Abstract
The article defines and explains methods for detecting and locating damage and quantifying its extent on an example of a finite element model of a simple beam. The defined methods are based on a comparison of the decreases in the bending natural frequencies of the nominally damaged models against the intact model. This comparison assigns natural frequency decreases to curvature of a specific mode shape, which allows creation of an analytical reference model using polynomial regression, which assigns relative natural frequency decreases to the position on the beam. The localisation method assumes that the vector of the relative natural frequency decrease ratios are unique for each position on the beam. The quantification method considers as a relevant comparative quantity, slopes of relative natural frequency decreases, as a function of damage extent. Examples of damage localisation and quantification are defined, and the relative errors of these methods are analysed.
1. Introduction
In technical practice, it is necessary to ensure a reliable connection between certain parts of a machine and their structural integrity; therefore, methods securing damage identification were created. Ultrasonic [1], thermographic vibration analysis [2] or vibration analysis based on modal parameter change or modal strain energy change [3] are some of the most widely used approaches to ensure structural health monitoring. These approaches allow a reduction in inspection effort related to structural health monitoring, especially at locations with limited accessibility for detecting potential damage explicitly. This paper implements the approach of changing modal parameters to identify the structural damage. Methods based on the mentioned approach are always based on a comparison of damaged and intact structures. Already, in 1979 Cawley and Adams published a method of non-destructive assessment of the integrity of structures using changes in natural frequencies to locate and quantify structural damage [4]. Many other methods of identification of structural damage have since been created, with a focus on analysis of changes in mode shapes (MS) or their derivatives [5,6,7], or on natural frequency decreases in the context of related mode shapes [8,9,10,11,12,13,14,15,16,17,18].
In the case of an undesired loosening of the connection or other types of damage, natural frequencies of the system will decrease; in the text, relative natural frequency decreases (RNFDs) are used, representing the relation of intact and damaged structures. From the point of view of system diagnostics, it is desirable to detect damage or joint loosening (presence of RNFD—), locate its position (identified damage position—) and quantify its extent (identified damage extent—). Detection of local stiffness decrease (general damage) in the system is determined solely by the existence of negative RNFDs in the system; therefore, no further explanation of the phenomenon is needed. On the other hand, the methodology for locating damage and quantifying its extent is demonstrated on a simple beam [19]. These methods assume that damage has greater influence on modal characteristics of the structure in a beam region with greater modal curvature for a specific MS and the methods compare the examined model with the reference one. The reference model is created by comparing nominally damaged models with an intact one and assigning RNFDs to modal curvatures. Using polynomial regression, it is possible to develop RNFDs as functions of modal curvatures and subsequently, as functions of position on the beam. For the localisation method, a correlation function was created that compares the RNFD ratio of the examined model with the RNFD ratios of the reference model at each position in the beam, as these ratios are unique for each position in the beam. In a quantification method, linearised RNFD slopes, created by RNFDs of the examined model and divided by the variable damage extent, are compared with reference linearised RNFD slopes, which leads to development of correlation functions as in the case of the localisation method.
The finite element models used [20,21,22,23] were created in ANSYS 2020 R2 software by Ansys, Inc. and the modal data obtained from the damaged and intact structures were analysed in Matlab 2023a by The MathWorks, Inc.
2. Description of a FEM Model of the BEAM structure
The model used is formed by a straight beam consisting of BEAM3 elements, while attached to the ground by three springs (longitudinal , transverse , tilting ) at one end and free at the other end. Its dimensions, as well as the region that simulates the local decrease in stiffness of length , are shown in Figure 1.
Figure 1.
Model of a beam fixed on one end and free on the other end. Fixation is simulated by the spring system using a COMBIN40 element in ANSYS. All dimensions are in mm.
Damage is simulated by local reduction in the Young’s modulus of elasticity to match the equivalent change in beam diameter, so inertial properties of the prismatic beam are maintained. The modified Young’s modulus results from the comparison of the changed stiffness through the modification of the quadratic moment of area and the modification through the change in the Young’s modulus of elasticity. Equation (2) states that by keeping the original Young’s modulus , but changing the squared moment of the cross-section area (non-prismatic shape), the same stiffness can be obtained as by keeping the original squared moment of the area , but changing the Young’s modulus of elasticity (prismatic shape). For the quadratic moment of the area of the circular cross-section of the beam, the following applies [24]:
Since the quadratic moment of the area is related to the geometry of the beam and the Young’s modulus is only a material property, it is possible for simulation purposes, to consider the damage as a region with the Young’s modulus , which is equivalent to the reduction in the diameter . in Equation (3) is derived from Equations (1) and (2).
Relative damage is defined as
3. Principle of the Damage Localisation of the Structure
The damage localisation method allows identification of the position on the beam where the damage occurs. The localisation output is the identified position of the damage . In this section, the main assumptions of the localisation method are defined, and the mechanism of the localisation method is described.
3.1. Localisation Assumptions
The method of locating damage is based on four main assumptions.
The first assumption is that the damage is detected . This condition is met if there is a RNFD in the system.
A second assumption of localisation is that the RNFDs vary with the location of the damage. If the damage is in a region with a higher curvature of the related MS, the RNFD is greater than in a region of the node. The validity of this assumption is demonstrated in Figure 2, where for the same degree of damage, at positions (POS 1–4) with different degrees of curvature, there is a different degree of RNFDs according to the assumption. Moreover, tests have proved the assumption have been carried out in the past [25], therefore, this research is based on experimentally based concepts.
Figure 2.
Depiction of the influence of damage on RNFDs regarding the position x of the damage within the MS. represents the 6th MS as a function of the position on the beam with marked damage positions (left) and RNFDs of a 6th natural frequency as functions of damage extent at the mentioned positions (right).
The third assumption is that different RNFDs need to decrease evenly with damage. That means that the decreases should be linear or at least close to linear, so the ratio of decreases is unique for a specific location on the structure. As can be seen from Figure 2 (right), the linearity of the courses is not perfect, but for relatively small damage, this assumption is fulfilled sufficiently.
The fourth assumption assumes the similarity of the MSs of the compared models. When comparing the reference MSs (no damage) and the examined MSs (relative damage ) by the MAC method, it was found that the MSs correlate at the level of approximately [26].
3.2. Description of the Method
The flow chart in Figure 3 roughly depicts the procedure of the localisation method.
Figure 3.
Scheme of the localization method principle.
The method is based on a comparison of the examined mathematical model with a reference mathematical model. To create a reference mathematical model, it is necessary to know the MSs of the undamaged system () [27,28,29,30]. For a clearer comparison of MSs, their normalisation is performed (Equation (5)) so that all values are in the interval <0;1> and normalised MSs are attained, while the maximum amplitude is at the free end of the beam. This normalisation does not affect the results of the localisation. Subsequently, by polynomial regression of the 20th degree of the [31] and their consecutive derivation, their curvatures (Equation (6)) are obtained [32]. Normalised MSs and their curvatures are depicted in Figure 4.
Figure 4.
Depiction of the normalised MSs and their curvatures with marked damage positions. The index k = 1, 2, …, 10 in the legend represents POS 1–10.
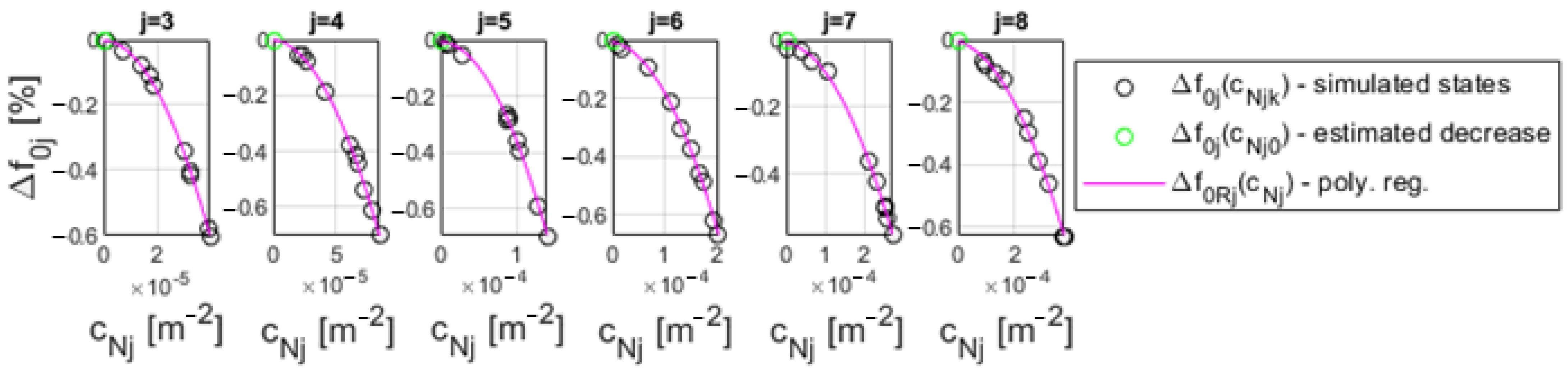
Nominal damage to the beam is separately simulated at ten different evenly distributed positions of the beam (), while and , so that this damage is placed in the largest possible range of curvatures of individual MS. For individual curvature of a specific MS, the RNFD is assigned (Figure 5) and each dependence of the RNFD on the curvature contains 11 elements (10—assigned RNFDs to specific curvatures, 1—assumed zero drop for zero curvature). The RNFD courses in the MS curvatures are obtained by polynomial regression of the second degree of these data.
Figure 5.
Relation between RNFDs and curvatures of MSs.
By merging these dependencies (—Figure 4 and —Figure 5), it is possible to express the RNFDs as a vector that is a function of the position on the beam (Equation (7)). This dependence is shown graphically in Figure 6. By comparison of of nominal damage at positions , and reference , simulated by damage extent , it can be concluded that correlation of these quantities is relatively significant.
Equation (8) expresses the vector of ratios of all RNFDs against the first RNFD. This vector can be used as a relevant mathematical model representing the reference system (index R) because this ratio is unique to the random position on the beam.
Analogously, as a vector , the vector is created, which is a mathematical model representing the examined system (index E). However, this vector already corresponds to a specific damage position. By comparing the mentioned vectors using Equation (9), a correlation function is created, which acquires a minimum at the point of damage.
represents the identified damage location (localisation target), which differs from the real damage location by the system error of the localisation method.
The localisation of the damage is demonstrated by showing the correlation function for the case of damage at the position with the size of the damage corresponding to (Figure 7). It can be seen in Figure 7 that the function reaches its minimum at the position of simulated damage ().
Figure 7.
Correlation function for localisation.
3.3. Precision Analysis of Localisation
Due to differences between the real and reference models, while the reference model is only an approximation of the real model, an error in the method occurs. In Figure 8 the identified damage location and the relative error are depicted.
Figure 8.
Identified damage (left) and its relative error (right) according to the localisation method.
4. Quantification of the Extent of Damage
Once the damage position is identified, it is possible to assign characteristics to this position that lead to the development of the quantification method. The quantification method follows the scheme in Figure 9. In this case, the output is the identified extent of the damage .
Figure 9.
Scheme of the quantification method principle.
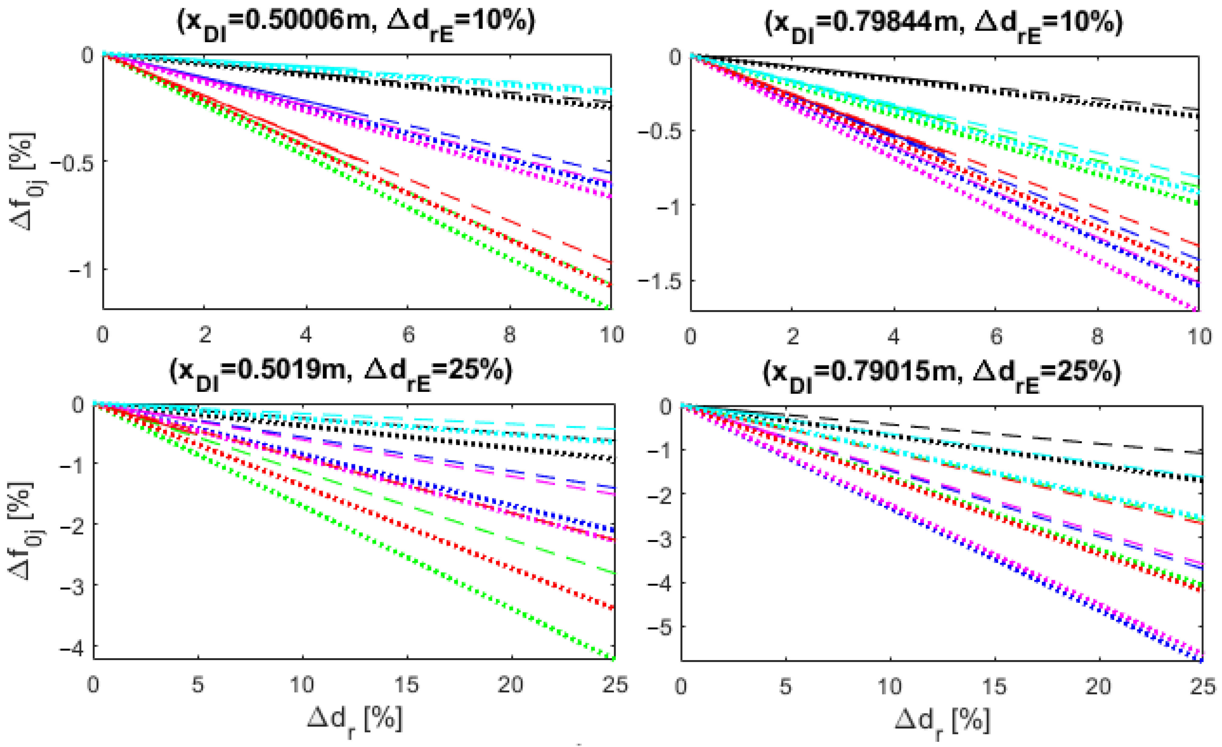
For the needs of the quantification methodology, it is necessary to work with the nominal level of damage, according to which slopes of linearised RNFDs are assigned. The theory of quantification assumes that RNFDs have a linear, or character similar to linear, with relation to damage extent, which implies that the nominal value should be expressed from an interval of the most linear character possible, and at the same time, RNFD courses should be linearised in the best possible correlation with real course declines. Figure 10 shows that below 5% damage, differences between (real RNFDs) and (linearised RNFDs—Equation (10)) are relatively small, allowing the mentioned linearisation. Therefore, the nominal proportional rate of RNFDs is to be derived from the damage represented by . The resulting linearisation error needs to be further considered in the application of the method.
Figure 10.
Comparison of real and linearised RNFDs for damage extent . Colours assigned to specific RNFDs, resp. index j, are also valid for the subsequent figures.
As in the case of localisation, where the output is the identified position of the damage (), when assessing the degree of a damage output is identified as the damage extent (). Similarly, it is necessary to compare the examined model against the reference model. The reference model is represented by RNFDs , while these decreases are not only a function of the location of the damage on the beam, but also the extent of the damage. After locating the damage and considering the nominal damage , the vector of RNFDs is known. To compare the reference and examined models, it is appropriate to compare the slopes of these linearised models. The nominal slopes of the reference model are (Equation (11)) and the RNFDs defined by the mentioned slopes are (Equation (12)).
Equation (13) applies to the slope of the examined model , which implies that the slopes of the examined model are functions of , while :
where is the real damage location of the examined model and is the real relative extent of the beam damage.
For quantification, the damage rate of the examined system is considered as an unknown constant value. The slopes of an examined and a reference model are compared through the relation:
where the quantity expresses the correlation function of quantification (Figure 11) and is a function of , the minimum of which indicates the degree of damage on the horizontal axis:
Figure 11.
Correlation function for quantification.
The mechanism of quantification is demonstrated in an example where the lines (lower part of Figure 12) defined by slopes (attained from the marked points in the upper part of the Figure 12) and are compared while damage is simulated at position and the extent of the damage is . The correlation of RNFDs is negligible when the variable damage extent does not match the real damage extent as can be seen in the figure for and . On the other hand, if → the correlation of RNFDs improves, as can be seen for . with the best correlation with is considered the identified damage extent .
Figure 12.
RNFDs of a reference model with marked RNFDs related to (upper part of the figure), RNFDs with slopes (full lines) and RNFDs with slopes (dashed lines) (lower part of the figure).
The differs from the real damage rate by the system error of the quantification method which is explained in more detail in the following subsection.
Explanation of the Precision of the Methodology
When comparing the reference and examined models, slopes of linearised RNFDs are chosen as the relevant comparative quantities; this methodology introduces a certain degree of error into the system. This error results from the fact that the reference model creates linearised courses of RNFDs, but real RNFDs have a nonlinear nature. In Figure 13, slopes of linearized and real RNFDs and (Equation (16)) are shown. is attained using second degree polynomial regression of the real RNFDs (Figure 10—) and by consecutive division by . is attained by division of in nominal damage by damage itself.
Figure 13.
Comparison of and . The red dashed vertical lines represent the nominal damage extent used for the creation of the reference model.
In Figure 13, it can be seen that the highest correlation between and is when the damage is close to . This finding implies that the highest precision of the method is present when the damage is relatively close to which is confirmed in Figure 14 and Figure 15.

Figure 14.
Identified extent and relative error of the damage quantification method as a function of .

Figure 15.
Comparison of reference, real and identified RNFDs.
The relative error of the quantification method is defined as:
For dimensioning purposes, it is important to consider the positive/negative character of the error. If the error is negative, the identified damage is less than the reality, which means that it is necessary to consider the safety coefficient to cover the quantification error. When the error is positive, the identified damage will increase more than the real damage, making the dimensioning more robust. The graphs in Figure 14 show the extent of the identified damage in the first row and the relative quantification error in the second row of the figure as functions of the extent of the real damage for positions and . The lowest error of the method is achieved at and which relatively correlates with Figure 13. However, the method is based on a comparison of the examined model with the reference model, which is based on multiple polynomial regressions, which brings an additional system error to the method that explains that the minimal error for and not .
To demonstrate precision of the quantification method linearised reference, identified and real RNFDs are shown in Figure 15 and defined by the following formulas:
- - identified RNFDs,
- - real RNFDs,
While the reference RNFDs are defined in Equation (12), the index L in the RNFDs defined above, represents their linear character with respect to .
The best match between the identified and real RNFDs is achieved in the case of damage with a rate of , since the relative error is the smallest for this damage rate for the considered cases. The identified RNFDs are relatively highly correlated with the reference decreases, which is because the reference models are used in a correlation with the examined model in the quantification mechanism.
5. Examples of Detection, Localisation, and Quantification of Beam Damage
Figure 16 shows the correlation functions that express the location of the damage and the degree of damage, while the damage was simulated in the location and the degree of damage was equivalent to . Correlation functions identify damage at position , with the damage rate of .

Figure 16.
Correlation functions for the localisation and quantification of the first case of damage.
In the next example (Figure 17), the simulated damage is at the position with the damage rate . The localisation determined the damage at the location and quantification identified the damage rate of .
Figure 17.
Correlation functions for localisation and quantification of the second case damage.
6. Conclusions
The main contribution of this article is the creation of a localisation and quantification method for damage identification, which is based on polynomial regression, hence creating an analytical comparative model. This approach provides relatively accurate information about the position of the damage wherever it is located within the scope of the examined model and about the extent of the damage. The focus of this publication is to demonstrate the theoretical principles on which these methods are based. On the other hand, experiments confirming localisation assumptions were already performed, and the research has yet to be extended by a detailed experiment using polynomial regression to localise and quantify the damage.
Based on the presence of natural frequency drops compared to the reference system (), it is possible to claim that damage is present in the system.
According to mode shapes, specifically their curvatures, and by assigning natural frequency drops to specific curvatures of individual mode shapes, it is possible to create a reference model to which the examined model is compared. The result of this comparison is a correlation function , which at a minimum corresponds to the identified location of the damage ().
For the quantification of the extent of damage, linearisation of natural frequency decreases is considered, and the proportional damage was chosen as the nominal damage extent, thus creating a reference model for quantification. When comparing the examined model with the reference model, the slope of natural frequency decreases of the examined model is expressed as a function of proportional damage, which results in a correlation function , the minimum of which implies the identified degree of the damage (), analogously to the location of damage in localisation.
The localisation and quantification errors result from the polynomial regression of the curvatures of individual MSs relative to the position on the beam and the natural frequency decreases relative to the curvature, and thus the vector contains a certain system error. Reduction in this error can be achieved by extending the model using an approximation based on the simulation of more damage locations. Additionally, an error is brought into the model by the non-zero width of the region simulating damage and by the linearisation of the natural frequency decreases for the purposes of the quantification method. Specifically, a significant improvement in the accuracy of the quantification method could be achieved by avoiding the linearisation of the natural frequency decreases in the reference model with respect to the extent of damage, which should be the aim of further research on this topic.
The described principles could be applied to analyse more complex structures by applying a multi-coordinate approach and regression of them would be required. For example, in a structure consisting of multiple beams, each beam should be marked by an index and a regression function should be assigned to each beam. This method could be applied even to non-straight beams, where modal curvature, as defined in the text, could be replaced by change in curvature, and spatial transformations might be required as well. It is possible to perform regression even for different structural elements, such as plates, when working with multiple coordinates defining the position of the damage. Therefore, the method is not limited to 1D or 2D problems but can be applied to 3D problems, also.
Author Contributions
Conceptualization, M.M.; Methodology, M.P.; Software, M.P.; Resources, M.M. and J.Ú.; Writing—original draft, M.P.; Writing—review & editing, M.P.; Supervision, M.M. and J.Ú. All authors have read and agreed to the published version of the manuscript.
Funding
The research in this paper was supported by the grant agency VEGA 1/0432/23 and VEGA 1/0497/23 of Ministry of Education, Science and Sport of the Slovak Republic.
Data Availability Statement
The data presented in this study are available on request from the corresponding author. The data are not publicly available because they are subject of intellectual ownership of the authors.
Conflicts of Interest
The authors declare no conflict of interest.
References
- Cantero-Chinchilla, S.; Aranguren, G.; Royo, J.M.; Chiachío, M.; Etxaniz, J.; Calvo-Echenique, A. Structural Health Monitoring Using Ultrasonic Guided-Waves and the Degree of Health Index. Sensors 2021, 21, 993. [Google Scholar] [CrossRef] [PubMed]
- He, J.H.; Liu, D.P.; Chung, C.H.; Huang, H.H. Infrared Thermography Measurement for Vibration-Based Structural Health Monitoring in Low-Visibility Harsh Environments. Sensors 2020, 20, 7067. [Google Scholar] [CrossRef] [PubMed]
- Srinivas, V.; Ramanjaneyulu, K.; Jeyasehar, C.A. Multi-stage approach for structural damage identification using modal strain energy and evolutionary optimization techniques. Struct. Health Monit. 2010, 10, 2. [Google Scholar] [CrossRef]
- Cawley, P.; Adams, R.D. The location of defects in structures from measurements of natural frequencies. J. Strain Anal. Eng. Des. 1979, 14, 2. [Google Scholar] [CrossRef]
- Koushik, R.; Samit, R.C. Fundamental mode shape and its derivatives in structural damage localization. J. Sound Vib. 2013, 332, 5584–5593. [Google Scholar] [CrossRef]
- Frans, R.; Arfiadi, Y.; Parung, H. Comparative study of mode shapes curvature and damage locating vector methods for damage detection. Procedia Eng. 2017, 171, 1263–1271. [Google Scholar] [CrossRef]
- Knak, M.; Wojtczak, E.J.; Rucka, M. Non-Destructive Diagnostics of Concrete Beams Strengthened with Steel Plates Using Modal Analysis and Wavelet Transform. Materials 2021, 14, 3014. [Google Scholar] [CrossRef]
- Maia, N.M.M.; Silva, J.M.M.; Almas, E.A.M.; Sampaio, R.P.C. Damage Detection in Structures: From Mode Shape to Frequeny Response Function Methods. Mech. Syst. Signal Process. 2003, 17, 489–498. [Google Scholar] [CrossRef]
- He, K.; Zhu, W.D. Structural Damage Detection Using Changes in Natural Frequencies: Theory and Applications. In Journal of Physics: Conference Series, Proceedings of the 9th International Conference on Damage Assessment of Structures (DAMAS 2011), Oxford, UK, 11–13 July 2011; St Anne’s College, University of Oxford: Oxford, UK, 2011; Volume 305. [Google Scholar] [CrossRef]
- Hearn, G.; Testa, R.B. Modal Analysis for Damage detection. J. Struct. Eng. 1991, 117, 10. [Google Scholar] [CrossRef]
- Hassiotis, S.; Jeong, G.D. Assessment of Structural Damage from Natural Frequency Measurements. Comput. Struct. 1993, 49, 67–91. [Google Scholar] [CrossRef]
- Lacidogna, G.; Piana, G.; Carpinteri, A. Damage monitoring of three-point bending concrete specimens by acoustic emission and resonant frequency analysis. Eng. Fract. Mech. 2019, 210, 203–211. [Google Scholar] [CrossRef]
- Salawu, O.S. Detection of structural damage through changes in frequency: A review. Eng. Struct. 1997, 19, 718–723. [Google Scholar] [CrossRef]
- Khoshnoudian, F.; Esfandiari, A. Structural damage diagnosis using modal data. Sci. Iran. 2011, 18, 853–860. [Google Scholar] [CrossRef]
- Dessi, D.; Camerlengo, G. Damage identification techniques via modal curvature analysis: Overview and comparison. Mech. Syst. Signal Process. 2015, 52–53, 181–205. [Google Scholar] [CrossRef]
- Kourehli, S.S. Damage Diagnosis of Structures Using Modal Data and Static Response. Period. Polytech. Civ. Eng. 2017, 61, 135–145. [Google Scholar] [CrossRef]
- Kianfar, E.; Kaveh, A.; Lloyd, A. Damage Localization of Reinforced Concrete Beams Using Extracted Modal Parameters. In Proceedings of the CSCE International Specialty Conference, Moncton, NB, Canada, 24–27 May 2023. [Google Scholar]
- Titurus, B.; Yuan, J.; Scarpa, F.; Patsias, S.; Pattison, S. Impact hammer-based analysis of nonlinear effects in bolted lap joint. In Proceedings of the ISMA 2016—International Conference on Noise and Vibration Engineering and USD 2016—International Conference on Uncertainty in Structural Dynamics, Leuven, Belgium, 19–21 September 2016. [Google Scholar]
- Musil, M.; Úradníček, J.; Páleník, M. Localization of a local stiffness decrease. In Proceedings of the Conference: Engineering Mechanics 2023, Palermo, Italy, 27–30 August 2023. [Google Scholar] [CrossRef]
- Tho, N.C.; Thom, D.V.; Cong, P.H.; Zenkour, A.M.; Doan, D.H.; Minh, P.V. Finite element modelling of the bending and vibration behaviour of three-layer composite plates with a crack in the core layer. Compos. Struct. 2023, 305, 116529. [Google Scholar] [CrossRef]
- Thom, D.V.; Duc, D.H.; Minh, P.V.; Tung, N.S. Finite element modelling for free vibration response of cracked stiffness FGM plates. Vietnam. J. Sci. Technol. 2020, 58, 1. [Google Scholar] [CrossRef]
- Zienkiewicz, O.C.; Taylor, R.L.; Zhu, J.Z. The Finite Element Method: Its Basis and Fundamentals (Seventh Edition); Butterworth-Heinemann: Oxford, UK, 2013; ISBN 9781856176330. [Google Scholar] [CrossRef]
- Bathe, K.J. Finite Element Procedures; Prentice-Hall, Inc.: Hoboken, NJ, USA; Simon & Schuster/A Viacom Company: New York, NY, USA, 1996; ISBN 0-13-301458-4. [Google Scholar]
- Young, W.C.; Budynas, R.G. Roark’s Formulas for Stress and Strain, 7th ed.; McGraw-Hill: New York, NY, USA, 2002; ISBN 0-07-072542-X. [Google Scholar]
- Musil, M.; Havelka, F.; Chlebo, O.; Úradníček, J.; Gašparovič, Ľ.; Páleník, M. Diagnostics of Loose Clamping Joints, Engineering Mechanics; Institute of Theoretical and Applied Mechanics of the Czech Academy of Sciences: Prague, Czechia, 2022; pp. 273–276. ISSN 1805-8248. ISBN 978-80-86246-48-2. [Google Scholar]
- Alemang, R.J. The Modal Assurance Criterion (MAC): Twenty Years of Use and Abuse. J. Sound Vib. 2003, 37, 14–23. [Google Scholar]
- Starek, L. Kmitanie Mechanických Sústav; Strojnícka fakulta STU Bratislava: Bratislava, Slovakia, 2006; ISBN 8022724912. [Google Scholar]
- Stradiot, J. A Kol. Dynamika Strojov; ALFA: Bratislava, Slovakia, 1991. (In Slovak) [Google Scholar]
- Bocko, J.; Segľa, Š.; Huňady, R. Kmitanie Mechanických Sústav; TU v Košiciach: Košice, Slovakia, 2017. [Google Scholar]
- Brepta, R.; Půst, L.; Turek, F. Mechanické Kmitání; Sobotáles: Prague, Czechia, 1994. [Google Scholar]
- Ostertagová, E. Modelling using Polynomial Regression. Procedia Eng. 2012, 48, 500–506. [Google Scholar] [CrossRef]
- Erduran, E.; Ulla, F.K.; Næss, L. A Framework for Long-Term Vibration-Based Monitoring of Bridges. Sensors 2021, 21, 4739. [Google Scholar] [CrossRef] [PubMed]
Disclaimer/Publisher’s Note: The statements, opinions and data contained in all publications are solely those of the individual author(s) and contributor(s) and not of MDPI and/or the editor(s). MDPI and/or the editor(s) disclaim responsibility for any injury to people or property resulting from any ideas, methods, instructions or products referred to in the content. |
© 2023 by the authors. Licensee MDPI, Basel, Switzerland. This article is an open access article distributed under the terms and conditions of the Creative Commons Attribution (CC BY) license (https://creativecommons.org/licenses/by/4.0/).