Abstract
The proposed design approach improves the circularly polarized Fabry-Perot cavity antenna (CP-FPCA) by increasing gain and sidelobe suppression (SLS) while reducing the axial ratio (AR) and cross-polarization levels. Conventional CP-FPC antennas have a high AR due to the lack of independent control over circular polarization conditions. The solution proposes a double-layered circularly polarized partially reflecting surface (CP-PRS) that independently controls the circular polarization conditions at the design frequency f0 (10 GHz) for equal magnitudes and at a ±90° phase difference between orthogonal components of the transmitted waves. The PRS and artificial magnetic conductor (AMC) unit cells are employed to satisfy Trentini’s beamforming condition, leading to increased gain and SLS and lowered AR and cross-polarization levels. Consequently, the proposed CP-FPCA provides a 15.4 dBi high gain with 25.3% aperture efficiency and more than 23.5 dB high SLS in each plane. Moreover, it achieves an AR lowered by 0.12 dB and a cross-polarization level below −42 dB. A strong correlation between the simulations and experiments proves the practicality of our proposal.
1. Introduction
Array antennas are widely used in long-range wireless communications such as satellite [,] and mobile communications [], as well as in applications like air and maritime vessel traffic control, defense tracking, vehicle speed detection, and weather monitoring []. These antennas are favored due to their high gain, directional beam power patterns, low-profile fabrication [], and simple feeding structure. These characteristics make them suitable for mobile communication systems.
Conventionally, linear polarized reflectarray [,], transmitarray [,], and resonance cavity antennas [,,,,] are designed by utilizing configurable superstrates and non-configurable substrates. However, there are relatively few antennas of these types [,,] that offer circular polarization, which is important for defense and space applications []. Moreover, these antennas often have poor performance in terms of gain, axial ratio (AR), and sidelobe suppression (SLS). Achieving all the desired performance characteristics at the same time is challenging.
To overcome these problems, a polarization configurable resonance cavity with an electrical approach [,], a single-layered polarization conversion metasurface [], and a circular polarized folded transmitarray antenna [,] have been proposed to produce highly directional power patterns with circularly polarized (CP) waves. Even with these high-profile and complex multilayer design approaches, AR and SLS performance have not been satisfactory.
In [], a polarization-reconfigurable CP superstrate (Rogers RO4003C) is proposed as a switchable polarizer with double-etched circular patches and PIN diodes (SMP1245-079LF). However, its full resonance model has high sidelobe levels for each left-handed CP and right-handed CP. In [], a low-radar-cross-section (RCS) polarizer is employed with an isotropic high-impedance surface (HIS) to construct the resonance cavity. However, this antenna also suffers poor gain and aperture efficiency, as well as high sidelobes in both planes.
In [], a C-gap etched slot PRS is proposed to form LHCP and RHCP waves, and by rotating it, a phase gradient is formed to manipulate the cavity phase response for high realized gain. However, this antenna has low bandwidth and major sidelobes. In [,], folded transmitarray antennas are proposed, offering an excellent methodology to reduce the resonance cavity height by one third and convert the polarization conversion metasurfaces from linear to circular. However, the low-profile fabrication results in poor aperture efficiency of the sidelobe radiation power patterns.
To solve these problems, we propose a novel FPCA with a circularly polarized partially reflective surface (CP-PRS) to improve the AR. The use of artificial magnetic conductor (AMC) cells instead of a reflective ground plane enhances the broadside gain and SLS through Trentini’s beamforming condition in the resonance cavity by associating CP-PRS cells []. All simulations of the unit cell, feeder, and full FPCA model are computed with the CST Microwave Studio Suite [] using two solvers, a time domain solver and a frequency domain solver, which use the finite integration technique (FIT) and finite element method (FEM), respectively.
The rest of the paper is organized as follows: Section 2 depicts the design and operation of the circularly polarized FPC antenna (CP-FPCA) in respect to ray theory, and sketches the PRS and AMC unit cell design and feeding structure. Additionally, the mechanism of the circularly polarized PRS is briefly elaborated. Section 3 describes the simulated and experimental results of the present study. Section 4 concludes the paper.
2. Proposed FPCA Design and Operation
The proposed FPCA model is shown in Figure 1. It consists of a PRS superstrate, an AMC substrate, and an x-polarized U-slot microstrip patch antenna (MPA), which is located in the middle of the FPCA. The PRS changes the x-polarized input to a circularly polarized output. A 1.52 mm thick Taconic substrate (RF-35) is employed for the fabrication of the FPCA, which has relative permittivity 𝜀r = 3.5 and loss tangent tan δ = 0.0025.

Figure 1.
2D ray tracing of the FPCA with normal incidence of x-polarized wave; hc = 0.413, λ0 = 12.4 mm, λ0 = 30 mm (at f0 = 10 GHz), lc = 3.33 λ0 = 100 mm, p = 0.5 λ0 = 15 mm, t = 1.52 mm, N = 3 for PRS and AMC unit cells.
2.1. Design of the PRS and AMC Unit Cells and Feeder
Figure 2 illustrates the geometry of the PRS. The PRS unit cell is composed of three copper layers placed on two identical (t = 1.52 mm) Taconic RF-35 substrates. The top and bottom metal layers are connected by a metallic 0.018 mm thick through-hole (d3 = 1 mm) [see Figure 1], which passes through an etched circular hole (d2 = 1.9 mm) at the center of the middle ground layer [see Figure 2b]. These two identical substrates of the PRS are firmly bonded by a 0.04 mm epoxy FR4 layer with relative permittivity εr = 4.3 and loss tangent tan δ = 0.025.

Figure 2.
Circularly polarized PRS unit cell with reflection magnitude (): (a) top patch layer, (b) middle metal layer with etched hole, (c) bottom patch layer, p = λ0/2 = 15 mm, l1 = 4.35 mm, l2 = 1.898 mm, l3 = 8.5 mm, w1 = 5.2 mm, w2 = 4 mm, w3 = 3.95 mm, c = 2.86 mm, d1 = 5.72 mm, d2 = 1.9 mm, d3 = 1 mm (through-hole).
The AMC unit cell consists of a square copper patch on a Taconic RF-35 substrate, which is shown in Figure 3. Its bottom side is fully covered with copper.

Figure 3.
AMC unit cell with reflection magnitude (): (a) top square patch layer, (b) bottom ground layer, p = λ0/2 = 15 mm, a = 0.1 to 14.9 mm.
The geometry of the x-polarized U-slot MPA, which is used as a source feeder, is shown in Figure 4. For better impedance matching, the U-slot is introduced with the probe feeding offset mx. The reflection coefficient and the 3D radiation power pattern of the MPA are shown in the Supplementary Materials [see Figures S1 and S2].

Figure 4.
The x-polarized feeder MPA, l4 = 8 mm, l5 = 7.5 mm, w4 = 7 mm, w5 = 4.6 mm, s1 = 0.25 mm, s2 = 0.15 mm, d4 = 1.27 mm (for 50 Ω impedance matching of a coaxial cable), g1 = 0.5 mm, g2 = 0.15 mm, mx = 1.29 mm.
2.2. Mechanism of the CP-PRS as a Polarizer
The simulated model of the CP-PRS unit cell is depicted in Figure 5 in the form of floquet ports and boundary conditions, which are used to excite and analyze the unit cell to attain impedance characteristics and realize an infinite planar periodic structure [see Figure 5c].

Figure 5.
Simulated model of the PRS unit cell: (a) lower metallic patch, (b) upper metallic patch, (c) boundary conditions.
The CP-PRS works as a conventional polarizer, which transmits only the x-polarized components of the incident waves coming from the feeder and converts them to CP waves after penetrating the CP-PRS. Only the x-polarized waves can be transmitted through the CP- PRS due to the rectangular patch, which is installed along the x-axis on the bottom side of the PRS unit cell as shown in Figure 2c and Figure 5a.
To form a perfect CP wave in the broadside direction, the orthogonal components of the transmitted waves should be equal in magnitude and have ±90° phase differences for the left-handed and right-handed circular polarization. Here, , , , and are the magnitudes and phases of the orthogonal components of the transmitted waves. The labeled subscripts are (x,x) and (y,x) on the right and left of the comma “,” representing the incidence of x-polarized waves and the orthogonal x- and y-components of the transmitted waves, respectively.
These transmission characteristics of the circularly polarized wave are controlled independently by the arm length, width, diameter, and corners (l1, l2, w1, w2, d1, c) of the upper PRS metal layer, due to the deployment of the reflective ground between the top and bottom patches [as depicted in Figure 1, Figure 2b and Figure 5a]. Moreover, the reflective ground provides high reflection within the resonance cavity, which is favorable for increasing antenna gain due to the more realistic illumination environment of the PRS. For CP waves as an output above the PRS superstrate, the axial ratio (AR) [,] can be determined within the operating frequency band using the equations
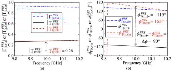
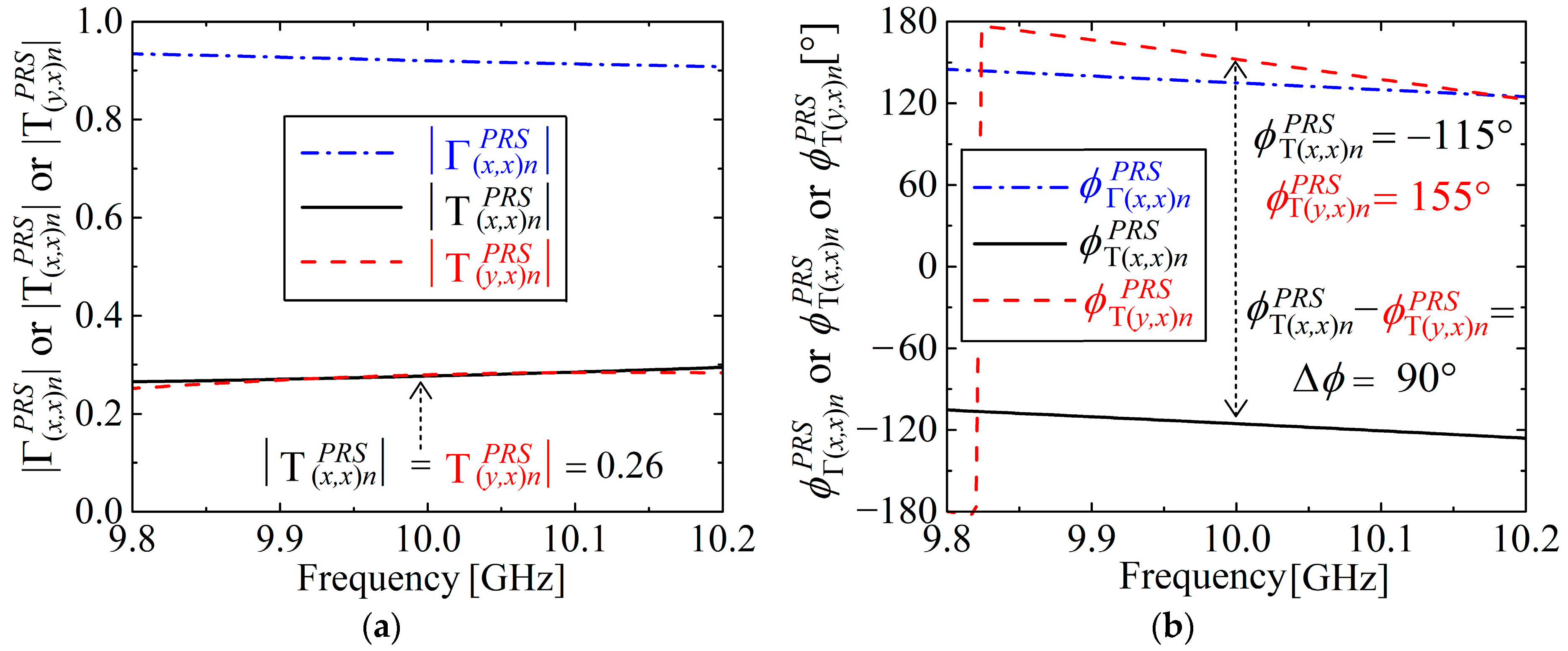
The reflection and transmission characteristics of the PRS unit cell are shown in Figure 6. The optimized reflection magnitude and phase characteristics of the CP-PRS unit cell are 0.95 and −135°, respectively, at design frequency f0 = 10 GHz. For circular polarization, this cell satisfies the equal magnitude of = = 0.26, and a phase difference of = −115° −155° = −270° (i.e., 90° in the counterclockwise direction) between the orthogonal components of the transmitted waves shown in Figure 6a,b. To confirm perfectly circularly polarized wave generation, the Ex-field distribution and surface current density are illustrated in the Supplementary Materials [see Figure S3]. The AR of 0.08 dB is determined by using Equations (1) and (2) in the analysis of the transmission characteristics. It will be compared with simulated and measured values in the simulation and experimental results section.

Figure 6.
Reflection and transmission coefficients at f0 = 10 GHz: (a) reflection and transmission , magnitudes of the PRS, (b) reflection and transmission , phases of the PRS [see Figure 2].
2.3. Operation of the Resonance Cavity
The multiple bouncing of the incidence waves within the FPC, which produces a constructively interfering plane wave in the positive z-direction, is depicted in Figure 1. As is well recognized, to achieve a high realized gain in the broadside direction, all the waves must satisfy Trentini’s beamforming condition [], which is written as
where is the free space phase constant, is the height of the resonance cavity, is the reflection phase of the uniform PRS, and and are the total and number of unit cells, respectively.
In traditional resonance cavity antennas, a PRS superstrate and a metallic ground plane are utilized to form an FPCA, and only the reflection phase of the PRS cells is employed to control the phase response of the resonance cavity, as expressed in Equation (3).
In order to produce circularly polarized waves, a uniform CP-PRS superstrate will be constructed. Therefore, to manipulate the cavity phase response, an additional AMC unit cell is employed instead of a metallic ground plane. This cell provides the desired reflection phase to form a plane wavefront in the broadside direction. For PRS and AMC deployment in Figure 1, the overall phase delay is given by each wave in the resonance cavity, which is written as
where and are the reflection phases of the PRS and AMC unit cell. This novel approach to controlling the phase response of the FPCA by employing the AMC makes it easier to form constructive interference within the resonance cavity. Moreover, it can significantly increase the sidelobe suppression and reduce the profile (height) of the antenna through careful optimization and design process.
Figure 7 depicts the simulated model of the AMC unit cell, with floquet ports and boundary conditions that are utilized to excite and investigate the unit cell to achieve impedance characteristics and realize an infinite planar periodic array. Figure 8 shows the high reflection magnitude and wide phase characteristics of the designed AMC cell. The reflection phase of the AMC is calculated as −171° using Equation (4), based on its square patch length, a = 8.763 mm.

Figure 7.
Simulated model of: (a) AMC unit cell, (b) boundary conditions.

Figure 8.
Reflection (a) magnitude and (b) phase of the AMC unit cell [see Figure 3] at f0 = 10 GHz.
3. Simulation and Experiment Results
This section discusses the experimental results for a CP-FPCA, including impedance characteristics and radiation power pattern, which are measured using a vector network analyzer and anechoic chamber, respectively. The antenna impedance is measured on the vector network analyzer (Anritsu MS46122A, 40 GHz) using the short-open-load (SOL) (Anritsu TOSLKF50A-40) calibration method, which is depicted in Figure 9a. Measurements of the impedance characteristics in respect to the resonance cavity height variation are also shown in the Supplementary Materials [see Figure S4]. Here, the impedance bandwidth is well maintained around the operating frequency f0 = 10 GHz and the measured data shows that the −10 dB impedance bandwidth is 57% higher than the simulated result and is 9.7% of the fractional bandwidth. Overall, we can see that the measured data follows the simulated results relatively well.

Figure 9.
(a) Reflection coefficient S11, (b) peak gain of the CP-FPCA at f0 = 10 GHz.
In regard to the peak realized gain, which is depicted in Figure 9b, we observe a 0.98 dB gain drop at design frequency f0 and a slight deviation in the gain at the 9.7 to 10.3 GHz frequencies. This gain variation is mainly because the AMC substrate and double-layered PRS superstrate [bonded with epoxy FR4] are not perfectly flat, which is a common issue of chemical etching processes. To address this issue, we employed 8 M3 plastic spacers within the cavity to keep the superstrate as flat as possible. Here, we can see that cross-polarization of the peak gain is less than −5 dB at the operation frequency f0 = 10 GHz, indicating that the antenna provides perfectly circularly polarized waves in the broadside direction.
The main goals of the CP-FPCA are to achieve a high realized gain in the target direction and minimum AR and cross-polarization for circularly polarized waves. These goals can be evaluated based on the form of the radiation patterns in Figure 10a,b and the AR in Figure 10c.

Figure 10.
Radiation pattern of the realized gain: (a) xz-plane (ϕ = 0° and 180°), (b) yz-plane (ϕ = 90° and 270°), (c) axial ratio, (d) Ex-field distribution within the CP-FPCA at f0 = 10 GHz.
The radiation pattern of the CP-FPCA at operating frequency f0 = 10 GHz is illustrated in Figure 10a,b for the xz-plane and yz-plane. Here, we can see that CP-FPCA provides a peak gain of 15.4 dBi in the broadside direction with 23.8 dB and 25 dB, respectively, of high SLS along the xz-plane (ϕ = 0° and 180°) and the yz-plane (ϕ = 90° and 270°). The measured radiation patterns closely resemble the predicted ones in both planes with half-power beam widths of 28.5° and 27.5°, respectively. The 3D radiation power pattern is illustrated in the Supplementary Materials [see Figure S5]. Moreover, the cross-polarization level is less than −42 dB in both planes in the broadside direction at operating frequency f0 = 10 GHz, which is 55% more suppressed than the sidelobes in each plane.
The minimum AR is shown in Figure 10c. The antenna exhibits a minimum AR of 0.12 dB at the design frequency f0 = 10 GHz and has a 3 dB axial ratio bandwidth of 233 MHz, but 0.53 dB loss is observed for the measured case at operating frequency f0. The measured 3 dB axial ratio bandwidth is 303 MHz, which is 23% higher than the simulated results.
The Ex-field distribution within the CP-FPCA is depicted in Figure 10d, confirming the constructive interference, which satisfies Trentini’s beamforming condition to attain the peak gain in the broadside direction and high SLS in both planes [see Figure 10a,b]. The Ex-field distribution above the resonance cavity is also illustrated in the Supplementary Materials [see Figure S6].
The fabricated CP-FPC antenna and its anechoic chamber measurement setup are depicted in Figure 11. The proposed antenna size is 100 mm (3.3 λ0) × 100 mm (3.3 λ0) × 12.4 mm (0.413 λ0), and the antenna is made up of 36 PRS and 32 AMC unit cells. Characteristics of the fabricated antenna such as radiation power pattern, gain, directivity, co-and cross-polarization levels, axial ratio, and sidelobe levels are measured in the anechoic chamber, which consists of the antenna under test (AUT), RF transmitter system, reference antenna, receiver system, and position system. To cancel all the electromagnetic reflections within the chamber, radar-absorbing material (RAM) is installed on each side.

Figure 11.
(a) The fabricated CP-FPCA operates at f0 = 10 GHz. Here, 8 plastic M3 spacers are used to keep the PRS as flat as possible; (b) anechoic chamber measurement setup.
The overall performance of the CP-FPCA is summarized by listing important parameters in Table 1. As described, impedance bandwidth, realized gain, aperture efficiency, axial ratio, cross-polarization level, and sidelobe suppression, which are promising characteristics for practical applications are well attained.

Table 1.
Analysis parameters of the CP-FPCA at 10 GHz.
The CP-FPCA’s performance is compared with other recently published related works in Table 2 and is found to perform better in terms of realized gain, aperture efficiency, AR, and SLS. The authors conclude that the CP-FPCA is highly effective in achieving minimum AR with high realized gain in the broadside direction.

Table 2.
Comparison of the present project with previously published circular polarized FPCAs.
4. Conclusions
In this study we have proposed a novel circularly polarized FPC antenna (CP-FPCA) to improve AR, cross-polarization level, realized gain, aperture efficiency, and SLS. To obtain the minimal AR and cross-polarization level, the circularly polarized PRS is deployed above the x-polarized feeder and the AMC. Moreover, to provide high gain and SLS, CP-PRS and AMC cells are caused to satisfy the resonance conditions of the CP-FPCA by using the reflection characteristics of these cells. Additionally, peak gain with a low-profile antenna produces a high aperture efficiency, which is favorable for traditional applications.
Consequently, our proposed CP-FPCA has successfully achieved 0.12 dB AR along with a peak gain of 15.4 dBi in the broadside direction, 25.3% aperture efficiency, more than 23 dB SLS, and less than −42 dB cross-polarization level in both planes at operation frequency f0 = 10 GHz. Therefore, our antenna is suitable for various potential applications demanding peak realized gain, high SLS, and minimum AR, including radars, radio systems, and satellite communications.
Supplementary Materials
The following supporting information can be downloaded at https://www.mdpi.com/article/10.3390/app13148222/s1, Figure S1: the reflection coefficient of the MPA; Figure S2: the 3D radiation pattern of the MPA; Figure S3: (a) the Ex-field distribution at 15 mm above the PRS unit cell, (b) the surface current density above the CP-PRS superstrate; Figure S4: the impedance measurement of the CP-FPCA; Figure S5: the 3D radiation pattern of the CP-FPCA; Figure S6: the Ex-field distribution (a) within the CP-FPCA, (b) above the CP-FPCA.
Author Contributions
Conceptualization, M.H. and D.K.; methodology, M.H.; software, D.K.; validation, M.H., K.-G.L. and D.K.; formal analysis, M.H.; investigation, M.H. and D.K.; resources, K.-G.L. and D.K; writing—original draft preparation, M.H.; writing—review and editing, M.H., K.-G.L. and D.K.; supervision, K.-G.L. and D.K.; funding acquisition, K.-G.L. and D.K. All authors have read and agreed to the published version of the manuscript.
Funding
This research was supported by a National Research Foundation of Korea (NRF) grant funded by the Korean government (Ministry of Science and ICT), grant number 2020R1A2C2013466.
Institutional Review Board Statement
Not applicable.
Informed Consent Statement
Not applicable.
Data Availability Statement
Not applicable.
Conflicts of Interest
The authors declare no conflict of interest.
References
- Hasani, H.; Silva, J.S.; Capdevila, S.; Garcia-Vigueras, M.; Mosig, J.R. Dual-Band Circularly Polarized Transmitarray Antenna for Satellite Communications at (20, 30) GHz. IEEE Trans. Antennas Propag. 2019, 67, 5325–5333. [Google Scholar] [CrossRef]
- Yang, S.; Yan, Z.; Cai, M.; Li, X. Low-Profile Dual-Band Circularly Polarized Antenna Combining Transmitarray and Reflectarray for Satellite Communications. IEEE Trans. Antennas Propag. 2022, 70, 5983–5988. [Google Scholar] [CrossRef]
- Guo, Q.-Y.; Wong, H. Wideband and high-gain Fabry–Pérot cavity antenna with switched beams for millimeter-wave applications. IEEE Trans. Antennas Propag. 2019, 67, 4339–4347. [Google Scholar] [CrossRef]
- Goudarzi, A.; Honari, M.M.; Mirzavand, R. Resonant Cavity Antennas for 5G Communication Systems: A Review. Electronics 2020, 9, 1080. [Google Scholar] [CrossRef]
- Rabbani, M.S.; Churm, J.; Feresidis, A.P. Fabry–Perot Beam Scanning Antenna for Remote Vital Sign Detection at 60 GHz. IEEE Trans. Antennas Propag. 2021, 69, 3115–3124. [Google Scholar] [CrossRef]
- Nam, I.-J.; Lee, S.; Kim, D. Miniaturized beam reconfigurable reflectarray antenna with wide 3-D beam coverage. IEEE Trans. Antennas Propag. 2021, 70, 2613–2622. [Google Scholar] [CrossRef]
- Prado, D.R. Plane-Wave Generation through General Near-Field In-Band Reflectarray Direct Layout Optimization with Figure of Merit Constraints in mm-Wave Band. Electronics 2022, 12, 91. [Google Scholar] [CrossRef]
- Yi, X.; Su, T.; Li, X.; Wu, B.; Yang, L. A Double-Layer Wideband Transmitarray Antenna Using Two Degrees of Freedom Elements Around 20 GHz. IEEE Trans. Antennas Propag. 2019, 67, 2798–2802. [Google Scholar] [CrossRef]
- Yi, X.J.; Su, T.; Wu, B.; Chen, J.Z.; Yang, L.; Li, X. A Double-Layer Highly Efficient and Wideband Transmitarray Antenna. IEEE Access 2019, 7, 23285–23290. [Google Scholar] [CrossRef]
- Jang, W.; Jeon, Y.-G.; Maeng, H.-J.; Kim, J.; Kim, D. Novel Beam Scan Method of Fabry–Perot Cavity (FPC) Antennas. Appl. Sci. 2021, 11, 11005. [Google Scholar] [CrossRef]
- Rabbani, M.S.; Churm, J.; Feresidis, A.P. Continuous Beam-Steering Low-Loss Millimeter-Wave Antenna Based on a Piezo-Electrically Actuated Metasurface. IEEE Trans. Antennas Propag. 2021, 70, 2439–2449. [Google Scholar] [CrossRef]
- Ma, C.J.; Zheng, S.Y.; Pan, Y.M.; Chen, Z. Millimeter-Wave Fully Integrated Dielectric Resonator Antenna and Its Multi-beam Application. IEEE Trans. Antennas Propag. 2022, 70, 6571–6580. [Google Scholar] [CrossRef]
- Lee, J.-G. Compact and robust Fabry-Perot cavity antenna with PEC wall. J. Electromagn. Eng. Sci. 2021, 21, 184–188. [Google Scholar] [CrossRef]
- Hur, J.; Choo, H. Design of a small array antenna with an extended cavity structure for wireless power transmission. J. Electromagn. Eng. Sci. 2020, 20, 9–15. [Google Scholar] [CrossRef]
- Cai, Y.-M.; Li, K.; Li, W.; Gao, S.; Yin, Y.; Zhao, L.; Hu, W. Dual-band circularly polarized transmitarray with single linearly polarized feed. IEEE Trans. Antennas Propag. 2020, 68, 5015–5020. [Google Scholar] [CrossRef]
- Naseri, P.; Matos, S.A.; Costa, J.R.; Fernandes, C.A. Phase-delay versus phase-rotation cells for circular polarization transmit arrays—Application to satellite Ka-band beam steering. IEEE Trans. Antennas Propag. 2017, 66, 1236–1247. [Google Scholar] [CrossRef]
- Naseri, P.; Riel, M.; Demers, Y.; Hum, S.V. A dual-band dual-circularly polarized reflectarray for K/Ka-band space applications. IEEE Trans. Antennas Propag. 2020, 68, 4627–4637. [Google Scholar] [CrossRef]
- Dutta, K.; Mittra, R.; Chatterjee, A. Wideband Design of A Circularly Polarized Fabry-Perot Cavity Antenna. In Proceedings of the IEEE International Symposium on Antenna and Propagation and USNC-URSI Radio Science meeting (APS/URSI), Singapore, 4–10 December 2021; pp. 973–974. [Google Scholar]
- Li, W.; Gao, S.; Cai, Y.; Luo, Q.; Sobhy, M.; Wei, G.; Xu, J.; Li, J.; Wu, C.; Cheng, Z. Polarization-reconfigurable circularly polarized planar antenna using switchable polarizer. IEEE Trans. Antennas Propag. 2017, 65, 4470–4477. [Google Scholar] [CrossRef]
- Ren, J.; Jiang, W.; Zhang, K.; Gong, S. A high-gain circularly polarized Fabry–Perot antenna with wideband low-RCS property. IEEE Antennas Wireless Propag. Lett. 2018, 17, 853–856. [Google Scholar] [CrossRef]
- Li, J.; Huang, X. Dual Circular Polarization Fabry–Pérot Resonant Antennas Based on Meta-Surface. Electronics 2023, 12, 173. [Google Scholar] [CrossRef]
- Yang, J.; Chen, S.T.; Chen, M.; Ke, J.C.; Chen, M.Z.; Zhang, C.; Yang, R.; Li, X.; Cheng, Q.; Cui, T.J. Folded transmitarray antenna with circular polarization based on metasurface. IEEE Trans. Antennas Propag. 2020, 69, 806–814. [Google Scholar] [CrossRef]
- Lei, H.; Liu, Y.; Jia, Y.; Yue, Z.; Wang, X. A Low-Profile Dual-Band Dual-Circularly Polarized Folded Transmitarray Antenna With Independent Beam Control. IEEE Trans. Antennas Propag. 2021, 70, 3852–3857. [Google Scholar] [CrossRef]
- Trentini, G.V. Partially reflecting sheet arrays. IRE Trans. Antennas Propag. 1956, 4, 666–671. [Google Scholar] [CrossRef]
- CST Microwave Studio Suite. Available online: https://emagtech.co.kr/ (accessed on 10 May 2023).
- Abadi, S.M.A.M.H.; Behdad, N. Wideband Linear-to-Circular Polarization Converters Based on Miniaturized-Element Frequency Selective Surfaces. IEEE Trans. Antennas Propag. 2016, 64, 525–534. [Google Scholar] [CrossRef]
Disclaimer/Publisher’s Note: The statements, opinions and data contained in all publications are solely those of the individual author(s) and contributor(s) and not of MDPI and/or the editor(s). MDPI and/or the editor(s) disclaim responsibility for any injury to people or property resulting from any ideas, methods, instructions or products referred to in the content. |
© 2023 by the authors. Licensee MDPI, Basel, Switzerland. This article is an open access article distributed under the terms and conditions of the Creative Commons Attribution (CC BY) license (https://creativecommons.org/licenses/by/4.0/).