Combined Effects of Different LED Light Recipes and Slow-Release Fertilizers on Baby Leaf Lettuce Growth for Vertical Farming: Modeling through DoE
Abstract
1. Introduction
2. Materials and Methods
2.1. Test Materials and Growth Conditions
2.2. Lighting Conditions and Lighting Recipes
2.3. Experimental Plan of the Growth Tests
2.4. Characterization of Lettuce Plants
2.5. Statistical Analysis
3. Results and Discussion
- -
- Regarding lighting, this study highlighted the following benefits: the suitability of the two light recipes for the growth of lettuce and the possibility of reducing the plant canopy–LED distance, reducing the volume needed for every single plant. The high scalability of the system can facilitate the creation of bigger facilities. One of the main limiting factors in the expansion of VF concerning the use of traditional artificial light sources (e.g., HPS lamps) is that they have high costs, high energy consumption, limited lifetime and, more importantly, a fixed light spectrum (e.g., HPS lamps). All these limits are overcome by using LEDs. First, LEDs allow the obtaining of fully customizable light recipes in terms of an adjustable light spectrum and irradiance depending on both the type of plant we want to grow and the specific phase of the growth cycle. Second, they have a power consumption that is at least 50% lower than HPS lamps for a given irradiance and a lifetime that is at least three times higher with a cost that has been constantly decreasing in recent years with a confirmed trend for the next year. Of course, less power consumption to guarantee a given level of irradiance means less need for energy and, consequently, using LEDs in VF has a significant benefit in terms of sustainability and CO2 footprint. Moreover, VF with LEDs allows the increase of the product yield per square meter of soil because it allows the exploitation of multi-plant systems. The lower space needed for the VF system also allows it to be placed in urban scenarios with lower costs. The placement of big VFs close to (or even in) urban centers means that logistics costs are also drastically reduced and, once again, this is beneficial for the environment because both the number and operation time of vehicles producing high emissions (in primis, tractors and trucks) are reduced. In addition, reduced logistics costs theoretically allow a lower final price for the product paid by the consumer.
- -
- Regarding nutrient delivery and irrigation systems, the use of a substrate culture system based on perlite and peat, coupled with the slow-release fertilizers, solves the problem of nutrients delivery, leaving only the need for irrigation. The use of irrigation systems in VF allows for water consumption that is almost 10% of that of open field agriculture REF. A further benefit of this system is that no pest control systems are needed, and no pest problems were noticed during the growth experiments performed in this study. Greater VF systems will probably need some pest monitoring systems but the use of pesticides is usually near to zero.
- -
- Regarding climate control systems, the reduction of volume required for the growth of every lettuce plant when using LED instead of HPS lamps reduces the total volume of space that needs to be air conditioned.
4. Conclusions
- -
- Among the fourteen properties considered as response variables, five produced statistically validated results. Three of them are morphologic properties, namely FW, LA, and Height of plants. Two of them are chemical properties, namely C and RS.
- -
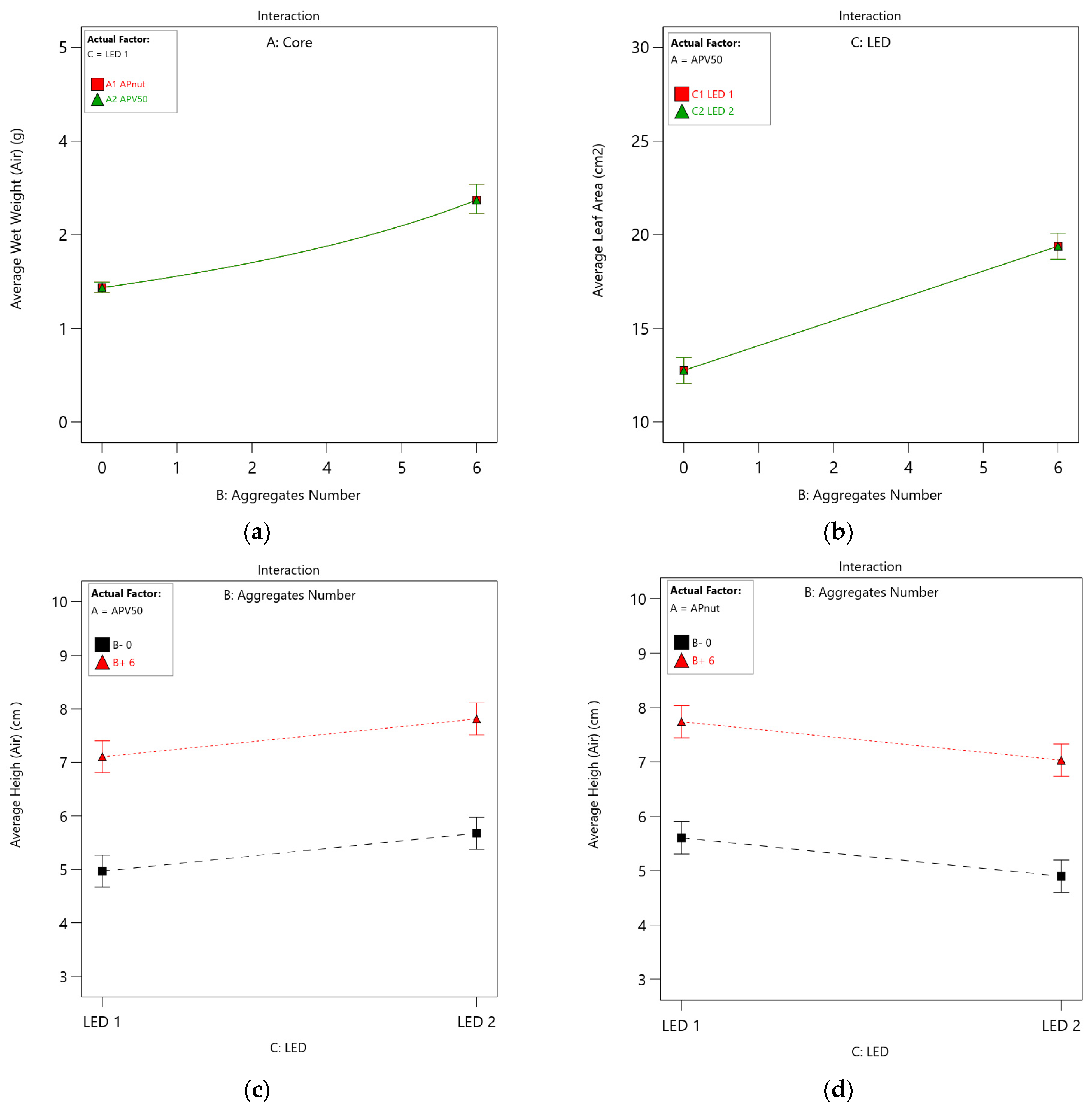
- The quantity of fertilizer, expressed as number of aggregates and considered in three levels (zero, three, and six aggregates) is the factor that has a greater effect on lettuce growth. Use of the highest fertilizer input guarantees an increase in fresh weight (FW) of lettuce equal to 65% and an increase in average leaf area (LA) equal to 46%.
- -
- The combined effect of both the fertilizer type and quantity with the light recipes leads to an increase in plant height (Height) equal to 33%. This value is reached using the highest amount of fertilizer and two different combinations of fertilizer type and light recipe.
- -
- The two chemical properties of lettuce, namely organic carbon content (C) and solid residue at 105 °C (SR), depend on the amount of fertilizer and on the light recipe used. C and SR show almost constant values of 3.7% and 7.9%, respectively, when the LED-2 light recipe is used, independently from the amount of fertilizer used. However, when the LED-1 light recipe is applied, C decreases from 4.5% to 2.8% with increasing amounts of fertilizer. SR shows the same behavior, decreasing from 9.5% to 6.8%. This could be because the LED-2 light recipe may allow the better exploitation of nutrients contained in the fertilizer.
- -
- In the future, the use of higher quantities of fertilizer could be investigated to verify additional growth benefits or the existence of a threshold beyond which there are no further effects or negative effects, e.g., phytotoxicity for seedlings. The use of more fertilizer could also lead to the use of the same growth substrate in two subsequent growth cycles, to maximize its exploitation.
Author Contributions
Funding
Institutional Review Board Statement
Informed Consent Statement
Data Availability Statement
Acknowledgments
Conflicts of Interest
References
- Cicciù, B.; Schramm, F.; Schramm, V.B. Multi-Criteria Decision Making/Aid Methods for Assessing Agricultural Sustainability: A Literature Review. Environ. Sci. Policy 2022, 138, 85–96. [Google Scholar] [CrossRef]
- Kalantari, F.; Tahir, O.M.; Joni, R.A.; Fatemi, E. Opportunities and Challenges in Sustainability of Vertical Farming: A Review. J. Landsc. Ecol. Repub. 2018, 11, 35–60. [Google Scholar] [CrossRef]
- Weidner, T.; Yang, A.; Hamm, M.W. Consolidating the Current Knowledge on Urban Agriculture in Productive Urban Food Systems: Learnings, Gaps and Outlook. J. Clean. Prod. 2019, 209, 1637–1655. [Google Scholar] [CrossRef]
- Despommier, D. Farming up the City: The Rise of Urban Vertical Farms. Trends Biotechnol. 2013, 31, 388–389. [Google Scholar] [CrossRef] [PubMed]
- Rufí-Salís, M.; Calvo, M.J.; Petit-Boix, A.; Villalba, G.; Gabarrell, X. Exploring Nutrient Recovery from Hydroponics in Urban Agriculture: An Environmental Assessment. Resour. Conserv. Recycl. 2020, 155, 104683. [Google Scholar] [CrossRef]
- Banerjee, C.; Adenaeuer, L. Up, Up and Away! The Economics of Vertical Farming. J. Agric. Stud. 2014, 2, 40. [Google Scholar] [CrossRef]
- Wong, C.E.; Teo, Z.W.N.; Shen, L.; Yu, H. Seeing the Lights for Leafy Greens in Indoor Vertical Farming. Trends Food Sci. Technol. 2020, 106, 48–63. [Google Scholar] [CrossRef]
- Shao, Y.; Li, J.; Zhou, Z.; Hu, Z.; Zhang, F.; Cui, Y.; Chen, H. The Effects of Vertical Farming on Indoor Carbon Dioxide Concentration and Fresh Air Energy Consumption in Office Buildings. Build. Environ. 2021, 195, 107766. [Google Scholar] [CrossRef]
- Santini, A.; Bartolini, E.; Schneider, M.; Greco de Lemos, V. The Crop Growth Planning Problem in Vertical Farming. Eur. J. Oper. Res. 2021, 294, 377–390. [Google Scholar] [CrossRef]
- Ares, G.; Ha, B.; Jaeger, S.R. Consumer Attitudes to Vertical Farming (Indoor Plant Factory with Artificial Lighting) in China, Singapore, UK, and USA: A Multi-Method Study. Food Res. Int. 2021, 150, 110811. [Google Scholar] [CrossRef]
- Blom, T.; Jenkins, A.; Pulselli, R.M.; van den Dobbelsteen, A.A.J.F. The Embodied Carbon Emissions of Lettuce Production in Vertical Farming, Greenhouse Horticulture, and Open-Field Farming in the Netherlands. J. Clean. Prod. 2022, 377, 134443. [Google Scholar] [CrossRef]
- Kobayashi, Y.; Kotilainen, T.; Carmona-García, G.; Leip, A.; Tuomisto, H.L. Vertical Farming: A Trade-off between Land Area Need for Crops and for Renewable Energy Production. J. Clean. Prod. 2022, 379, 134507. [Google Scholar] [CrossRef]
- Wacker, J.D.; Verheul, M.J.; Righini, I.; Maessen, H.; Stanghellini, C. Optimisation of Supplemental Light Systems in Norwegian Tomato Greenhouses—A Simulation Study. Biosyst. Eng. 2022, 215, 129–142. [Google Scholar] [CrossRef]
- Piovene, C.; Orsini, F.; Bosi, S.; Sanoubar, R.; Bregola, V.; Dinelli, G.; Gianquinto, G. Optimal Red: Blue Ratio in Led Lighting for Nutraceutical Indoor Horticulture. Sci. Hortic. 2015, 193, 202–208. [Google Scholar] [CrossRef]
- Singh, D.; Basu, C.; Meinhardt-Wollweber, M.; Roth, B. LEDs for Energy Efficient Greenhouse Lighting. Renew. Sustain. Energy Rev. 2015, 49, 139–147. [Google Scholar] [CrossRef]
- Yorifuji, R.; Obara, S. Economic Design of Artificial Light Plant Factories Based on the Energy Conversion Efficiency of Biomass. Appl. Energy 2022, 305, 117850. [Google Scholar] [CrossRef]
- Olle, M.; Viršile, A. The Effects of Light-Emitting Diode Lighting on Greenhouse Plant Growth and Quality. Agric. Food Sci. 2013, 22, 223–234. [Google Scholar] [CrossRef]
- Thilini Deepashika Perera, W.P.; Navaratne, S.; Wickramasinghe, I. Impact of Spectral Composition of Light from Light-Emitting Diodes (LEDs) on Postharvest Quality of Vegetables: A Review. Postharvest Biol. Technol. 2022, 191, 111955. [Google Scholar] [CrossRef]
- Ahmed, H.A.; Tong, Y.-X.; Yang, Q.-C. Optimal Control of Environmental Conditions Affecting Lettuce Plant Growth in a Controlled Environment with Artificial Lighting: A Review. S. Afr. J. Bot. 2020, 130, 75–89. [Google Scholar] [CrossRef]
- Muneer, S.; Kim, E.J.; Park, J.S.; Lee, J.H. Influence of Green, Red and Blue Light Emitting Diodes on Multiprotein Complex Proteins and Photosynthetic Activity under Different Light Intensities in Lettuce Leaves (Lactuca sativa L.). Int. J. Mol. Sci. 2014, 15, 4657–4670. [Google Scholar] [CrossRef]
- Amoozgar, A.; Mohammadi, A.; Sabzalian, M.R. Impact of Light-Emitting Diode Irradiation on Photosynthesis, Phytochemical Composition and Mineral Element Content of Lettuce Cv. Grizzly. Photosynthetica 2017, 55, 85–95. [Google Scholar] [CrossRef]
- Chen, X.; Yang, Q.; Song, W.; Wang, L.; Guo, W.; Xue, X. Growth and Nutritional Properties of Lettuce Affected by Different Alternating Intervals of Red and Blue LED Irradiation. Sci. Hortic. 2017, 223, 44–52. [Google Scholar] [CrossRef]
- Jishi, T.; Kimura, K.; Matsuda, R.; Fujiwara, K. Effects of Temporally Shifted Irradiation of Blue and Red LED Light on Cos Lettuce Growth and Morphology. Sci. Hortic. 2016, 198, 227–232. [Google Scholar] [CrossRef]
- Lee, M.J.; Son, K.H.; Oh, M.M. Increase in Biomass and Bioactive Compounds in Lettuce under Various Ratios of Red to Far-Red LED Light Supplemented with Blue LED Light. Hortic. Environ. Biotechnol. 2016, 57, 139–147. [Google Scholar] [CrossRef]
- Li, Q.; Kubota, C. Effects of Supplemental Light Quality on Growth and Phytochemicals of Baby Leaf Lettuce. Environ. Exp. Bot. 2009, 67, 59–64. [Google Scholar] [CrossRef]
- Meng, Q.; Runkle, E.S. Far-Red Radiation Interacts with Relative and Absolute Blue and Red Photon Flux Densities to Regulate Growth, Morphology, and Pigmentation of Lettuce and Basil Seedlings. Sci. Hortic. 2019, 255, 269–280. [Google Scholar] [CrossRef]
- Zou, J.; Fanourakis, D.; Tsaniklidis, G.; Cheng, R.; Yang, Q.; Li, T. Lettuce Growth, Morphology and Critical Leaf Trait Responses to Far-Red Light during Cultivation Are Low Fluence and Obey the Reciprocity Law. Sci. Hortic. 2021, 289, 110455. [Google Scholar] [CrossRef]
- Kang, W.H.; Park, J.S.; Park, K.S.; Son, J.E. Leaf Photosynthetic Rate, Growth, and Morphology of Lettuce under Different Fractions of Red, Blue, and Green Light from Light-Emitting Diodes (LEDs). Hortic. Environ. Biotechnol. 2016, 57, 573–579. [Google Scholar] [CrossRef]
- Liu, H.; Fu, Y.; Hu, D.; Yu, J.; Liu, H. Effect of Green, Yellow and Purple Radiation on Biomass, Photosynthesis, Morphology and Soluble Sugar Content of Leafy Lettuce via Spectral Wavebands “Knock Out”. Sci. Hortic. 2018, 236, 10–17. [Google Scholar] [CrossRef]
- Meng, Q.; Boldt, J.; Runkle, E.S. Blue Radiation Interacts with Green Radiation to Influence Growth and Predominantly Controls Quality Attributes of Lettuce. J. Am. Soc. Hortic. Sci. 2020, 145, 75–87. [Google Scholar] [CrossRef]
- Dutta Gupta, S. Light Emitting Diodes for Agriculture: Smart Lighting; Springer: Singapore, 2017; ISBN 9789811058073. [Google Scholar]
- Bantis, F.; Smirnakou, S.; Ouzounis, T.; Koukounaras, A.; Ntagkas, N.; Radoglou, K. Current Status and Recent Achievements in the Field of Horticulture with the Use of Light-Emitting Diodes (LEDs). Sci. Hortic. 2018, 235, 437–451. [Google Scholar] [CrossRef]
- Rehman, M.; Ullah, S.; Bao, Y.; Wang, B.; Peng, D.; Liu, L. Light-Emitting Diodes: Whether an Efficient Source of Light for Indoor Plants? Environ. Sci. Pollut. Res. 2017, 24, 24743–24752. [Google Scholar] [CrossRef]
- Junique, L.; Watier, L.; Lejeune, H.; Viudes, F.; Deblieck, M.; Watier, D. Determination by Response Surface Methodology of Optimal Protein and Phycocyanin Productivity Conditions in Arthrospira (Spirulina) Platensis under Different Combinations of Photoperiod Variation and Lighting Intensity. Bioresour. Technol. Rep. 2021, 15, 100763. [Google Scholar] [CrossRef]
- Barbi, S.; Barbieri, F.; Bertacchini, A.; Barbieri, L.; Montorsi, M. Effects of Different LED Light Recipes and NPK Fertilizers on Basil Cultivation for Automated and Integrated Horticulture Methods. Appl. Sci. 2021, 11, 2497. [Google Scholar] [CrossRef]
- Barbi, S.; Barbieri, F.; Bertacchini, A.; Montorsi, M. Statistical Optimization of a Hyper Red, Deep Blue, and White Leds Light Combination for Controlled Basil Horticulture. Appl. Sci. 2021, 11, 9279. [Google Scholar] [CrossRef]
- Andreola, F.; Borghi, A.; Pedrazzi, S.; Allesina, G.; Tartarini, P.; Lancellotti, I.; Barbieri, L. Spent Coffee Grounds in the Production of Lightweight Clay Ceramic Aggregates in View of Urban and Agricultural Sustainable Development. Materials 2019, 12, 3581. [Google Scholar] [CrossRef] [PubMed]
- Piccolo, F.; Gallo, F.; Andreola, F.; Lancellotti, I.; Maggi, B.; Barbieri, L. Preliminary Study on Valorization of Scraps from the Extraction of Volcanic Minerals. Environ. Eng. Manag. J. 2021, 20, 1599–1610. [Google Scholar] [CrossRef]
- Righi, C.; Barbieri, F.; Sgarbi, E.; Maistrello, L.; Bertacchini, A.; Andreola, F.N.; D’angelo, A.; Catauro, M.; Barbieri, L. Suitability of Porous Inorganic Materials from Industrial Residues and Bioproducts for Use in Horticulture: A Multidisciplinary Approach. Appl. Sci. 2022, 12, 5437. [Google Scholar] [CrossRef]
- Barbi, S.; Montorsi, M.; Maistrello, L.; Caldironi, M.; Barbieri, L. Statistical Optimization of a Sustainable Fertilizer Composition Based on Black Soldier Fly Larvae as Source of Nitrogen. Sci. Rep. 2022, 12, 20505. [Google Scholar] [CrossRef]
- Sgarbi, E.; Santunione, G.; Barbieri, F.; Montorsi, M.; Lancellotti, I.; Barbieri, L. Effects of LED Lights and New Long-Term-Release Fertilizers on Lettuce Growth: A Contribution for Sustainable Horticulture. Horticulturae 2023, 9, 404. [Google Scholar] [CrossRef]
- Spalholz, H.; Perkins-Veazie, P.; Hernández, R. Impact of Sun-Simulated White Light and Varied Blue:Red Spectrums on the Growth, Morphology, Development, and Phytochemical Content of Green- and Red-Leaf Lettuce at Different Growth Stages. Sci. Hortic. 2020, 264, 109195. [Google Scholar] [CrossRef]
- Contreras, S.; Bennett, M.A.; Metzger, J.D.; Tay, D.; Nerson, H. Red to Far-Red Ratio during Seed Development Affects Lettuce Seed Germinability and Longevity. HortScience 2009, 44, 130–134. [Google Scholar] [CrossRef]
- Meijer, D.; Meisenburg, M.; van Loon, J.J.A.; Dicke, M. Effects of Low and High Red to Far-Red Light Ratio on Tomato Plant Morphology and Performance of Four Arthropod Herbivores. Sci. Hortic. 2022, 292, 110645. [Google Scholar] [CrossRef]
- ANPA. Verso l’Annuario Dei Dati Ambientali; C.R.P.—Piazza della Trasfigurazione: Rome, Italy, 2001. [Google Scholar]
- UNI EN 12014-2:2018; Foodstuffs—Determination of Nitrate and/or Nitrite Content—Part 2: HPLC/IC Method for the Determination of Nitrate Content of Vegetables and Vegetable Products. UNI—Italian National Standards Body: Milan, Italy, 2018.
- UNI EN ISO 11885:2009; Water Quality—Determination of Selected Elements by Inductively Coupled Plasma Optical Emission Spectrometry (ICP-OES). UNI—Italian National Standards Body: Milan, Italy, 2019.
- UNI EN 14346:2007; Characterization of Waste—Calculation of Dry Matter by Determination of Dry Residue or Water Content. UNI—Italian National Standards Body: Milan, Italy, 2007.
- Lichtenthaler, H.K. Chlorophylls and Carotenoids: Pigments of Photosynthetic Biomembranes. Methods Enzymol. 1987, 148, 350–382. [Google Scholar] [CrossRef]
- Montgomery, D.C. Design and Analysis of Experiments, 10th ed.; Wiley: Hoboken, NJ, USA, 2019; ISBN 978-1-119-49244-3. [Google Scholar]
- Xu, J.; Guo, Z.; Jiang, X.; Ahammed, G.J.; Zhou, Y. Light Regulation of Horticultural Crop Nutrient Uptake and Utilization. Hortic. Plant J. 2021, 7, 367–379. [Google Scholar] [CrossRef]
- Fu, Y.; Li, H.Y.; Yu, J.; Liu, H.; Cao, Z.Y.; Manukovsky, N.S.; Liu, H. Interaction Effects of Light Intensity and Nitrogen Concentration on Growth, Photosynthetic Characteristics and Quality of Lettuce (Lactuca sativa L. Var. Youmaicai). Sci. Hortic. 2017, 214, 51–57. [Google Scholar] [CrossRef]
- Snowden, M.C.; Cope, K.R.; Bugbee, B. Sensitivity of Seven Diverse Species to Blue and Green Light: Interactions with Photon Flux. PLoS ONE 2016, 11, e0163121. [Google Scholar] [CrossRef]
- Kim, H.H.; Goins, G.D.; Wheeler, R.M.; Sager, J.C. Stomatal Conductance of Lettuce Grown Under or Exposed to Different Light Qualities. Ann. Bot. 2004, 94, 691–697. [Google Scholar] [CrossRef]
- Zou, J.; Zhang, Y.; Zhang, Y.; Bian, Z.; Fanourakis, D.; Yang, Q.; Li, T. Morphological and Physiological Properties of Indoor Cultivated Lettuce in Response to Additional Far-Red Light. Sci. Hortic. 2019, 257, 108725. [Google Scholar] [CrossRef]
- Schulman, B.; Blake, J.T.; Donald, R. A Production Capacity Investment Decision-Making Tool for the Indoor Vertical Farming Industry. Smart Agric. Technol. 2023, 5, 100244. [Google Scholar] [CrossRef]
- Casey, L.; Freeman, B.; Francis, K.; Brychkova, G.; McKeown, P.; Spillane, C.; Bezrukov, A.; Zaworotko, M.; Styles, D. Comparative Environmental Footprints of Lettuce Supplied by Hydroponic Controlled-Environment Agriculture and Field-Based Supply Chains. J. Clean. Prod. 2022, 369, 133214. [Google Scholar] [CrossRef]






| Material | wt% | Function |
|---|---|---|
| Red clay | 28.3 | matrix material |
| Pumice scraps | 41.7 | matrix material |
| Spent coffee grounds | 10.0 | poring agent |
| Animal bone meal ash | 14.0 | source of phosphorus |
| K2CO3 | 6.0 | source of potassium |
| Property | APV50 | APNUT |
|---|---|---|
| Bulk density (g/cm3) | 1.260 | 1.146 |
| True density (g/cm3) | 2.6523 | 2.6497 |
| Total porosity (%) | 51.88 | 56.14 |
| pH | 6.60 | 7.38 |
| Electrical conductivity (dS/m) | 0.268 | 0.220 |
| Water absorption after 24 h (%) | 22.00 | 30.73 |
| Wavelength (μmol m−2 s−1) | |||||
|---|---|---|---|---|---|
| Name | Blue (450 nm) | Green (521 nm) | Hyper Red (660 nm) | Far Red (730 nm) | White (2700 K) |
| LED-1 | 75 | 75 | |||
| LED-2a | 100 | 50 | |||
| LED-2b | 88 | 21 | 11 | 29 | |
| LED-2c | 21 | 88 | 11 | 29 | |
| Factor | Type | Number of Levels | Values |
|---|---|---|---|
| LED | Categoric/Nominal | 2 | LED 1 LED 2 |
| Core | Categoric/Nominal | 2 | APV50 APNUT |
| Aggregates Number | Numeric/Discrete | 3 | 0 3 6 |
| Run | Factor 1 | Factor 2 | Factor 3 | Block |
|---|---|---|---|---|
| Core | Aggregates Number | LED | ||
| 1 | APV50 | 3 | LED 1 | 1 |
| 2 | APV50 | 6 | LED 1 | |
| 3 | APV50 | 3 | LED 1 | |
| 4 | APV50 | 6 | LED 1 | |
| 5 | APnut | 6 | LED 1 | |
| 6 | APnut | 3 | LED 1 | |
| 7 | APnut | 6 | LED 1 | |
| 8 | APnut | 3 | LED 1 | |
| 9 | APnut | 0 | LED 1 | |
| 10 | APV50 | 0 | LED 1 | |
| 11 | APnut | 6 | LED 2 | 2 |
| 12 | APnut | 3 | LED 2 | |
| 13 | APV50 | 6 | LED 2 | |
| 14 | APV50 | 3 | LED 2 | |
| 15 | APnut | 3 | LED 2 | |
| 16 | APV50 | 6 | LED 2 | |
| 17 | APnut | 6 | LED 2 | |
| 18 | APV50 | 3 | LED 2 | |
| 19 | APnut | 0 | LED 2 | |
| 20 | APV50 | 0 | LED 2 | |
| 21 | APV50 | 3 | LED 1 | 3 |
| 22 | APV50 | 6 | LED 1 | |
| 23 | APV50 | 3 | LED 1 | |
| 24 | APV50 | 6 | LED 1 | |
| 25 | APnut | 6 | LED 1 | |
| 26 | APnut | 3 | LED 1 | |
| 27 | APnut | 6 | LED 1 | |
| 28 | APnut | 3 | LED 1 | |
| 29 | APnut | 0 | LED 1 | |
| 30 | APV50 | 0 | LED 1 | |
| 31 | APnut | 6 | LED 2 | 4 |
| 32 | APnut | 3 | LED 2 | |
| 33 | APV50 | 6 | LED 2 | |
| 34 | APV50 | 3 | LED 2 | |
| 35 | APnut | 3 | LED 2 | |
| 36 | APV50 | 6 | LED 2 | |
| 37 | APnut | 6 | LED 2 | |
| 38 | APV50 | 3 | LED 2 | |
| 39 | APnut | 0 | LED 2 | |
| 40 | APV50 | 0 | LED 2 |
| Response Variable | Acronym | Unit of Measurement |
|---|---|---|
| Average fresh weight | FW | g |
| Root total dry weight | RDW | g |
| Average plant height | Height | cm |
| Number of plants after 3 days | NoP3 | / |
| Number of plants after 7 days | NoP7 | / |
| Average leaf area | LA | cm2 |
| Organic carbon | C | % |
| Nitrates | NO3 | mg kg−1 |
| Aluminum | Al | mg kg−1 |
| Silicon | Si | mg kg−1 |
| Solid residue at 105 °C | SR | % |
| Chlorophyll a | Cha | μg mg−1 |
| Chlorophyll b | Chb | μg mg−1 |
| Carotenoids | Car | μg mg−1 |
| Response Variable | Goal | Importance [Min 1–Max 5] |
|---|---|---|
| Average fresh weight | to maximize | 4 |
| Root total dry weight | to maximize | 5 |
| Average plant height | to maximize | 5 |
| Number of plants after 3 days | to maximize | 3 |
| Number of plants after 7 days | to maximize | 5 |
| Average leaf area | to maximize | 5 |
| Organic carbon | to maximize | 2 |
| Nitrates | to minimize | 3 |
| Aluminum | to minimize | 3 |
| Silicon | to minimize | 3 |
| Solid residue at 105 °C | to minimize | 5 |
| Chlorophyll a | to maximize | 4 |
| Chlorophyll b | to maximize | 4 |
| Carotenoids | to maximize | 4 |
| Run | FW | RDW | Height | NoP3 | NoP7 | LA | C | NO3 | Al | Si | SR | Cha | Chb | Car |
|---|---|---|---|---|---|---|---|---|---|---|---|---|---|---|
| g | g | cm | / | / | cm2 | % | mg kg−1 | mg kg−1 | mg kg−1 | % | μg mg−1 | μg mg−1 | μg mg−1 | |
| 1 | 3.10 | 0.3216 | 5.950 | 2 | 5 | 14.99 | 2.7 | 24.9 | 1.9 | 58.5 | 6.25 | 0.2228 | 220.6173 | 0.1806 |
| 2 | 3.86 | 0.5075 | 5.700 | 2 | 4 | 18.38 | 3.3 | 1.0 | 3.1 | 68.7 | 8.16 | 0.3593 | 35.6345 | 0.9479 |
| 3 | 3.99 | 0.3967 | 6.000 | 1 | 5 | 18.06 | 4.0 | 18.0 | 2.6 | 65.8 | 8.35 | 0.2756 | 334.6319 | 0.2647 |
| 4 | 4.09 | 0.5063 | 6.125 | 2 | 4 | 17.01 | 2.8 | 5.6 | 2.2 | 74.8 | 6.56 | 0.3276 | 96.1384 | 0.3380 |
| 5 | 3.97 | 0.3379 | 6.525 | 0 | 2 | 18.32 | 2.7 | 20.0 | 2.5 | 77.7 | 6.44 | 0.4592 | 131.2246 | 0.3902 |
| 6 | 3.24 | 0.4101 | 7.000 | 2 | 5 | 18.45 | 2.9 | 65.4 | 2.6 | 61.1 | 7.35 | 0.2581 | 376.8204 | 0.2113 |
| 7 | 3.38 | 0.3536 | 7.640 | 4 | 5 | 20.54 | 2.5 | 2.8 | 1.8 | 50.2 | 6.16 | 0.2567 | 364.3097 | 0.2004 |
| 8 | 2.62 | 0.3650 | 6.500 | 3 | 5 | 18.16 | 2.7 | 171.0 | 2.5 | 56.4 | 6.34 | 0.5162 | 162.6527 | 0.5412 |
| 9 | 2.29 | 0.3443 | 3.333 | 2 | 4 | 10.89 | 4.3 | 6.2 | 3.2 | 73.5 | 10.25 | 0.0996 | 335.1883 | 0.0668 |
| 10 | 1.72 | 0.4444 | 3.400 | 5 | 5 | 10.25 | 4.1 | 0.2 | 3.7 | 105.9 | 10.28 | 0.4118 | 264.1289 | 0.3335 |
| 11 | 2.49 | 0.3791 | 5.125 | 3 | 4 | 16.93 | 4.4 | 14.1 | 2.2 | 72.3 | 9.88 | 0.2228 | 220.6173 | 0.1806 |
| 12 | 3.00 | 0.2964 | 6.020 | 2 | 5 | 15.01 | 3.0 | 69.6 | 1.5 | 30.7 | 6.02 | 0.3593 | 35.6345 | 0.9479 |
| 13 | 1.76 | 0.3319 | 5.475 | 4 | 5 | 12.14 | 6.4 | 12.8 | 4.2 | 108.7 | 13.26 | 0.2756 | 334.6319 | 0.2647 |
| 14 | 2.59 | 0.5444 | 5.860 | 3 | 5 | 16.10 | 3.5 | 6.0 | 2.4 | 72.1 | 8.00 | 0.3276 | 96.1384 | 0.3380 |
| 15 | 3.34 | 0.5442 | 6.500 | 5 | 5 | 14.89 | 4.6 | 14.7 | 2.5 | 52.0 | 7.83 | 0.4592 | 131.2246 | 0.3902 |
| 16 | 2.01 | 0.3494 | 6.100 | 4 | 5 | 12.63 | 5.1 | 11.2 | 2.7 | 61.7 | 11.19 | 0.2581 | 376.8204 | 0.2113 |
| 17 | 4.38 | 0.3966 | 7.200 | 3 | 3 | 19.15 | 3.4 | 5.8 | 2.2 | 32.1 | 6.66 | 0.2567 | 364.3097 | 0.2004 |
| 18 | 2.19 | 0.4702 | 5.840 | 3 | 5 | 15.92 | 4.8 | 6.2 | 3.0 | 71.1 | 10.10 | 0.5162 | 162.6527 | 0.5412 |
| 19 | 1.79 | 0.3498 | 4.600 | 4 | 4 | 10.37 | 6.0 | 4.7 | 3.2 | 75.1 | 10.39 | 0.0996 | 335.1883 | 0.0668 |
| 20 | 1.91 | 0.4032 | 4.860 | 5 | 5 | 10.05 | 4.2 | 0.7 | 2.5 | 40.0 | 9.87 | 0.4118 | 264.1289 | 0.3335 |
| 21 | 1.82 | 0.4290 | 7.135 | 5 | 5 | 16.69 | 3.0 | 3.1 | 1.2 | 68.8 | 7.00 | 0.2091 | 208.7652 | 0.2126 |
| 22 | 2.15 | 0.3052 | 9.096 | 3 | 5 | 24.06 | 3.0 | 4.7 | 3.0 | 98.2 | 7.92 | 0.3251 | 140.3424 | 0.2809 |
| 23 | 2.54 | 0.3887 | 8.174 | 4 | 4 | 19.09 | 3.3 | 4.5 | 0.9 | 72.5 | 7.20 | 0.2106 | 177.9564 | 0.2193 |
| 24 | 1.89 | 0.3491 | 8.294 | 3 | 5 | 17.33 | 3.4 | 4.5 | 1.1 | 65.8 | 7.40 | 0.1909 | 222.7314 | 0.1657 |
| 25 | 1.77 | 0.2272 | 8.100 | 2 | 5 | 17.73 | 2.5 | 6.5 | 1.5 | 90.5 | 6.90 | 0.2913 | 162.4694 | 0.2591 |
| 26 | 2.11 | 0.4007 | 8.338 | 3 | 5 | 21.29 | 3.5 | 6.7 | 0.9 | 83.3 | 8.30 | 0.4766 | 84.9374 | 0.3755 |
| 27 | 1.68 | 0.3611 | 7.038 | 3 | 5 | 14.05 | 3.3 | 7.1 | 1.0 | 81.9 | 7.50 | 0.4916 | 147.4538 | 0.3633 |
| 28 | 1.94 | 0.3119 | 8.642 | 3 | 5 | 17.49 | 3.3 | 5.7 | 1.3 | 67.3 | 8.30 | 0.2328 | 176.9615 | 0.1688 |
| 29 | 1.39 | 0.1825 | 7.258 | 4 | 5 | 13.16 | 2.9 | 10.0 | 1.2 | 62.6 | 7.60 | 0.2269 | 183.7447 | 0.1767 |
| 30 | 1.43 | 0.2041 | 6.577 | 3 | 5 | 12.38 | 3.6 | 10.2 | 2.1 | 50.7 | 6.60 | 0.2661 | 201.8779 | 0.2070 |
| 31 | 2.69 | 0.1905 | 9.394 | 3 | 5 | 23.80 | 2.6 | 4.1 | 1.2 | 29.8 | 5.20 | 0.2091 | 208.7652 | 0.2126 |
| 32 | 2.88 | 0.2271 | 9.156 | 3 | 5 | 23.86 | 3.1 | 3.0 | 1.2 | 48.6 | 6.30 | 0.3251 | 140.3424 | 0.2809 |
| 33 | 3.32 | 0.2820 | 9.573 | 1 | 4 | 25.89 | 2.9 | 4.9 | 1.3 | 59.3 | 7.00 | 0.2106 | 177.9564 | 0.2193 |
| 34 | 2.80 | 0.3216 | 9.090 | 2 | 4 | 22.20 | 2.9 | 2.9 | 1.0 | 46.4 | 6.10 | 0.1909 | 222.7314 | 0.1657 |
| 35 | 2.89 | 0.4588 | 7.762 | 5 | 4 | 25.70 | 2.5 | 2.7 | 0.9 | 54.2 | 5.98 | 0.2913 | 162.4694 | 0.2591 |
| 36 | 4.53 | 0.5297 | 9.484 | 5 | 5 | 26.42 | 2.5 | 2.2 | 0.8 | 42.8 | 5.60 | 0.4766 | 84.9374 | 0.3755 |
| 37 | 2.75 | 0.2361 | 8.050 | 3 | 4 | 23.55 | 2.7 | 139.0 | 1.3 | 51.3 | 6.40 | 0.4916 | 147.4538 | 0.3633 |
| 38 | 3.18 | 0.4737 | 8.996 | 4 | 5 | 23.72 | 2.8 | 2.3 | 1.0 | 47.7 | 6.40 | 0.2328 | 176.9615 | 0.1688 |
| 39 | 2.15 | 0.9557 | 5.425 | 5 | 5 | 17.25 | 3.3 | 8.6 | 0.6 | 51.2 | 7.50 | 0.2269 | 183.7447 | 0.1767 |
| 40 | 1.89 | 0.3456 | 6.822 | 4 | 5 | 17.64 | 3.3 | 5.7 | 0.9 | 38.3 | 7.30 | 0.2661 | 201.8779 | 0.2070 |
| Response * | F-Value | R2 | Pred-R2 | Coefficients Name | |
|---|---|---|---|---|---|
| and p-Value | Value | ||||
| FW (g) ** | 60.76 | 0.64 | 0.51 | Aggregates Number (<0.0001) | −0.1080 |
| Height (cm) | 16.92 | 0.62 | 0.38 | Core (0.0012) | +0.0287 |
| Aggregates Number (<0.0001) | +1.0700 | ||||
| LED-Aggregates Number (0.0056) | +0.3075 | ||||
| LA (cm2) | 48.80 | 0.59 | 0.44 | Aggregates Number (<0.0001) | +3.3200 |
| C (%) | 9.84 | 0.38 | 0.01 | Aggregates Number (0.0015) | −0.8182 |
| LED-Aggregates Number (0.0024) | +0.6038 | ||||
| SR (%) | 11.11 | 0.41 | 0.08 | Aggregates Number (0.0005) | +0.0149 |
| LED-Aggregates Number (0.0019) | −0.0091 | ||||
Disclaimer/Publisher’s Note: The statements, opinions and data contained in all publications are solely those of the individual author(s) and contributor(s) and not of MDPI and/or the editor(s). MDPI and/or the editor(s) disclaim responsibility for any injury to people or property resulting from any ideas, methods, instructions or products referred to in the content. |
© 2023 by the authors. Licensee MDPI, Basel, Switzerland. This article is an open access article distributed under the terms and conditions of the Creative Commons Attribution (CC BY) license (https://creativecommons.org/licenses/by/4.0/).
Share and Cite
Barbieri, F.; Barbi, S.; Bertacchini, A.; Montorsi, M. Combined Effects of Different LED Light Recipes and Slow-Release Fertilizers on Baby Leaf Lettuce Growth for Vertical Farming: Modeling through DoE. Appl. Sci. 2023, 13, 8687. https://doi.org/10.3390/app13158687
Barbieri F, Barbi S, Bertacchini A, Montorsi M. Combined Effects of Different LED Light Recipes and Slow-Release Fertilizers on Baby Leaf Lettuce Growth for Vertical Farming: Modeling through DoE. Applied Sciences. 2023; 13(15):8687. https://doi.org/10.3390/app13158687
Chicago/Turabian StyleBarbieri, Francesco, Silvia Barbi, Alessandro Bertacchini, and Monia Montorsi. 2023. "Combined Effects of Different LED Light Recipes and Slow-Release Fertilizers on Baby Leaf Lettuce Growth for Vertical Farming: Modeling through DoE" Applied Sciences 13, no. 15: 8687. https://doi.org/10.3390/app13158687
APA StyleBarbieri, F., Barbi, S., Bertacchini, A., & Montorsi, M. (2023). Combined Effects of Different LED Light Recipes and Slow-Release Fertilizers on Baby Leaf Lettuce Growth for Vertical Farming: Modeling through DoE. Applied Sciences, 13(15), 8687. https://doi.org/10.3390/app13158687

