The Impact of Salinity and Nutrient Regimes on the Agro-Morphological Traits and Water Use Efficiency of Tomato under Hydroponic Conditions
Abstract
:1. Introduction
2. Materials and Methods
2.1. Plant Materials, Growth Conditions, and Experimental Setup
2.2. Data Collection and Statistical Analysis
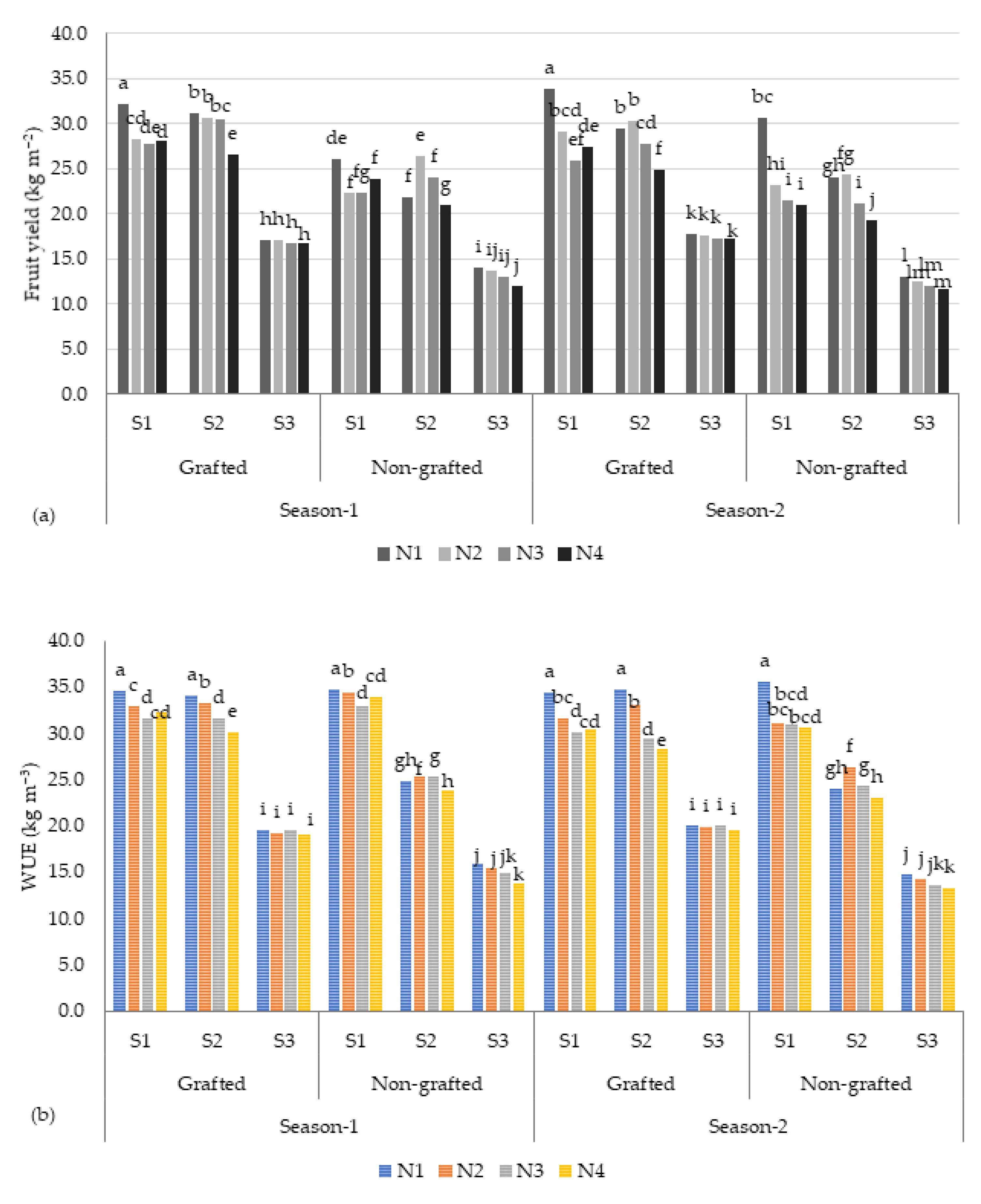
3. Results
3.1. Vegetative Growth
3.2. Fruit Yield
3.3. Water Use Efficiency
3.4. Chlorophyll and Ion Concentrations in Plant Tissues
4. Discussion
Principal Component Analysis
5. Conclusions
Author Contributions
Funding
Institutional Review Board Statement
Informed Consent Statement
Data Availability Statement
Acknowledgments
Conflicts of Interest
References
- Hasanean, H.; Almazroui, M. Rainfall: Features and Variations over Saudi Arabia, A Review. Climate 2015, 3, 578–626. [Google Scholar] [CrossRef]
- Baig, M.B.; AlZahrani, K.H.; Al-shaikh, A.A.; Wafa, A.A.; Risheh, A.; Straquadine, G.S.; Qureshi, A.M. Food Security in the Kingdom of Saudi Arabia Face to Emerging Dynamics: The Need to Rethink Extension Service. In Food Security and Climate-Smart Food Systems; Behnassi, M., Baig, M.B., Sraïri, M.T., Alsheikh, A.A., Abu Risheh, A.W.A., Eds.; Springer: Cham, Switzerland, 2022. [Google Scholar] [CrossRef]
- Morci, H.; Elmulthum, N.; Hadid, M. The Role of Greenhouses in Filling Trade Gap of Tomato Crop in Saudi Arabia. Egypt. J. Agron. 2020, 42, 197–207. [Google Scholar] [CrossRef]
- Ghanem, A.M.; Al-Ruwis, K.N.; Alqahtani, S.H.; Al-Nashwan, O.S.; Al-Duwais, A.A.M.; Alnafissa, M.A.; Alhashem, J.; Kamara, S.A.; Alaagib, S.B.; Aldawdahi, N.M.; et al. The economic dimension of directing treated wastewater to the production of green fodder in Saudi Arabia. Saudi J. Biol. Sci. 2021, 28, 4825–4832. [Google Scholar] [CrossRef] [PubMed]
- Saher, G.A.; Abdelmoneim, E.M.; Adam, B.A.; Adam, E.A.A. Strengthening the Crop Water Productivity of Tomato Under the Environmental Control of Greenhouse Technology. London J. Res. Sci. Nat. Form. 2021, 21, 37–48. [Google Scholar]
- FAO. The Dimensions of Water Productivity; Food and Agriculture Organization of the United Nations: Rome, Italy, 2022; 6p, Available online: https://www.fao.org/3/cc2724en/cc2724en.pdf (accessed on 30 January 2023).
- Abderrahman, W.A. Chapt. 6: Water demand management in Saudi Arabia. In Water Management in Islam; Faruqui, N.I., Biswas, A.K., Bino, M.J., Eds.; United Nations University Press: Tokyo, Japan, 2001; Available online: https://idrc-crdi.ca/en/book/water-management-islam (accessed on 16 February 2023).
- Alotaibi, B.A.; Kassem, H.S. Adoption of Sustainable Water Management Practices among Farmers in Saudi Arabia. Sustainability 2021, 13, 11260. [Google Scholar] [CrossRef]
- Haque, M.I.; Khan, M.R. Impact of climate change on food security in Saudi Arabia: A roadmap to agriculture-water sustainability. J. Agribus. Dev. Emerg. Econ. 2022, 12, 1–18. [Google Scholar] [CrossRef]
- Fiaz, A.; Noor, M.A.; Aldosri, F.O. Achieving food security in the Kingdom of Saudi Arabia through innovation: Potential role of agricultural extension. J. Saudi Soc. Agric. Sci. 2018, 17, 365–375. [Google Scholar] [CrossRef]
- JICA. Data Collection Survey on Water Saving, Leakage Measures and Water Quality Improvement in Saudi Arabia—Kingdom of Saudi Arabia—Final Report. Japan International Cooperation Agency. March 2022. Available online: https://openjicareport.jica.go.jp/pdf/12371308.pdf (accessed on 31 January 2023).
- Maucieri, C.; Nicoletto, C.; Os, E.V.; Anseeuw, D.; Havermaet, R.V.; Junge, R. Hydroponic Technologies. In Aquaponics Food Production Systems; Goddek, S., Joyce, A., Kotzen, B., Burnell, G.M., Eds.; Springer: Cham, Switzerland, 2019. [Google Scholar] [CrossRef]
- Marr, C.W. Greenhouse Vegetable Production: Hydroponic systems. Kensas State University, MF-1169, 1994. Available online: https://krex.k-state.edu/bitstream/handle/2097/32774/MF1169.pdf?sequence=1&isAllowed=y (accessed on 27 February 2023).
- Velazquez-Gonzalez, R.S.; Garcia-Garcia, A.L.; Ventura-Zapata, E.; Barceinas-Sanchez, J.D.O.; Sosa-Savedra, J.C. A Review on Hydroponics and the Technologies Associated for Medium- and Small-Scale Operations. Agriculture 2022, 12, 646. [Google Scholar] [CrossRef]
- Alomran, A.M.; Al-Harbi, A.A.R.; Wahb-Allah, M.A.; Alwabel, A.M.A.; Nadeem, M.E.A.; Al-Eter, A. Management of Irrigation Water Salinity in Greenhouse Tomato Production under Calcareous Sandy Soil and Drip Irrigation. J. Agric. Sci. Tech. 2012, 14, 939–950. [Google Scholar]
- Hussain, G.; Alquwaizany, A.; Al-Zarah, A. Guidelines for Irrigation Water Quality and Water Management in The Kingdom of Saudi Arabia: An Overview. J. Appl. Sci. 2010, 10, 79–96. [Google Scholar] [CrossRef]
- Furr, J.R.; Ream, C.L. Salinity effects on growth and salt uptake of seedlings of the date Phoenix dactylifera L. Proc. Am. Soc. Hort. Sci. 1968, 92, 268–273. [Google Scholar]
- Zhang, P.; Senge, M.; Dai, Y. Effects of salinity stress on growth, yield, fruit quality and water use efficiency of tomato under hydroponics system. Rev. Agric. Sci. 2016, 4, 46–55. [Google Scholar] [CrossRef]
- Bustomi, R.A.; Senge, M.S.T.R.; Suhandy, D.; Tusi, A. The Effect of EC Levels of Nutrient Solution on the Growth, Yield, and Quality of Tomatoes (Solanum lycopersicum) under the Hydroponic System. J. Agric Eng. Biotechnol. 2014, 2, 7–12. [Google Scholar]
- Taffouo, V.D.; Nouck, A.H.; Dibong, S.D.; Amougou, A. Effects of salinity stress on seedlings growth, mineral nutrients and total chlorophyll of some tomato (Lycopersicum esculentum L.) cultivars. Afr. J. Biotech. 2013, 9, 5366–5372. [Google Scholar]
- Karuppasamy, K.S.; Kumar, S.R.; Krishnakumar, S.; Varshini, V.; Susithra, N.; Kavitha, S.; Rajendran, V. Effect of Sodium Chloride on Soluble Protein, Nitrate Reductase Activity, Proline and Catalase Enzyme Activity of Green Gram Cultivars (Co6 And Co8). Legume Genom. Genet. 2014, 5, 1–5. [Google Scholar] [CrossRef]
- Fernandez, G.N.; Martinez, V.; Carvajal, M. Effect of salinity on growth, mineral composition, and water relations of grafted tomato plants. J. Plant Nutr. Soil Sci. 2004, 167, 616–622. [Google Scholar] [CrossRef]
- Rubio, J.S.; Garcia-Sanchez, F.; Rubio, F.; Martinez, V. Yield, blossom-end rot incidence, and fruit quality in pepper plants under moderate salinity are affected by K4 and Ca2+ fertilization. Sci. Hortic. 2009, 119, 79–87. [Google Scholar] [CrossRef]
- Zörb, C.; Geilfus, C.M.; Dietz, K.J. Salinity and crop yield. Plant Biol. J. 2019, 21, 31–38. [Google Scholar] [CrossRef]
- Kaya, C.; Higgs, D. Supplementary potassium nitrate improves salt tolerance in bell pepper plants. J. Plant Nutr. 2003, 26, 1367–1382. [Google Scholar] [CrossRef]
- Kütük, C.; Cayct, G.; Heng, L.K. Effects of increasing salinity and 15N-labelled urea levels on growth, N uptake, and water use efficiency of young tomato plants. Austr. J. Soil Res. 2004, 42, 345–351. [Google Scholar] [CrossRef]
- Guo, M.; Wang, X.; Guo, H.; Bai, S.; Khan, A.; Wang, X.; Gao, Y.; Li, J. Tomato salt tolerance mechanisms and their potential applications for fighting salinity: A review. Front. Plant Sci. 2022, 13, 949541. [Google Scholar] [CrossRef] [PubMed]
- Wang, X.; Geng, S.; Ri, Y.J.; Cao, D.; Liu, J.; Shi, D.; Yang, C. Physiological responses and adaptive strategies of tomato plants to salt and alkali stresses. Sci. Hortic. 2011, 130, 248–255. [Google Scholar] [CrossRef]
- Yang, H.; Du, T.; Mao, X.; Shukla, M.K. Modeling tomato evapotranspiration and yield responses to salinity using different macroscopic reduction functions. Vadose Zone J. 2020, 19, e20074. [Google Scholar] [CrossRef]
- Chaves, M.M.; Flexas, J.; Pinheiro, C. Photosynthesis under drought and salt stress: Regulation mechanisms from whole plant to cell. Ann. Bot. 2009, 103, 551–560. [Google Scholar] [CrossRef]
- Li, H.; Hou, X.; Bertin, N.; Ding, R.; Du, T. Quantitative responses of tomato yield, fruit quality and water use efficiency to soil salinity under different water regimes in Northwest China. Agric. Water Manag. 2023, 277, 108134. [Google Scholar] [CrossRef]
- Ayarna, A.; Tsukagoshi, S.; Nkansah, G.; Maeda, K. Effect of Plant Density on the Yield of Hydroponically Grown Heat-Tolerant Tomato under Summer Temperature Conditions. Am. J. Plant Sci. 2021, 12, 901–913. [Google Scholar] [CrossRef]
- Li, Y.L.; Stanghellini, C.; Challa, H. Response of Tomato Plants to a Step-Change in Root-Zone Salinity under Two Different Transpiration Regimes. Sci. Hortic. 2002, 93, 267–279. [Google Scholar] [CrossRef]
- Maboko, M.M.; Plooy, C.P.D. High-density planting of tomato cultivar’s with early decapitation of growing point increased yield in a closed hydroponic system. Acta Agric. Scand. Sect. B Soil Plant Sci. 2013, 63, 676–682. [Google Scholar] [CrossRef]
- Masterson, S.A.; Kennelly, M.M.; Janke, R.R.; Rivard, C.L. Scion shoot removal and rootstock cultivar affect vigor and early yield of grafted tomatoes grown in high tunnels in the Central United States. Hort. Technol. 2016, 26, 399–408. [Google Scholar] [CrossRef]
- Pardo-Alonso, J.L.; Carreño-Ortega, Á.; Martínez-Gaitán, C.-C.; Fatnassi, H. Behavior of Different Grafting Strategies Using Automated Technology for Splice Grafting Technique. Appl. Sci. 2020, 10, 2745. [Google Scholar] [CrossRef]
- Ohashi, Y.; Murai, M.; Ishigami, Y.; Goto, E. Light-Intercepting Characteristics and Growth of Tomatoes Cultivated in a Greenhouse Using a Movable Bench System. Horticulturae 2022, 8, 60. [Google Scholar] [CrossRef]
- Hochmuth, G.J.; Hochmuth, R.C. Nutrient Solution Formulation for Hydroponic (Perlite, Rockwool, NFT) Tomatoes in Florida. In EDIS Publication; Horticultural Sciences Department, University of Florida: Gainesville, FL, USA, 2008; Volume HS-796, 13p, Available online: http://edis.ifas.ufl.edu/CV216 (accessed on 18 January 2023).
- El-Iklil, Y.; Karrou, M.; Benichou, M. Salt stress effect on epinasty in relation to ethylene production and water relations in tomato. Agronomie 2000, 20, 399–406. [Google Scholar] [CrossRef]
- Chrétien, S.; Gosselin, A.; Dorais, M. High Electrical Conductivity and Radiation-based Water Management Improve Fruit Quality of Greenhouse Tomatoes Grown in Rockwool. Hort. Sci. 2000, 35, 627–631. [Google Scholar] [CrossRef]
- Cuartero, J.; Munoz, R.F. Tomato and salinity. Sci. Hortic. 1999, 78, 83–125. [Google Scholar] [CrossRef]
- Patane, C.; Tringali, S.; Sortino, O. Effects of deficit irrigation on biomass, yield, water productivity and fruit quality of processing tomato under semi-arid Mediterranean climate conditions. Sci. Hortic. 2011, 129, 590–596. [Google Scholar] [CrossRef]
- Zhang, P.; Senge, M.; Dai, Y. Effects of salinity stress at different growth stages on tomato growth, yield and water use efficiency. Commun. Soil Sci. Plant Anal. 2017, 48, 624–634. [Google Scholar] [CrossRef]
- Schwarz, D.; Öztekin, G.; Tüzel, Y.; Brücknera, B.; Krumbeina, A. Rootstocks can enhance tomato growth and quality characteristics at low potassium supply. Sci. Hortic. 2013, 149, 70–79. [Google Scholar] [CrossRef]
- Singh, J.; Sastry, E.V.; Singh, V. Effect of salinity on tomato (Lycopersicon esculentum Mill.) during seed germination stage. Physiol. Mol. Biol. Plants 2012, 18, 45–50. [Google Scholar] [CrossRef]
- Di Gioia, F.; Serio, F.; Buttaro, D.; Ayala, O.; Santamaria, P. Influence of rootstock on vegetative growth, fruit yield and quality in ‘Cuore di Bue’, an heirloom tomato. J. Horti. Sci. Biotech. 2010, 85, 477–482. [Google Scholar] [CrossRef]
- Djidonou, D.; Zhao, X.E.; Simonne, H.; Koch, K.E.; Erickson, J.E. Yield, water- and nitrogen-use efficiency in field-grown, grafted tomatoes. HortScience 2013, 48, 485–492. [Google Scholar] [CrossRef]
- Nahar, K.; Gretzmacher, R. Effect of water stress on nutrient uptake, yield and quality of tomato (Lycopersicon esculentum Mill.) under subtropical conditions. Die Bodenkultur. J. Land Manag. Food Environ. 2002, 53, 45–51. [Google Scholar]
- Dorais, M.; Papadopoulos, A.P.; Gosselin, A. Influence of electric conductivity management on greenhouse tomato yield and fruit quality. Agronomie 2001, 21, 367–383. [Google Scholar] [CrossRef]
- Roșca, M.; Mihalache, G.; Stoleru, V. Tomato responses to salinity stress: From morphological traits to genetic changes. Front. Plant Sci. 2023, 14, 1118383. [Google Scholar] [CrossRef]
- Ling, L.; Stanghellini, Y.S.C.; Challa, H. Effect of electrical conductivity and transpiration on production of greenhouse tomato (Lycopersicon esculentum L.). Sci. Hortic. 2001, 88, 11–29. [Google Scholar]
- Semiz, G.D.; Suarez, D.L. Tomato salt tolerance: Impact of grafting and water composition on yield and ion relations. Turk. J. Agric. Forest 2015, 39, 876–886. [Google Scholar] [CrossRef]



| EC (dS m−1) of Irrigation Solutions | |||||
|---|---|---|---|---|---|
| Salinity | Nutrient Solution | Irrigation Water | Fertilizer (±0.2) | Added NaCl (mM) | Final EC (±0.2) |
| S1 | N1 | 0.92 | 1.6 | 0 | ~2.5 |
| S1 | N2 | 0.92 | 1.8 | 0 | ~2.5 |
| S1 | N3 | 0.92 | 1.8 | 0 | ~2.5 |
| S1 | N4 | 0.92 | 1.8 | 0 | ~2.5 |
| S2 | N1 | 0.92 | 1.6 | 30 | ~6.0 |
| S2 | N2 | 0.92 | 1.8 | 30 | ~6.0 |
| S2 | N3 | 0.92 | 1.8 | 30 | ~6.0 |
| S2 | N4 | 0.92 | 1.8 | 30 | ~6.0 |
| S3 | N1 | 0.92 | 1.6 | 60 | ~9.0 |
| S3 | N2 | 0.92 | 1.8 | 60 | ~9.0 |
| S3 | N3 | 0.92 | 1.8 | 60 | ~9.0 |
| S3 | N4 | 0.92 | 1.8 | 60 | ~9.0 |
| Nutrient (ppm) | Growth Stage | ||||
|---|---|---|---|---|---|
| Transplant to 1st Cluster | 1st Cluster to 3rd Cluster | 3rd Cluster to 5th Cluster | 5th Cluster to 7th Cluster | 7th Cluster to Termination | |
| N | 70 | 80 | 100 | 120 | 150 |
| P | 50 | 50 | 50 | 50 | 50 |
| K | 120 | 120 | 150 | 150 | 200 |
| Ca | 150 | 150 | 150 | 150 | 150 |
| Mg | 40 | 40 | 40 | 50 | 50 |
| S | 50 | 50 | 50 | 60 | 60 |
| Fe | 2.8 | 2.8 | 2.8 | 2.8 | 2.8 |
| Cu | 0.2 | 0.2 | 0.2 | 0.2 | 0.2 |
| Mn | 0.8 | 0.8 | 0.8 | 0.8 | 0.8 |
| Zn | 0.3 | 0.3 | 0.3 | 0.3 | 0.3 |
| B | 0.7 | 0.7 | 0.7 | 0.7 | 0.7 |
| Mo | 0.05 | 0.05 | 0.05 | 0.05 | 0.05 |
| Treatments | Plant Height (cm) | Stem Diameter (mm) | Leaf Area (m2 plant−1) | ||||||
|---|---|---|---|---|---|---|---|---|---|
| Season 1 | Season 2 | Mean | Season 1 | Season 2 | Mean | Season 1 | Season 2 | Mean | |
| (a) Salinity level | |||||||||
| S1 (~2.5 dS m−1) | 188.5 a | 198.7 a | 193.6 | 13.7 a | 14.1 a | 13.9 | 15.9 a | 16.0 a | 16.0 |
| S2 (~6.0 dS m−1) | 179.7 a | 166.9 b | 173.3 | 12.3 b | 13.1 a | 12.7 | 14.8 b | 15.9 b | 15.4 |
| S3 (~9.0 dS m−1) | 124.1 b | 129.6 c | 126.9 | 10.6 c | 9.8 b | 10.2 | 11.0 c | 11.8 c | 11.4 |
| (b) Nutrient recipe | |||||||||
| N1 (control) | 173.0 a | 169.6 a | 171.3 | 12.1 a | 12.7 a | 12.4 | 14.2 a | 14.7 a | 14.5 |
| N2 (N1 + 15% K) | 166.0 a | 176.1 a | 190.1 | 12.2 a | 12.8 a | 12.5 | 14.3 a | 14.8 a | 14.6 |
| N3 (N1 + 15% Ca) | 160.4 b | 153.3 b | 156.9 | 11.6 b | 12.6 a | 12.2 | 13.4 b | 14.9 a | 14.2 |
| N4 (N1 + 15% K + Ca) | 157.0 b | 161.3 b | 159.2 | 11.4 b | 12.1 b | 11.8 | 13.7 b | 13.8 b | 13.8 |
| (c) Grafting | |||||||||
| GR (Grafted) | 179.3 a | 173.9 a | 176.3 | 13.3 a | 13.6 a | 13.5 | 15.1 a | 15.7 a | 15.4 |
| NG (Non-grafted) | 149.1 b | 156.2 b | 152.6 | 10.4 b | 11.6 b | 11.0 | 12.6 b | 13.5 b | 13.1 |
| (d) Tomato cultivars | |||||||||
| Valouro-RZ | 154.8 c | 156.5 c | 155.7 | 11.4 b | 12.1 b | 11.8 | 133.6 b | 138.9 c | 136.3 |
| Ghandowra-F1 | 163.3 b | 165.2 b | 164.3 | 11.8 b | 12.6 a | 12.2 | 138.5 b | 147.1 b | 142.8 |
| Feisty-Red | 176.1 a | 177.8 a | 177.0 | 12.3 a | 13.1 a | 12.7 | 144.5 a | 152.7 a | 148.6 |
| Treatments | Fruit Yield (kg m−2) | WUE (kg m−3) | ||||
|---|---|---|---|---|---|---|
| Season 1 | Season 2 | Mean | Season 1 | Season 2 | Mean | |
| (a) Salinity level | ||||||
| SI (2.5 dS m−1) | 26.4 a | 28.8 a | 27.6 | 30.2 a | 32.3 a | 31.3 |
| S2 (6.0 dS m−1) | 26.3 a | 27.2 a | 26.8 | 29.4 b | 31.4 b | 30.4 |
| S3 (9.0 dS m−1) | 15.2 b | 15.9 b | 15.6 | 16.9 c | 18.4 c | 17.7 |
| (b) Nutrient recipe | ||||||
| N1 (control) | 23.6 a | 24.8 a | 24.2 | 26.3 a | 28.4 a | 27.4 |
| N2 (N1 + 15% K) | 22.7 b | 24.9 a | 23.8 | 25.9 b | 28.0 b | 27.0 |
| N3 (N1 + 15% Ca) | 22.6 c | 23.5 b | 23.1 | 25.9 b | 26.5 c | 26.2 |
| N4 (N1 + 15% K + Ca) | 21.8 d | 22.7 c | 22.3 | 24.9 c | 25.6 c | 25.3 |
| (c) Grafting | ||||||
| GR (Grafted) | 25.2 a | 25.9 a | 25.6 | 28.6 a | 29.4 a | 29.0 |
| NG (Non-grafted) | 21.7 b | 20.5 b | 21.1 | 24.6 b | 23.3 b | 24.0 |
| (d) Tomato cultivars | ||||||
| Valouro-RZ | 23.2 a | 23.9 a | 23.6 | 29.2 a | 30.3 a | 29.8 |
| Ghandowra-F1 | 23.5 a | 23.5 a | 23.5 | 26.5 b | 27.0 b | 26.8 |
| Feisty-Red | 23.7 a | 22.3 b | 23.0 | 24.7 c | 24.8 c | 24.8 |
| Treatments | Chlorophyll (g) | Na+ (%) | Ca2+ (%) | K+ (%) | ||||
|---|---|---|---|---|---|---|---|---|
| 1st Season | 2nd Season | 1st Season | 2nd Season | 1st Season | 2nd Season | 1st Season | 2nd Season | |
| (a) Salinity | ||||||||
| S1 | 56.4 a | 58.1 a | 0.22 a | 0.20 a | 1.71 a | 1.76 a | 3.41 a | 3.53 a |
| S2 | 47.4 b | 48.8 b | 0.16 b | 0.17 b | 1.53 b | 1.52 b | 3.01 b | 3.05 b |
| S3 | 36.2 c | 37.3 c | 0.11 b | 0.14 b | 1.44 c | 1.41 c | 2.69 c | 2.75 c |
| (b) Nutrient recipe | ||||||||
| N1 | 48.1 a | 49.2 a | 0.12 a | 0.18 a | 1.62 a | 1.63 a | 3.35 a | 3.38 a |
| N2 | 47.8 a | 49.2 a | 0.14 a | 0.17 a | 1.53 b | 1.54 b | 3.21 b | 3.22 b |
| N3 | 45.6 a | 46.9 a | 0.17 b | 0.17 a | 1.52 b | 1.42 b | 2.96 b | 3.03 b |
| N4 | 45.5 a | 46.8 a | 0.15 b | 0.16 b | 1.41 c | 1.38 c | 2.62 c | 2.71 c |
| (c) Grafting | ||||||||
| Grafted | 48.7 a | 50.1 a | 0.18 a | 0.17 a | 1.61 a | 1.57 a | 3.93 a | 3.18 a |
| Non-grafted | 41.7 b | 43.2 b | 0.13 b | 0.12 b | 1.46 b | 1.43 b | 3.28 b | 3.04 b |
| (b) Cultivars | ||||||||
| Valouro-RZ | 47.8 a | 49.2 a | 0.14 b | 0.16 a | 1.53 b | 1.52 a | 3.23 a | 3.22 a |
| Ghandowra-F1 | 45.6 a | 46.9 a | 0.17 a | 0.16 a | 1.62 a | 1.61 a | 3.37 a | 3.38 a |
| Feisty-Red | 38.4 b | 39.2 b | 0.12 b | 0.14 b | 1.52 b | 1.42 b | 2.96 b | 3.03 b |
| Parameter | Pr > F | ||||
|---|---|---|---|---|---|
| Yield | WUE | Plant Height | Stem Diameter | Leaf Area | |
| Salinity (S) | <0.0001 | <0.0001 | <0.0001 | <0.0001 | <0.0001 |
| Nutrient (N) | 0.045 | 0.045 | 0.085 | 0.335 | 0.333 |
| Grafting (G) | <0.0001 | <0.0001 | <0.0001 | <0.0001 | <0.0001 |
| S*N | <0.0001 | <0.0001 | 0.040 | 0.031 | 0.001 |
| S*G | 0.163 | 0.163 | 0.168 | 0.504 | 0.086 |
| N*G | 0.705 | 0.705 | 0.595 | 0.260 | 0.462 |
| S*N*G | 0.001 | 0.001 | 0.849 | 0.963 | 0.036 |
| R2 | 0.962 | 0.962 | 0.901 | 0.876 | 0.896 |
| Coeff. Var. | 8.49 | 8.49 | 7.38 | 10.05 | 9.78 |
| RMSE | 1.98 | 2.25 | 16.13 | 1.23 | 1.39 |
| Mean | 23.36 | 26.48 | 218.46 | 12.23 | 14.25 |
| LSD | 1.167 | 1.32 | 9.48 | 0.72 | 0.82 |
| Parameter | Pr > F | ||||
|---|---|---|---|---|---|
| Yield | WUE | Plant Height | Stem Diameter | Leaf Area | |
| Salinity (S) | <0.0001 | <0.0001 | <0.0001 | <0.0001 | <0.0001 |
| Nutrient (N) | 0.045 | 0.045 | 0.085 | 0.335 | 0.333 |
| Grafting (G) | <0.0001 | <0.0001 | <0.0001 | <0.0001 | <0.0001 |
| S*N | <0.0001 | <0.0001 | 0.040 | 0.031 | 0.001 |
| S*G | 0.158 | 0.159 | 0.166 | 0.507 | 0.088 |
| N*G | 0.706 | 0.708 | 0.597 | 0.264 | 0.467 |
| S*N*G | 0.001 | 0.001 | 0.849 | 0.963 | 0.036 |
| R2 | 0.964 | 0.961 | 0.899 | 0.871 | 0.892 |
| Coeff. Var. | 8.51 | 8.52 | 7.41 | 10.06 | 9.79 |
| RMSE | 1.914 | 2.248 | 16.129 | 1.228 | 1.392 |
| Mean | 23.38 | 26.44 | 218.44 | 12.28 | 14.23 |
| LSD | 1.190 | 1.332 | 10.48 | 0.76 | 0.84 |
| Season 1 | Season 2 | ||||||||||
|---|---|---|---|---|---|---|---|---|---|---|---|
| Exp. Treatments | Plant Height (cm) | Stem Dia. (mm) | Leaf Area (m2 plant −1) | Yield (t ha−1) | WUE (kg m−3) | Plant Height (cm) | Stem Dia. (mm) | Leaf Area (m2 plant−1) | Yield (t ha−1) | WUE (kg m−3) | |
| S1 | GF | 203.6 a | 14.8 a | 17.3 a | 291.5 a | 33.5 a | 207.5 a | 14.8 a | 17.3 a | 291.2 a | 31.9 a |
| NG | 173.5 bc | 14.6 c | 15.4 c | 237.6 b | 31.2 c | 173.5 b | 13.1 b | 16.1 c | 239.7 b | 32.5 a | |
| S2 | GF | 195.6 ab | 14.2 b | 16.6 b | 293.4 a | 32.5 b | 167.8 b | 13.0 b | 16.9 b | 285.5 a | 31.4 b |
| NG | 163.8 c | 13.6 cd | 12.9 d | 230.6 b | 24.7 d | 163.8 c | 11.8 c | 13.3 c | 225.1 c | 24.5 c | |
| S3 | GF | 138.6 d | 13.4 d | 12.3 e | 170.7 c | 19.4 e | 146.3 d | 11.3 c | 12.5 e | 173.1 d | 19.8 d |
| NG | 109.7 e | 12.9 e | 9.5 f | 130.2 d | 14.7 f | 109.7 e | 8.9 d | 9.9 f | 125.6 e | 14.2 e | |
| S1 | N1 | 210.6 a | 14.6 a | 16.8 ab | 299.3 a | 34.7 a | 196.1 a | 16.2 a | 16.4 bc | 314.9 a | 34.9 a |
| N2 | 174.8 bcd | 14.9 a | 17.0 a | 255.4 cd | 33.1 b | 223.4 a | 15.5 a | 18.3 a | 259.7 cd | 32.0 b | |
| N3 | 176.9 cde | 14.7 a | 15.5 cd | 247.4 de | 31.8 c | 179.3 b | 13.2 bc | 15.4 d | 240.6 ef | 30.9 c | |
| N4 | 191.9 ab | 13.0 a | 16.1 bc | 256.0 cd | 32.5 bc | 195.8 a | 13.8 b | 16.8 b | 246.7 e | 31.2 bc | |
| S2 | N1 | 170.7 de | 14.6 a | 14.9 d | 266.4 c | 28.6 d | 172.7 b | 12.1 c | 16.0 cd | 267.8 bc | 29.1 d |
| N2 | 197.2 abc | 14.8 a | 15.4 cd | 282.6 b | 28.5 d | 172.4 a | 12.7 bc | 15.4 d | 276.7 b | 29.3 d | |
| N3 | 188.9 bcd | 14.7 a | 15.3 cd | 265.7 c | 28.1 d | 157.6 c | 12.6 c | 15.2 d | 251.3 de | 27.3 e | |
| N4 | 162.0 e | 11.3 a | 13.5 e | 233.6 e | 26.6 e | 164.7 c | 12.3 c | 13.8 e | 225.4 f | 26.0 f | |
| S3 | N1 | 137.7 f | 13.9 a | 11.4 f | 155.7 f | 17.7 f | 139.9 cd | 10.5 d | 11.6 f | 154.2 g | 17.5 g |
| N2 | 126.2 fg | 13.7 a | 11.2 fg | 152.8 f | 17.3 f | 132.4 d | 10.3 de | 11.4 f | 151.4 g | 17.2 gh | |
| N3 | 115.4 g | 13.6 a | 11.6 fg | 148.9 f | 17.1 fg | 123.0 d | 9.7 e | 11.0 f | 147.2 g | 17.0 gh | |
| N4 | 117.2 g | 10.4 a | 10.5 g | 144.5 f | 16.4 g | 123.3 d | 9.8 de | 10.9 f | 144.6 g | 16.4 h | |
| GF | N1 | 188.2 a | 14.6 ab | 15.8 a | 269.1 a | 28.9 a | 172.9 a | 14.1 a | 15.6 b | 270.0 a | 29.5 a |
| N2 | 180.1 ab | 15.2 a | 16.1 a | 254.5 b | 27.9 b | 179.5 a | 13.7 a | 16.4 a | 256.1 b | 28.1 b | |
| N3 | 174.7 b | 14.4 ab | 14.9 b | 247.2 b | 27.3 bc | 158.8 c | 12.8 b | 15.3 b | 240.0 c | 26.8 c | |
| N4 | 174.0 b | 11.7 b | 14.8 b | 236.8 c | 26.9 c | 178.8 ab | 13.5 a | 15.1 b | 233.6 c | 26.4 c | |
| NG | N1 | 157.8 c | 14.6 c | 13.0 c | 211.8 d | 25.1 d | 159.7 c | 11.7 c | 13.7 c | 221.3 d | 24.9 d |
| N2 | 152.0 cd | 14.4 cd | 12.9 c | 206.1 d | 24.8 d | 172.6 bc | 12.0 c | 13.6 c | 202.4 e | 24.2 d | |
| N3 | 146.1 de | 14.0 de | 12.7 c | 194.2 e | 24.0 e | 147.8 d | 10.9 d | 12.6 d | 186.1 f | 23.3 e | |
| N4 | 140.0 e | 11.6 e | 11.9 d | 185.9 f | 23.4 e | 144.8 d | 10.4 d | 12.4 d | 177.5 g | 22.7 e | |
| Source | Season 1 | Season 2 | |||||||
|---|---|---|---|---|---|---|---|---|---|
| Chlorophyll | Ca2+ | K+ | Na+ | Chlorophyll | Ca2+ | K+ | Na+ | ||
| Pr > F | Salinity (S) | <0.0001 | <0.0001 | <0.0001 | <0.0001 | <0.0001 | <0.0001 | <0.0001 | <0.0001 |
| Nutrient (N) | <0.0001 | 0.0336 | 0.0014 | 0.0008 | <0.0001 | 0.0394 | 0.0141 | 0.0008 | |
| Graft (G) | 0.36063 | 0.71442 | 0.79227 | 0.77292 | 0.3446 | 0.6826 | 0.757 | 0.7385 | |
| S*N | <0.0001 | <0.0001 | <0.0001 | <0.0001 | <0.0001 | 0.0394 | 0.0141 | 0.0008 | |
| S*G | 0.10926 | 0.43533 | 0.26676 | 0.2817 | 0.1044 | 0.4159 | 0.2549 | 0.2692 | |
| N*G | 0.00009 | 0.00729 | 0.00333 | 0.00279 | 0.0008 | 0.0069 | 0.0031 | 0.0027 | |
| S*N*G | 0.17847 | 0.33777 | 0.459 | 0.38961 | 0.1705 | 0.3227 | 0.4386 | 0.3722 | |
| LSD0.05 | 0.00252 | 0.01476 | 0.0105 | 0.00918 | 0.0028 | 0.0164 | 0.0117 | 0.0102 | |
| F1 | F2 | F3 | F4 | |
|---|---|---|---|---|
| Eigenvalue | 5.485 | 1.056 | 1.004 | 0.199 |
| Variability (%) | 68.562 | 13.201 | 12.555 | 2.493 |
| Cumulative % | 68.562 | 81.763 | 94.318 | 96.810 |
| Salinity | 0.726 | 0.219 | 0.007 | 0.001 |
| Nutrient | 0.029 | 0.025 | 0.943 | 0.000 |
| Grafting | 0.183 | 0.751 | 0.049 | 0.003 |
| Plant height | 0.925 | 0.001 | 0.000 | 0.035 |
| Stem diameter | 0.885 | 0.018 | 0.001 | 0.082 |
| Leaf area | 0.926 | 0.003 | 0.001 | 0.017 |
| Yield | 0.909 | 0.002 | 0.003 | 0.018 |
| WUE | 0.901 | 0.037 | 0.000 | 0.044 |
Disclaimer/Publisher’s Note: The statements, opinions and data contained in all publications are solely those of the individual author(s) and contributor(s) and not of MDPI and/or the editor(s). MDPI and/or the editor(s) disclaim responsibility for any injury to people or property resulting from any ideas, methods, instructions or products referred to in the content. |
© 2023 by the authors. Licensee MDPI, Basel, Switzerland. This article is an open access article distributed under the terms and conditions of the Creative Commons Attribution (CC BY) license (https://creativecommons.org/licenses/by/4.0/).
Share and Cite
Madugundu, R.; Al-Gaadi, K.A.; Tola, E.; Patil, V.C.; Sigrimis, N. The Impact of Salinity and Nutrient Regimes on the Agro-Morphological Traits and Water Use Efficiency of Tomato under Hydroponic Conditions. Appl. Sci. 2023, 13, 9564. https://doi.org/10.3390/app13179564
Madugundu R, Al-Gaadi KA, Tola E, Patil VC, Sigrimis N. The Impact of Salinity and Nutrient Regimes on the Agro-Morphological Traits and Water Use Efficiency of Tomato under Hydroponic Conditions. Applied Sciences. 2023; 13(17):9564. https://doi.org/10.3390/app13179564
Chicago/Turabian StyleMadugundu, Rangaswamy, Khalid A. Al-Gaadi, ElKamil Tola, Virupakshagouda C. Patil, and Nick Sigrimis. 2023. "The Impact of Salinity and Nutrient Regimes on the Agro-Morphological Traits and Water Use Efficiency of Tomato under Hydroponic Conditions" Applied Sciences 13, no. 17: 9564. https://doi.org/10.3390/app13179564
APA StyleMadugundu, R., Al-Gaadi, K. A., Tola, E., Patil, V. C., & Sigrimis, N. (2023). The Impact of Salinity and Nutrient Regimes on the Agro-Morphological Traits and Water Use Efficiency of Tomato under Hydroponic Conditions. Applied Sciences, 13(17), 9564. https://doi.org/10.3390/app13179564

