Evaluation of Post-Stroke Impairment in Fine Tactile Sensation by Electroencephalography (EEG)-Based Machine Learning
Abstract
:1. Introduction
2. Methodology
2.1. EEG Acquisitions during Fabric Stimulations
2.2. EEG-Specific Feature Extraction for the SVM-ML Model
2.3. SVM-ML Model Configuration
2.4. Generalization of the SVM-ML Model
3. Discussion
3.1. SVM-ML Configuration
3.1.1. RBF Kernel Determination
3.1.2. EEG Channel Selection
3.2. K-Fold Cross Validation
4. Generalization of the SVM-ML Model
4.1. Different Fabric Stimulations
4.2. Different Upper-Limb Groups
5. Conclusions
Author Contributions
Funding
Institutional Review Board Statement
Informed Consent Statement
Data Availability Statement
Acknowledgments
Conflicts of Interest
References
- Kessner, S.S.; Bingel, U.; Thomalla, G. Somatosensory deficits after stroke: A scoping review. Top. Stroke Rehabil. 2016, 23, 136–146. [Google Scholar] [CrossRef] [PubMed]
- Sherwood, L. Human Physiology: From Cells to Systems; Cengage Learning: Boston, MA, USA, 2015. [Google Scholar]
- Carey, L.M.; Matyas, T.A.; Baum, C. Effects of somatosensory impairment on participation after stroke. Am. J. Occup. Ther. 2018, 72, 7203205100p1–7203205100p10. [Google Scholar] [CrossRef] [PubMed] [Green Version]
- Tyson, S.F.; Crow, J.L.; Connell, L.; Winward, C.; Hillier, S. Sensory impairments of the lower limb after stroke: A pooled analysis of individual patient data. Top. Stroke Rehabil. 2013, 20, 441–449. [Google Scholar] [CrossRef] [PubMed] [Green Version]
- Carey, L.M.; Matyas, T.A.; Oke, L.E. Sensory loss in stroke patients: Effective training of tactile and proprioceptive discrimination. Arch. Phys. Med. Rehabil. 1993, 74, 602–611. [Google Scholar] [CrossRef]
- Matsuda, K.; Satoh, M.; Tabei, K.-i.; Ueda, Y.; Taniguchi, A.; Matsuura, K.; Asahi, M.; Ii, Y.; Niwa, A.; Tomimoto, H. Impairment of intermediate somatosensory function in corticobasal syndrome. Sci. Rep. 2020, 10, 11155. [Google Scholar] [CrossRef]
- Cunha, B.P.; Alouche, S.R.; Araujo, I.M.G.; Freitas, S.M.S.F. Individuals with post-stroke hemiparesis are able to use additional sensory information to reduce postural sway. Neurosci. Lett. 2012, 513, 6–11. [Google Scholar] [CrossRef]
- Boonsinsukh, R.; Panichareon, L.; Phansuwan-Pujito, P. Light touch cue through a cane improves pelvic stability during walking in stroke. Arch. Phys. Med. Rehabil. 2009, 90, 919–926. [Google Scholar] [CrossRef]
- Johannsen, L.; Wing, A.M.; Hatzitaki, V. Effects of maintaining touch contact on predictive and reactive balance. J. Neurophysiol. 2007, 97, 2686–2695. [Google Scholar] [CrossRef] [Green Version]
- Campfens, S.F.; Zandvliet, S.B.; Meskers, C.G.; Schouten, A.C.; van Putten, M.J.; van der Kooij, H. Poor motor function is associated with reduced sensory processing after stroke. Exp. Brain Res. 2015, 233, 1339–1349. [Google Scholar] [CrossRef] [Green Version]
- Doyle, S.D.; Bennett, S.; Dudgeon, B. Upper limb post-stroke sensory impairments: The survivor’s experience. Disabil. Rehabil. 2014, 36, 993–1000. [Google Scholar] [CrossRef]
- Pandyan, A.D.; Johnson, G.R.; Price, C.I.M.; Curless, R.H.; Barnes, M.P.; Rodgers, H. A review of the properties and limitations of the Ashworth and modified Ashworth Scales as measures of spasticity. Clin. Rehabil. 1999, 13, 373–383. [Google Scholar] [CrossRef] [PubMed]
- Fugl-Meyer, A.R.; Jääskö, L.; Leyman, I.; Olsson, S.; Steglind, S. The post-stroke hemiplegic patient. 1. a method for evaluation of physical performance. Scand. J. Rehabil. Med. 1975, 7, 13–31. [Google Scholar] [PubMed]
- Winward, C.E.; Halligan, P.W.; Wade, D.T. The Rivermead Assessment of Somatosensory Performance (RASP): Standardization and reliability data. Clin. Rehabil. 2002, 16, 523–533. [Google Scholar] [CrossRef] [PubMed]
- Pan, N. Quantification and evaluation of human tactile sense towards fabrics. Int. J. Des. Nat. Ecodyn. 2006, 1, 48–60. [Google Scholar]
- Auriat, A.M.; Neva, J.L.; Peters, S.; Ferris, J.K.; Boyd, L.A. A Review of Transcranial Magnetic Stimulation and Multimodal Neuroimaging to Characterize Post-Stroke Neuroplasticity. Front. Neurol. 2015, 6, 226. [Google Scholar] [CrossRef] [Green Version]
- Lundgren, J.; Flodström, K.; Sjögren, K.; Liljequist, B.; Fugl-Meyer, A.R. Site of brain lesion and functional capacity in rehabilitated hemiplegics. Scand. J. Rehabil. Med. 1982, 14, 141–143. [Google Scholar]
- Chollet, F.; DiPiero, V.; Wise, R.J.; Brooks, D.J.; Dolan, R.J.; Frackowiak, R.S. The functional anatomy of motor recovery after stroke in humans: A study with positron emission tomography. Ann. Neurol. 1991, 29, 63–71. [Google Scholar] [CrossRef] [Green Version]
- Giaquinto, S.; Cobianchi, A.; Macera, F.; Nolfe, G. EEG recordings in the course of recovery from stroke. Stroke 1994, 25, 2204–2209. [Google Scholar] [CrossRef] [Green Version]
- Broderick, P.A.; Kolodny, E.H. Biosensors for brain trauma and dual laser doppler flowmetry: Enoxaparin simultaneously reduces stroke-induced dopamine and blood flow while enhancing serotonin and blood flow in motor neurons of brain, in vivo. Sensors 2010, 11, 138–161. [Google Scholar] [CrossRef] [Green Version]
- Radaelli, A.; Mancia, G.; Ferrarese, C.; Beretta, S. New Concepts in Stroke Diagnosis and Therapy; Bentham Science Publishers: Milan, Italy, 2017; Volume 1. [Google Scholar]
- Chen, Q.; Xia, T.; Zhang, M.; Xia, N.; Liu, J.; Yang, Y. Radiomics in stroke neuroimaging: Techniques, applications, and challenges. Aging Dis. 2021, 12, 143. [Google Scholar] [CrossRef]
- Militello, C.; Rundo, L.; Dimarco, M.; Orlando, A.; Woitek, R.; D’Angelo, I.; Russo, G.; Bartolotta, T.V. 3D DCE-MRI Radiomic Analysis for Malignant Lesion Prediction in Breast Cancer Patients. Acad. Radiol. 2021, 29, 830–840. [Google Scholar] [CrossRef] [PubMed]
- Sharaev, M.; Andreev, A.; Artemov, A.; Burnaev, E.; Kondratyeva, E.; Sushchinskaya, S.; Samotaeva, I.; Gaskin, V.; Bernstein, A. Pattern Recognition Pipeline for Neuroimaging Data; Springer: Berlin/Heidelberg, Germany, 2018. [Google Scholar]
- Caliandro, P.; Vecchio, F.; Miraglia, F.; Reale, G.; Della Marca, G.; La Torre, G.; Lacidogna, G.; Iacovelli, C.; Padua, L.; Bramanti, P. Small-world characteristics of cortical connectivity changes in acute stroke. Neurorehabil. Neural Repair 2017, 31, 81–94. [Google Scholar] [CrossRef] [PubMed] [Green Version]
- Bentes, C.; Peralta, A.R.; Viana, P.; Martins, H.; Morgado, C.; Casimiro, C.; Franco, A.C.; Fonseca, A.C.; Geraldes, R.; Canhão, P. Quantitative EEG and functional outcome following acute ischemic stroke. Clin. Neurophysiol. 2018, 129, 1680–1687. [Google Scholar] [CrossRef] [PubMed]
- Ahn, S.-N.; Lee, J.-W.; Hwang, S. Tactile Perception for Stroke Induce Changes in Electroencephalography. Hong Kong J. Occup. Ther. 2016, 28, 1–6. [Google Scholar] [CrossRef] [PubMed] [Green Version]
- Huang, Y.; Jiao, J.; Hu, J.; Hsing, C.; Lai, Z.; Yang, Y.; Hu, X.J. Measurement of sensory deficiency in fine touch after stroke during textile fabric stimulation by electroencephalography (EEG). J. Neural Eng. 2020, 17, 045007. [Google Scholar] [CrossRef]
- Roy, S.; Kiral-Kornek, I.; Harrer, S. ChronoNet: A deep recurrent neural network for abnormal EEG identification. In Conference on Artificial Intelligence in Medicine in Europe; Springer: Berlin/Heidelberg, Germany, 2019. [Google Scholar]
- Golmohammadi, M.; Ziyabari, S.; Shah, V.; de Diego, S.L.; Obeid, I.; Picone, J. Deep architectures for automated seizure detection in scalp EEGs. arXiv 2017, arXiv:1712,09776. [Google Scholar]
- Sirsat, M.S.; Fermé, E.; Câmara, J. Machine Learning for Brain Stroke: A Review. J. Stroke Cerebrovasc. Dis. 2020, 29, 105162. [Google Scholar] [CrossRef]
- Hosseini, M.-P.; Hemingway, C.; Madamba, J.; McKee, A.; Ploof, N.; Schuman, J.; Voss, E. Review of Machine Learning Algorithms for Brain Stroke Diagnosis and Prognosis by EEG Analysis. arXiv 2020, arXiv:2008.08118. [Google Scholar]
- Jochumsen, M.; Rovsing, C.; Rovsing, H.; Niazi, I.K.; Dremstrup, K.; Kamavuako, E.N. Classification of Hand Grasp Kinetics and Types Using Movement-Related Cortical Potentials and EEG Rhythms. Comput. Intell. Neurosci. 2017, 2017, 7470864. [Google Scholar] [CrossRef] [Green Version]
- Usama, N.; Niazi, I.K.; Dremstrup, K.; Jochumsen, M. Detection of Error-Related Potentials in Stroke Patients from EEG Using an Artificial Neural Network. Sensors 2021, 21, 6274. [Google Scholar] [CrossRef]
- Iáñez, E.; Azorín, J.M.; Úbeda, A.; Fernández, E.; Sirvent, J.L. LDA-based classifiers for a mental tasks-based brain-computer interface. In Proceedings of the 2010 IEEE International Conference on Systems, Man and Cybernetics, Istanbul, Turkey, 10–13 October 2010. [Google Scholar]
- Garrett, D.; Peterson, D.A.; Anderson, C.W.; Thaut, M.H. Comparison of linear, nonlinear, and feature selection methods for EEG signal classification. IEEE Trans. Neural Syst. Rehabil. Eng. 2003, 11, 141–144. [Google Scholar] [CrossRef]
- Cao, J.; Fang, Z.; Qu, G.; Sun, H.; Zhang, D. An accurate traffic classification model based on support vector machines. Int. J. Netw. Manag. 2017, 27, e1962. [Google Scholar] [CrossRef]
- Vapnik, V. The Nature of Statistical Learning Theory; Springer Science & Business Media: Berlin/Heidelberg, Germany, 2013. [Google Scholar]
- Liu, Y.; Zhang, H.; Chen, M.; Zhang, L. A boosting-based spatial-spectral model for stroke patients’ EEG analysis in rehabilitation training. IEEE Trans. Neural Syst. Rehabil. Eng. 2015, 24, 169–179. [Google Scholar] [CrossRef]
- Ghumman, M.K.; Singh, S.; Singh, N.; Jindal, B. Optimization of parameters for improving the performance of EEG-based BCI system. J. Reliab. Intell. Environ. 2021, 7, 145–156. [Google Scholar] [CrossRef]
- Bousseta, R.; Tayeb, S.; El Ouakouak, I.; Gharbi, M.; Regragui, F.; Himmi, M.M. EEG efficient classification of imagined hand movement using RBF kernel SVM. In Proceedings of the 2016 11th International Conference on Intelligent Systems: Theories and Applications (SITA), Mohammedia, Morocco, 19–20 October 2016. [Google Scholar]
- Hsu, C.-W.; Chang, C.-C.; Lin, C.-J. A Practical Guide to Support Vector Classification; National Taiwan University: Taipei, Taiwan, 2003. [Google Scholar]
- Farid, N.; Elbagoury, B.; Roushdy, M.; Salem, A.-B.M. A comparative analysis for support vector machines for stroke patients. Recent Adv. Inf. Sci. 2013, 41, 71–76. [Google Scholar]
- Kim, M.-K.; Cho, J.-H.; Jeong, J.-H. Classification of Tactile Perception and Attention on Natural Textures from EEG Signals. In Proceedings of the 2021 9th International Winter Conference on Brain-Computer Interface (BCI), Gangwon, Korea, 22–24 February 2021. [Google Scholar]
- Lilliefors, H.W. On the Kolmogorov-Smirnov test for the exponential distribution with mean unknown. J. Am. Stat. Assoc. 1969, 64, 387–389. [Google Scholar] [CrossRef]
- Homan, R.W.; Herman, J.; Purdy, P. Cerebral location of international 10–20 system electrode placement. Electroencephalogr. Clin. Neurophysiol. 1987, 66, 376–382. [Google Scholar] [CrossRef]
- Welch, P. The use of fast Fourier transform for the estimation of power spectra: A method based on time averaging over short, modified periodograms. IEEE Trans. Audio Electroacoust. 1967, 15, 70–73. [Google Scholar] [CrossRef] [Green Version]
- Teplan, M. Fundamentals of EEG measurement. Meas. Sci. Rev. 2002, 2, 1–11. [Google Scholar]
- Bronzino, J.D. Biomedical Engineering Handbook 2; Springer Science & Business Media: Berlin/Heidelberg, Germany, 2000; Volume 2. [Google Scholar]
- Patro, S.; Sahu, K.K. Normalization: A preprocessing stage. arXiv 2015, arXiv:1503,06462. [Google Scholar] [CrossRef]
- Liao, X.; Li, Y.; Hu, J.; Li, Q.; Wu, X. Psychophysical Relations between Interacted Fabric Thermal-Tactile Properties and Psychological Touch Perceptions. J. Sens. Stud. 2016, 31, 181–192. [Google Scholar] [CrossRef]
- Hu, J.Y.; Hes, L.; Li, Y.; Yeung, K.W.; Yao, B.G. Fabric Touch Tester: Integrated evaluation of thermal–mechanical sensory properties of polymeric materials. Polym. Test. 2006, 25, 1081–1090. [Google Scholar] [CrossRef]
- Bishop, C.M. Pattern Recognition and Machine Learning; Springer: Berlin/Heidelberg, Germany, 2006. [Google Scholar]
- Syarif, I.; Prugel-Bennett, A.; Wills, G. SVM parameter optimization using grid search and genetic algorithm to improve classification performance. Telkomnika 2016, 14, 1502. [Google Scholar] [CrossRef]
- Zhang, Y.; Ji, X.; Liu, B.; Huang, D.; Xie, F.; Zhang, Y. Combined feature extraction method for classification of EEG signals. Neural Comput. Appl. 2017, 28, 3153–3161. [Google Scholar] [CrossRef]
- Guler, I.; Ubeyli, E.D. Multiclass support vector machines for EEG-signals classification. IEEE Trans. Inf. Technol. Biomed. 2007, 11, 117–126. [Google Scholar] [CrossRef]
- Avelino, J.; Paulino, T.; Cardoso, C.; Moreno, P.; Bernardino, A. Human-aware natural handshaking using tactile sensors for Vizzy, a social robot. In Proceedings of the Workshop on Behavior Adaptation, Interaction and Learning for Assistive Robotics at RO-MAN, Lisbon, Portugal, 28 August–1 September 2017. [Google Scholar]
- Pedregosa, F.; Varoquaux, G.; Gramfort, A.; Michel, V.; Thirion, B.; Grisel, O.; Blondel, M.; Prettenhofer, P.; Weiss, R.; Dubourg, V. Scikit-learn: Machine learning in Python. J. Mach. Learn. Res. 2011, 12, 2825–2830. [Google Scholar]
- Kattenstroth, J.-C.; Kalisch, T.; Peters, S.; Tegenthoff, M.; Dinse, H. Long-term sensory stimulation therapy improves hand function and restores cortical responsiveness in patients with chronic cerebral lesions. Three single case studies. Front. Hum. Neurosci. 2012, 6, 244. [Google Scholar] [CrossRef] [Green Version]
- Pfurtscheller, G.; Neuper, C. Motor imagery activates primary sensorimotor area in humans. Neurosci. Lett. 1997, 239, 65–68. [Google Scholar] [CrossRef]
- James, G.; Witten, D.; Hastie, T.; Tibshirani, R. An Introduction to Statistical Learning; Springer: Berlin/Heidelberg, Germany, 2013; Volume 112. [Google Scholar]
- Breiman, L. Heuristics of instability and stabilization in model selection. Ann. Stat. 1996, 24, 2350–2383. [Google Scholar] [CrossRef]
- Witten, I.H.; Frank, E. Data mining: Practical machine learning tools and techniques with Java implementations. Acm Sigmod Rec. 2002, 31, 76–77. [Google Scholar] [CrossRef]
- Bouckaert, R.R. Choosing between two learning algorithms based on calibrated tests. ICML 2003, 3, 51–58. [Google Scholar]
- Kuhn, M.; Johnson, K. Applied Predictive Modeling; Springer: Berlin/Heidelberg, Germany, 2013; Volume 26. [Google Scholar]
- Chang, M.-W.; Lin, C.-J. Leave-one-out bounds for support vector regression model selection. Neural Comput. 2005, 17, 1188–1222. [Google Scholar] [CrossRef] [Green Version]
- Burges, C.J.C. A tutorial on support vector machines for pattern recognition. Data Min. Knowl. Discov. 1998, 2, 121–167. [Google Scholar] [CrossRef]
- Vivaldi, N.; Caiola, M.; Solarana, K.; Ye, M. Evaluating performance of eeg data-driven machine learning for traumatic brain injury classification. IEEE Trans. Biomed. Eng. 2021, 68, 3205–3216. [Google Scholar] [CrossRef]
- Gao, L.; Cheng, W.; Zhang, J.; Wang, J. EEG classification for motor imagery and resting state in BCI applications using multi-class Adaboost extreme learning machine. Rev. Sci. Instrum. 2016, 87, 085110. [Google Scholar] [CrossRef] [PubMed]
- Kira, K.; Rendell, L.A. A practical approach to feature selection. In Machine Learning Proceedings; Elsevier: Amsterdam, The Netherlands, 1992; pp. 249–256. [Google Scholar]
- Kitada, R.; Hashimoto, T.; Kochiyama, T.; Kito, T.; Okada, T.; Matsumura, M.; Lederman, S.J.; Sadato, N. Tactile estimation of the roughness of gratings yields a graded response in the human brain: An fMRI study. Neuroimage 2005, 25, 90–100. [Google Scholar] [CrossRef]
- Wu, J.; Srinivasan, R.; Quinlan, E.B.; Solodkin, A.; Small, S.L.; Cramer, T.C. Utility of EEG measures of brain function in patients with acute stroke. J. Neurophysiol. 2016, 115, 2399–2405. [Google Scholar] [CrossRef] [Green Version]
- Singh, H.; Bauer, M.; Chowanski, W.; Sui, Y.; Atkinson, D.; Baurley, S.; Fry, M.; Evans, J.; Bianchi-Berthouze, N. The brain’s response to pleasant touch: An EEG investigation of tactile caressing. Front. Hum. Neurosci. 2014, 8, 893. [Google Scholar] [CrossRef] [Green Version]
- Merabet, L.B.; Pascual-Leone, A. Neural reorganization following sensory loss: The opportunity of change. Nat. Rev. Neurosci. 2010, 11, 44–52. [Google Scholar] [CrossRef] [Green Version]
- Ackerley, R.; Carlsson, I.; Wester, H.; Olausson, H.; Backlund Wasling, H. Touch perceptions across skin sites: Differences between sensitivity, direction discrimination and pleasantness. Front. Behav. Neurosci. 2014, 8, 54. [Google Scholar] [CrossRef] [Green Version]
- Hoefer, D.; Handel, M.; Müller, K.M.; Hammer, T.R. Electroencephalographic study showing that tactile stimulation by fabrics of different qualities elicit graded event-related potentials. Ski. Res. Technol. 2016, 22, 470–478. [Google Scholar] [CrossRef] [PubMed]
- Simões, C.; Jensen, O.; Parkkonen, L.; Hari, R. Phase locking between human primary and secondary somatosensory cortices. Proc. Natl. Acad. Sci. USA 2003, 100, 2691–2694. [Google Scholar] [CrossRef] [PubMed] [Green Version]
- Brovelli, A.; Ding, M.; Ledberg, A.; Chen, Y.; Nakamura, R.; Bressler, S.L. Beta oscillations in a large-scale sensorimotor cortical network: Directional influences revealed by Granger causality. Proc. Natl. Acad. Sci. USA 2004, 101, 9849–9854. [Google Scholar] [CrossRef] [PubMed] [Green Version]
- Greco, A.; Guidi, A.; Bianchi, M.; Lanata, A.; Valenza, G.; Scilingo, E.P. Brain dynamics induced by pleasant/unpleasant tactile stimuli conveyed by different fabrics. IEEE J. Biomed. Health Inform. 2019, 23, 2417–2427. [Google Scholar] [CrossRef] [PubMed]
- Hasenstaub, A.; Shu, Y.; Haider, B.; Kraushaar, U.; Duque, A.; McCormick, D.A. Inhibitory postsynaptic potentials carry synchronized frequency information in active cortical networks. Neuron 2005, 47, 423–435. [Google Scholar] [CrossRef] [Green Version]
- Engel, A.K.; Singer, W. Temporal binding and the neural correlates of sensory awareness. Trends Cogn. Sci. 2001, 5, 16–25. [Google Scholar] [CrossRef]
- Ihara, A.; Hirata, M.; Yanagihara, K.; Ninomiya, H.; Imai, K.; Ishii, R.; Osaki, Y.; Sakihara, K.; Izumi, H.; Imaoka, H.; et al. Neuromagnetic gamma-band activity in the primary and secondary somatosensory areas. NeuroReport 2003, 14, 273–277. [Google Scholar] [CrossRef] [PubMed]
- Bauer, M.; Oostenveld, R.; Peeters, M.; Fries, P. Tactile spatial attention enhances gamma-band activity in somatosensory cortex and reduces low-frequency activity in parieto-occipital areas. J. Neurosci. 2006, 26, 490–501. [Google Scholar] [CrossRef]
- Xiong, Z.; Cui, Y.; Liu, Z.; Zhao, Y.; Hu, M.; Hu, J. Evaluating explorative prediction power of machine learning algorithms for materials discovery using k-fold forward cross-validation. Comput. Mater. Sci. 2020, 171, 109203. [Google Scholar] [CrossRef]
- Refaeilzadeh, P.; Tang, L.; Liu, H. Cross-validation. Encycl. Database Syst. 2009, 5, 532–538. [Google Scholar]
- Jung, Y. Multiple predicting K-fold cross-validation for model selection. J. Nonparametr. Stat. 2018, 30, 197–215. [Google Scholar] [CrossRef]
- Chen, A.; Wang, A.; Wang, T.; Tang, X.; Zhang, M. Behavioral oscillations in visual attention modulated by task difficulty. Front. Psychol. 2017, 8, 1630. [Google Scholar] [CrossRef] [PubMed] [Green Version]
- Jiao, J.; Hu, X.; Huang, Y.; Hu, J.; Hsing, C.; Lai, Z.; Wong, C.; Xin, J.H. Neuro-perceptive discrimination on fabric tactile stimulation by Electroencephalographic (EEG) spectra. PLoS ONE 2020, 15, e0241378. [Google Scholar] [CrossRef] [PubMed]
- Snyder, D.B.; Schmit, B.D.; Hyngstrom, A.S.; Beardsley, S.A. Electroencephalography resting-state networks in people with Stroke. Brain Behav. 2021, 11, e02097. [Google Scholar] [CrossRef]
- Dąbrowski, J.; Czajka, A.; Zielińska-Turek, J.; Jaroszyński, J.; Furtak-Niczyporuk, M.; Mela, A.; Poniatowski, Ł.A.; Drop, B.; Dorobek, M.; Barcikowska-Kotowicz, M. Brain functional reserve in the context of neuroplasticity after stroke. Neural Plast. 2019, 2019, 9708905. [Google Scholar] [CrossRef] [Green Version]
- Voss, P.; Thomas, M.E.; Cisneros-Franco, J.M.; de Villers-Sidani, É. Dynamic brains and the changing rules of neuroplasticity: Implications for learning and recovery. Front. Psychol. 2017, 8, 1657. [Google Scholar] [CrossRef] [Green Version]
- Lin, M.P.; Liebeskind, D.S. Imaging of ischemic stroke. Contin. Lifelong Learn. Neurol. 2016, 22, 1399. [Google Scholar] [CrossRef] [Green Version]
- Sun, S.; Zhang, C. Adaptive feature extraction for EEG signal classification. Med. Biol. Eng. Comput. 2006, 44, 931–935. [Google Scholar] [CrossRef]
- Al-Qazzaz, N.K.; Ali, S.H.B.M.; Ahmad, S.A.; Islam, M.S.; Escudero, J. Discrimination of stroke-related mild cognitive impairment and vascular dementia using EEG signal analysis. Med. Biol. Eng. Comput. 2018, 56, 137–157. [Google Scholar] [CrossRef]






| Measure | Stroke Group (n = 12) | Control Group (n = 15) |
|---|---|---|
| Age in years | 55.1 ± 16.0 | 46.4 ± 17.4 |
| Gender (male/female) | 11/1 | 5/10 |
| Stroke type (ischemic/hemorrhagic) | 10/2 | - |
| Affected side (right/left) | 6/6 | - |
| Years since stroke | 14.9 ± 5.8 | - |
| FMA (upper extremity) | 42.5 ± 15.2 | - |
| FMA (light touch on forearm) | 1 ± 0 | - |
| MAS (elbow) | 1.1 ± 0.7 | - |
| Number of EEG Channels | Delta | Theta | Alpha | Beta | Gamma | |
|---|---|---|---|---|---|---|
| 62 | Average Acc | 33.5% ± 0.05 | 37.8% ± 0.05 | 35.8% ± 0.03 | 38.2% ± 0.04 | 44.7% ± 0.11 |
| Peak Acc | 38.5% | 51.8% | 40.0% | 47.6% | 67.4% | |
| Peak Loc (γ, C) | (2−3, 25) | (23, 21) | (2−5, 21) | (2−7, 27) | (23, 29) | |
| 21 | Average Acc | 39.1% ± 0.06 | 35.6% ± 0.04 | 33.2% ± 0.06 | 41.3% ± 0.07 | 49.2% ± 0.16 |
| Peak Acc | 57.3% | 49.3% | 38.5% | 57.8% | 76.8% | |
| Peak Loc (γ, C) | (2−3, 211) | (23, 213) | (2−13, 210) | (2−5, 213) | (21, 23) |
| CV | Accuracy | ||||
|---|---|---|---|---|---|
| Delta | Theta | Alpha | Beta | Gamma | |
| 2-fold | 49.6% ± 0.07 | 38.1% ± 0.06 | 27.6% ± 0.06 | 50.7% ± 0.07 | 73.8% ± 0.05 |
| 3-fold | 49.1% ± 0.06 | 33.3% ± 0.07 | 26.0% ± 0.05 | 51.0% ± 0.05 | 74.5% ± 0.04 |
| 4-fold | 49.7% ± 0.06 | 34.7% ± 0.06 | 23.9% ± 0.05 | 50.1% ± 0.05 | 74.8% ± 0.04 |
| 5-fold | 49.7% ± 0.06 | 32.4% ± 0.05 | 26.1% ± 0.05 | 51.2% ± 0.04 | 75.0% ± 0.03 |
| 6-fold | 53.2% ± 0.05 | 35.0% ± 0.06 | 22.2% ± 0.05 | 50.8% ± 0.05 | 75.4% ± 0.04 |
| 7-fold | 46.7% ± 0.06 | 32.6% ± 0.05 | 32.9% ± 0.05 | 48.2% ± 0.06 | 72.6% ± 0.04 |
| 8-fold | 47.0% ± 0.07 | 31.3% ± 0.06 | 28.9% ± 0.06 | 47.2% ± 0.06 | 74.8% ± 0.04 |
| 9-fold | 49.5% ± 0.07 | 31.4% ± 0.06 | 27.8% ± 0.06 | 49.1% ± 0.06 | 74.7% ± 0.05 |
| 10-fold | 51.7% ± 0.07 | 33.0% ± 0.06 | 25.9% ± 0.06 | 50.0% ± 0.05 | 74.8% ± 0.05 |
| LOO | 51.3% | 28.2% | 12.8% | 53.8% | 74.4% |
| Fabric Stimulation | Accuracy | ||||
|---|---|---|---|---|---|
| Delta | Theta | Alpha | Beta | Gamma | |
| Cotton | 53.2% ± 0.05 | 35.0% ± 0.06 | 22.3% ± 0.05 | 50.8% ± 0.05 | 75.4% ± 0.04 |
| Nylon | 21.0% ± 0.04 | 40.6% ± 0.05 | 51.4% ± 0.04 | 63.2% ± 0.03 | 83.5% ± 0.02 |
| Wool | 30.3% ± 0.04 | 25.6% ± 0.06 | 43.0% ± 0.05 | 69.2% ± 0.04 | 84.3% ± 0.03 |
| Significance (p-value) | <0.001 *** | <0.001 *** | <0.001 *** | <0.001 *** | <0.001 *** |
| Fabric Stimulation | Accuracy | |||||
|---|---|---|---|---|---|---|
| Delta | Theta | Alpha | Beta | Gamma | ||
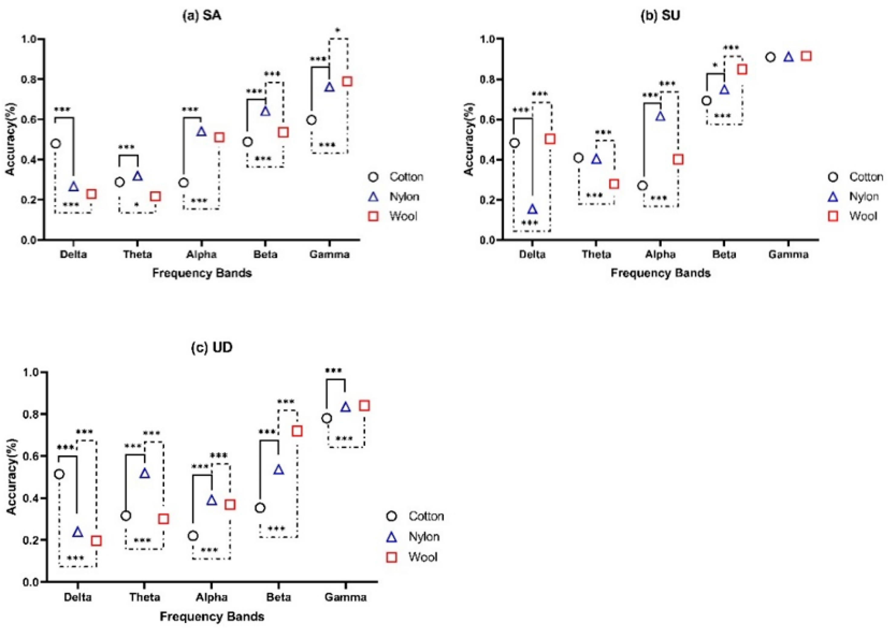
| SA | Cotton | 47.9% ± 0.09 | 28.8% ± 0.11 | 28.5% ± 0.10 | 48.9% ± 0.10 | 59.7% ± 0.08 |
| Nylon | 26.8% ± 0.09 | 31.9% ± 0.08 | 54.1% ± 0.11 | 64.3% ± 0.10 | 76.2% ± 0.06 | |
| Wool | 22.9% ± 0.09 | 21.7% ± 0.08 | 51.1% ± 0.11 | 53.6% ± 0.08 | 78.9% ± 0.04 | |
| p-value | <0.001 *** | <0.001 *** | <0.001 *** | <0.001 *** | <0.001 *** | |
| SU | Cotton | 48.3% ± 0.08 | 40.9% ± 0.13 | 27.0% ± 0.09 | 69.3% ± 0.05 | 91.0% ± 0.04 |
| Nylon | 15.5% ± 0.07 | 40.5% ± 0.13 | 61.7% ± 0.04 | 74.9% ± 0.01 | 91.2% ± 0.03 | |
| Wool | 50.3% ± 0.03 | 27.8% ± 0.08 | 40.1% ± 0.04 | 84.9% ± 0.04 | 91.6% ± 0.01 | |
| p-value | <0.001 *** | <0.001 *** | <0.001 *** | <0.001 *** | >0.05 | |
| UD | Cotton | 51.4% ± 0.14 | 31.6% ± 0.10 | 22.0% ± 0.12 | 35.3% ± 0.12 | 78.0% ± 0.10 |
| Nylon | 24.0% ± 0.09 | 51.9% ± 0.07 | 39.2% ± 0.10 | 53.7% ± 0.05 | 83.4% ± 0.01 | |
| Wool | 19.8% ± 0.09 | 30.0% ± 0.11 | 36.9% ± 0.10 | 71.9% ± 0.08 | 84.1% ± 0.06 | |
| p-value | <0.001 *** | <0.001 *** | <0.001 *** | <0.001 *** | <0.001 *** | |
Publisher’s Note: MDPI stays neutral with regard to jurisdictional claims in published maps and institutional affiliations. |
© 2022 by the authors. Licensee MDPI, Basel, Switzerland. This article is an open access article distributed under the terms and conditions of the Creative Commons Attribution (CC BY) license (https://creativecommons.org/licenses/by/4.0/).
Share and Cite
Zhang, J.; Huang, Y.; Ye, F.; Yang, B.; Li, Z.; Hu, X. Evaluation of Post-Stroke Impairment in Fine Tactile Sensation by Electroencephalography (EEG)-Based Machine Learning. Appl. Sci. 2022, 12, 4796. https://doi.org/10.3390/app12094796
Zhang J, Huang Y, Ye F, Yang B, Li Z, Hu X. Evaluation of Post-Stroke Impairment in Fine Tactile Sensation by Electroencephalography (EEG)-Based Machine Learning. Applied Sciences. 2022; 12(9):4796. https://doi.org/10.3390/app12094796
Chicago/Turabian StyleZhang, Jianing, Yanhuan Huang, Fuqiang Ye, Bibo Yang, Zengyong Li, and Xiaoling Hu. 2022. "Evaluation of Post-Stroke Impairment in Fine Tactile Sensation by Electroencephalography (EEG)-Based Machine Learning" Applied Sciences 12, no. 9: 4796. https://doi.org/10.3390/app12094796
APA StyleZhang, J., Huang, Y., Ye, F., Yang, B., Li, Z., & Hu, X. (2022). Evaluation of Post-Stroke Impairment in Fine Tactile Sensation by Electroencephalography (EEG)-Based Machine Learning. Applied Sciences, 12(9), 4796. https://doi.org/10.3390/app12094796
