Experimental Study of Wave-Induced Response of Piles in Seabed with Various Permeability
Abstract
:1. Introduction
2. Testing Arrangements and Programs
2.1. Configuration of the Wave Flume
2.2. Soil and Model Piles
2.3. Data Acquisition
2.4. Preparation and Testing
3. Testing Results
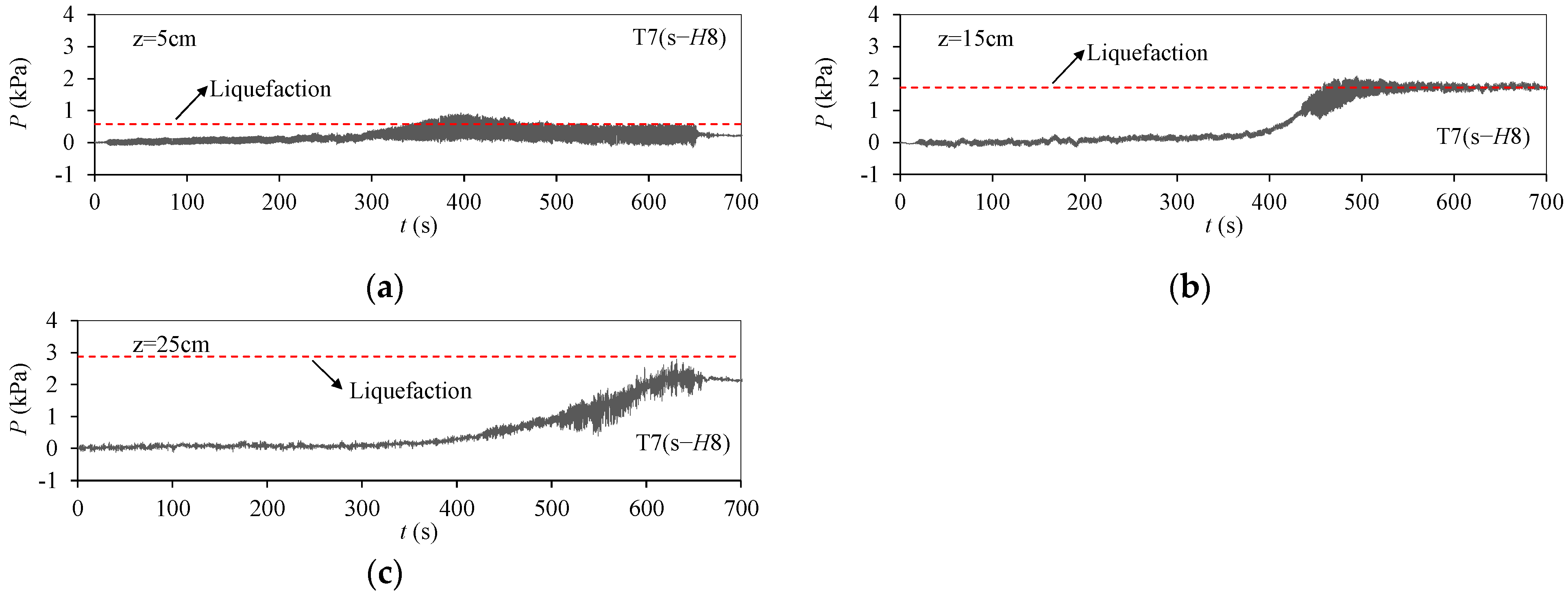
3.1. Responses of Sample 1 and Sample 2 Seabed
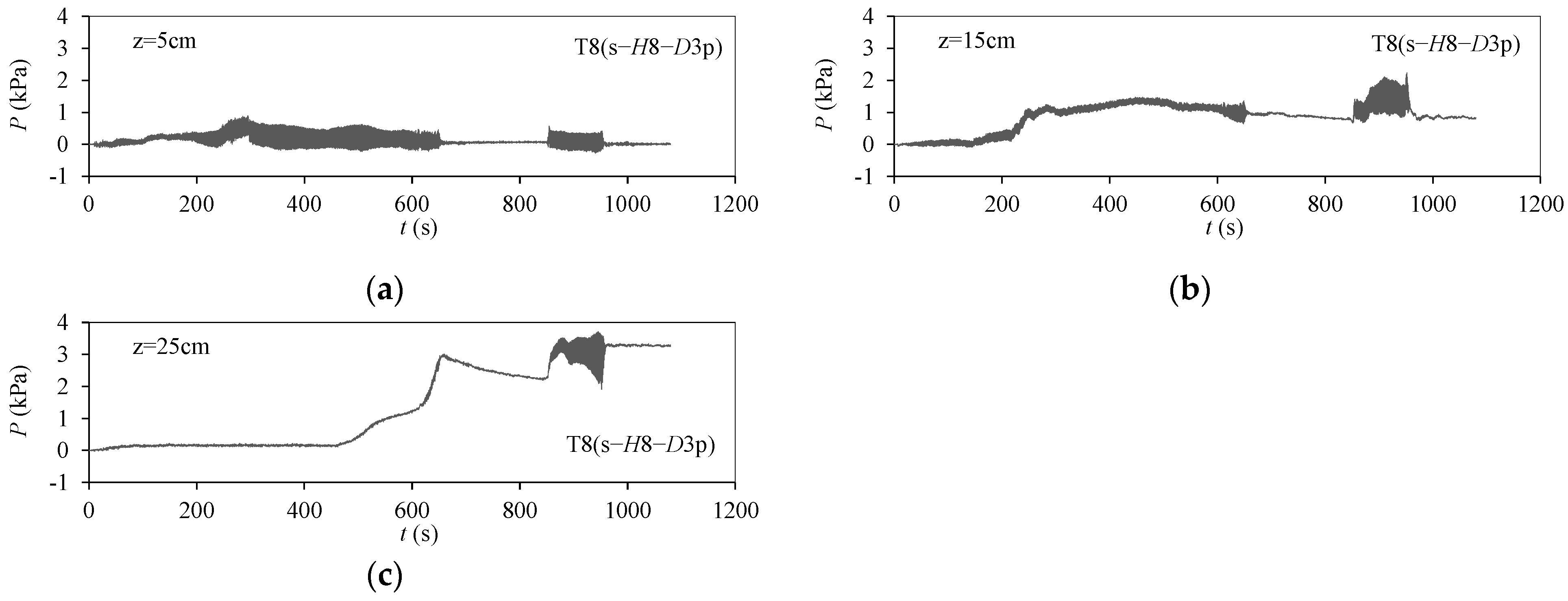
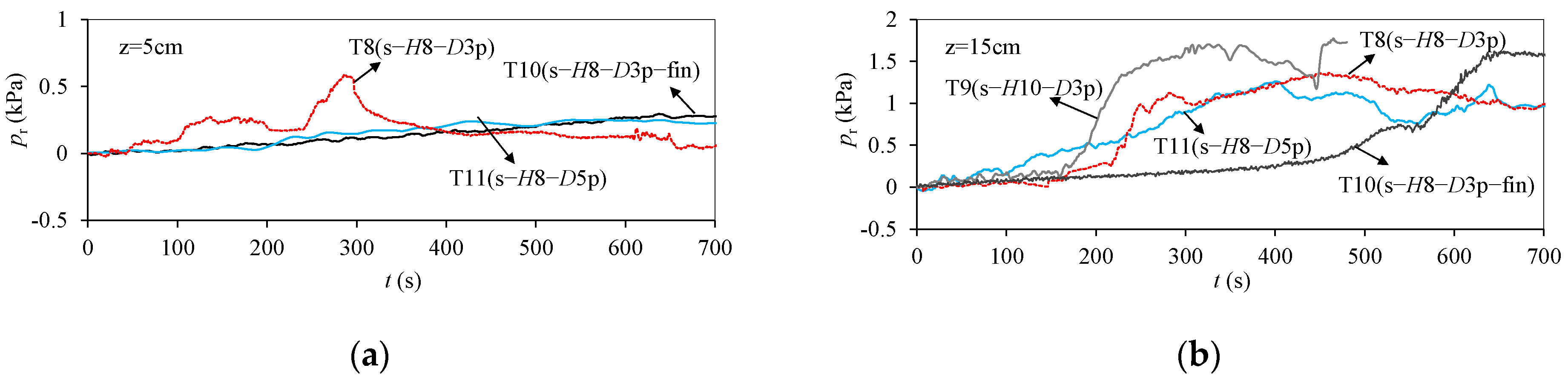
3.2. Pore Pressure around Piles
3.3. Displacement of Piles
4. Discussion of Wave-Induced Pile–Seabed Response
4.1. Pile-Diameter Effect
4.2. Pile-Cross-Section Effect
4.3. Pile-Stiffness Effect
4.4. Wave-Height Effect
5. Conclusions
Author Contributions
Funding
Institutional Review Board Statement
Informed Consent Statement
Data Availability Statement
Conflicts of Interest
References
- Pineda, I.; Tardieu, P. The European Offshore Wind Industry—Key Trends and Statistics 2016; Wind Europe: Brussels, Belgium, 2017. [Google Scholar]
- Golightly, C. Tilting of Monopiles: Long, Heavy and Stiff; Pushed beyond Their Limits. Ground Eng. 2014, 1, 20–23. [Google Scholar]
- DNVGL-st-0126; Support Structures for Wind Turbines, Offshore Standard. DNV: Oslo, Norway, 2016.
- Reese, L.C.; Cox, W.R.; Koop, F.D. Analysis of Laterally Loaded Piles in Sand. In Proceedings of the 6th Offshore Technology Conference, Houston, TX, USA, 5 May 1974; pp. 473–483. [Google Scholar]
- Murchison, J.; O’Neill, M. Evaluation of p-y Relationships in Cohesionless Soils. In Proceedings of the Analysis and Design of Pile Foundations, San Francisco, CA, USA, 1–5 October 1984; pp. 174–191. [Google Scholar]
- Leblanc, C.; Houlsby, T.; Byrne, W. Response of Stiff Piles in Sand to Long-Term Cyclic Lateral Loading. Géotechnique 2010, 60, 79–90. [Google Scholar] [CrossRef]
- Truong, P.; Lehane, B.M.; Zania, V.; Klinkvort, R.T. Empirical Approach based on Centrifuge Testing for Cyclic Deformations of Laterally Loaded Piles in Sand. Géotechnique 2019, 69, 133–145. [Google Scholar] [CrossRef]
- Bienen, B.; Dührkop, J.; Grabe, J.; Randolph, M.F.; White, D.J. Response of Piles with Wings to Monotonic and Cyclic Lateral Loading in Sand. J. Geotech. Geoenviron. 2012, 138, 364–375. [Google Scholar] [CrossRef]
- Kuo, Y.S.; Achmus, M.; Abdel-Rahman, K. Minimum Embedded Length of Cyclic Horizontally Loaded Monopiles. J. Geotech. Geoenviron. 2012, 138, 357–363. [Google Scholar] [CrossRef]
- Albiker, J.; Achmus, M.; Frick, D. 1 g Model tests on the Displacement Accumulation of Large Diameter Piles under Cyclic Lateral Loading. Geotech. Test. J. 2017, 40, GTJ20160102. [Google Scholar] [CrossRef]
- Bhattacharya, S.; Carrington, T.M.; Aldridge, T.R. Design of FPSO Piles against Storm Loading. In Proceedings of the OTC, Houston, TX, USA, 1–4 May 2006. OTC 17861. [Google Scholar]
- API (American Petroleum Institute). Geotechnical and Foundation Design Considerations, API Recommended Practice 2GEO, 1st ed.; API: Washington, DC, USA, 2011. [Google Scholar]
- Klinkvort, R.T.; Leth, C.T.; Hededal, O. Centrifuge Modelling of a Laterally Cyclic Loaded Pile. In Proceedings of the 7th International Conference on Physical Modelling in Geotechnics, Zurich, Switzerland, 28 June–1 July 2010; pp. 959–964. [Google Scholar]
- Haigh, S.K. Foundations for Offshore Wind Turbines. In Proceedings of the 8th International Conference on Physical Modelling in Geotechnics 2014, Perth, Australia, 14–17 January 2014; pp. 153–159. [Google Scholar]
- Nicolai, G.; Ibsen, L.B.; O’Loughlin, C.D.; White, D.J. Quantifying the Increase in Lateral Capacity of Monopiles in Sand due to Cyclic Loading. Geotech. Lett. 2017, 7, 245–252. [Google Scholar] [CrossRef]
- Huang, T.; Bai, S.Y.; Hou, L.J.; Guo, Z.Y. The Effect of Wave Action on the Lateral Pile-Soil Interaction for Monopiles in Sandy Seabed. In Proceedings of the 28th ISOPE, Sapporo, Japan, 10–15 June 2018; pp. 488–492. [Google Scholar]
- Madsen, O.S. Wave-induced Pore Pressure and Effective Stresses in a Porous Bed. Géotechnique 2015, 28, 377–393. [Google Scholar] [CrossRef]
- Mei, C.C.; Foda, M.A. Wave-induced Responses in a Fluid-filled Poro-elastic Solid with a Free Surface-A Boundary Layer Theory. Geophys. J. R. Astronom. Soc. 2010, 66, 597–631. [Google Scholar] [CrossRef]
- Hsu, J.R.C.; Jeng, D.S. Wave-induced Soil Response in an Unsaturated Anisotropic Seabed of Finite Thickness. Int. J. Rock Mech. Min. Sci. Geomech. Abstr. 1994, 18, 785–807. [Google Scholar] [CrossRef]
- Biot, M.A. Theory of Elasticity and Consolidation for a Porous Anisotropic Solid. J. Appl. Phys. 1956, 26, 182–185. [Google Scholar] [CrossRef]
- Tzang, S.Y.; Ou, S.H. Laboratory Flume Studies on Monochromatic Wave-Fine Sandy Bed Interactions: Part 1 Soil Fluidization. Coast. Eng. 2006, 53, 965–982. [Google Scholar] [CrossRef]
- Kirca, V.S.O.; Sumer, B.M.; Fredsøe, J. Influence of Clay Content on Wave-Induced Liquefaction. J. Waterw. Port. Coast. Ocean. Eng. 2014, 140, 04014024. [Google Scholar] [CrossRef]
- Liu, B.; Jeng, D.S.; Ye, G.L.; Yang, B. Laboratory Study for Pore Pressures in Sandy Deposit under Wave Loading. Ocean. Eng. 2015, 106, 207–219. [Google Scholar] [CrossRef]
- Zhang, J.S.; Li, Q.Z.; Ding, C.; Zheng, J.H.; Zhang, T.T. Experimental Investigation of Wave-Driven Pore-Water Pressure and Wave Attenuation in a Sandy Seabed. Adv. Mech. Eng. 2016, 8, 1687814016651207. [Google Scholar] [CrossRef] [Green Version]
- Zhang, Q.; Zhai, H.; Wang, P.; Wang, S.; Chen, L.; Duan, L.; Liu, Y.; Jeng, D.S. Experimental Study for Wave-Induced Pore-Water Pressures in a Porous Seabed around a Mono-pile. Appl. Ocean. Res. 2020, 95, 102041. [Google Scholar] [CrossRef]
- Qi, W.G.; Li, Y.X.; Xu, K.; Gao, F.P. Physical Modelling of Local Scour at Twin Piles under Combined Waves and Current. Coast. Eng. 2019, 143, 63–75. [Google Scholar] [CrossRef] [Green Version]
- Bi, C.W.; Wu, G.Y.; Zhao, S.X.; Dong, G.H. Laboratory Experimental Investigation on the Hydrodynamic Responses of an Extra-Large Electrical Platform in Wave and Storm Conditions. Water 2019, 11, 2024. [Google Scholar]
- Nogami, T.; Novak, M. Resistance of Soil to a Horizontally Vibrating Pile. Earthq. Eng. Struct. D 1977, 5, 249–261. [Google Scholar] [CrossRef]
- Li, L.J.; Zheng, J.H.; Peng, Y.X.; Zhang, J.S.; Wu, X.G. Numerical Investigation of Flow Motion and Performance of a Horizontal Axis Tidal Turbine Subjected to a Steady Current. China Ocean. Eng. 2015, 29, 209–222. [Google Scholar] [CrossRef]
- Gao, F.P.; Gu, X.; Jeng, D.S. Physical Modeling of Untrenched Submarine Pipeline Instability. Ocean. Eng. 2003, 30, 1283–1304. [Google Scholar] [CrossRef]
- Sun, K.; Zhang, J.S.; Guo, Y.; Jeng, D.S.; Guo, Y.K.; Liang, Z.D. Laboratory Experimental Study of Ocean Waves Propagating over a Partially Buried Pipeline in a Trench Layer. Ocean. Eng. 2019, 173, 617–627. [Google Scholar] [CrossRef] [Green Version]
- Foda, M.A.; Tzang, S.Y. Resonant Fluidization of Silty Soil by Water Waves. J. Geophys. Res. 1994, 99, 20463–20475. [Google Scholar] [CrossRef]
- Morison, J.R.; Johnson, J.W.; Schaaf, S.A. The Force Exerted by Surface Waves on Piles. J. Petrol. Technol. 1950, 2, 149–154. [Google Scholar] [CrossRef]
- Le Méhauté, B. An Introduction to Hydrodynamics and Water Waves; Springer: Berlin/Heidelberg, Germany, 1976. [Google Scholar]


















| Test No. | Related Model | Soil Type | Pile Material | Pile Diameter D (cm) | Wave Height H (cm) | Loading Time t (s) |
|---|---|---|---|---|---|---|
| T1(f-H8) | Seabed | Sample 1, fine sand | - | - | 8 | 640 |
| T2(f-H8-D3p) | Seabed and monopile | Sample 1, fine sand | Plexiglass | 3 | 8 | 640 |
| T3(f-H10-D3p) | Seabed and monopile | Sample 1, fine sand | Plexiglass | 3 | 10 | 640 |
| T4(f-H8-D3p-fin) | Seabed and finned pile | Sample 1, fine sand | Plexiglass | 3 | 8 | 640 |
| T5(f-H8-D5p) | Seabed and monopile | Sample 1, fine sand | Plexiglass | 5 | 8 | 640 |
| T6(f-H8-D3a) | Seabed and monopile | Sample 1, fine sand | Aluminum | 3 | 8 | 640 |
| T7(s-H8) | Seabed | Sample 2, silt | - | - | 8 | 640 |
| T8(s-H8-D3p) | Seabed and monopile | Sample 2, silt | Plexiglass | 3 | 8 | 760 |
| T9(s-H10-D3p) | Seabed and monopile | Sample 2, silt | Plexiglass | 3 | 10 | 640 (440) |
| T10(s-H8-D3p-fin) | Seabed and finned pile | Sample 2, silt | Plexiglass | 3 | 8 | 640 |
| T11(s-H8-D5p) | Seabed and monopile | Sample 2, silt | Plexiglass | 5 | 8 | 640 |
| T12(s-H8-D3a) | Seabed and monopile | Sample 2, silt | Aluminum | 3 | 8 | 640 |
| Property | Sample 1, Fine Sand | Sample 2, Silt |
|---|---|---|
| Particle size, d50 | 0.15 mm | 0.06 mm |
| Minimum void ratio, emin | 0.856 | 0.833 |
| Maximum void ratio, emax | 0.411 | 0.412 |
| Selected void ratio, e | 0.53 | 0.49 |
| Friction angle, ϕ | 34.0° | 32.1° |
Publisher’s Note: MDPI stays neutral with regard to jurisdictional claims in published maps and institutional affiliations. |
© 2022 by the authors. Licensee MDPI, Basel, Switzerland. This article is an open access article distributed under the terms and conditions of the Creative Commons Attribution (CC BY) license (https://creativecommons.org/licenses/by/4.0/).
Share and Cite
Huang, T.; Tian, Y.; Dai, G.; Jiao, A. Experimental Study of Wave-Induced Response of Piles in Seabed with Various Permeability. Appl. Sci. 2022, 12, 2698. https://doi.org/10.3390/app12052698
Huang T, Tian Y, Dai G, Jiao A. Experimental Study of Wave-Induced Response of Piles in Seabed with Various Permeability. Applied Sciences. 2022; 12(5):2698. https://doi.org/10.3390/app12052698
Chicago/Turabian StyleHuang, Ting, Yinghui Tian, Guoliang Dai, and Ao Jiao. 2022. "Experimental Study of Wave-Induced Response of Piles in Seabed with Various Permeability" Applied Sciences 12, no. 5: 2698. https://doi.org/10.3390/app12052698
APA StyleHuang, T., Tian, Y., Dai, G., & Jiao, A. (2022). Experimental Study of Wave-Induced Response of Piles in Seabed with Various Permeability. Applied Sciences, 12(5), 2698. https://doi.org/10.3390/app12052698
