Adversarial Attack for Deep Steganography Based on Surrogate Training and Knowledge Diffusion
Abstract
1. Introduction
- To the best of our knowledge, we are the first group to apply the white-box attack method to deep steganographic models by constructing an adversarial perturbation. Attackers can remove or modify secret images by superimposing imperceptible adversarial perturbations onto container images (Figure 1).
- A deep steganalysis threat model in a black-box scenario is also proposed based on surrogate training and knowledge distillation to extend the above white-box attack method to the black-box environment, thus achieving the removal, modification, and content analysis of secret images in a black-box environment.
2. Related Works
2.1. Deep Steganography
2.2. Deep Steganalysis
2.3. White-Box Adversarial Attacks
2.4. Black-Box Adversarial Attacks
3. Adversarial Attack Method for Deep Steganography
3.1. Preliminaries
3.2. Attack on the Container Image
3.2.1. Adversarial Attack to Destroy the Secret Image
3.2.2. Adversarial Attack to Modify the Secret Image
3.3. Adversarial Attack Based on Surrogate Training and Knowledge Distillation
| Algorithm 1: Container Image Attack |
![]() |
| Algorithm 2: Container Image Attack |
![]() |
3.3.1. Threat Model for Deep Steganography
3.3.2. Initialization through Surrogate Training
3.3.3. Optimization of Surrogate Model Based on Knowledge Distillation
4. Experiment
4.1. Experimental Setup
4.1.1. Datasets
4.1.2. Evaluation Metrics
4.1.3. Deep Steganography
4.1.4. Baselines
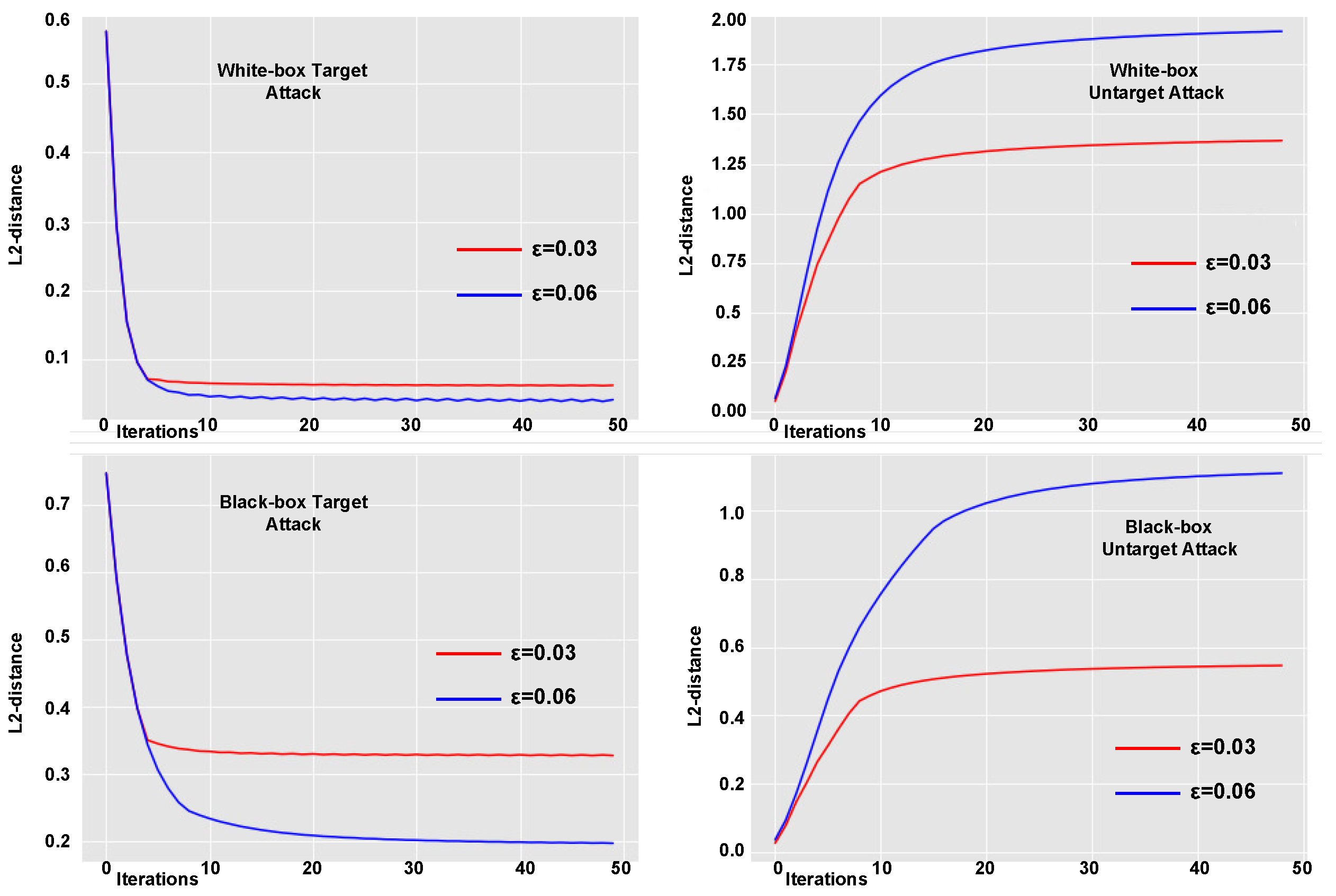
4.2. White-Box Attack Results
4.3. Black-Box Attack Results
Secret Image Analysis and Black-Box Target Attack
4.4. Discussion
4.4.1. Untargeted Attacks Are a Special Case of Targeted Attacks
4.4.2. Adversarial Attack Is a New Deep Steganography Method
| Algorithm 3: DS based on adversarial attacks |
![]() |
4.4.3. Adversarial Training of the DS Model
5. Conclusions
Author Contributions
Funding
Institutional Review Board Statement
Informed Consent Statement
Data Availability Statement
Conflicts of Interest
References
- Morkel, T.; Eloff, J.H.; Olivier, M.S. An overview of image steganography. In Proceedings of the Fifth Annual Information Security South Africa Conference (ISSA2005), Sandton, South Africa, 29 June–1 July 2005; pp. 1–11. [Google Scholar]
- Kadhim, I.J.; Premaratne, P.; Vial, P.J.; Halloran, B. Comprehensive survey of image steganography: Techniques, Evaluations, and trends in future research. Neurocomputing 2019, 335, 299–326. [Google Scholar] [CrossRef]
- Li, B.; He, J.; Huang, J.; Shi, Y.Q. A survey on image steganography and steganalysis. J. Inf. Hiding Multim. Signal Process. 2011, 2, 142–172. [Google Scholar]
- Cox, I.; Miller, M.; Bloom, J.; Fridrich, J.; Kalker, T. Digital Watermarking and Steganography; Morgan Kaufmann: Burlington, MA, USA, 2007. [Google Scholar]
- Abraham, A.; Paprzycki, M. Significance of steganography on data security. In Proceedings of the International Conference on Information Technology: Coding and Computing, Las Vegas, NV, USA, 5–7 April 2004; Volume 2, pp. 347–351. [Google Scholar]
- Fridrich, J.; Goljan, M.; Du, R. Detecting LSB steganography in color, and gray-scale images. IEEE Multimed. 2001, 8, 22–28. [Google Scholar] [CrossRef]
- Johnson, N.F.; Jajodia, S. Steganalysis of images created using current steganography software. In Proceedings of the Information Hiding: Second International Workshop, IH’98, Portland, OR, USA, 14–17 April 1998; pp. 273–289. [Google Scholar]
- Amritha, P.; Sethumadhavan, M.; Krishnan, R. On the Removal of Steganographic Content from Images. Def. Sci. J. 2016, 66, 574. [Google Scholar] [CrossRef]
- Hosam, O. Attacking image watermarking and steganography-a survey. Int. J. Inf. Technol. Comput. Sci. 2019, 11, 23–37. [Google Scholar] [CrossRef]
- Zhang, C.; Lin, C.; Benz, P.; Chen, K.; Zhang, W.; Kweon, I.S. A brief survey on deep learning based data hiding, steganography and watermarking. arXiv 2021, arXiv:2103.01607v2. [Google Scholar]
- Baluja, S. Hiding images in plain sight: Deep steganography. Adv. Neural Inf. Process. Syst. 2017, 30, 2069–2079. [Google Scholar]
- Baluja, S. Hiding images within images. IEEE Trans. Pattern Anal. Mach. Intell. 2019, 42, 1685–1697. [Google Scholar] [CrossRef] [PubMed]
- Wang, Z.; Zhou, M.; Liu, B.; Li, T. Deep Image Steganography Using Transformer and Recursive Permutation. Entropy 2022, 24, 878. [Google Scholar] [CrossRef]
- Chen, F.; Xing, Q.; Fan, C. Multilevel Strong Auxiliary Network for Enhancing Feature Representation to Protect Secret Images. IEEE Trans. Ind. Inform. 2021, 18, 4577–4586. [Google Scholar] [CrossRef]
- Zhu, J.; Kaplan, R.; Johnson, J.; Fei-Fei, L. Hidden: Hiding data with deep networks. In Proceedings of the European Conference on Computer Vision (ECCV), Munich, Germany, 8–14 September 2018; pp. 657–672. [Google Scholar]
- Luo, X.; Zhan, R.; Chang, H.; Yang, F.; Milanfar, P. Distortion agnostic deep watermarking. In Proceedings of the IEEE/CVF Conference on Computer Vision and Pattern Recognition, Seattle, WA, USA, 14–19 June 2020; pp. 13548–13557. [Google Scholar]
- Tancik, M.; Mildenhall, B.; Ng, R. Stegastamp: Invisible hyperlinks in physical photographs. In Proceedings of the IEEE/CVF Conference on Computer Vision and Pattern Recognition, Seattle, WA, USA, 14–19 June 2020; pp. 2117–2126. [Google Scholar]
- Wengrowski, E.; Dana, K. Light field messaging with deep photographic steganography. In Proceedings of the IEEE/CVF Conference on Computer Vision and Pattern Recognition, Long Beach, CA, USA, 15–20 June 2019; pp. 1515–1524. [Google Scholar]
- Zhang, C.; Benz, P.; Karjauv, A.; Sun, G.; Kweon, I.S. Udh: Universal deep hiding for steganography, watermarking, and light field messaging. Adv. Neural Inf. Process. Syst. 2020, 33, 10223–10234. [Google Scholar]
- Hayes, J.; Danezis, G. Generating steganographic images via adversarial training. Adv. Neural Inf. Process. Syst. 2017, 30, 1954–1963. [Google Scholar]
- Zhang, C.; Benz, P.; Karjauv, A.; Kweon, I.S. Universal adversarial perturbations through the lens of deep steganography: Towards a fourier perspective. In Proceedings of the AAAI Conference on Artificial Intelligence, Virtual, 2–9 February 2021; pp. 3296–3304. [Google Scholar]
- Jung, D.; Bae, H.; Choi, H.S.; Yoon, S. Pixelsteganalysis: Pixel-wise hidden information removal with low visual degradation. IEEE Trans. Dependable Secur. Comput. 2023, 20, 331–342. [Google Scholar] [CrossRef]
- Xiang, T.; Liu, H.; Guo, S.; Zhang, T. PEEL: A Provable Removal Attack on Deep Hiding. arXiv 2021, arXiv:2106.02779. [Google Scholar]
- Zhong, S.; Weng, W.; Chen, K.; Lai, J. Deep-learning steganalysis for removing document images on the basis of geometric median pruning. Symmetry 2020, 12, 1426. [Google Scholar] [CrossRef]
- Szegedy, C.; Zaremba, W.; Sutskever, I.; Bruna, J.; Erhan, D.; Goodfellow, I.; Fergus, R. Intriguing properties of neural networks. arXiv 2013, arXiv:1312.6199. [Google Scholar]
- Goodfellow, I.J.; Shlens, J.; Szegedy, C. Explaining and harnessing adversarial examples. arXiv 2014, arXiv:1412.6572. [Google Scholar]
- Pevnỳ, T.; Filler, T.; Bas, P. Using high-dimensional image models to perform highly undetectable steganography. In Proceedings of the Information Hiding: 12th International Conference, IH 2010, Calgary, AB, Canada, 28–30 June 2010; pp. 161–177. [Google Scholar]
- Qin, J.; Wang, J.; Tan, Y.; Huang, H.; Xiang, X.; He, Z. Coverless image steganography based on generative adversarial network. Mathematics 2020, 8, 1394. [Google Scholar] [CrossRef]
- Shang, Y.; Jiang, S.; Ye, D.; Huang, J. Enhancing the security of deep learning steganography via adversarial examples. Mathematics 2020, 8, 1446. [Google Scholar] [CrossRef]
- Zhu, X.; Lai, Z.; Zhou, N.; Wu, J. Steganography with High Reconstruction Robustness: Hiding of Encrypted Secret Images. Mathematics 2022, 10, 2934. [Google Scholar] [CrossRef]
- Moosavi-Dezfooli, S.M.; Fawzi, A.; Fawzi, O.; Frossard, P. Universal adversarial perturbations. In Proceedings of the IEEE Conference on Computer Vision and Pattern Recognition, Honolulu, HI, USA, 21–26 July 2017; pp. 1765–1773. [Google Scholar]
- Chen, H.; Zhu, T.; Zhao, Y.; Liu, B.; Yu, X.; Zhou, W. Low-frequency Image Deep Steganography: Manipulate the Frequency Distribution to Hide Secrets with Tenacious Robustness. arXiv 2023, arXiv:2303.13713. [Google Scholar]
- Yin, X.; Wu, S.; Wang, K.; Lu, W.; Zhou, Y.; Huang, J. Anti-rounding Image Steganography with Separable Fine-tuned Network. IEEE Trans. Circuits Syst. Video Technol. 2023. [Google Scholar] [CrossRef]
- Pan, W.; Yin, Y.; Wang, X.; Jing, Y.; Song, M. Seek-and-hide: Adversarial steganography via deep reinforcement learning. IEEE Trans. Pattern Anal. Mach. Intell. 2021, 44, 7871–7884. [Google Scholar] [CrossRef] [PubMed]
- Wang, Z.; Feng, G.; Wu, H.; Zhang, X. Data hiding during image processing using capsule networks. Neurocomputing 2023, 537, 49–60. [Google Scholar] [CrossRef]
- Zhang, K.; Zuo, W.; Chen, Y.; Meng, D.; Zhang, L. Beyond a gaussian denoiser: Residual learning of deep cnn for image denoising. IEEE Trans. Image Process. 2017, 26, 3142–3155. [Google Scholar] [CrossRef]
- Liao, F.; Liang, M.; Dong, Y.; Pang, T.; Hu, X.; Zhu, J. Defense against adversarial attacks using high-level representation guided denoiser. In Proceedings of the IEEE Conference on Computer Vision and Pattern Recognition, Salt Lake City, UT, USA, 18–22 June 2018; pp. 1778–1787. [Google Scholar]
- Ilyas, A.; Santurkar, S.; Tsipras, D.; Engstrom, L.; Tran, B.; Madry, A. Adversarial examples are not bugs, they are features. Adv. Neural Inf. Process. Syst. 2019, 32, 125–136. [Google Scholar]
- Yuan, X.; He, P.; Zhu, Q.; Li, X. Adversarial examples: Attacks and defenses for deep learning. IEEE Trans. Neural Netw. Learn. Syst. 2019, 30, 2805–2824. [Google Scholar] [CrossRef]
- Mądry, A.; Makelov, A.; Schmidt, L.; Tsipras, D.; Vladu, A. Towards deep learning models resistant to adversarial attacks. arXiv 2017, arXiv:1706.06083. [Google Scholar]
- Carlini, N.; Wagner, D. Towards evaluating the robustness of neural networks. In Proceedings of the 2017 IEEE Symposium on Security and Privacy (sp), San Jose, CA, USA, 22–24 May 2017; pp. 39–57. [Google Scholar]
- Thys, S.; Van Ranst, W.; Goedemé, T. Fooling automated surveillance cameras: Adversarial patches to attack person detection. In Proceedings of the IEEE/CVF Conference on Computer Vision and Pattern Recognition Workshops, Long Beach, CA, USA, 16–17 June 2019. [Google Scholar]
- Xu, K.; Zhang, G.; Liu, S.; Fan, Q.; Sun, M.; Chen, H.; Chen, P.Y.; Wang, Y.; Lin, X. Adversarial t-shirt! evading person detectors in a physical world. In Proceedings of the Computer Vision–ECCV 2020: 16th European Conference, Glasgow, UK, 23–28 August 2020; pp. 665–681. [Google Scholar]
- Komkov, S.; Petiushko, A. Advhat: Real-world adversarial attack on arcface face id system. In Proceedings of the 2020 25th International Conference on Pattern Recognition (ICPR), Milan, Italy, 10–15 January 2021; pp. 819–826. [Google Scholar]
- Ilyas, A.; Engstrom, L.; Athalye, A.; Lin, J. Black-box adversarial attacks with limited queries and information. In Proceedings of the International Conference on Machine Learning, PMLR, Stockholm, Sweden, 10–15 July 2018; pp. 2137–2146. [Google Scholar]
- Brendel, W.; Rauber, J.; Bethge, M. Decision-based adversarial attacks: Reliable attacks against black-box machine learning models. arXiv 2017, arXiv:1712.04248. [Google Scholar]
- Chen, P.Y.; Zhang, H.; Sharma, Y.; Yi, J.; Hsieh, C.J. Zoo: Zeroth order optimization based black-box attacks to deep neural networks without training substitute models. In Proceedings of the 10th ACM Workshop on Artificial Intelligence and Security, Dallas, TX, USA, 3 November 2017; pp. 15–26. [Google Scholar]
- Cheng, M.; Singh, S.; Chen, P.; Chen, P.Y.; Liu, S.; Hsieh, C.J. Sign-opt: A query-efficient hard-label adversarial attack. arXiv 2019, arXiv:1909.10773. [Google Scholar]
- Byun, J.; Cho, S.; Kwon, M.J.; Kim, H.S.; Kim, C. Improving the transferability of targeted adversarial examples through object-based diverse input. In Proceedings of the IEEE/CVF Conference on Computer Vision and Pattern Recognition, New Orleans, LA, USA, 18–24 June 2022; pp. 15244–15253. [Google Scholar]
- Li, M.; Deng, C.; Li, T.; Yan, J.; Gao, X.; Huang, H. Towards transferable targeted attack. In Proceedings of the IEEE/CVF Conference on Computer Vision and Pattern Recognition, Seattle, WA, USA, 13–19 June 2020; pp. 641–649. [Google Scholar]
- Dong, Y.; Liao, F.; Pang, T.; Su, H.; Zhu, J.; Hu, X.; Li, J. Boosting adversarial attacks with momentum. In Proceedings of the IEEE Conference on Computer Vision and Pattern Recognition, Salt Lake City, UT, USA, 18–22 June 2018; pp. 9185–9193. [Google Scholar]
- Liu, Y.; Chen, X.; Liu, C.; Song, D. Delving into transferable adversarial examples and black-box attacks. arXiv 2016, arXiv:1611.02770. [Google Scholar]
- Li, Y.; Bai, S.; Zhou, Y.; Xie, C.; Zhang, Z.; Yuille, A. Learning transferable adversarial examples via ghost networks. In Proceedings of the AAAI Conference on Artificial Intelligence, New York, NY, USA, 7–12 February 2020; Volume 34, pp. 11458–11465. [Google Scholar]
- Hinton, G.; Vinyals, O.; Dean, J. Distilling the knowledge in a neural network. arXiv 2015, arXiv:1503.02531. [Google Scholar]
- Le, Y.; Yang, X. Tiny imagenet visual recognition challenge. In CS 231N; Stanford University: Stanford, CA, USA, 2015. [Google Scholar]
- Lin, T.Y.; Maire, M.; Belongie, S.; Hays, J.; Perona, P.; Ramanan, D.; Dollár, P.; Zitnick, C.L. Microsoft coco: Common objects in context. In Proceedings of the Computer Vision–ECCV 2014: 13th European Conference, Zurich, Switzerland, 6–12 September 2014; pp. 740–755. [Google Scholar]
- Hore, A.; Ziou, D. Image quality metrics: PSNR vs. SSIM. In Proceedings of the 2010 20th International Conference on Pattern Recognition, Istanbul, Turkey, 23–26 August 2010; pp. 2366–2369. [Google Scholar]
- Wang, Z.; Bovik, A.C.; Sheikh, H.R.; Simoncelli, E.P. Image quality assessment: From error visibility to structural similarity. IEEE Trans. Image Process. 2004, 13, 600–612. [Google Scholar] [CrossRef] [PubMed]












| PSNR | SSIM | APE | PSNR | SSIM | APE | |
|---|---|---|---|---|---|---|
| F | 36.09 | 0.98 | 3.02 | 34.07 | 0.98 | 3.88 |
| 35.83 | 0.98 | 3.01 | 32.96 | 0.98 | 4.18 | |
| PSNR | SSIM | APE | PSNR | SSIM | APE | |
|---|---|---|---|---|---|---|
| GN (0.3) | 33.26 | 0.95 | 4.35 | 12.86 | 0.47 | 45.04 |
| GN (0.5) | 30.59 | 0.92 | 5.98 | 9.02 | 0.29 | 71.89 |
| GB | 27.92 | 0.94 | 6.85 | 15.40 | 0.80 | 35.58 |
| 37.32 | 0.98 | 3.33 | 4.76 | 0.16 | 136.24 | |
| 32.46 | 0.95 | 5.51 | 3.22 | 0.04 | 166.27 | |
| PSNR | SSIM | APE | PSNR | SSIM | APE | |
|---|---|---|---|---|---|---|
| 39.09 | 0.99 | 2.53 | 23.58 | 0.86 | 11.43 | |
| 37.88 | 0.98 | 2.66 | 30.49 | 0.95 | 5.74 | |
| PSNR | SSIM | APE | PSNR | SSIM | APE | |
|---|---|---|---|---|---|---|
| GN (0.3) | 33.26 | 0.95 | 4.35 | 12.86 | 0.47 | 45.04 |
| GN (0.5) | 30.59 | 0.92 | 5.98 | 9.02 | 0.29 | 71.89 |
| GB | 27.92 | 0.94 | 6.85 | 15.40 | 0.80 | 35.58 |
| 36.99 | 0.98 | 3.53 | 8.76 | 0.34 | 76.53 | |
| 31.86 | 0.94 | 6.12 | 6.22 | 0.18 | 104.94 | |
| Instances Numbers | 32 | 64 | 128 | 256 | 512 | 1024 | 2048 |
|---|---|---|---|---|---|---|---|
| ALD | 0.0276 | 0.0124 | 0.0055 | 0.0026 | 0.0015 | 0.0010 | 0.0006 |
| Instance Numbers | |||||||
|---|---|---|---|---|---|---|---|
| PSNR | SSIM | APE | PSNR | SSIM | APE | ||
| 0 (Initial) | 0.03 | 40.92 | 0.99 | 1.94 | 11.85 | 0.35 | 52.44 |
| 0.06 | 38.05 | 0.98 | 2.59 | 12.19 | 0.45 | 49.81 | |
| 32 | 0.03 | 40.23 | 0.99 | 2.13 | 16.48 | 0.58 | 29.85 |
| 0.06 | 37.91 | 0.98 | 2.54 | 17.64 | 0.69 | 25.61 | |
| 64 | 0.03 | 39.46 | 0.99 | 2.38 | 19.38 | 0.72 | 19.79 |
| 0.06 | 37.73 | 0.98 | 2.64 | 20.97 | 0.77 | 17.21 | |
| 128 | 0.03 | 39.37 | 0.99 | 2.43 | 21.81 | 0.78 | 14.51 |
| 0.06 | 37.72 | 0.98 | 2.67 | 24.66 | 0.88 | 11.22 | |
| 256 | 0.03 | 39.60 | 0.99 | 2.35 | 22.60 | 0.80 | 13.17 |
| 0.06 | 37.98 | 0.98 | 2.61 | 27.14 | 0.88 | 8.48 | |
| 512 | 0.03 | 39.57 | 0.99 | 2.35 | 23.65 | 0.82 | 11.43 |
| 0.06 | 37.85 | 0.98 | 2.65 | 28.13 | 0.93 | 7.46 | |
| 1024 | 0.03 | 39.73 | 0.99 | 2.30 | 24.19 | 0.81 | 10.67 |
| 0.06 | 38.07 | 0.98 | 2.64 | 28.91 | 0.91 | 6.85 | |
| 2048 | 0.03 | 39.73 | 0.99 | 2.30 | 24.04 | 0.84 | 10.86 |
| 0.06 | 37.90 | 0.98 | 2.66 | 29.44 | 0.93 | 6.50 | |
| DSI | MSI | ASI | |
|---|---|---|---|
| Jung et al. [22] | 🗸 | × | × |
| Xiang et al. [23] | 🗸 | × | × |
| Zhong et al. [24] | 🗸 | × | × |
| our | 🗸 | 🗸 | 🗸 |
| PSNR | SSIM | APE | PSNR | SSIM | APE | |
|---|---|---|---|---|---|---|
| DH | 36.09 | 0.98 | 3.02 | 34.07 | 0.98 | 3.88 |
| TAA | 37.88 | 0.98 | 2.66 | 30.49 | 0.95 | 5.74 |
Disclaimer/Publisher’s Note: The statements, opinions and data contained in all publications are solely those of the individual author(s) and contributor(s) and not of MDPI and/or the editor(s). MDPI and/or the editor(s) disclaim responsibility for any injury to people or property resulting from any ideas, methods, instructions or products referred to in the content. |
© 2023 by the authors. Licensee MDPI, Basel, Switzerland. This article is an open access article distributed under the terms and conditions of the Creative Commons Attribution (CC BY) license (https://creativecommons.org/licenses/by/4.0/).
Share and Cite
Tao, F.; Cao, C.; Li, H.; Zou, B.; Wang, L.; Sun, J. Adversarial Attack for Deep Steganography Based on Surrogate Training and Knowledge Diffusion. Appl. Sci. 2023, 13, 6588. https://doi.org/10.3390/app13116588
Tao F, Cao C, Li H, Zou B, Wang L, Sun J. Adversarial Attack for Deep Steganography Based on Surrogate Training and Knowledge Diffusion. Applied Sciences. 2023; 13(11):6588. https://doi.org/10.3390/app13116588
Chicago/Turabian StyleTao, Fangjian, Chunjie Cao, Hong Li, Binghui Zou, Longjuan Wang, and Jingzhang Sun. 2023. "Adversarial Attack for Deep Steganography Based on Surrogate Training and Knowledge Diffusion" Applied Sciences 13, no. 11: 6588. https://doi.org/10.3390/app13116588
APA StyleTao, F., Cao, C., Li, H., Zou, B., Wang, L., & Sun, J. (2023). Adversarial Attack for Deep Steganography Based on Surrogate Training and Knowledge Diffusion. Applied Sciences, 13(11), 6588. https://doi.org/10.3390/app13116588




