Solving Load Balancing Problems in Routing and Limiting Traffic at the Network Edge
Abstract
:1. Introduction
2. Related Research Analysis
3. Basic Model of Traffic Engineering Routing and Limiting
4. Optimality Criteria for Load Balancing Problem Solutions
5. Numerical Research
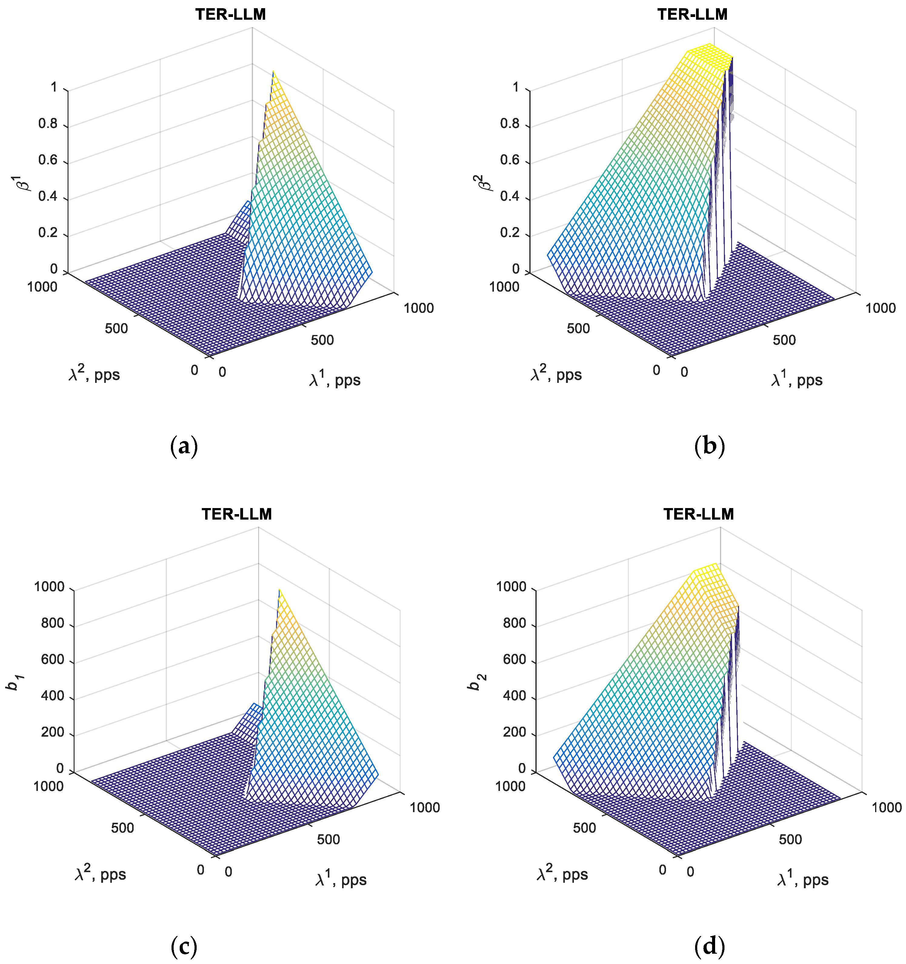
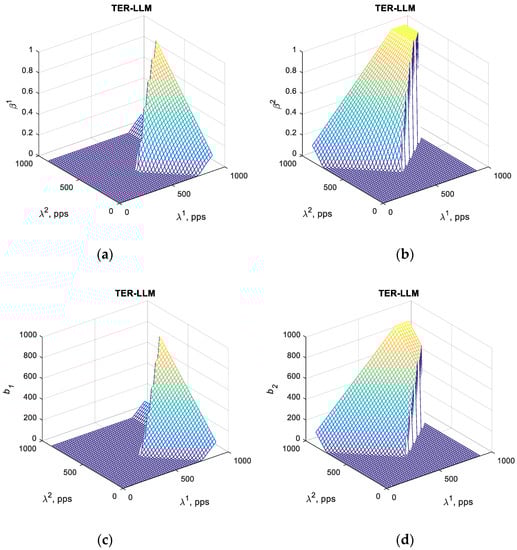
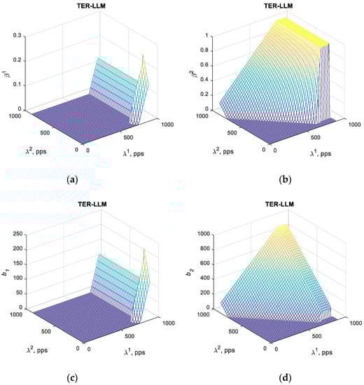
5.1. Investigation of the TER-LLM and TER-TEL Models
5.2. Investigation of the OSPF-TS Model
6. Discussion
7. Conclusions
Author Contributions
Funding
Data Availability Statement
Conflicts of Interest
Abbreviations
| DiffServ | Differentiated Services |
| FHRP | First Hop Redundancy Protocol |
| FRR | Fast ReRouting |
| IoT | Internet of Things |
| IP | Internet Protocol |
| IS-IS | Intermediate System to Intermediate System |
| LFA | Loop-Free Alternate |
| MPLS | Multiprotocol Label Switching |
| OSPF | Open Shortest Path First |
| QoS | Quality of Service |
| RSVP | Resource Reservation Protocol |
| SDN | Software-Defined Network |
| TE | Traffic Engineering |
| TER-LLM | Traffic Engineering Routing, Linear Limitation Model |
| TER-TEL | Traffic Engineering Routing, Traffic Engineering Limitation |
| TS | Traffic Shaping |
References
- Medhi, D.; Ramasamy, K. Network Routing: Algorithms, Protocols, and Architectures; Morgan Kaufmann: San Francisco, CA, USA, 2017. [Google Scholar]
- Monge, A.S.; Szarkowicz, K.G. MPLS in the SDN Era: Interoperable Scenarios to Make Networks Scale to New Services; O’Reilly Media, Inc.: Sebastopol, CA, USA, 2015. [Google Scholar]
- Bhardwaj, S.; Girdhar, A. Software-Defined Networking: A Traffic Engineering Approach. In Proceedings of the 2021 IEEE 8th Uttar Pradesh Section International Conference on Electrical, Electronics and Computer Engineering (UPCON), Dehradun, India, 11–13 November 2021; pp. 1–5. [Google Scholar] [CrossRef]
- Kim, G.T.; Lee, J.; Kant, L.; Poylisher, A. Utility-Driven Traffic Engineering via Joint Routing and Rate Control for 802.11 MANETs. In Proceedings of the 2021 International Conference on COMmunication Systems & NETworkS (COMSNETS), Bangalore, India, 5–9 January 2021; pp. 317–325. [Google Scholar] [CrossRef]
- Chiang, S.H.; Wang, C.H.; Yang, D.N.; Liao, W.; Chen, W.T. Distributed Multicast Traffic Engineering for Multi-Domain Software-Defined Networks. IEEE Trans. Parallel Distrib. Syst. 2022, 34, 446–462. [Google Scholar] [CrossRef]
- Zhang, Z.; Min, X.; Chen, Y. An Adaptive Control Scheme for Data-Driven Traffic Migration Engineering on 5G Network. Symmetry 2022, 14, 1105. [Google Scholar] [CrossRef]
- Semong, T.; Maupong, T.; Anokye, S.; Kehulakae, K.; Dimakatso, S.; Boipelo, G.; Sarefo, S. Intelligent Load Balancing Techniques in Software Defined Networks: A Survey. Electronics 2020, 9, 1091. [Google Scholar] [CrossRef]
- Ibrar, M.; Wang, L.; Shah, N.; Rottenstreich, O.; Muntean, G.M.; Akbar, A. Reliability-aware flow distribution algorithm in SDN-enabled fog computing for smart cities. IEEE Trans. Veh. Technol. 2023, 72, 573–588. [Google Scholar] [CrossRef]
- Shahrbabaki, P.P.; Coutinho, R.W.; Shayan, Y.R. A Novel SDN-enabled Edge Computing Load Balancing Scheme for IoT Video Analytics. In Proceedings of the GLOBECOM 2022-2022 IEEE Global Communications Conference, Rio de Janeiro, Brazil, 4–8 December 2022; pp. 5025–5030. [Google Scholar] [CrossRef]
- Kelkawi, A.; Mohammed, A.; Alyatama, A. Incremental deployment of hybrid IP/SDN network with optimized traffic engineering. In Proceedings of the 2020 IEEE Conference on Network Function Virtualization and Software Defined Networks (NFV-SDN), Leganes, Spain, 10–12 November 2020; pp. 57–63. [Google Scholar] [CrossRef]
- Wang, X.; Deng, Q.; Ren, J.; Malboubi, M.; Wang, S.; Xu, S.; Chuah, C.N. The joint optimization of online traffic matrix measurement and traffic engineering for software-defined networks. IEEE/ACM Trans. Netw. 2019, 28, 234–247. [Google Scholar] [CrossRef]
- Ren, C.; Bai, S.; Wang, Y.; Li, Y. Achieving near-optimal traffic engineering using a distributed algorithm in hybrid SDN. IEEE Access 2020, 8, 29111–29124. [Google Scholar] [CrossRef]
- Albowarab, M.H.; Zakaria, N.A.; Zainal Abidin, Z. Directionally-Enhanced Binary Multi-Objective Particle Swarm Optimisation for Load Balancing in Software Defined Networks. Sensors 2021, 21, 3356. [Google Scholar] [CrossRef] [PubMed]
- Xue, H.; Kim, K.T.; Youn, H.Y. Dynamic Load Balancing of Software-Defined Networking Based on Genetic-Ant Colony Optimization. Sensors 2019, 19, 311. [Google Scholar] [CrossRef] [PubMed]
- Ibrahim, A.A.; Hashim, F.; Sali, A.; Noordin, N.K.; Fadul, S.M. A Multi-Objective Routing Mechanism for Energy Management Optimization in SDN Multi-Control Architecture. IEEE Access 2022, 10, 20312–20327. [Google Scholar] [CrossRef]
- Charalampou, P.; Sykas, E.D. An SDN Focused Approach for Energy Aware Traffic Engineering in Data Centers. Sensors 2019, 19, 3980. [Google Scholar] [CrossRef]
- Ashraf, T.; Lee, S.S.W.; Iqbal, M.; Pan, J.-Y. Routing Path Assignment for Joint Load Balancing and Fast Failure Recovery in IP Network. Appl. Sci. 2021, 11, 10504. [Google Scholar] [CrossRef]
- Babbar, H.; Rani, S.; Gupta, D.; Aljahdali, H.M.; Singh, A.; Al-Turjman, F. Load Balancing Algorithm on the Immense Scale of Internet of Things in SDN for Smart Cities. Sustainability 2021, 13, 9587. [Google Scholar] [CrossRef]
- Chen, W.; Zhu, Y.; Liu, J.; Chen, Y. Enhancing Mobile Edge Computing with Efficient Load Balancing Using Load Estimation in Ultra-Dense Network. Sensors 2021, 21, 3135. [Google Scholar] [CrossRef]
- Zhang, Z.; Duan, A. An Adaptive Data Traffic Control Scheme with Load Balancing in a Wireless Network. Symmetry 2022, 14, 2164. [Google Scholar] [CrossRef]
- Lemeshko, O.; Yeremenko, O.; Hailan, A.M.; Yevdokymenko, M.; Shapovalova, A. Policing based traffic engineering fast reroute in SD-WAN architectures: Approach development and investigation. In New Trends in Information and Communications Technology Applications, Proceedings of the 4th International Conference, NTICT 2020, Baghdad, Iraq, 15 June 2020; Proceedings 4, Communications in Computer and Information Science; Springer: Cham, Switzerland, 2020; Volume 1183, pp. 29–43. [Google Scholar] [CrossRef]
- Lemeshko, O.; Yevdokymenko, M.; Yeremenko, O.; Shapovalova, A. Investigation of Load-Balancing Fast ReRouting Model with Providing Fair Priority-Based Traffic Policing. In Advances in Computer Science for Engineering and Education III; Advances in Intelligent Systems and Computing; Springer: Cham, Switzerland, 2021; Volume 1247, pp. 108–119. [Google Scholar] [CrossRef]
- Cui, X.; Huang, X.; Ma, Y.; Meng, Q. A Load Balancing Routing Mechanism Based on SDWSN in Smart City. Electronics 2019, 8, 273. [Google Scholar] [CrossRef]
- Rehman, A.; Haseeb, K.; Saba, T.; Lloret, J.; Sendra, S. An Optimization Model with Network Edges for Multimedia Sensors Using Artificial Intelligence of Things. Sensors 2021, 21, 7103. [Google Scholar] [CrossRef] [PubMed]
- Chen, B.; Sun, P.; Zhang, P.; Lan, J.; Bu, Y.; Shen, J. Traffic engineering based on deep reinforcement learning in hybrid IP/SR network. China Commun. 2021, 18, 204–213. [Google Scholar] [CrossRef]
- Yeo, S.; Naing, Y.; Kim, T.; Oh, S. Achieving Balanced Load Distribution with Reinforcement Learning-Based Switch Migration in Distributed SDN Controllers. Electronics 2021, 10, 162. [Google Scholar] [CrossRef]
- Shi, Y.; Yang, Q.; Huang, X.; Li, D.; Huang, X. An SDN-Enabled Framework for a Load-Balanced and QoS-Aware Internet of Underwater Things. IEEE Internet Things J. 2022, 10, 7824–7834. [Google Scholar] [CrossRef]
- Singh, J.; Singh, P.; Amhoud, E.M.; Hedabou, M. Energy-Efficient and Secure Load Balancing Technique for SDN-Enabled Fog Computing. Sustainability 2022, 14, 12951. [Google Scholar] [CrossRef]
- Nichols, K.; Blake, S.; Baker, F.; Black, D. RFC2474: Definition of the Differentiated Services Field (DS Field) in the IPv4 and IPv6 Headers. 1998. Available online: https://www.rfc-editor.org/rfc/rfc2474 (accessed on 2 December 2022).
- Ahmed, B.A.; Abdullah, N.S.; Rohani, M.F.; Waseem, S. Fractional Political Optimizer-Based Switch Migration in Software-Defined WAN for Load Balancing with Deep Q Network. Cybern. Syst. 2022, 1–27. [Google Scholar] [CrossRef]
- Lemeshko, O.; Papan, J.; Yeremenko, O.; Yevdokymenko, M.; Segec, P. Research and Development of Delay-Sensitive Routing Tensor Model in IoT Core Networks. Sensors 2021, 21, 3934. [Google Scholar] [CrossRef] [PubMed]












| Ref. | Contribution | Underlying Approach | Field of Application |
|---|---|---|---|
| [10] | Legacy networking devices’ gradual deployment to SDN switches, using traffic engineering measures such as minimizing the highest link utilization. Doing so can identify the most appropriate devices to migrate first, thereby determining an optimal deployment sequence | Optimization | Hybrid IP/SDN |
| [11] | Simultaneous optimization of both traffic matrix measurement (TMM) and traffic engineering (TE) while considering the constraints posed by TCAM capacity and flow aggregation, enabling a substantial improvement in TMM accuracy and TE effectiveness | Optimization | SDN |
| [12] | Development of traffic engineering-aware distributed routing (TEDR) algorithm, which maximizes link utilization comparable to full SDN considering TCAM resource limitation | Optimization | Hybrid SDN |
| [13] | Joint mathematical formulation to solve load balancing challenges in cloud computing; two multi-objective particle swarm optimization (MP) models: distance angle multi-objective particle swarm optimization (DAMP) and angle multi-objective particle swarm optimization (AMP); incorporation of meta-heuristic in the cloud networks management layer | Optimization | SDN, Cloud Computing |
| [14] | Dynamic load balancing (LB) scheme integrating genetic algorithm (GA) and ant colony optimization (ACO); fast global search of GA and efficient search of an optimal solution of ACO are achieved; improvement of the round robin and ACO algorithm with optimal path search rate, round trip time, and packet loss rate | Optimization | SDN |
| [15] | Development and implementation of the energy-aware routing multi-level and mapping problem (EARMLP) algorithm to minimize the overall power consumption; optimal routing strategy that considers system configuration and traffic demand between the data and control planes; establishment of the controller placement problem (CPP) to select the optimal locations and controller numbers | Optimization | SDN-based core networks |
| [16] | Mixed integer programming algorithm designed to optimize the network devices’ power consumption utilizing energy-aware traffic engineering | Optimization | SDN Data Centers |
| [17] | Load-balanced and fast failure recovery solution to provision routing paths so a Fibbing network can apply loop-free alternate (LFA) in the network in a case of a single node or single link failure | Optimization | SDN |
| [18] | Multiple distributed controller load balancing (MDCLB) algorithm on an immense-scale SDN-IoT for smart cities | Optimization | IoT, SDN, Smart City |
| [19] | Task allocation in the mobile edge computing (MEC) scenario of ultra-dense network based on routing between MEC servers; load balancing algorithm based on load estimation by user load prediction | Optimization, Genetic Algorithm | SDN, Edge Computing |
| [20] | Joint optimization algorithm for enhancing the performance and traffic load balancing of the wireless network; the objectives are data transmission latency, the energy consumption of wireless microbase stations, and links’ throughput | Optimization, Heuristic Scheme | Wireless Network |
| [21] | Traffic Engineering Fast ReRoute with support of Traffic Policing (TE-FRR-TP); optimality criterion focuses on minimizing the dynamically controlled upper bound of links utilization and the intensity of flows that receive a denial of service at the network edge weighted with the priority of serving | Optimization | SD-WAN |
| [23] | Load balancing mechanism based on SDWSN (Software-Defined Wireless Sensor Network); load-balanced routing improvement based on Elman neural network—SDSNLB (Software-Defined Sensor Network Load Balancing) routing algorithm | Optimization, Elman neural network | SDWSN, Smart City |
| [24] | Optimization model with mobile edges for multimedia sensors using artificial intelligence of things (AIoT), which aims to maintain real-time data collection with low resource consumption | Optimization, AI | SDN, AIoT, MIoT |
| [25] | Development of the deep reinforcement learning (DRL)-based TE scheme of multipath transmission to dynamically adjust the traffic splitting ratio among different paths based on the network traffic distribution in IP and segment routing (SR) hybrid network | Deep Reinforcement Learning | Hybrid IP/SR network |
| [26] | Proposal of a reinforcement learning (RL) based switch and controller selection scheme for switch migration, switch-aware RL load balancing (SAR-LB) under the utilization ratio of various resource types in controllers and switches as the inputs of the neural network | Reinforcement Learning | SDN |
| [27] | QoS-aware adaptive routing protocol (SQAR) based on reinforcement learning, which can intelligently select routes to satisfy the QoS requirements of multiple Internet of Underwater Things (IoUT) services | Reinforcement Learning | IoUT |
| [28] | Development of secure and energy-aware fog computing architecture; load balancing technique improving the complete resources utilization in SDN-based fog environment; implementation of deep belief network (DBN)-based intrusion detection method reducing workload communication delays in the fog layer | Heuristic algorithms | SDN, IoT, Fog Computing |
| Symbol | Meaning |
|---|---|
| Network structure graph | |
| Set of vertices (routers) | |
| Set of edges (network links) | |
| Number of links | |
| Number of nodes | |
| Set of packet flows in the network | |
| Source node of the th packet flow () | |
| Destination node of the th packet flow () | |
| Average packet intensity of the th flow (packets per second, pps) | |
| Link bandwidth (packets per second, pps) between the th and th nodes () | |
| Proportion of the th flow intensity that receives a denial of service when using the multipath | |
| th flow intensity, with which packets will be limited on the border router | |
| Upper bound of the network links utilization | |
| Threshold of the network links utilization upper bound | |
| Weighting coefficient responsible for the packet flows limitation at the network edge | |
| Weighting coefficient responsible for the load balancing in the network | |
| th packet flow priority | |
| Threshold for flow rate limiting that enters the network via border routers | |
| Weighting coefficient (), which determines how many times the threshold is more important than the utilization upper bound |
| Flow Intensity | TER-LLM | ||||
|---|---|---|---|---|---|
| λ1 | λ2 | β1 | b1 | β2 | b2 |
| 50 | 850 | 0 | 0 | 0.153 | 130.05 |
| 850 | 50 | 0.153 | 130.05 | 0 | 0 |
| 450 | 450 | 0 | 0 | 0.29 | 130.5 |
| 900 | 900 | 0.14 | 130 | 1 | 900 |
| Flow Intensity | TER-TEL | ||||
|---|---|---|---|---|---|
| λ1 | λ2 | β1 | b1 | β2 | b2 |
| 50 | 850 | 0.074 | 3.7 | 0.149 | 126.35 |
| 850 | 50 | 0.137 | 116.4 | 0.274 | 13.65 |
| 450 | 450 | 0.096 | 43.2 | 0.19 | 85.5 |
| 900 | 900 | 0.38 | 344 | 0.76 | 686 |
| Flow Intensity | OSPF-TS | ||||
|---|---|---|---|---|---|
| λ1 | λ2 | β1 | b1 | β2 | b2 |
| 50 | 850 | 0.1444 | 7222 | 0.1444 | 122,778 |
| 850 | 50 | 0.1444 | 122,778 | 0.1444 | 7222 |
| 450 | 450 | 0.1444 | 65 | 0.1444 | 65 |
| 900 | 900 | 0.5722 | 515 | 0.5722 | 515 |
Disclaimer/Publisher’s Note: The statements, opinions and data contained in all publications are solely those of the individual author(s) and contributor(s) and not of MDPI and/or the editor(s). MDPI and/or the editor(s) disclaim responsibility for any injury to people or property resulting from any ideas, methods, instructions or products referred to in the content. |
© 2023 by the authors. Licensee MDPI, Basel, Switzerland. This article is an open access article distributed under the terms and conditions of the Creative Commons Attribution (CC BY) license (https://creativecommons.org/licenses/by/4.0/).
Share and Cite
Barkalov, A.; Lemeshko, O.; Yeremenko, O.; Titarenko, L.; Yevdokymenko, M. Solving Load Balancing Problems in Routing and Limiting Traffic at the Network Edge. Appl. Sci. 2023, 13, 9489. https://doi.org/10.3390/app13179489
Barkalov A, Lemeshko O, Yeremenko O, Titarenko L, Yevdokymenko M. Solving Load Balancing Problems in Routing and Limiting Traffic at the Network Edge. Applied Sciences. 2023; 13(17):9489. https://doi.org/10.3390/app13179489
Chicago/Turabian StyleBarkalov, Alexander, Oleksandr Lemeshko, Oleksandra Yeremenko, Larysa Titarenko, and Maryna Yevdokymenko. 2023. "Solving Load Balancing Problems in Routing and Limiting Traffic at the Network Edge" Applied Sciences 13, no. 17: 9489. https://doi.org/10.3390/app13179489
APA StyleBarkalov, A., Lemeshko, O., Yeremenko, O., Titarenko, L., & Yevdokymenko, M. (2023). Solving Load Balancing Problems in Routing and Limiting Traffic at the Network Edge. Applied Sciences, 13(17), 9489. https://doi.org/10.3390/app13179489

