Construction of Half Masks for the Respiratory Tract Protection and the Speech Intelligibility Assessed from the Measured Suppression of Sound
Abstract
:1. Introduction
2. Experimental
2.1. Research Material
2.2. Apparatus and Methodology
3. Results
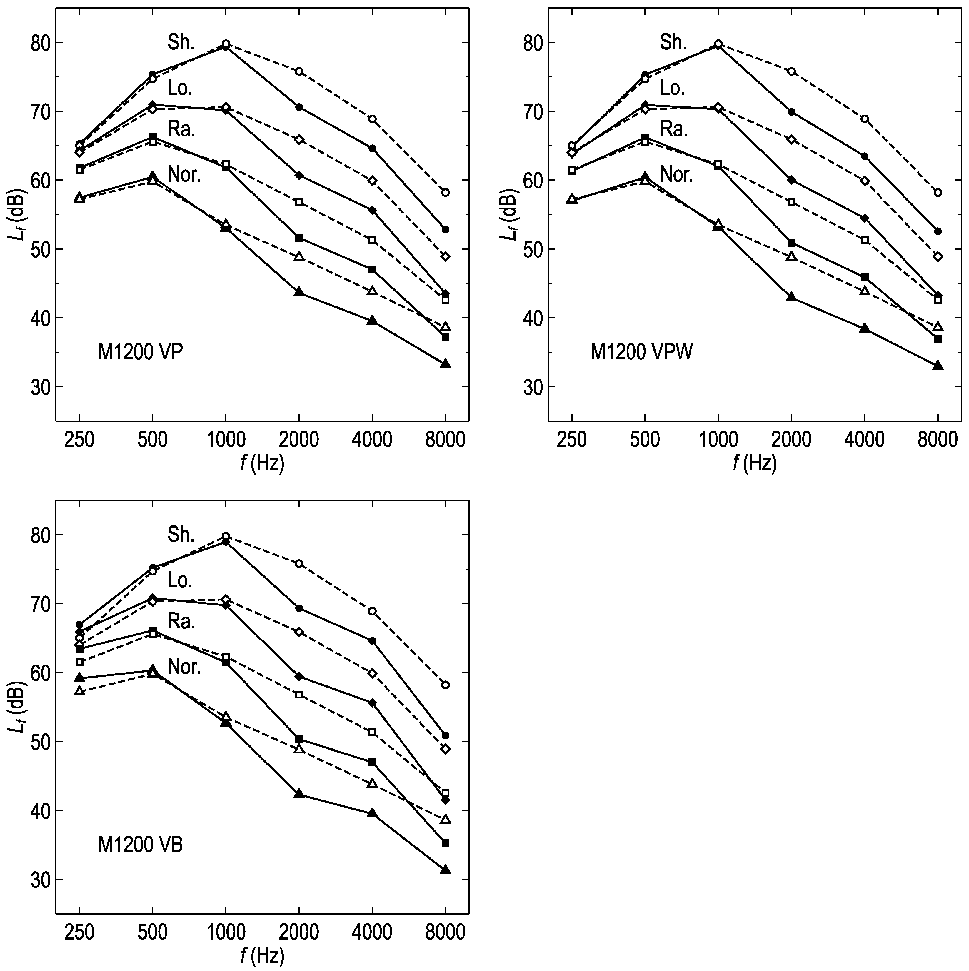
3.1. Measured Sound Pressure Levels and Attenuation
3.2. Uncertainties in the Measurements and Calculations
3.3. Consistency Test
4. Discussion
5. Conclusions
- The results of this study are similar to those obtained previously [10]. The FFPs affected sound pressure levels in the frequency range responsible for 80–90% of the perceived speech intelligibility. The waves of frequency below 1 kHz were not attenuated.
- Since all the FFPs studied were built of the same synthetic nonwoven fabric, the differences in the sound suppression resulted solely from the differences in the construction of the masks.
- The moulded masks, M1200 V, M1200 VW, and M1200 VPlus, suppressed the acoustic waves stronger than the folded ones, M1200 VP, M1200 VPW, and M1200 VB, by approximately 2–3 dB in the octave bands of centre frequency from 1 to 16 kHz.
- The exception was the moulded mask with four foldable parts for tighter fitting of the wearer’s face, M1204 V. It attenuated sound similarly as the folded masks did in the octave-wide bands with centre frequency up to 2 kHz. It suppressed waves of higher frequencies stronger than the other studied FFPs did.
- Persons using FFPs have to raise their voices by one “loudness level”, as defined in ANSI 3.5-1997, to compensate for the loss of high-pitch tones in verbal communication.
Supplementary Materials
Author Contributions
Funding
Institutional Review Board Statement
Informed Consent Statement
Data Availability Statement
Acknowledgments
Conflicts of Interest
References
- Sun, C.; Thelen, C.; Sanz, I.S.; Wittmann, A. Evaluation of a new workplace protection factor–measuring method for filtering facepiece respirator. Saf. Health Work 2020, 11, 61–70. [Google Scholar] [CrossRef]
- Bertoli, S.; Leone, A.; De Amicis, R.; Foppiani, A.; Osio, D.; Battezzati, A. Effects of wearing a FFP2 mask on indirect calorimetry measurements: A pilot study. Clin. Nutr. ESPEN 2021, 41, 443–446. [Google Scholar] [PubMed]
- Wang, A.B.; Zhang, X.; Gao, L.J.; Zhang, T.; Xu, H.J.; Bi, Y.J. A review of filtration performance of protective masks. Int. J. Environ. Res. Public Health 2023, 20, 2346. [Google Scholar] [PubMed]
- EN 149:2001+A1:2009 (E); Respiratory Protective Devices—Filtering Half Masks to Protect against Particles—Requirements, Testing, Marking. European Committee for Standardization (CEN): Brussels, Belgium, 2009.
- Brotto, D.; Sorrentino, F.; Agostinelli, A.; Lovo, E.; Montino, S.; Trevisi, P.; Favaretto, N.; Bovo, R.; Martini, A. How great is the negative impact of masking and social distancing and how can we enhance communication skills in the elderly people? Aging Clin. Exp. Res. 2021, 33, 1157–1161. [Google Scholar] [CrossRef] [PubMed]
- Cohn, M.; Pycha, A.; Zellou, G. Intelligibility of face-masked speech depends on speaking style: Comparing casual, clear, and emotional speech. Cognition 2021, 210, 104570. [Google Scholar] [PubMed]
- Caniato, M.; Marzi, A.; Gasparella, A. How much COVID-19 face protections influence speech intelligibility in classrooms? Appl. Acoust. 2021, 178, 108051. [Google Scholar] [PubMed]
- Bandaru, S.; Augustine, A.; Lepcha, A.; Sebastian, S.; Gowri, M.; Philip, A.; Mammen, M. The effects of N95 mask and face shield on speech perception among healthcare workers in the coronavirus disease 2019 pandemic scenario. J. Laryngol. Otol. 2020, 134, 895–898. [Google Scholar]
- Ho, G.Y.; Kansy, I.K.; Klavacs, K.A.; Leonhard, M.; Schneider-Stickler, B. Effect of FFP2/3 masks on voice range profile measurement and voice acoustics in routine voice diagnostics. Folia Phoniatr. Logop. 2022, 74, 335–344. [Google Scholar] [CrossRef] [PubMed]
- Nowacki, K.; Łakomy, K.; Marczak, W. Speech Impaired by Half Masks Used for the Respiratory Tract Protection. Int. J. Environ. Res. Public Health 2022, 19, 7012. [Google Scholar] [CrossRef]
- ANSI 3.5-1997; Methods for Calculation of the Speech Intelligibility Index. American National Standard: New York, NY, USA, 1997.
- Available online: https://www.deltaplus.eu/en/respiratory-protection (accessed on 24 January 2023).
- IEC 61672-1; Electroacoustics—Sound Level Meters—Part 1: Specifications. International Electrotechnical Commission: Geneva, Switzerland, 2013.
- IEC 60942; Electroacoustics—Sound Calibrators. International Electrotechnical Commission: Geneva, Switzerland, 2017.
- Statistica (Data Analysis Software System), Version 13; TIBCO Software Inc.: Palo Alto, CA, USA, 2017. Available online: http://statistica.io(accessed on 1 March 2023).
- Czermiński, J.; Iwasiewicz, A.; Paszek, Z.; Sikorski, A. Statistical Methods in Applied Chemistry; PWN: Warszawa, Poland; Elsevier: Amsterdam, The Netherlands, 1990. [Google Scholar]
- Xue, Y.; Marxen, M.; Akagi, M.; Birkholz, P. Acoustic and articulatory analysis and synthesis of shouted vowels. Comput. Speech Lang. 2021, 66, 101156. [Google Scholar]
- French, N.R.; Steinberg, J.C. Factors governing the intelligibility of speech sounds. J. Acoust. Soc. Am. 1947, 19, 90–119. [Google Scholar] [CrossRef]
- Vogelzang, M.; Thiel, C.M.; Rosemann, S.; Rieger, J.W.; Ruigendijk, E. Effects of age-related hearing loss and hearing aid experience on sentence processing. Sci. Rep. 2021, 11, 5994. [Google Scholar] [CrossRef] [PubMed]
- Cheberyachko, S.; Cheberyachko, Y.; Naumov, M. Use of dust masks at coal enterprises. In Proceedings of the School of Under-ground Mining Location: Technical and Geoinformational Systems in Mining, Dnipropetrovsk, Ukraine, 2–8 October 2011; pp. 231–235. [Google Scholar]
- Choi, S.; Park, R.; Hur, N.; Kim, W. Evaluation of wearing comfort of dust masks. PLoS ONE 2020, 15, e0237848. [Google Scholar] [CrossRef] [PubMed]










| Manufacturer’s Symbol | Construction | Picture |
|---|---|---|
| M1200 V M1200 VW M1200 VPlus | Moulded | ![]() |
| M1204 V | Moulded with four foldable parts | ![]() |
| M1200 VP M1200 VPW | Folded horizontally | ![]() |
| M1200 VB | Folded vertically | ![]() |
| f (Hz) | ΔLf (dB), M1200 V | ΔLf (dB), M1200 VW | ΔLf (dB), M1200 VPlus | ||||||
|---|---|---|---|---|---|---|---|---|---|
| Median | Lower | Upper | Median | Lower | Upper | Median | Lower | Upper | |
| 800 | 0.15 | −3.12 | 3.81 | 0.05 | −3.05 | 0.93 | −1.12 | −2.37 | 0.81 |
| 1000 | 1.64 | 0.40 | 3.63 | 3.45 | 2.27 | 5.80 | 2.96 | 0.95 | 5.57 |
| 1250 | 5.76 | 4.56 | 8.18 | 5.84 | 5.33 | 6.95 | 6.32 | 4.86 | 8.62 |
| 1600 | 7.90 | 6.79 | 10.07 | 8.71 | 7.15 | 10.38 | 9.88 | 8.31 | 12.16 |
| 2000 | 9.40 | 7.78 | 12.10 | 9.83 | 8.29 | 12.03 | 10.64 | 8.62 | 14.66 |
| 2500 | 9.32 | 8.42 | 10.54 | 10.26 | 8.85 | 11.04 | 6.58 | 5.78 | 7.78 |
| 3150 | 2.42 | 1.72 | 4.39 | 2.74 | 1.85 | 3.87 | 4.11 | 2.99 | 6.32 |
| 4000 | 7.47 | 6.69 | 8.67 | 7.91 | 6.75 | 9.67 | 9.96 | 8.06 | 12.55 |
| 5000 | 7.51 | 5.85 | 9.93 | 8.30 | 6.39 | 9.65 | 5.17 | 2.98 | 7.06 |
| 6300 | 6.72 | 4.80 | 9.46 | 6.84 | 3.97 | 9.58 | 6.36 | 4.30 | 9.10 |
| 8000 | 6.51 | 5.13 | 10.19 | 6.73 | 5.77 | 8.28 | 6.56 | 5.14 | 9.40 |
| 10,000 | 8.20 | 7.10 | 10.20 | 7.79 | 6.80 | 9.73 | 7.58 | 6.26 | 9.48 |
| 12,500 | 10.47 | 9.51 | 11.03 | 10.00 | 8.72 | 10.75 | 9.71 | 8.72 | 10.96 |
| 16,000 | 13.18 | 10.70 | 16.38 | 11.19 | 9.86 | 13.68 | 11.53 | 10.91 | 13.04 |
| 20,000 | 11.61 | 10.02 | 13.28 | 10.54 | 9.82 | 11.82 | 9.88 | 9.28 | 11.52 |
| f (Hz) | ΔLf (dB) | ||
|---|---|---|---|
| Median | Lower | Upper | |
| 800 | −1.41 | −2.65 | 1.11 |
| 1000 | −2.14 | −3.85 | 1.95 |
| 1250 | −0.84 | −2.67 | 0.94 |
| 1600 | 1.82 | −0.79 | 3.32 |
| 2000 | 5.57 | 3.01 | 8.17 |
| 2500 | 7.08 | 4.83 | 8.55 |
| 3150 | 6.82 | 4.91 | 9.81 |
| 4000 | 8.76 | 6.14 | 11.22 |
| 5000 | 12.52 | 9.07 | 16.86 |
| 6300 | 12.69 | 10.47 | 14.81 |
| 8000 | 11.69 | 7.80 | 13.59 |
| 10,000 | 12.94 | 10.15 | 14.64 |
| 12,500 | 11.26 | 8.70 | 18.53 |
| 16,000 | 12.82 | 9.19 | 19.94 |
| 20,000 | 11.13 | 8.65 | 14.94 |
| f (Hz) | ΔLf (dB), M1200 VP | ΔLf (dB), M1200 VPW | ΔLf (dB), M1200 VB | ||||||
|---|---|---|---|---|---|---|---|---|---|
| Median | Lower | Upper | Median | Lower | Upper | Median | Lower | Upper | |
| 800 | −1.23 | −2.16 | 0.89 | −1.36 | −3.06 | 0.94 | −0.02 | −1.78 | 1.68 |
| 1000 | −1.35 | −3.33 | 1.85 | 0.05 | −1.78 | 2.54 | −0.20 | −2.64 | 2.74 |
| 1250 | 2.01 | −0.05 | 3.95 | 1.12 | −0.13 | 3.58 | 0.97 | −0.28 | 2.95 |
| 1600 | 5.16 | 2.98 | 6.01 | 5.54 | 2.77 | 6.92 | 4.77 | 2.74 | 5.62 |
| 2000 | 6.65 | 4.64 | 9.03 | 7.30 | 5.56 | 10.16 | 7.80 | 6.20 | 10.02 |
| 2500 | 4.11 | 2.31 | 5.06 | 5.51 | 2.88 | 8.91 | 6.90 | 5.62 | 8.22 |
| 3150 | 3.21 | 2.43 | 4.75 | 3.93 | 2.32 | 7.52 | 1.60 | 0.21 | 2.99 |
| 4000 | 3.53 | 2.42 | 4.56 | 4.75 | 3.73 | 7.78 | 4.08 | 2.77 | 5.40 |
| 5000 | 6.30 | 3.59 | 8.46 | 6.83 | 4.82 | 9.39 | 8.84 | 7.36 | 10.53 |
| 6300 | 4.32 | 3.43 | 8.94 | 4.52 | 2.52 | 11.33 | 5.17 | 4.36 | 6.93 |
| 8000 | 4.90 | 3.85 | 6.47 | 4.36 | 3.63 | 6.92 | 7.70 | 6.88 | 8.70 |
| 10,000 | 7.27 | 6.19 | 9.40 | 7.42 | 6.34 | 10.78 | 8.99 | 7.62 | 10.18 |
| 12,500 | 8.10 | 7.05 | 9.39 | 8.65 | 7.04 | 13.74 | 8.90 | 7.69 | 9.84 |
| 16,000 | 10.06 | 7.71 | 12.50 | 10.67 | 8.69 | 18.16 | 8.58 | 7.78 | 9.43 |
| 20,000 | 8.60 | 7.11 | 11.67 | 9.29 | 7.41 | 15.04 | 8.54 | 8.15 | 9.30 |
| Dataset | #1-1 | #1-2 | #2-1 | #2-2 | #3-1 | #3-2 | #4-1 | #4-2 | #5-1 | #5-2 |
|---|---|---|---|---|---|---|---|---|---|---|
| #1-1 | 7.93 | 4.24 | 5.34 | 5.82 | 5.70 | 4.69 | 5.23 | 4.23 | 6.3 | |
| #1-2 | 7.93 | 7.79 | 5.75 | 6.19 | 6.43 | 4.59 | 4.28 | 6.33 | 4.21 | |
| #2-1 | 4.24 | 7.79 | 3.21 | 5.70 | 4.24 | 6.24 | 6.23 | 5.61 | 6.85 | |
| #2-2 | 5.34 | 5.75 | 3.21 | 4.27 | 3.14 | 5.22 | 4.96 | 5.43 | 5.23 | |
| #3-1 | 5.82 | 6.19 | 5.70 | 4.27 | 3.83 | 4.66 | 4.94 | 5.60 | 5.10 | |
| #3-2 | 5.70 | 6.43 | 4.24 | 3.14 | 3.83 | 5.13 | 5.59 | 5.94 | 5.46 | |
| #4-1 | 4.69 | 4.59 | 6.24 | 5.22 | 4.66 | 5.13 | 1.77 | 3.53 | 3.16 | |
| #4-2 | 5.23 | 4.28 | 6.23 | 4.96 | 4.94 | 5.59 | 1.77 | 3.04 | 2.76 | |
| #5-1 | 4.23 | 6.33 | 5.61 | 5.43 | 5.60 | 5.94 | 3.53 | 3.04 | 3.99 | |
| #5-2 | 6.30 | 4.21 | 6.85 | 5.23 | 5.10 | 5.46 | 3.16 | 2.76 | 3.99 |
| FFP | M1204 V | M1200 VP | M1200 VPW | M1200 VB | M1200 VPlus | M1200 V | M1200 VW |
|---|---|---|---|---|---|---|---|
| M1204 V | 16.77 | 15.83 | 14.27 | 18.21 | 15.77 | 16.70 | |
| M1200 VP | 16.77 | 3.01 | 6.07 | 11.75 | 10.87 | 11.91 | |
| M1200 VPW | 15.83 | 3.01 | 5.80 | 10.34 | 9.27 | 10.16 | |
| M1200 VB | 14.27 | 6.07 | 5.80 | 12.02 | 9.80 | 10.07 | |
| M1200 VPlus | 18.21 | 11.75 | 10.34 | 12.02 | 6.16 | 5.85 | |
| M1200 V | 15.77 | 10.87 | 9.27 | 9.80 | 6.16 | 3.39 | |
| M1200 VW | 16.70 | 11.91 | 10.16 | 10.07 | 5.85 | 3.39 |
| FFP | M1204 V | M1200 VP | M1200 VPW | M1200 VB | M1200 VPlus | M1200 V | M1200 VW |
|---|---|---|---|---|---|---|---|
| M1204 V | 8.13 | 7.33 | 7.13 | 7.92 | 8.40 | 8.81 | |
| M1200 VP | 8.13 | 1.38 | 2.39 | 4.77 | 4.87 | 5.78 | |
| M1200 VPW | 7.33 | 1.38 | 2.22 | 3.98 | 4.18 | 5.05 | |
| M1200 VB | 7.13 | 2.39 | 2.22 | 3.42 | 3.39 | 4.30 | |
| M1200 VPlus | 7.92 | 4.77 | 3.98 | 3.42 | 0.83 | 1.30 | |
| M1200 V | 8.40 | 4.87 | 4.18 | 3.39 | 0.83 | 0.93 | |
| M1200 VW | 8.81 | 5.78 | 5.05 | 4.30 | 1.30 | 0.93 |
Disclaimer/Publisher’s Note: The statements, opinions and data contained in all publications are solely those of the individual author(s) and contributor(s) and not of MDPI and/or the editor(s). MDPI and/or the editor(s) disclaim responsibility for any injury to people or property resulting from any ideas, methods, instructions or products referred to in the content. |
© 2023 by the authors. Licensee MDPI, Basel, Switzerland. This article is an open access article distributed under the terms and conditions of the Creative Commons Attribution (CC BY) license (https://creativecommons.org/licenses/by/4.0/).
Share and Cite
Nowacki, K.; Marczak, W.; Łakomy, K.; Almásy, L. Construction of Half Masks for the Respiratory Tract Protection and the Speech Intelligibility Assessed from the Measured Suppression of Sound. Appl. Sci. 2023, 13, 8644. https://doi.org/10.3390/app13158644
Nowacki K, Marczak W, Łakomy K, Almásy L. Construction of Half Masks for the Respiratory Tract Protection and the Speech Intelligibility Assessed from the Measured Suppression of Sound. Applied Sciences. 2023; 13(15):8644. https://doi.org/10.3390/app13158644
Chicago/Turabian StyleNowacki, Krzysztof, Wojciech Marczak, Karolina Łakomy, and László Almásy. 2023. "Construction of Half Masks for the Respiratory Tract Protection and the Speech Intelligibility Assessed from the Measured Suppression of Sound" Applied Sciences 13, no. 15: 8644. https://doi.org/10.3390/app13158644
APA StyleNowacki, K., Marczak, W., Łakomy, K., & Almásy, L. (2023). Construction of Half Masks for the Respiratory Tract Protection and the Speech Intelligibility Assessed from the Measured Suppression of Sound. Applied Sciences, 13(15), 8644. https://doi.org/10.3390/app13158644





