Kinematic Response of End-Bearing Piles under the Excitation of Vertical P-Waves Considering the Construction Effect
Abstract
:1. Introduction
2. Model
2.1. Model Assumptions and Simplification
2.2. Dynamic Equations of Soil
2.3. Dynamic Equation of Pile
2.4. Boundary Conditions
- The continuity conditions between the adjacent soil zones:
- The displacements are u0 at the bottom of the soil layers and pile:
- The normal stresses are zero at the ground surface:
- The displacement converges to free-field at infinite:
- The continuity conditions between the soil and pile:
3. Theoretical Formulation
4. Numerical Results and Discussions
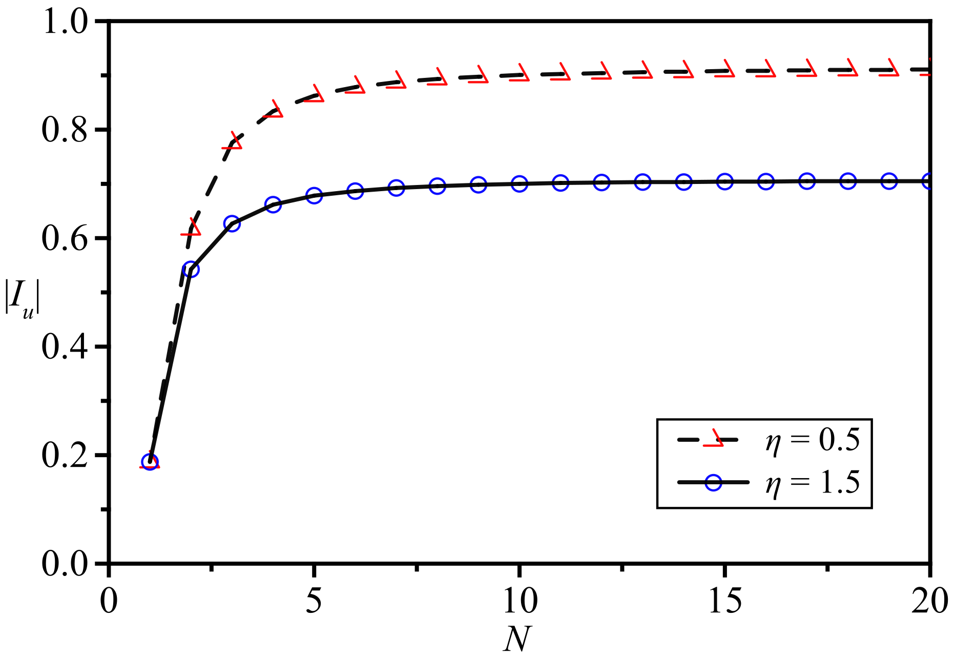
4.1. Verification and Comparisons
4.2. Discussion
5. Conclusions
- (1)
- From the investigation of the effect of disturbance degree, it was found that the resistant earthquake properties of piles increased if the surrounding soil was strengthened during the process of construction. On the contrary, the resistant earthquake properties of piles decreased if the surrounding soil was weakened during pile-sinking.
- (2)
- Through the investigation of the effect of the disturbance range, it was found that there was nearly no influence of the disturbance range on the dynamic response of piles.
- (3)
- It was found that the construction effect mainly affected a specific region around the pile. The soil response was slightly smaller for the strengthened soil than for the weakened soil.
- (4)
- The earthquake-resistant properties of longer piles were superior to those of structures composed of shorter piles.
Author Contributions
Funding
Institutional Review Board Statement
Informed Consent Statement
Data Availability Statement
Conflicts of Interest
Appendix A
References
- Zhao, Z.H.; Kouretzis, G.; Sloan, S.W.; Gao, Y.F. Effect of geometric nonlinearity on the ultimate lateral resistance of piles in clay. Comput. Geotech. 2018, 105, 110–115. [Google Scholar] [CrossRef]
- Dai, D.H.; El Naggar, M.H.; Zhang, N.; Gao, Y.F.; Li, Z.Y. Vertical vibration of a pile embedded in radially disturbed viscoelastic soil considering the three-dimensional nature of soil. Comput. Geotech. 2019, 111, 172–180. [Google Scholar] [CrossRef]
- Wu, J.T.; Wang, K.H.; El Naggar, M.H. Dynamic response of a defect pile in layered soil subjected to longitudinal vibration in parallel seismic integrity testing. Soil Dyn. Earthq. Eng. 2019, 121, 168–178. [Google Scholar] [CrossRef]
- Wu, J.T.; Wang, K.H.; El Naggar, M.H. Half-space dynamic soil model excited by known longitudinal vibration of a defective pile. Comput. Geotech. 2019, 112, 403–412. [Google Scholar] [CrossRef]
- He, R.; Kaynia, A.M.; Zhang, J.S.; Chen, W.Y. Seismic response of monopiles to vertical excitation in offshore engineering. Ocean Eng. 2020, 216, 108120. [Google Scholar] [CrossRef]
- Meng, K.; Cui, C.Y.; Liang, Z.M.; Li, H.J.; Pei, H.F. A new approach for longitudinal vibration of a large-diameter floating pipe pile in visco-elastic soil considering the three-dimensional wave effects. Comput. Geotech. 2020, 128, 103840. [Google Scholar] [CrossRef]
- Cui, C.Y.; Meng, K.; Xu, C.S.; Liang, Z.M.; Li, H.J.; Pei, H.F. Analytical solution for longitudinal vibration of a floating pile in saturated porous media based on a fictitious saturated soil pile model. Comput. Geotech. 2021, 131, 103942. [Google Scholar] [CrossRef]
- Zhang, S.P.; Zhang, J.H.; Ma, Y.B.; Pak, R.Y.S. Vertical dynamic interactions of poroelastic soils and embedded piles considering the effects of pile-soil radial deformations. Soils Found. 2021, 61, 16–34. [Google Scholar] [CrossRef]
- Dai, D.H.; El Naggar, M.H.; Zhang, N.; Gao, Y.F. Kinematic response of an end-bearing pile subjected to vertical P-wave considering the three-dimensional wave scattering. Comput. Geotech. 2020, 120, 103368. [Google Scholar] [CrossRef]
- Dai, D.H.; El Naggar, M.H.; Zhang, N.; Wang, Z.B. Rigorous solution for kinematic response of floating piles to vertically propagating S-waves. Comput. Geotech. 2021, 137, 104270. [Google Scholar] [CrossRef]
- Kim, J.; Yun, S.K.; Kang, M.; Kang, G. Behavior Characteristics of Single Batter Pile under Vertical Load. Appl. Sci. 2021, 11, 4432. [Google Scholar] [CrossRef]
- Ma, J.; Han, S.; Gao, X.; Li, D.; Guo, Y.; Liu, Q. Dynamic Lateral Response of the Partially-Embedded Single Piles in Layered Soil. Appl. Sci. 2022, 12, 1504. [Google Scholar] [CrossRef]
- Papazoglou, A.J.; Elnashai, A.S. Analytical and field evidence of the damaging effect of vertical earthquake ground motion. Earthq. Eng. Struct. Dyn. 1996, 25, 1109–1137. [Google Scholar] [CrossRef]
- Mamoon, S.M.; Ahmad, S. Seismic response of piles to obliquely incident SH, SV, and P waves. J. Geotech. Eng. 1990, 116, 186–204. [Google Scholar] [CrossRef]
- Ji, F.; Pak, R.Y.S. Scattering of vertically-incident P-waves by an embedded pile. Soil Dyn. Earthq. Eng. 1996, 15, 211–222. [Google Scholar] [CrossRef]
- Shahmohamadi, M.; Khojasteh, A.; Rahimian, M.; Pak, R.Y.S. Seismic response of an embedded pile in a transversely isotropic half-space under incident P-wave excitations. Soil Dyn. Earthq. Eng. 2011, 31, 361–371. [Google Scholar] [CrossRef]
- Novak, M.; Aboul-Ella, F. Impedance functions of piles in layered media. J. Eng. Mech. Div. 1978, 104, 643–661. [Google Scholar] [CrossRef]
- Mylonakis, G.; Gazetas, G. Kinematic pile response to vertical P-wave seismic excitation. J. Geotech. Geoenviron. Eng. 2002, 128, 860–867. [Google Scholar] [CrossRef]
- Nogami, T.; Novák, M. Soil-pile interaction in vertical vibration. Earthq. Eng. Struct. Dyn. 1976, 4, 277–293. [Google Scholar] [CrossRef]
- Anoyatis, G.; Di Laora, R.; Mylonakis, G. Axial kinematic response of end-bearing piles to P waves. Int. J. Numer. Anal. Meth. Geomech. 2013, 37, 2877–2896. [Google Scholar] [CrossRef]
- Zheng, C.J.; Kouretzis, G.; Luan, L.B.; Ding, X.M. Kinematic response of pipe piles subjected to vertically propagating seismic P-waves. Acta Geotech. 2021, 16, 895–909. [Google Scholar] [CrossRef]
- Dai, D.; El Naggar, M.H.; Zhang, N.; Wang, Z. Rigorous solution for kinematic response of floating piles subjected to vertical P-wave. Appl. Math. Model. 2022, 106, 114–125. [Google Scholar] [CrossRef]
- Vlasov, V.Z.; Leontiev, U.N. Beams, Plates and Shells on Elastic Foundations, 1st ed.; Israel Program for Scientific Translations: Jerusalem, Israel, 1966; pp. 47–89, (Translated from Russian). [Google Scholar]
- Liu, Q.J.; Deng, F.J.; He, Y.B. Kinematic response of single piles to vertically incident P-waves. Earthq. Eng. Struct. Dyn. 2014, 43, 871–887. [Google Scholar] [CrossRef]
- Ke, W.H.; Zhang, C.; Deng, P. Kinematic response of single piles to vertical P-waves in multilayered soil. J. Earthq. Tsunami 2015, 9, 1550004. [Google Scholar] [CrossRef]
- Orrje, O.; Broms, B.B. Effects of pile driving on soil properties. J. Soil Mech. Found. Div. 1967, 93, 59–73. [Google Scholar] [CrossRef]
- Flaate, K. Effects of pile driving in clays. Can. Geotech. J. 1972, 9, 81–88. [Google Scholar] [CrossRef]
- Gong, X.N.; Li, X.H. Several mechanical problems in compacting effects of static piling in soft clay ground. Eng. Mech. 2000, 17, 7–13. [Google Scholar]
- Hunt, C.E.; Pestana, J.M.; Bray, J.D.; Riemer, M. Effect of pile driving on static and dynamic properties of soft clay. J. Geotech. Geoenviron. Eng. 2002, 128, 13–24. [Google Scholar] [CrossRef]
- Li, L.; Luo, Y.; Peng, J.; Liao, Z. Theoretical analysis of the influence of drilling compaction on compressional wave velocity in hydrate-bearing sediments. Energy Sci. Eng. 2019, 7, 420–430. [Google Scholar] [CrossRef] [Green Version]
- Holtz, W.G.; Lowitz, C.A. Effects of driving displacement piles in lean clay. J. Soil Mech. Found. Div. 1965, 91, 1–13. [Google Scholar] [CrossRef]
- Bozozuk, M.; Fellenius, B.H.; Samson, L. Soil disturbance from pile driving in sensitive clay. Can. Geotech. J. 1978, 15, 346–361. [Google Scholar] [CrossRef]
- Veletsos, A.S.; Dotson, K.W. Vertical and torsional vibration of foundations in inhomogeneous media. J. Geotech. Eng. 1988, 114, 1002–1021. [Google Scholar] [CrossRef] [Green Version]
- El Naggar, M.H. Vertical and torsional soil reactions for radially inhomogeneous soil layer. Struct. Eng. Mech. 2000, 10, 299–312. [Google Scholar] [CrossRef]
- Wang, K.H.; Yang, D.Y.; Zhang, Z.Q.; Leo, C.J. A new approach for vertical impedance in radially inhomogeneous soil layer. Int. J. Numer. Anal. Meth. Geomech. 2012, 36, 697–707. [Google Scholar] [CrossRef]
- Yang, D.Y.; Wang, K.H.; Zhang, Z.Q.; Leo, C.J. Vertical dynamic response of pile in a radially heterogeneous soil layer. Int. J. Numer. Anal. Meth. Geomech. 2009, 33, 1039–1054. [Google Scholar] [CrossRef]
- Li, Z.Y.; Wang, K.H.; Wu, W.B.; Leo, C.J.; Wang, N. Vertical vibration of a large-diameter pipe pile considering the radial inhomogeneity of soil caused by the construction disturbance effect. Comput. Geotech. 2017, 85, 90–102. [Google Scholar] [CrossRef]








| Pile | Surrounding Soil | |||||||
|---|---|---|---|---|---|---|---|---|
| r0 (m) | H (m) | ρp (kg/m3) | Ep (GPa) | ρs,j (kg/m3) | βj | υs,j | GN+1 (MPa) | Δr (m) |
| 0.5 | 20 | 2500 | 36 | 1800 | 0.02 | 0.4 | 36 | 0.2 |
Publisher’s Note: MDPI stays neutral with regard to jurisdictional claims in published maps and institutional affiliations. |
© 2022 by the authors. Licensee MDPI, Basel, Switzerland. This article is an open access article distributed under the terms and conditions of the Creative Commons Attribution (CC BY) license (https://creativecommons.org/licenses/by/4.0/).
Share and Cite
Dai, D.; Zhang, Y.; Zhang, Y.; Wang, Z.; Li, Z. Kinematic Response of End-Bearing Piles under the Excitation of Vertical P-Waves Considering the Construction Effect. Appl. Sci. 2022, 12, 3468. https://doi.org/10.3390/app12073468
Dai D, Zhang Y, Zhang Y, Wang Z, Li Z. Kinematic Response of End-Bearing Piles under the Excitation of Vertical P-Waves Considering the Construction Effect. Applied Sciences. 2022; 12(7):3468. https://doi.org/10.3390/app12073468
Chicago/Turabian StyleDai, Denghui, Yanjie Zhang, Yunfei Zhang, Zhanbin Wang, and Zhenya Li. 2022. "Kinematic Response of End-Bearing Piles under the Excitation of Vertical P-Waves Considering the Construction Effect" Applied Sciences 12, no. 7: 3468. https://doi.org/10.3390/app12073468
APA StyleDai, D., Zhang, Y., Zhang, Y., Wang, Z., & Li, Z. (2022). Kinematic Response of End-Bearing Piles under the Excitation of Vertical P-Waves Considering the Construction Effect. Applied Sciences, 12(7), 3468. https://doi.org/10.3390/app12073468
