Distributed Grouping Cooperative Dynamic Task Assignment Method of UAV Swarm
Abstract
1. Introduction
2. Problem Description
2.1. Mission Scenario Analysis
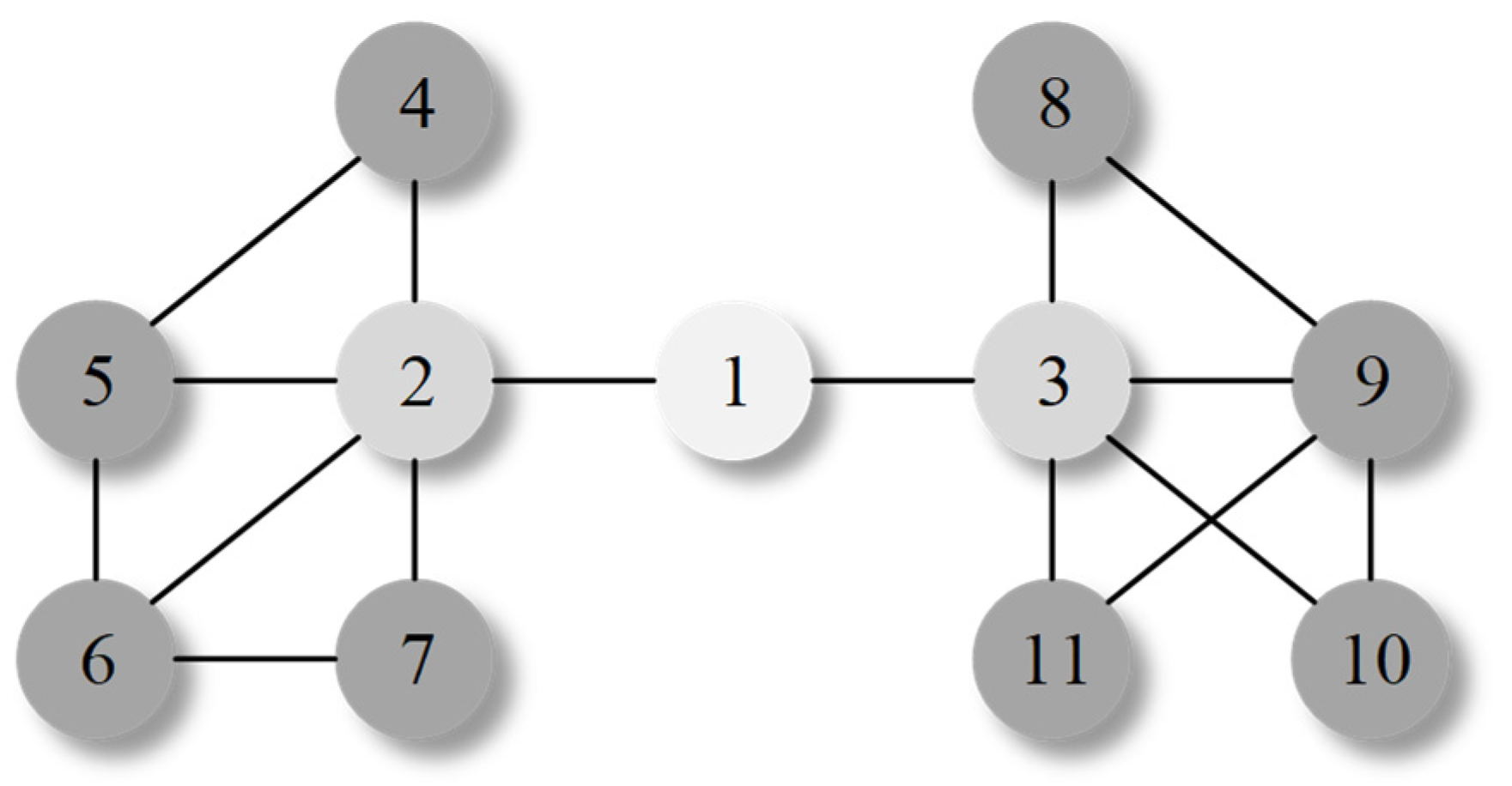
2.2. Hierarchical Communication Topology
2.3. UAV and Payload Model
2.4. Threat Model
2.5. Dynamic Task Allocation Problem
3. Task Assignment Algorithm Based on Extended CNP
3.1. Distributed Multi-Constraint Dynamic Task Assignment Algorithm
| Algorithm 1: Release tendering information and achieve information consensus. | |
| 1: | is not empty |
| 2: | |
| 3: | |
| 4: | endif |
| 5: | endif |
| 6: | invitation received |
| 7: | < |
| 8: | |
| 9: | |
| 10: | endif |
| 11: | endfor |
| Algorithm 2: The extended Contract Network Protocol. | |
| Input:Task assignment combination {V, Sg, T, O, Mt, R, C}; Topology G0; time tnow Output: Task execution sequence set {Am} | |
| 1: | /* Step 1: Release the information of targets */ |
| 2: | for i from the first index of leader UAVs to the last one |
| 3. | if Vi is a target tenderee UAV |
| 4: | {Vp,i} = detTargetPotentialBidders(G0,C) /* determine the set of potential bidder subsets. */ |
| 5: | for k = 1 to number of targets |
| 6: | if Tk is tendered by leader UAV i |
| 7: | {Taskk} = generateSubtasks(Tk) /* Tenderee UAV i generates subtask information. */ |
| 8: | end if |
| 9: | end for |
| 10: | Ii = releaseTargetInfo ({Tk}, {Taskk}, tnow, {Vp,i}} /* Tenderee UAV i releases target information. */ |
| 11: | end if |
| 12: | end for |
| 13: | /* Step 2: Generate bidding scheme */ |
| 14: | for j from the first index of leader UAVs to the last one |
| 15: | for i from the first index of tenderee leader UAVs to the last one |
| 16: | if Vj belongs to {Vp,i} |
| 17: | Receive Ii and broadcast it to Vj ‘s followers |
| 18: | end if |
| 19: | end for |
| 20: | for m from the first index of followers of Vj to the last one |
| 21: | {Taska,m} = checkTaskConstaints({Ii.Taskk}) /* Select the executable subtasks from {Taskk} */ |
| 22: | {} = combineTasks({Taska,m }) /* Generate the set of alternative sequence */ |
| 23: | {Bm,n} = biddingFuncCal({SeqSetm}) /* Calculate the bidding function of each sequence */ |
| 24: | Seqwin,m = , nbest = /* Determine the sequence to execute */ |
| 25: | end for |
| 26: | Bg,jk = |
| 27: | end for |
| 28: | /* Step 3: Determine the winners */ |
| 29: | for i = 1 to number of tenderee leader UAV i |
| 30: | for k = 1 to number of targets tendered by leader UAV i |
| 31: | Bg,k = max{Bg,jk}, Winnerg,k = /* Determine winner of tendering for Target k */ |
| 32: | end for |
| 33: | end for |
| 34: | /* Step 4: Perform the tasks */ |
| 35: | for n = 1 to number of subsets |
| 36: | for m = 1 to number of follower UAV m of Subset n |
| 37: | Am = Am Seqwin,m /* Add the signing subtask sequence to task execution sequence Am. */ |
| 38: | end for |
| 39: | end for |
3.2. Bidding Function Design
3.2.1. Individual Bidding Function
3.2.2. Bidding Function of Each Subset
4. Dynamic Assignment Strategy Based on Event Triggering
4.1. Event Trigger Conditions for Dynamic Tasks
4.2. The Basic Process of Dynamic Task Assignment
- Assign the known targets. The top leader assumes the role of the tenderee, dominates the initial assignment, and releases the target information to each group leader based on the inter-group contract network.
- Each group leader that has direct communication with the top leader receives the target information, releases the subtask information to their followers, and determines the group’s bidding scheme, which is obtained by subtasks pre-assignment based on the group’s internal contract network.
- The top leader selects the group with the largest bidding value as the bid winner according to the bidding schemes of the group submitted by the group leaders and assigns the target to the group.
- According to the assigned target, each subset performs tasks according to the corresponding subtask assignment scheme.
- If a UAV fails to perform tasks due to sudden failure, the tasks shall be assigned to other UAVs in this subset first; if no UAV in the subset can continue to perform, the group leader will release the tasks to other subsets, and then others will determine the pre-assignment scheme based on the contract network within the group. The tendering group shall determine the assistance according to each bidding scheme.
- If a UAV (including the group leader) detects a sudden target, it shall be reported to the group leader. After receiving the target information, the leader of this subset will release the target to other subsets. Each subset determines the pre-assignment scheme based on the contract network within the group, carries out the bidding based on the inter-group contract network, and, finally, completes the target and subtask assignment.
- Repeat steps 4–6 until there is no dynamic change.
5. Numerical Simulation
5.1. The Initial Task Assignment for Known Targets
5.2. Dynamic TASK Assignment for Sudden Targets
5.3. Reassignment for Subtasks of Failed UAV
5.4. The Analysis of the Real-Time Performance of the Assignment Approach
5.4.1. Real-Time Performance with Different Problem Scales
5.4.2. Algorithm Comparison
6. Conclusions
Author Contributions
Funding
Institutional Review Board Statement
Informed Consent Statement
Data Availability Statement
Conflicts of Interest
References
- Zhang, Y.F.; Lin, D.F.; Zheng, D.; Cheng, Z.H.; Tang, P. Task Allocation and Trajectory Optimization of UAV for Multi-target Time-space Synchronization Cooperative Attack. Acta Armamentarii 2021, 42, 1482–1495. (In Chinese) [Google Scholar]
- Jiang, X.; Zeng, X.L.; Sun, J.; Chen, J. Research status and prospect of distributed optimization for multiple aircraft. Acta Aeronaut. Astronaut. Sin. 2021, 42, 90–105. (In Chinese) [Google Scholar]
- Zhang, J.; Xing, J.H. Cooperative task assignment of multi-UAV system. Chin. J. Aeronaut. 2020, 33, 2825–2827. [Google Scholar] [CrossRef]
- Duan, H.B.; Zhao, J.X.; Deng, Y.M.; Shi, Y.H. Dynamic Discrete Pigeon-Inspired Optimization for Multi-UAV Cooperative Search-Attack Mission Planning. IEEE Trans. Aerosp. Electron. Syst. 2020, 57, 706–720. [Google Scholar] [CrossRef]
- Ye, F.; Chen, J.; Tian, Y.; Jiang, T. Cooperative Task Assignment of a Heterogeneous Multi-UAV System Using an Adaptive Genetic Algorithm. Electronics 2020, 9, 687. [Google Scholar] [CrossRef]
- Jia, Z.Y.; Yu, J.Q.; Ai, X.L.; Xu, X.; Yang, D. Cooperative multiple task assignment problem with stochastic velocities and time windows for heterogeneous unmanned aerial vehicles using a genetic algorithm. Aerosp. Sci. Technol. 2018, 76, 112–125. [Google Scholar] [CrossRef]
- Wu, W.N.; Wang, X.G.; Cui, N.G. Fast and coupled solution for cooperative mission planning of multiple heterogeneous unmanned aerial vehicles. Aerosp. Sci. Technol. 2018, 79, 131–144. [Google Scholar] [CrossRef]
- Wang, Z.; Liu, L.; Long, T.; Wen, Y.L. Multi-UAV recon-naissance task allocation for heterogeneous targets using an opposition-based genetic algorithm with double chromosome encoding. Chin. J. Aeronaut. 2018, 31, 339–350. [Google Scholar] [CrossRef]
- Wei, C.; Ji, Z.; Cai, B. Particle Swarm Optimization for Cooperative Multi-Robot Task Allocation: A Multi-Objective Approach. IEEE Robot. Autom. Lett. 2020, 5, 2530–2537. [Google Scholar] [CrossRef]
- Su, F.; Chen, Y.; Shen, L.C. UAV Cooperative Multi-task Assignment Based on Ant Colony Algorithm. Acta Aeronaut. Astronaut. Sin. 2008, 29, 184–191. (In Chinese) [Google Scholar]
- Zhen, Z.; Xing, D.; Gao, C. Cooperative search-attack mission planning for multi-UAV based on intelligent self-organized algorithm. Aerosp. Sci. Technol. 2018, 76, 402–411. [Google Scholar] [CrossRef]
- Chen, Y.B.; Yang, D.; Yu, J.Q. Multi-UAV Task Assignment with Parameter and Time-Sensitive Uncertainties Using Modified Two-Part Wolf Pack Search Algorithm. IEEE Trans. Aerosp. Electron. Syst. 2018, 54, 2853–2872. [Google Scholar] [CrossRef]
- Gerkey, B.P.; Mataric, M.J. Sold!: Auction methods for multirobot coordination. IEEE Trans. Robot. Autom. 2002, 18, 758–768. [Google Scholar] [CrossRef]
- Choi, H.L.; Brunet, L.; How, J.P. Consensus-Based De-8kcentralized Auctions for Robust Task Allocation. IEEE Trans. Robot. 2009, 25, 912–926. [Google Scholar] [CrossRef]
- Luo, L.Z.; Chakraborty, N.; Sycara, K. Distributed Algorithms for Multirobot Task Assignment with Task Deadline Constraints. IEEE Trans. Autom. Sci. Eng. 2015, 12, 876–888. [Google Scholar] [CrossRef]
- Farinelli, A.; Iocchi, L.; Nardi, D. Distributed on-line dynamic task assignment for multi-robot patrolling. Auton. Robot. 2016, 41, 1–25. [Google Scholar] [CrossRef]
- Oh, G.; Kim, Y.; Ahn, J.; Choi, H.L. Market-Based Task Assignment for Cooperative Timing Missions in Dynamic Environments. J. Intell. Robot. Syst. 2017, 87, 1–27. [Google Scholar] [CrossRef]
- Moore, B.J.; Passino, K.M. Distributed Task Assignment for Mobile Agents. IEEE Trans. Autom. Control. 2007, 52, 749–753. [Google Scholar] [CrossRef][Green Version]
- Yang, H.Z.; Wang, Q. A multi-AUV dynamic task allocation method based on ant colony labor division model. Control. Decis. 2021, 36, 1911–1919. (In Chinese) [Google Scholar]
- Li, X.M.; TANG, J.Y.; DAI, J.J.; Bo, N. Dynamic Coalition Task Allocation of Heterogeneous Multiple Agents. J. Northwestern Polytech. Univ. 2020, 38, 1094–1104. (In Chinese) [Google Scholar] [CrossRef]
- Ni, J.J.; Tang, M.; Chen, Y.N.; Cao, W.D. An Improved Cooperative Control Method for Hybrid Unmanned Aerial-Ground System in Multitasks. Int. J. Aerosp. Eng. 2020, 2020, 1–14. [Google Scholar] [CrossRef]
- Yao, W.R.; Qi, N.M.; Wan, N.; Liu, Y.B. An iterative strategy for task assignment and path planning of distributed multiple unmanned aerial vehicles. Aerosp. Sci. Technol. 2019, 86, 455–464. [Google Scholar] [CrossRef]
- Zhan, C.; Zeng, Y. Aerial–Ground Cost Tradeoff for Multi-UAV-Enabled Data Collection in Wireless Sensor Networks. IEEE Trans. Commun. 2020, 68, 1937–1950. [Google Scholar] [CrossRef]
- Wang, R.R.; Wei, W.L.; Yang, M.C.; Liu, W. Task allocation of multiple UAVs considering cooperative route planning. Acta Aeronaut. Et Astronaut. Sin. 2020, 41, 24–35. (In Chinese) [Google Scholar]
- Ismail, A.; Bagula, B.A.; Tuyishimire, E. Internet-Of-Things in Motion: A UAV Coalition Model for Remote Sensing in Smart Cities. Sensors 2018, 18, 2184. [Google Scholar] [CrossRef]
- Fu, X.W.; Feng, P.; Gao, X. Swarm UAVs Task and Resource Dynamic Assignment Algorithm Based on Task Sequence Mechanism. IEEE Access 2019. [Google Scholar] [CrossRef]
- Yan, F.; Zhu, X.P.; Zhou, Z.; Tang, Y. Real-time task allocation for a heterogeneous multi-UAV simultaneous attack. SCIENTIA SINICA Inf. 2019, 49, 555–569. (In Chinese) [Google Scholar] [CrossRef]
- Chen, P.; Yan, F.; Liu, Z.; Cheng, G.D. Heterogeneous unmanned aerial vehicles task allocation with communication constraints. Acta Aeronaut. Et Astronaut. Sin. 2021, 42, 525844. (In Chinese) [Google Scholar]
- Jia, G.W.; Wang, J.F. Research review of UAV swarm mission planning method. Syst. Eng. Electron. 2021, 43, 99–111. (In Chinese) [Google Scholar]
- Wu, Q.B.; Zhou, S.L.; Liu, W.; Yin, G.Y. Multi-unmanned aerial vehicles cooperative search based on central-distributed model predictive control. Control. Theory Appl. 2015, 32, 1414–1421. (In Chinese) [Google Scholar]
- Tian, L.; Wang, M.Y.; Zhao, Q.L.; Wang, X.D.; Song, X.; Ren, Z. Distributed time-varying group formation tracking for cluster systems under switching topologies. Scientia Sinica Inf. 2020, 50, 408–423. (In Chinese) [Google Scholar]
- Dong, X.W.; Li, Q.D.; Zhao, Q.L.; Ren, Z. Time-varying group formation analysis and design for second-order multi-agent systems with directed topologies. Neurocomputing 2016, 205, 367–374. [Google Scholar] [CrossRef]
- Su, F. Research on Distributed Online Cooperative Mission Planning for Multiple Unmanned Combat Aerial Vehicles in Dynamic Environment. Ph.D. Thesis, National University of Defense Technology, Changsha, China, 2013. (In Chinese). [Google Scholar]
- Ma, D.L.; Chen, Y. Assessments of air-to-surface operational effectiveness for aircraft during combat sortie. J. Beijing Univ. Aeronaut. Astronaut. 2000, 26, 1413–1417. (In Chinese) [Google Scholar]
- Wang, Y.X.; Zhang, T.; Cai, Z.H.; Zhao, J.; Wu, K. Multi-UAV coordination control by chaotic grey wolf optimization based distributed MPC with event-triggered strategy. Chin. J. Aeronaut. 2020, 33, 2877–2897. [Google Scholar] [CrossRef]
- Zhu, Y.; Zhang, T.; Song, J.Y. Study on the Local Minima Problem of Path Planning Using Potential Field Method in Unknown Environments. Acta Autom. Sin. 2010, 36, 1122–1130. [Google Scholar] [CrossRef]
- Fan, S.P.; Qi, Q.; Lu, K.F.; Wu, G.; Li, L. Autonomous Collision Avoidance Technique of Cruise Missiles Based on Modified Artificial Potential Method. Trans. Beijing Inst. Technol. 2018, 38, 828–834. [Google Scholar]
- Ge, S.S.; Cui, Y.J. New potential functions for mobile robot path planning. IEEE Trans. Robot. Autom. 2000, 16, 615–620. [Google Scholar] [CrossRef]















| UAV | Initial Position (m) | The Maximum Air-Range (m) | Fuel Consumption Rate (m−1) | Velocity (m/s) | The Maximum Number of Tasks | Mission Capability | |
|---|---|---|---|---|---|---|---|
| Reconnaissance | Attack | ||||||
| V1 | (2500,20,200) | 10,000 | 0.01 | 120 | 2 | √ | |
| V2 | (0,20,200) | 10,000 | 0.03 | 80 | 2 | √ | √ |
| V3 | (5000,20,200) | 10,000 | 0.03 | 80 | 2 | √ | √ |
| V4 | (500,20,200) | 10,000 | 0.01 | 120 | 2 | √ | |
| V5 | (1000,20,200) | 10,000 | 0.01 | 120 | 2 | √ | |
| V6 | (1500,20,200) | 10,000 | 0.02 | 100 | 2 | √ | |
| V7 | (2000,20,200) | 10,000 | 0.02 | 100 | 2 | √ | |
| V8 | (4500,20,200) | 10,000 | 0.01 | 120 | 2 | √ | |
| V9 | (4000,20,200) | 10,000 | 0.01 | 120 | 2 | √ | |
| V10 | (3500,20,200) | 10,000 | 0.02 | 100 | 2 | √ | |
| V11 | (3000,20,200) | 10,000 | 0.02 | 100 | 2 | √ | |
| Flight Height H/m | Operating Distance Rs,max/m | Azimuth Search Angle φmax/° | Pitch Search Angle ϕmax/° | Mounting Angle α/° |
|---|---|---|---|---|
| 200 | 500 | 45 | 30 | 30 |
| Flight Velocity V/m | The Minimum Launch Distance Ra,min/m | The Maximum off-Boresight Angle φa,max/° | The Maximum Operating Range of Guidance Equipment dmax/m | Maximum Horizontal Detection Angle of Guidance Equipment ± ϕa,max/° | Aiming Time of Guidance Equipmentta/s |
|---|---|---|---|---|---|
| 100 | 80 | 60 | 30 | ±60 | 0.2 |
| Target | Coordinate (m) | Task Type | Time Window of S | Time Window of A | |||
|---|---|---|---|---|---|---|---|
| Reconnaissance S | Attack A | Latest (s) | Earliest (s) | Latest (s) | Earliest (s) | ||
| T1 | (538.4, 3516.3, 0) | √ | √ | 73.7 | 93.7 | 98.7 | 123.7 |
| T2 | (1497.9, 3788.2, 0) | √ | √ | 117.5 | 137.5 | 142.5 | 167.5 |
| T3 | (2396.8, 4602.3, 0) | √ | √ | 150.3 | 170.3 | 175.3 | 200.3 |
| T4 | (4005.0, 4287.9, 0) | √ | √ | 193.8 | 213.8 | 218.8 | 243.8 |
| T5 | (3359.0, 4171.4, 0) | √ | √ | 249.6 | 269.6 | 274.6 | 299.6 |
| T6 | (1949.3, 3865.2, 0) | √ | √ | 167.0 | 187.0 | 192.0 | 217.0 |
| UAV | Air-Range Estimation (m) | The Number of Tasks | The Execution Planning |
|---|---|---|---|
| V1 | 0 | 0 | None |
| V2 | 3524.00 | 1 | (T1, A, 98.7, 79.52) |
| V3 | 0 | 0 | None |
| V4 | 3486.00 | 1 | (T1, S, 73.7, 65.14) |
| V5 | 4230.00 | 2 | (T2, S, 117.5, 62.14)→(T6, S, 167.0, 59.20) |
| V6 | 3756.52 | 1 | (T2, A, 142.5, 74.87) |
| V7 | 3837.18 | 1 | (T6, A, 192.0, 73.23) |
| V8 | 4298.74 | 1 | (T5, S, 249.6, 57.04) |
| V9 | 6475.10 | 2 | (T3, S, 150.3, 51.47)→(T4, S, 193.8, 57.34) |
| V10 | 4477.55 | 1 | (T4, A, 218.8, 60.51) |
| V11 | 5702.98 | 2 | (T3, A, 175.3, 56.75)→(T5, A, 274.6, 66.90) |
| Target | Coordinates (m) | Task Type | |
|---|---|---|---|
| Reconnaissance S | Attack A | ||
| T7 | (3467.7, 2897.7, 0) | √ | √ |
| T8 | (1307.7, 3057.7, 0) | √ | √ |
| Target | The Time It Is Discovered | Discoverer | Subset to Which the Discoverer Belongs | Time Window of S | Time Window of A | ||
|---|---|---|---|---|---|---|---|
| Latest (s) | Earliest (s) | Latest (s) | Earliest (s) | ||||
| T7 | 237.9 | V8 (S) | 2 | 271.0 | 291.0 | 291.0 | 316.0 |
| T8 | 109.1 | V5 (S) | 1 | 155.8 | 175.8 | 175.8 | 200.8 |
| UAV | Air-range Estimation (m) | The Number of Tasks | The Execution Planning |
|---|---|---|---|
| V1 | 0 | 0 | None |
| V2 | 3524.00 | 1 | (T1, A, 98.7, 79.52) |
| V3 | 3262.79 | 1 | (T7, A, 291.0, 84.77) |
| V4 | 4366.55 | 2 | (T1, S, 73.7, 65.14)→(T8, S, 155.8, 32.90) |
| V5 | 4230.00 | 2 | (T2, S, 117.5, 62.14)→(T6, S, 167.0, 59.20) |
| V6 | 4502.80 | 2 | (T2, A, 142.5, 74.87)→(T8, A, 175.8, 135.13) |
| V7 | 3837.18 | 1 | (T6, A, 192.0, 73.23) |
| V8 | 5747.08 | 2 | (T5, S, 249.6, 57.04)→(T7, S, 271.0, 27.42) |
| V9 | 6475.10 | 2 | (T3, S, 150.3, 51.47)→(T4, S, 193.8, 57.34) |
| V10 | 4477.55 | 1 | (T4, A, 218.8, 60.51) |
| V11 | 5702.98 | 2 | (T3, A, 175.3, 56.75)→(T5, A, 274.6, 66.90) |
| Bidding Value of Subtask | Subset 1 | Subset 2 | ||
|---|---|---|---|---|
| V2 | V4 | V3 | V8 | |
| T2 (S) | 10.72 | 30.88 | −106.49 | −48.62 |
| T6 (S) | −6.74 | 21.83 | −2.77 | 52.89 |
| Subtask | Bidding Winner | Winning Bidding Value | Start Time (s) |
|---|---|---|---|
| T2 (S) | V4 (Subset 1) | 30.88 | 117.5 s |
| T6 (S) | V8 (Subset 2) | 52.89 | 167.0 s |
| Case | Number of Subsets | Number of UAVs of Each Subset | Number of Targets | The Size of the UAV Swarm |
|---|---|---|---|---|
| (a) | 5, 10, 15, 20, 25 | 10 | 10 | 50, 100, 150, 200, 250 |
| (b) | 5 | 20, 40, 60, 80, 100 | 10 | 100, 200, 300, 400, 500 |
| (c) | 5 | 10 | 5, 10, 15, 20, 25 | 50 |
| The Size of the UAV Swarm | The Number of Targets | The Total Solving Time of the CNP-Based Approach/(Seconds) | The Total Solving Time of ACO (50 Iterations)/(Seconds) |
|---|---|---|---|
| 50 | 10 | 1.66 | 41.5 |
| 100 | 10 | 1.70 | 59.8 |
| 150 | 10 | 1.85 | 74.9 |
| 200 | 10 | 1.93 | 96.2 |
| 250 | 10 | 1.98 | 112.5 |
| 150 | 15 | 2.03 | 88.2 |
| 150 | 20 | 3.50 | 124.1 |
| 150 | 25 | 5.30 | 179.0 |
Publisher’s Note: MDPI stays neutral with regard to jurisdictional claims in published maps and institutional affiliations. |
© 2022 by the authors. Licensee MDPI, Basel, Switzerland. This article is an open access article distributed under the terms and conditions of the Creative Commons Attribution (CC BY) license (https://creativecommons.org/licenses/by/4.0/).
Share and Cite
Qin, B.; Zhang, D.; Tang, S.; Wang, M. Distributed Grouping Cooperative Dynamic Task Assignment Method of UAV Swarm. Appl. Sci. 2022, 12, 2865. https://doi.org/10.3390/app12062865
Qin B, Zhang D, Tang S, Wang M. Distributed Grouping Cooperative Dynamic Task Assignment Method of UAV Swarm. Applied Sciences. 2022; 12(6):2865. https://doi.org/10.3390/app12062865
Chicago/Turabian StyleQin, Boyu, Dong Zhang, Shuo Tang, and Mengyang Wang. 2022. "Distributed Grouping Cooperative Dynamic Task Assignment Method of UAV Swarm" Applied Sciences 12, no. 6: 2865. https://doi.org/10.3390/app12062865
APA StyleQin, B., Zhang, D., Tang, S., & Wang, M. (2022). Distributed Grouping Cooperative Dynamic Task Assignment Method of UAV Swarm. Applied Sciences, 12(6), 2865. https://doi.org/10.3390/app12062865

