Bionic Intelligent Algorithms Used in Helicopter Individual Blade Control Optimization
Abstract
:Featured Application
Abstract
1. Introduction
2. Methods
2.1. The Establishment of Rotor Aeroelasticity Model
2.1.1. Variation of Strain Energy δUi
2.1.2. Variation of Blade Kinetic Energy δTi
2.1.3. Variation of Virtual Work δWi
- Normal force coefficient ;
 
- Chord force coefficient ;
 
- Pitching moment coefficient ;
 
2.1.4. Summarize
2.2. Fuzzy Neural Network Combined with PID Controller
2.2.1. Fuzzy Control
2.2.2. Artificial Neural Network (ANN)
- Correction of the connection weight between the output layer and the hidden layer
 
- Correction of the connection weights between the input layer and the hidden layer
 
2.2.3. Fuzzy Neural Network
2.3. Swarm Optimization Algorithm
2.3.1. The Basic Theory of Particle Swarm Optimization
2.3.2. The Basic Process of Particle Swarm Algorithm
- Parameters such as population size, variable range, inertia weight, and learning factor were set, and a group of particles randomly initialized, which are uniformly distributed in a given optimization space.
 - The fitness value (function value) of each particle in the population was calculated. The fitness value of the number particle was set to its current individual value , and the optimal particle among all particles was set to the overall extremum of the population .
 - For all particles, their current value was compared with the optimal value it has searched before. If the current position was better, the individual optimal position was set as the current position, and then the global value was updated.
 - The speed and position of each particle according to the equations was updated.
 - The given termination condition was determined whether it was satisfied. If it was met, the search was stopped and the required result was outputted; otherwise, Step 3 was returned to, in order to continue the optimization progress.
 
2.3.3. Control Parameters of Particle Swarm Optimization
3. Results
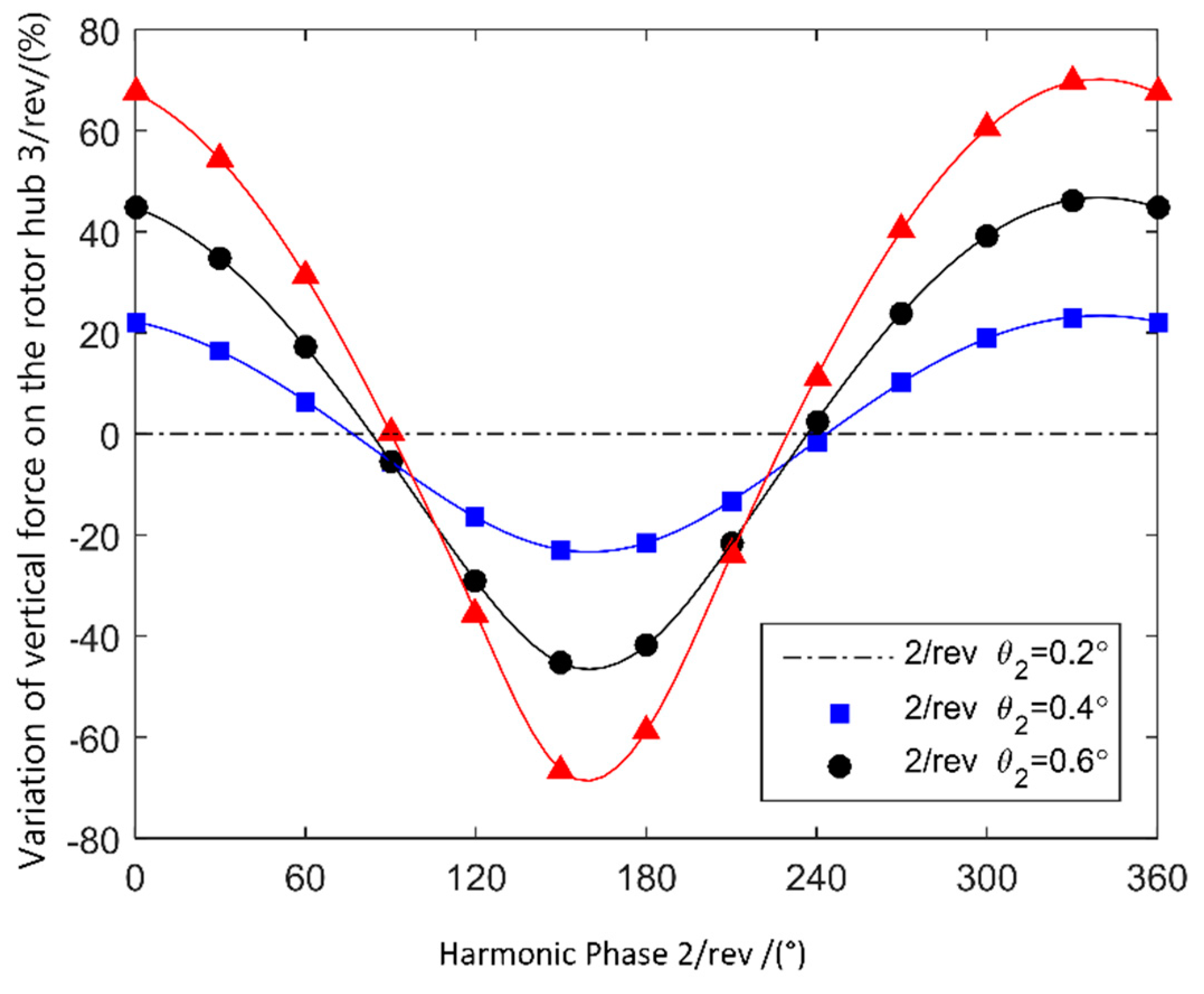
3.1. Validation of Aero-Elasticity Dynamic Model
3.2. Results of Fuzzy Neural Network PID Method
3.3. Results of Swarm Particle Optimization
4. Conclusions
Author Contributions
Funding
Institutional Review Board Statement
Informed Consent Statement
Data Availability Statement
Conflicts of Interest
References
- Wilbur, M.L.; Wilkie, W.K. Active-Twist Rotor Control Applications for UAVs. Transform. Sci. Technol. Curr. Future Force 2004, 4, 185–192. [Google Scholar]
 - Arnold, U.T.P. Recent IBC Flight Test Results from the CH-53G Helicopter. In Proceedings of the 29th European Rotorcraft Forum, Friedrichshafen, Germany, 1–18 September 2003; pp. 1–15. [Google Scholar]
 - Jacklin, S.A. Second Test of a Helicopter Individual Blade Control System in the NASA AMES 40 by 80 Foot Wind Tunnel. In Proceedings of the 2nd International American Helicopter Society Aeromechanics Specialists Conference, Bridgeport, CT, USA, 11 October 1995. [Google Scholar]
 - Luong, Q.V.; Jo, B.H.; Hwang, J.H.; Jang, D.S. A Supervised Neural Network Control for Magnetorheological Damper in an Aircraft Landing Gear. Appl. Sci. 2022, 12, 400. [Google Scholar] [CrossRef]
 - Jakubowski, J.; Stanisz, P.; Bobek, S.; Nalepa, G.J. Anomaly Detection in Asset Degradation Process Using Variational Autoencoder and Explanations. Sensors 2022, 22, 291. [Google Scholar] [CrossRef] [PubMed]
 - Kierzkowski, A.; Kisiel, T. Simulation Model for the Estimation of Energy Consumption of the Baggage Handling System in the Landside Area of the Airport. Energies 2022, 15, 256. [Google Scholar] [CrossRef]
 - Lanczos, C. The Variational Principles of Mechanics; University of Toronto Press: Toronto, ON, Cananda, 1949. [Google Scholar]
 - Peter, D.; John, D. Nonlinear Stall Flutter and Divergence Analysis of Cantilevered Graphite/Epoxy Wings. AIAA J. 2012, 30, 153–162. [Google Scholar]
 - Stepniewski, W. Rotary-Wing Aerodynamics; Dover Pub Inc.: Dover, Germany, 1984. [Google Scholar]
 - Zhu, D. Research Status and Prospect of Artificial Neural Network. J. Jiangnan Univ. 2004, 3, 106–113. [Google Scholar]
 - Ozyildirim, M.B. One Pass Learning for Generalized Classifier Neural Network. Neural Netw. Off. J. Int. Neural Netw. Soc. 2016, 73, 70. [Google Scholar] [CrossRef] [PubMed]
 - Jacklin, S.A.; Haber, A.; de Simone, G.; Norman, T.R.; Kitaplioglu, C.; Shinoda, P. Full-Scale Wind Tunnel Test of an Individual Blade Control System for a UH-60 Helicopter; National Aeronautics And Space Administration Moffett Field Ca Ames Research Center: Mountain View, CA, USA, 2002. [Google Scholar]
 - Glickman, S.; Kulessky, R. Identification-based PID Control Tuning for Power Station Processes. IEEE Trans. Control. Syst. Technol. 2004, 12, 123–132. [Google Scholar] [CrossRef]
 - Furst, D.; Auspitzer, T. Numerical Investigation of Vibration Reduction through IBC for a 20to Helicopter Rotor Model. In Proceedings of the 28th European Rotorcraft Forum, Bristol, UK, 17–20 September 2002. [Google Scholar]
 - Wang, C.; Lu, Y.; Chen, R. Effect of Active Blade Pitch Control on Helicopter Rotor Performance. J. Aerosp. Power 2014, 29, 1922–1929. [Google Scholar]
 - Jian, W.; Wang, H. Development of Swash Plate-less Helicopter Blade Pitch Control System Using the Limited Angle Direct-drive Motor (LADDM). Chin. J. Aeronaut. 2015, 6028, 1416–1425. [Google Scholar]
 - Xu, H. Research on Rotor Control and Vibration Reduction Based on Individual Blade Control. Master’s Thesis, Nanjing University of Aeronautics & Astronautics, Nanjing, China, 2016. [Google Scholar]
 - Yang, R. Calculation and Analysis of Rotor Vibration Load Based on Individual Blade Control. Master’s Thesis, Nanjing University of Aeronautics & Astronautics, Nanjing, China, 2017. [Google Scholar]
 - Gu, J. Research on Adaptive Individual Blade Control of Helicopter Vibration. Master’s Thesis, Nanjing University of Aeronautics & Astronautics, Nanjing, China, 2018. [Google Scholar]
 - Gu, J.; Li, Q.; Gao, Y. Analysis on Rotor Vibration Load in Individual Blade Pitch Control. J. Nanjing Univ. Aeronaut. Astronaut. 2018, 4, 155–161. [Google Scholar] [CrossRef]
 - Bir, G. University of Maryland Advanced Rotorcraft Code (UMARC) Theory Manual; University of Maryland: College Park, MD, USA, 1994. [Google Scholar]
 - Leishman, J.G.; Beddoes, T.S. A Semi-Empirical Model for Dynamic Stall. J. Am. Helicopter Soc. 1989, 34, 3–17. [Google Scholar]
 - Dan, P.; Liu, L.; Chandrasekar, J.; Bernstein, D.S.; Friedmann, P.P. Higher-Harmonic-Control Algorithm for Helicopter Vibration Reduction Revisited. J. Guid. Control. Dyn. 2012, 28, 918–930. [Google Scholar]
 - Shi, Y.; Zhao, Q.; Xu, G. Numerical Calculation and Parametric Study of Aerodynamics of Rotor Blade-vortex Interaction. Hangkong Xuebao 2010, 31, 1106–1114.4. [Google Scholar] [CrossRef]
 - Shi, Y.; Xu, G. Research on the Influence of Flight Parameters on Helicopter Rotor BVI Noise Characteristics. Hangkong Xuebao 2013, 34, 2520–2528. [Google Scholar]
 - Wang, L.; Xu, G.; Shi, Y. Influence of Higher Harmonic Control on Airload and Acoustics of Rotor Blade-vortex Interaction. Hangkong Xuebao 2017, 38, 65–74. [Google Scholar] [CrossRef]
 - Feng, J.; Lu, Y.; Xu, J. Research on the Effect of Open-loop Active Blade-pitch Control on Rotor BVI Noise Alleviation. Hangkong Xuebao 2014, 35, 2901–2909. [Google Scholar] [CrossRef]
 - Chen, S.; Zhao, Q.; Ni, T. Rotor Noise Reduction Mechanism and Parameter Analysis of HHC Method. Hangkong Xuebao 2017, 38, 11–24. [Google Scholar] [CrossRef]
 - Ni, T.; Zhao, Q.; Ma, S. Active Control Mechanism of Rotor BVI Noise Based on IBC Method. Hangkong Xuebao 2017, 38, 120–132. [Google Scholar] [CrossRef]
 - Wei, R.; Lu, Y.; Dong, X.; Feng, J. Noise Active Control of Electrically Controlled Rotor in Hover. J. Nanjing Univ. Aeronaut. Astronaut. 2018, 50, 96–101. [Google Scholar] [CrossRef]
 - Fogarty, D.E.; Wilbur, M.L.; Sekul, M.K. A Computational Study of BVI Noise Reduction Using Active Twist Control. In Proceedings of the American Helicopter Society 66th Annual Forum, Phoenix, AZ, USA, 11–13 May 2010. [Google Scholar]
 - Anobile, A.; Bernardini, G.; Gennareti, M. Active twist rotor controller identification for blade vortex interaction noise alleviation. In Proceedings of the 19th AIAA/CEAS Aeroacoustics Conference, Berlin, Germany, 27–29 May 2013. [Google Scholar]
 - Padthe, A.K.; Friedmann, P.P. Simultaneous BVI Noise and Vibration Reduction in Rotorcraft Using Microflaps including the Effect of Actuator Saturation. In Proceedings of the American Helicopter Society 68th Annual Forum, Fort Worth, TX, USA, 1–3 May 2012. [Google Scholar]
 





















| Parameter | Value | 
|---|---|
| Advanced ratio | 0.3 | 
| Lift coefficient | 0.0072 | 
| Collective pitch | 6 | 
| Horizontal periodic pitch | 2.75 | 
| Longitudinal periodic pitch | −4.76 | 
| Parameter | Value | 
|---|---|
| Inertia weight w | wmax = 0.9, wmin = 0.4 | 
| Learning factor c1, c2 | c1 = c2 = 2 | 
| Particle population size | 50 | 
| Domains of each dimensions | [−3, 3] | 
| Iteration numbers n | 100 | 
| Particle velocity | 
Publisher’s Note: MDPI stays neutral with regard to jurisdictional claims in published maps and institutional affiliations.  | 
© 2022 by the authors. Licensee MDPI, Basel, Switzerland. This article is an open access article distributed under the terms and conditions of the Creative Commons Attribution (CC BY) license (https://creativecommons.org/licenses/by/4.0/).
Share and Cite
Gao, Y.; Huang, D.; Yu, X.; Zhang, H. Bionic Intelligent Algorithms Used in Helicopter Individual Blade Control Optimization. Appl. Sci. 2022, 12, 4392. https://doi.org/10.3390/app12094392
Gao Y, Huang D, Yu X, Zhang H. Bionic Intelligent Algorithms Used in Helicopter Individual Blade Control Optimization. Applied Sciences. 2022; 12(9):4392. https://doi.org/10.3390/app12094392
Chicago/Turabian StyleGao, Yadong, Dawei Huang, Xinyu Yu, and Huaqin Zhang. 2022. "Bionic Intelligent Algorithms Used in Helicopter Individual Blade Control Optimization" Applied Sciences 12, no. 9: 4392. https://doi.org/10.3390/app12094392
APA StyleGao, Y., Huang, D., Yu, X., & Zhang, H. (2022). Bionic Intelligent Algorithms Used in Helicopter Individual Blade Control Optimization. Applied Sciences, 12(9), 4392. https://doi.org/10.3390/app12094392
        
                                                
