 | 13.52 (±2.29) | 8.86–18.73 | 0.087 |
| Male | Female | ||||
|---|---|---|---|---|---|
| Mean (SD) | Range | Mean (SD) | Range | Mann–Whitney Test p-Value | |
| Frankfurt plane (degrees) | 9.06 (±5.75) | −5.77–20.25 | 11.58 (±4.69) | 0.170–18.26 | 0.083 |
| Nasolabial angle (degrees) | 95.57 (±13.22) | 71.14–122.22 | 96.56 (±11.34) | 76.41–115.23 | 0.762 |
| Po-N-A angle (degrees) | 79.70 (±4.92) | 69.23–91.35 | 76.92 (±4.13) | 70.26–85.79 | 0.020 * |
| Po-N-B angle (degrees) | 73.19 (±3.99) | 62.24–79.22 | 70.35 (±4.07) | 63.30–78.24 | 0.010 * |
| ANB angle (degrees) | 6.50 (±2.26) | 0.98–13.02 | 6.57 (±2.02) | 2.51–9.26 | 0.528 |
| E-line upper lip distance (mm) | −9.05 (±2.85) | −15.19–4.41 | −7.21 (±3.00) | −12.72–2.35 | 0.030 * |
| E-line lower lip distance (mm) | −6.48 (±3.66) | −13.97–0.94 | −4.84 (±3.40) | −12.84–2.61 | 0.119 |
Disclaimer/Publisher’s Note: The statements, opinions and data contained in all publications are solely those of the individual author(s) and contributor(s) and not of MDPI and/or the editor(s). MDPI and/or the editor(s) disclaim responsibility for any injury to people or property resulting from any ideas, methods, instructions or products referred to in the content. |
© 2023 by the authors. Licensee MDPI, Basel, Switzerland. This article is an open access article distributed under the terms and conditions of the Creative Commons Attribution (CC BY) license (https://creativecommons.org/licenses/by/4.0/).
Share and Cite
Yiallouridou, I.; Sarafidou, K.; Theocharidou, A.; Menexes, G.; Anastassiadou, V. Anthropometric vs. Dental Variables of the Ageing Face: A Clinical Study. Appl. Sci. 2023, 13, 10860. https://doi.org/10.3390/app131910860
Yiallouridou I, Sarafidou K, Theocharidou A, Menexes G, Anastassiadou V. Anthropometric vs. Dental Variables of the Ageing Face: A Clinical Study. Applied Sciences. 2023; 13(19):10860. https://doi.org/10.3390/app131910860
Chicago/Turabian StyleYiallouridou, Ioanna, Katia Sarafidou, Anna Theocharidou, George Menexes, and Vassiliki Anastassiadou. 2023. "Anthropometric vs. Dental Variables of the Ageing Face: A Clinical Study" Applied Sciences 13, no. 19: 10860. https://doi.org/10.3390/app131910860
APA StyleYiallouridou, I., Sarafidou, K., Theocharidou, A., Menexes, G., & Anastassiadou, V. (2023). Anthropometric vs. Dental Variables of the Ageing Face: A Clinical Study. Applied Sciences, 13(19), 10860. https://doi.org/10.3390/app131910860

